Sediment Transport and Morphological Response to Nearshore Nourishment Projects on Wave-Dominated Coasts
Abstract
:1. Introduction
2. Materials and Methods
2.1. Idealized Scenarios
2.1.1. Regional Study Sites
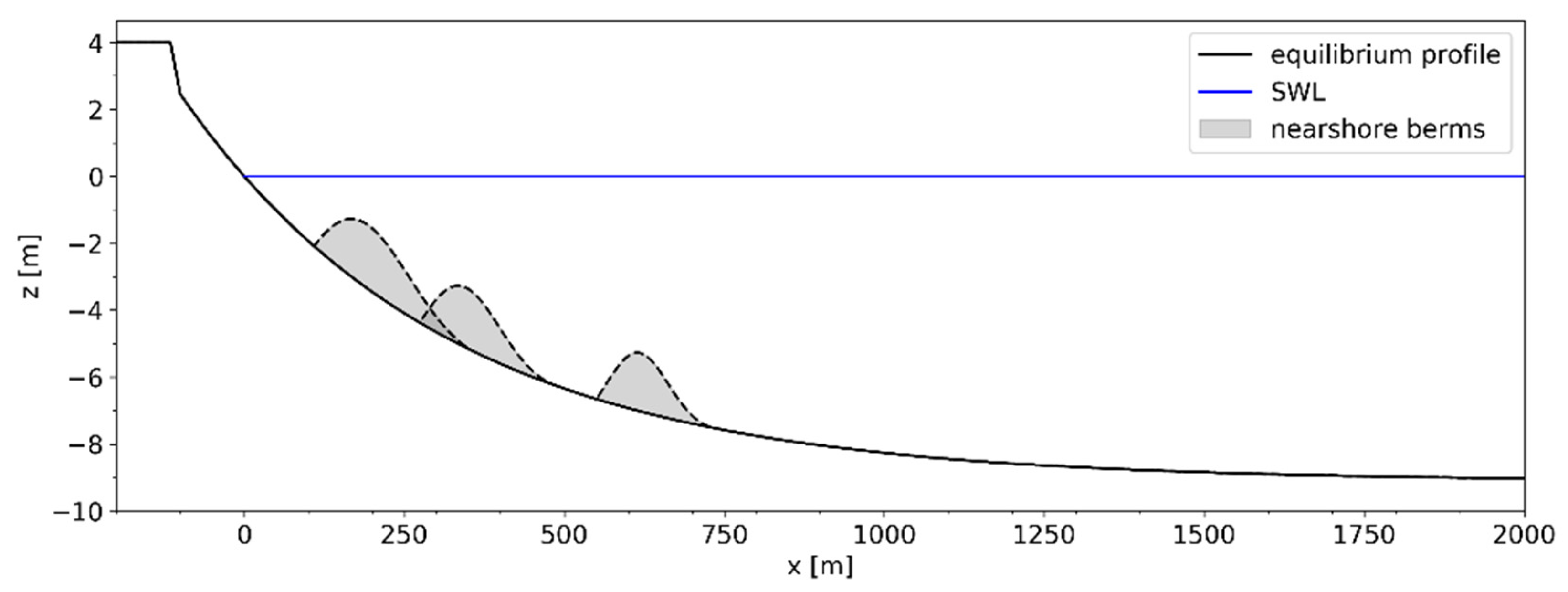
2.1.2. Nearshore Profile Morphology
2.1.3. Nearshore Nourishment Shapes
2.1.4. Wave Climate
2.2. Numerical Model
2.2.1. The Coastal Modeling System
2.2.2. Computational Domain
2.2.3. Model Set up and Inputs
2.3. Analysis
2.3.1. Wave Energy Dissipation
2.3.2. Nourishment Longevity
2.3.3. Sediment Displacement
3. Results
3.1. Waves
3.1.1. Planform Energy Dissipation
3.1.2. Aggregate Wave Energy Attenuation
3.2. Sediment Transport/Morphology Change
3.2.1. Nourishment Longevity
3.2.2. Cross-Shore/Alongshore Displacement
4. Discussion
4.1. Wave Attenuation
4.1.1. The Influence of Placement Depth
4.1.2. The Influence of Nourishment Shape
4.2. Sediment Transport and Nourishment Migration
4.2.1. Nourishment Deflation Rates
4.2.2. Direction of Net Sediment Transport
5. Conclusions
- Shallower placements attenuate more energy than deeper placements for the linear and undulated berms.
- The linear and undulated berms dissipate more energy than the discrete mounds, in spite of similar placement volumes.
- The undulated berm dissipates more energy than the linear berm, which is presumably due to its greater alongshore length and may also be influenced by longer lifespans.
- Longevity analysis shows that placement depth discriminates between continuous and episodic deflation. Shallower placements are subject to more continuous sediment transport, while the deeper placements respond primarily to high-energy events.
- The trajectories of the modeled nourishments’ centers of mass evidences onshore-directed transport of nourishment sediment, which is punctuated by offshore-directed sediment transport due to high-energy, episodic events.
Author Contributions
Funding
Conflicts of Interest
References
- Houston, J.R. The value of Florida beaches. Shore Beach 2013, 81, 4–11. [Google Scholar]
- Elko, N.; Brutsché, K.; Robertson, Q.; Hartman, M.; Dong, Z. USACE Navigation Sediment Placement: An RSM Program Database (1998–2018); CHETN-XX-21; US Army Corps of Engineers Engineer Research and Development Center: Vicksburg, MS, USA, 2021; under review. [Google Scholar]
- Ahrens, J.P.; Hands, E.B. Velocity parameters for predicting cross-shore sediment migration. J. Waterw. Port Coast. Ocean Eng. 1998, 124, 16–20. [Google Scholar] [CrossRef]
- Bain, R.L.; McFall, B.C.; Krafft, D.R.; Hudson, A. Evaluating transport formulations for application to nearshore berms. J. Waterw. Port Coast. Ocean Eng. 2021, 147, 04021031. [Google Scholar] [CrossRef]
- Hands, E.B.; Allison, M.C. Mound migration in deeper water and methods of categorizing active and stable depths. In Proceedings of the Coastal Sediments ‘91, Seattle, WA, USA, 25–27 June 1991. [Google Scholar]
- McFall, B.C.; Brutsché, K.E.; Priestas, A.M.; Krafft, D.R. Evaluation techniques for the beneficial use of dredged sediment placed in the nearshore. J. Waterw. Port Coast. Ocean Eng. 2021, 147, 04021016. [Google Scholar] [CrossRef]
- Brutsché, K.E.; McFall, B.C.; Li, H.; McNinch, J.E.; Ousley, J.D.; Engle, J.A.; Maglio, C.K. Strategic nearshore placement of dredged sediment at Vilano Beach, Florida. Shore Beach 2017, 85, 77–84. [Google Scholar]
- Huisman, B.J.; Walstra, D.J.R.; Radermacher, M.; de Schipper, M.A.; Ruessink, B.G. Observations and modelling of shoreface nourishment behavior. J. Mar. Sci. Eng. 2019, 7, 59. [Google Scholar] [CrossRef] [Green Version]
- van Duin, M.J.P.; Wiersma, N.R.; Walstra, D.J.R.; Van Rijn, L.C.; Stive, M.J.F. Nourishing the shoreface: Observations and hindcasting of the Egmond case, The Netherlands. Coast. Eng. 2004, 51, 813–837. [Google Scholar] [CrossRef]
- Brutsché, K.E.; McFall, B.C.; Bryant, D.B. Literature Review of Nearshore Berms; SR-19-2; US Army Corps of Engineers Engineer Research and Development Center: Vicksburg, MS, USA, 2019; 59p. [Google Scholar]
- Bryant, D.B.; McFall, B.C. Transport of nearshore dredge material berms. In Proceedings of the 6th International Conference on Application of Physical Modelling in Coastal and Port Engineering and Science, Ottawa, ON, Canada, 10–13 May 2016. [Google Scholar]
- Smith, E.R.; Mohr, M.C.; Chader, S.A. Laboratory experiments on beach change due to nearshore mound placement. Coast. Eng. 2017, 121, 119–128. [Google Scholar] [CrossRef]
- Li, Y.; Zhang, C.; Cai, Y.; Xie, M.; Wang, Y. Wave Dissipation and Sediment Transport Patterns during Shoreface Nourishment towards Equilibrium. J. Mar. Sci. Eng. 2021, 9, 535. [Google Scholar] [CrossRef]
- Grunnet, N.M.; Walstra, D.J.R.; Ruessink, B.G. Process-based modelling of a shoreface nourishment. Coast. Eng. 2004, 51, 581–607. [Google Scholar] [CrossRef]
- Hoekstra, P.; Houwman, K.T.; Kroon, A.; Ruessink, B.G.; Roelvink, J.A.; Spanhoff, R. Morphological development of the Terschelling shoreface nourishment in response to hydrodynamic and sediment transport processes. In Proceedings of the 25th International Conference on Coastal Engineering, Orlando, FL, USA, 2–6 September 1996; pp. 2897–2910. [Google Scholar]
- Kriauciuniene, J.; Gailiusis, B.; Rimaviciute, E. Modelling of shoreface nourishment in the Lithuanian nearshore of the Baltic Sea. Geologija 2006, 53, 28–37. [Google Scholar]
- Kuang, C.; Han, X.; Zhang, J.; Zou, Q.; Dong, B. Morphodynamic Evolution of a Nourished Beach with Artificial Sandbars: Field Observations and Numerical Modeling. J. Mar. Sci. Eng. 2021, 9, 245. [Google Scholar] [CrossRef]
- Larson, M.; Ebersole, B.A. An Analytical Model to Predict the Response of Mounds Placed in the Offshore; CHETN-II-42; US Army Corps of Engineers Engineer Research and Development Center: Vicksburg, MS, USA, 1999; 13p. [Google Scholar]
- McFall, B.C.; Smith, S.J.; Pollock, C.E.; Rosati, J.; Brutsché, K.E. Evaluating Sediment Mobility for Siting Nearshore Berms; CHETN-IV-108; US Army Corps of Engineers Engineer Research and Development Center: Vicksburg, MS, USA, 2016; 11p. [Google Scholar]
- Pollock, C.E.; Curtis, W.R.; Moritz, H.R. Numerical Methods for Nearshore-Berm Evaluation, St. Johns County, Florida; CHL-98-12; US Army Corps of Engineers Engineer Research and Development Center: Vicksburg, MS, USA, 1998; 131p. [Google Scholar]
- Priestas, A.M.; McFall, B.C.; Brutsche, K.E. Performance of Nearshore Berms from Dredged Sediments: Validation of the Sediment Mobility Tool; TR-19-19; US Army Corps of Engineers Engineer Research and Development Center: Vicksburg, MS, USA, 2019; 63p. [Google Scholar]
- Zhang, J.; Larson, M. A numerical model for offshore mound evolution. J. Mar. Sci. Eng. 2020, 8, 160. [Google Scholar] [CrossRef] [Green Version]
- Brutsché, K.; Pollock, C.E. Strategic Placement of Mixed Sediment in the Form of a Nearshore Berm along Fort Myers Beach, Florida; TN-EWN-17-1; US Army Corps of Engineers Engineer Research and Development Center: Vicksburg, MS, USA, 2017; 3p. [Google Scholar]
- Dolan, R.; Donoghue, C.; Stewart, D. Long-term Impacts of Tidal Inlet Bypassing on the Swash Zone Filter Feeder Emerita talpoida Oregon Inlet and Pea Island, North Carolina. Shore Beach 2006, 74, 23–27. [Google Scholar]
- Dolan, R.; Stewart, D. A concept for reducing ecological impacts of beach nourishment and tidal inlet bypassing. Shore Beach 2006, 74, 28–31. [Google Scholar]
- Young, D.L.; Brutsché, K.E.; Li, H.; McFall, B.C.; Maloney, E.C.; McClain, K.E.; Bucaro, D.F.; LeRoy, J.Z.; Dunker, J.J.; Johnson, K.K.; et al. Analysis of Nearshore Placement of Sediments at Ogden Dunes, Indiana; TR-20-4; US Army Corps of Engineers Engineer Research and Development Center: Vicksburg, MS, USA, 2020; 98p. [Google Scholar]
- Figlus, J.; Song, Y.-K.; Maglio, C.K.; Friend, P.L.; Poleykett, J.; Engel, F.L.; Schoenblen, D.; Boburka, K. Particle Tracer Analysis for Submerged Berm Placement of Dredged Material Near South Padre Island, Texas. WEDA J. Dredg. 2021, 19, 14–30. [Google Scholar]
- Brutsché, K.E.; McFall, B.C.; Li, H.; McNinch, J.E.; Ousley, J.D.; Engle, J.A.; Maglio, C.K. Strategic Placement of Dredge Material in Vilano Beach, Florida, USA. In Proceedings of the Coastal Sediments 2019: Proceedings of the 9th International Conference, St. Petersburg, FL, USA, 27–31 May 2019; pp. 2793–2804. [Google Scholar]
- Bryant, M.A.; Hesser, T.J.; Jensen, R.E. ERDC/CHL CHETN-I-91; U.S. Army Engineer Research and Development Center: Vicksburg, MS, USA, 2016. [Google Scholar]
- McFall, B.C. The Relationship between Beach Grain Size and Intertidal Beach Face Slope. J. Coast. Res. 2019, 35, 1080–1086. [Google Scholar] [CrossRef]
- De Masi, G.; Bruschi, R.; Drago, M. Synthetic Metocean Time Series Generation for Offshore Operability and Design Based on Multivariate Markov Model; MTS/IEEE OCEANS; Discovering Sustainable Ocean Energy for a New World: Genova, Italy, 2015. [Google Scholar]
- Militello, A.; Reed, C.W.; Zundel, A.K.; Kraus, N.C. Two-Dimensional Depth-Averaged Circulation Model M2D: Version 2.0, Report 1, Technical Documentation and User’s Guide; TR-04-2; U.S. Army Engineer Research and Development Center: Vicksburg, MS, USA, 2004; 131p. [Google Scholar]
- Reed, C.W.; Brown, M.E.; Sanchez, A.; Wu, W.; Buttolph, A.M. The Coastal Modeling System Flow Model (CMS-Flow): Past and Present. J. Coast. Res. 2011, 59, 1–6. [Google Scholar] [CrossRef]
- Sanchez, A.; Wu, W.; Li, H.; Brown, M.; Reed, C.; Rosati, J.D.; Demirbilek, Z. Coastal Modeling System: Mathematical Formulations and Numerical Methods; TR-14-2; U.S. Army Engineer Research and Development Center: Vicksburg, MS, USA, 2014; 87p. [Google Scholar]
- Sanchez, A.; Wu, W.; Beck, T.M. A depth-averaged 2-D model of flow and sediment transport in coastal waters. Ocean Dyn. 2016, 66, 1475–1495. [Google Scholar] [CrossRef]
- Lin, L.; Demirbilek, Z.; Mase, H.; Zheng, J.; Yamada, F. CMS-Wave: A Nearshore Spectral Wave Processes Model for Coastal Inlets and Navigation Projects; TR-08-13; U.S. Army Engineer Research and Development Center: Vicksburg, MS, USA, 2008; 132p. [Google Scholar]
- Wu, W.; Sánchez, A.; Zhang, M. An implicit 2-D shallow water flow model on an unstructured quadtree rectangular grid. J. Coast. Res. 2011, 59, 15–26. [Google Scholar] [CrossRef]
- Lin, L.; Demirbilek, Z.; Mase, H. Recent capabilities of CMS-Wave: A coastal wave model for inlets and navigation projects. J. Coast. Res. 2011, 59, 7–14. [Google Scholar] [CrossRef]
- Camenen, B.; Larson, M. A General Formula for Non-Cohesive Suspended Sediment Transport. J. Coast. Res. 2008, 24, 615–627. [Google Scholar] [CrossRef] [Green Version]
- Brutsché, K.E.; Wang, P.; Beck, T.M.; Rosati, J.D.; Legault, K.R. Morphological evolution of a submerged artificial nearshore berm along a low-wave microtidal coast, Fort Myers Beach, west central Florida, USA. Coast. Eng. 2014, 91, 29–44. [Google Scholar] [CrossRef]




















| Region | |||
|---|---|---|---|
| SP | 4.16 | 1.11 (0.48) | 6.3 (1.6) |
| VB | 4.17 | 1.45 (0.63) | 9.5 (2.6) |
| OD | 3.22 | 0.47 (0.44) | 3.8 (1.7) |
Publisher’s Note: MDPI stays neutral with regard to jurisdictional claims in published maps and institutional affiliations. |
© 2021 by the authors. Licensee MDPI, Basel, Switzerland. This article is an open access article distributed under the terms and conditions of the Creative Commons Attribution (CC BY) license (https://creativecommons.org/licenses/by/4.0/).
Share and Cite
Johnson, C.L.; McFall, B.C.; Krafft, D.R.; Brown, M.E. Sediment Transport and Morphological Response to Nearshore Nourishment Projects on Wave-Dominated Coasts. J. Mar. Sci. Eng. 2021, 9, 1182. https://doi.org/10.3390/jmse9111182
Johnson CL, McFall BC, Krafft DR, Brown ME. Sediment Transport and Morphological Response to Nearshore Nourishment Projects on Wave-Dominated Coasts. Journal of Marine Science and Engineering. 2021; 9(11):1182. https://doi.org/10.3390/jmse9111182
Chicago/Turabian StyleJohnson, Cody L., Brian C. McFall, Douglas R. Krafft, and Mitchell E. Brown. 2021. "Sediment Transport and Morphological Response to Nearshore Nourishment Projects on Wave-Dominated Coasts" Journal of Marine Science and Engineering 9, no. 11: 1182. https://doi.org/10.3390/jmse9111182
APA StyleJohnson, C. L., McFall, B. C., Krafft, D. R., & Brown, M. E. (2021). Sediment Transport and Morphological Response to Nearshore Nourishment Projects on Wave-Dominated Coasts. Journal of Marine Science and Engineering, 9(11), 1182. https://doi.org/10.3390/jmse9111182

