Greenhouse Gas Emission Model for Tidal Flats in the Republic of Korea
Abstract
1. Introduction
2. Materials and Methods
2.1. Model Description
- ▪
- ▪
- External influence coefficient is relatively constant with time, assuming a steady external input [21].
- ▪
- Annual amount of carbon sequestration is accounted for by that in the total biomass of the one-year plants.
- ▪
- Lateral C flux: Currently, there are no specific research results on the lateral C flux in the tidal flat areas of Korea. Besides, the west coast of South Korea receives large amounts of sediment from rivers, it is considered a carbon sink [1]. This amount of carbon is mainly deposited in the tidal flat areas [8]. Therefore, the model assumed that the amount of carbon transported by the lateral C flux in the study areas is negligible.
2.1.1. Kinetic Equations
2.1.2. Determination of Model Parameters
2.2. Model Validation
2.3. Experimental Data
3. Results and Discussion
3.1. Input Data and Parameter Values in Ganghwa-do, Korea
3.2. Simulation of Topsoil Carbon Mass
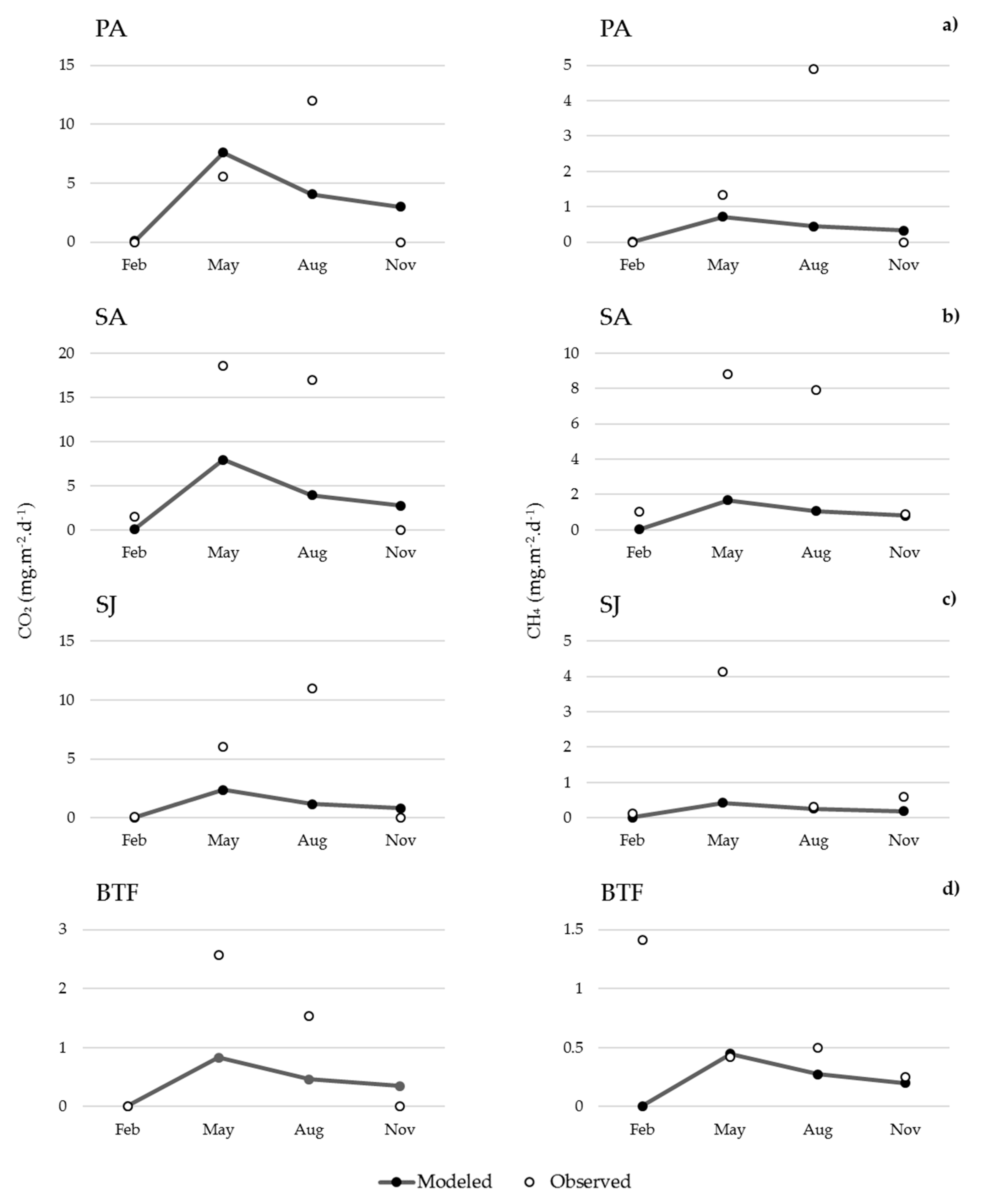
3.3. Simulation of GHG Emissions
4. Conclusions
Author Contributions
Funding
Institutional Review Board Statement
Informed Consent Statement
Data Availability Statement
Acknowledgments
Conflicts of Interest
Appendix A
| Sites | 2017 | 2018 | 2019 | 2020 | 2021 | 2022 | 2023 | 2024 | 2025 | 2026 | 2027 |
| PA | 2.14 | 2.23 | 2.47 | 2.39 | 2.58 | 2.68 | 2.79 | 2.89 | 3.00 | 3.10 | 3.20 |
| SA | 1.84 | 1.88 | 2.16 | 2.19 | 2.42 | 2.56 | 2.70 | 2.84 | 2.97 | 3.11 | 3.25 |
| SJ | 2.73 | 2.69 | 2.71 | 2.73 | 2.78 | 2.80 | 2.81 | 2.83 | 2.84 | 2.85 | 2.87 |
| BTF | 2.49 | 2.52 | 2.56 | 2.56 | 2.60 | 2.63 | 2.65 | 2.68 | 2.71 | 2.73 | 2.76 |
| 2028 | 2029 | 2030 | 2031 | 2032 | 2033 | 2034 | 2035 | 2036 | 2037 | 2038 | |
| PA | 3.30 | 3.40 | 3.50 | 3.60 | 3.69 | 3.79 | 3.89 | 3.98 | 4.07 | 4.16 | 4.25 |
| SA | 3.38 | 3.51 | 3.64 | 3.77 | 3.90 | 4.02 | 4.15 | 4.27 | 4.40 | 4.52 | 4.64 |
| SJ | 2.88 | 2.89 | 2.91 | 2.92 | 2.93 | 2.94 | 2.96 | 2.97 | 2.98 | 2.99 | 3.00 |
| BTF | 2.78 | 2.81 | 2.83 | 2.85 | 2.88 | 2.90 | 2.93 | 2.95 | 2.97 | 2.99 | 3.02 |
| 2039 | 2040 | 2041 | 2042 | 2043 | 2044 | 2045 | 2046 | 2047 | |||
| PA | 4.34 | 4.43 | 4.52 | 4.61 | 4.70 | 4.78 | 4.87 | 4.95 | 5.03 | ||
| SA | 4.76 | 4.88 | 4.99 | 5.11 | 5.22 | 5.34 | 5.45 | 5.56 | 5.67 | ||
| SJ | 3.02 | 3.03 | 3.04 | 3.05 | 3.06 | 3.07 | 3.09 | 3.10 | 3.11 | ||
| BTF | 3.04 | 3.06 | 3.08 | 3.11 | 3.13 | 3.15 | 3.17 | 3.19 | 3.21 |
| Sites | 2017 | 2018 | 2019 | 2020 | 2021 | 2022 | 2023 | 2024 | 2025 | 2026 | 2027 |
| PA | 16.82 | 16.86 | 16.90 | 16.94 | 16.98 | 17.02 | 17.05 | 17.09 | 17.13 | 17.17 | 17.20 |
| SA | 19.84 | 19.90 | 19.95 | 20.00 | 20.05 | 20.10 | 20.15 | 20.20 | 20.25 | 20.30 | 20.35 |
| SJ | 6.14 | 6.15 | 6.16 | 6.16 | 6.17 | 6.17 | 6.18 | 6.18 | 6.19 | 6.19 | 6.20 |
| BTF | 0.90 | 0.91 | 0.92 | 0.93 | 0.94 | 0.94 | 0.95 | 0.96 | 0.97 | 0.98 | 0.99 |
| 2028 | 2029 | 2030 | 2031 | 2032 | 2033 | 2034 | 2035 | 2036 | 2037 | 2038 | |
| PA | 17.24 | 17.28 | 17.31 | 17.35 | 17.38 | 17.42 | 17.45 | 17.49 | 17.52 | 17.55 | 17.59 |
| SA | 20.40 | 20.45 | 20.49 | 20.54 | 20.58 | 20.63 | 20.68 | 20.72 | 20.76 | 20.81 | 20.85 |
| SJ | 6.20 | 6.21 | 6.21 | 6.21 | 6.22 | 6.22 | 6.23 | 6.23 | 6.24 | 6.24 | 6.25 |
| BTF | 0.99 | 1.00 | 1.01 | 1.02 | 1.02 | 1.03 | 1.04 | 1.05 | 1.05 | 1.06 | 1.07 |
| 2039 | 2040 | 2041 | 2042 | 2043 | 2044 | 2045 | 2046 | 2047 | |||
| PA | 17.62 | 17.65 | 17.69 | 17.72 | 17.75 | 17.78 | 17.81 | 17.84 | 17.87 | ||
| SA | 20.89 | 20.94 | 20.98 | 21.02 | 21.06 | 21.10 | 21.14 | 21.18 | 21.22 | ||
| SJ | 6.25 | 6.26 | 6.26 | 6.26 | 6.27 | 6.27 | 6.28 | 6.28 | 6.28 | ||
| BTF | 1.08 | 1.08 | 1.09 | 1.10 | 1.10 | 1.11 | 1.12 | 1.12 | 1.13 |
| Sites | 2017 | 2018 | 2019 | 2020 | 2021 | 2022 | 2023 | 2024 | 2025 | 2026 | 2027 |
| PA | 1.747 | 1.861 | 1.973 | 2.084 | 2.194 | 2.303 | 2.410 | 2.517 | 2.623 | 2.727 | 2.831 |
| SA | 4.012 | 4.459 | 4.902 | 5.340 | 5.774 | 6.203 | 6.628 | 7.050 | 7.466 | 7.879 | 8.288 |
| SJ | 2.190 | 2.202 | 2.214 | 2.226 | 2.238 | 2.250 | 2.262 | 2.274 | 2.285 | 2.297 | 2.308 |
| BTF | 1.176 | 1.188 | 1.199 | 1.211 | 1.222 | 1.233 | 1.244 | 1.255 | 1.266 | 1.277 | 1.287 |
| 2028 | 2029 | 2030 | 2031 | 2032 | 2033 | 2034 | 2035 | 2036 | 2037 | 2038 | |
| PA | 2.933 | 3.035 | 3.135 | 3.235 | 3.333 | 3.431 | 3.527 | 3.623 | 3.717 | 3.811 | 3.904 |
| SA | 8.692 | 9.092 | 9.489 | 9.881 | 10.27 | 10.65 | 11.04 | 11.41 | 11.79 | 12.16 | 12.52 |
| SJ | 2.319 | 2.330 | 2.341 | 2.352 | 2.363 | 2.373 | 2.384 | 2.394 | 2.405 | 2.415 | 2.425 |
| BTF | 1.298 | 1.308 | 1.319 | 1.329 | 1.339 | 1.349 | 1.359 | 1.369 | 1.378 | 1.388 | 1.397 |
| 2039 | 2040 | 2041 | 2042 | 2043 | 2044 | 2045 | 2046 | 2047 | |||
| PA | 3.996 | 4.086 | 4.176 | 4.266 | 4.354 | 4.441 | 4.527 | 4.613 | 4.698 | ||
| SA | 12.88 | 13.24 | 13.60 | 13.95 | 14.30 | 14.64 | 14.98 | 15.32 | 15.65 | ||
| SJ | 2.435 | 2.445 | 2.455 | 2.465 | 2.474 | 2.484 | 2.493 | 2.503 | 2.512 | ||
| BTF | 1.407 | 1.416 | 1.425 | 1.434 | 1.444 | 1.452 | 1.461 | 1.470 | 1.479 |

References
- Howard, J.; Hoyt, S.; Isensee, K.; Telszewski, M.; Pidgeon, E. (Eds.) Coastal Blue Carbon: Methods For Assessing Carbon Stocks And Emissions Factors In Mangroves, Tidal Salt Marshes, And Seagrasses; Conservation International, Intergovernmental Oceanographic Commission of UNESCO, International Union for Conservation of Nature: Arlington, VA, USA, 2014. [Google Scholar]
- Kayranli, B.; Scholz, M.; Mustafa, A.; Hedmark, Å. Carbon storage and fluxes within freshwater wetlands: A critical review. Wetlands 2010, 30, 111–124. [Google Scholar] [CrossRef]
- Moodley, L.; Middelburg, J.J.; Herman, P.M.; Soetaert, K.; De Lange, G.J. Oxygenation and organic-matter preservation in marine sediments: Direct experimental evidence from ancient organic carbon–rich deposits. Geology 2005, 33, 889. [Google Scholar] [CrossRef]
- Poffenbarger, H.J.; Needelman, B.A.; Megonigal, J.P. Salinity Influence on Methane Emissions from Tidal Marshes. Wetlands 2011, 31, 831–842. [Google Scholar] [CrossRef]
- Mitsch, W.J.; Bernal, B.; Nahlik, A.; Mander, Ü.; Zhang, L.; Anderson, C.J.; Jørgensen, S.E.; Brix, H. Wetlands, carbon, and climate change. Landsc. Ecol. 2013, 28, 583–597. [Google Scholar] [CrossRef]
- Oertel, C.; Matschullat, J.; Zurba, K.; Zimmermann, F.; Erasmi, S. Greenhouse gas emissions from soils—A review. Geochemistry 2016, 76, 327–352. [Google Scholar] [CrossRef]
- Mok, J. Creating Added Value for Korea’s Tidal Flats: Using Blue Carbon as an Incentive for Coastal Conservation 2019. Available online: https://escholarship.org/uc/item/9c9581xj (accessed on 27 October 2019).
- Byun, C.; Lee, S.-H.; Kang, H. Estimation of carbon storage in coastal wetlands and comparison of different management schemes in South Korea. J. Ecol. Environ. 2019, 43, 8. [Google Scholar] [CrossRef]
- Chen, Q.; Guo, B.; Zhao, C.; Xing, B. Characteristics of CH4 and CO2 emissions and influence of water and salinity in the Yellow River delta wetland, China. Environ. Pollut. 2018, 239, 289–299. [Google Scholar] [CrossRef] [PubMed]
- Choi, K. Morphology, sedimentology and stratigraphy of Korean tidal flats – Implications for future coastal managements. Ocean Coast. Manag. 2014, 102, 437–448. [Google Scholar] [CrossRef]
- Norman, J.M.; Kucharik, C.; Gower, S.T.; Baldocchi, D.; Crill, P.; Rayment, M.; Savage, K.; Striegl, R.G. A comparison of six methods for measuring soil-surface carbon dioxide fluxes. J. Geophys. Res. Space Phys. 1997, 102, 28771–28777. [Google Scholar] [CrossRef]
- Setia, R.; Gottschalk, P.; Smith, P.; Marschner, P.; Baldock, J.; Setia, D.; Smith, J. Soil salinity decreases global soil organic car-bon stocks. Sci. Total. Environ. 2013, 465, 267–272. [Google Scholar] [CrossRef]
- Kamoni, P.; Gicheru, P.; Wokabi, S.; Easter, M.; Milne, E.; Coleman, K.; Falloon, P.; Paustian, K.; Killian, K.; Kihanda, F. Evaluation of two soil carbon models using two Kenyan long term experimental datasets. Agric. Ecosyst. Environ. 2007, 122, 95–104. [Google Scholar] [CrossRef]
- Chukwudi, C.; Ken, C.J.; Rees, V.; Richard, E. Greenhouse gas mitigation potential of shelterbelts: Estimating farm-scale emis-sion reductions using the Holos model 1. Can. J. Soil Sci. 2016, 97, 353–367. [Google Scholar]
- Milne, E.; Al Adamat, R.; Batjes, N.H.; Bernoux, M.; Bhattacharyya, T.; Cerri, C.C.; Cerri, C.E.P.; Coleman, K.; Easter, M.; Falloon, P.; et al. National and sub-national assessments of soil organic carbon stocks and changes: The GEFSOC model-ling system. Agric. Ecosyst. Environ. 2007, 122, 3–12. [Google Scholar] [CrossRef]
- Andrén, O.; Kätterer, T. ICBM: The introductory carbon balance model for exploration of soil carbon balances. Ecol. Ap-Plications 1997, 7, 1226–1236. [Google Scholar] [CrossRef]
- Bolinder, M.A.; Andrén, O.; Kätterer, T.; Parent, L.-E. Soil organic carbon sequestration potential for Canadian Agricultural Ecoregions calculated using the Introductory Carbon Balance Model. Can. J. Soil Sci. 2008, 88, 451–460. [Google Scholar] [CrossRef]
- Andrén, O.; Kätterer, T.; Juston, J.; Waswa, B.; De Nowina, K.R. Soil carbon dynamics, climate, crops and soil type–calculations using introductory carbon balance model (ICBM) and agricultural field trial data from sub-Saharan Africa. Afr. J. Agric. Res. 2012, 7, 5800–5809. [Google Scholar]
- Lopes, A.; Spokas, K.; Archer, D.W.; Reicosky, D. First-order decay models to describe soil C-CO2 Loss after rotary tillage. Sci. Agric. 2009, 66, 650–657. [Google Scholar] [CrossRef]
- Menichetti, L.; Ågren, G.I.; Barré, P.; Moyano, F.; Kätterer, T. Generic parameters of first-order kinetics accurately describe soil organic matter decay in bare fallow soils over a wide edaphic and climatic range. Sci. Rep. 2019, 9, 1–12. [Google Scholar] [CrossRef]
- Andrén, O.; Kihara, J.; Bationo, A.; Vanlauwe, B.; Kätterer, T. Soil Climate and Decomposer Activity in Sub-Saharan Africa Estimated from Standard Weather Station Data: A Simple Climate Index for Soil Carbon Balance Calculations. Ambio 2007, 36, 379–386. [Google Scholar] [CrossRef]
- Lee, J.; Kwon, B.-O.; Kim, B.; Noh, J.; Hwang, K.; Ryu, J.; Park, J.; Hong, S.; Khim, J.S. Natural and anthropogenic signatures on sedimentary organic matters across varying intertidal habitats in the Korean waters. Environ. Int. 2019, 133, 105166. [Google Scholar] [CrossRef]
- Kim, J.; Lee, J.; Yun, J.; Yang, Y.; Ding, W.; Yuan, J.; Kang, H. Mechanisms of enhanced methane emission due to introduc-tion of Spartina anglica and Phragmites australis in a temperate tidal salt marsh. Ecol. Eng. 2020, 153, 105905. [Google Scholar] [CrossRef]
- Lee, J.; Kim, B.; Noh, J.; Lee, C.; Kwon, I.; Kwon, B.-O.; Ryu, J.; Park, J.; Hong, S.; Lee, S.; et al. The first national scale evaluation of organic carbon stocks and sequestration rates of coastal sediments along the west, south, and east coasts of South Korea. Sci. Total Environ. 2021, 793, 148568. [Google Scholar] [CrossRef] [PubMed]
- Fortin, J.; Bolinder, M.; Anctil, F.; Kätterer, T.; Andrén, O.; Parent, L. Effects of climatic data low-pass filtering on the ICBM temperature- and moisture-based soil biological activity factors in a cool and humid climate. Ecol. Model. 2011, 222, 3050–3060. [Google Scholar] [CrossRef]
- Yuan, B.C.; Li, Z.Z.; Liu, H.; Gao, M.; Zhang, Y.Y. Microbial biomass and activity in salt affected soils under arid condi-tions. Appl. Soil Ecol. 2007, 35, 319–328. [Google Scholar] [CrossRef]
- Shaw, R.; Hughes, K.; Thorburn, P.; Dowling, A. Principles of landscape, soil and water salinity—Processes and management options. Part A. In Landscape, Soil and Water Salinity, Proceedings of the Brisbane Regional Salinity Workshop, Brisbane, Australia, May 1987; Conference and Workshop Series QC87003; Department of Primary Industries: Brisbane, QLD, Australia, 1987. [Google Scholar]
- Kätterer, T.; Bolinder, M.A.; Andrén, O.; Kirchmann, H.; Menichetti, L. Roots contribute more to refractory soil organic mat-ter than above-ground crop residues, as revealed by a long-term field experiment. Agric. Ecosyst. Environ. 2011, 141, 184–192. [Google Scholar] [CrossRef]
- KOEM (Korea Marine Environment Corporation). Annual Performance Plan for Domestic Blue Carbon Information System Construction and Evaluation Management Technology Development, 2018–2020. Available online: https://www.koem.or.kr/site/eng/main.do (accessed on 6 January 2021).
- Saunders, C.J.; Megonigal, J.P.; Reynolds, J.F. Comparison of belowground biomass in C3 and C4 dominated mixed communi-ties in a Chesapeakebay brackish marsh. Plant Soil 2006, 280, 305–322. [Google Scholar] [CrossRef]
- Pausch, J.; Kuzyakov, Y. Carbon input by roots into the soil: Quantification of rhizodeposition from root to ecosystem scale. Glob. Chang. Biol. 2018, 24, 1–12. [Google Scholar] [CrossRef]
- Kim, E.-K.; Kil, J.; Joo, Y.-K.; Jung, Y.-S. Distribution and Botanical Characteristics of Unrecorded Alien Weed Spartina anglica in Korea. Weed Turfgrass Sci. 2015, 4, 65–70. [Google Scholar] [CrossRef]
- Morrissey, E.M.; Gillespie, J.; Morina, J.C.; Franklin, R.B. Salinity affects microbial activity and soil organic matter content in tidal wetlands. Glob. Chang. Biol. 2014, 20, 1351–1362. [Google Scholar] [CrossRef]
- Qu, W.; Li, J.; Han, G.; Wu, H.; Song, W.; Zhang, X. Effect of salinity on the decomposition of soil organic carbon in a tidal wetland. J. Soils Sediments 2019, 19, 609–617. [Google Scholar] [CrossRef]
- Allen, R.G.; Pereira, L.S.; Raes, D.; Smith, M. Crop Evapotranspiration—Guidelines for Computing Crop Water Requirements, FAO Irrigation and Drainge Paper 56. 1998. Available online: https://www.fao.org/3/x0490E/x0490e00.htm (accessed on 20 December 2019).
- Kätterer, T.; Andrén, O.; Jansson, P.E. Pedotransfer functions for estimating plant available water and bulk density in Swe-dish agricultural soils. Acta Agric. Scand. Sect. B-Soil Plant Sci. 2006, 56, 263–276. [Google Scholar]
- Lee, S.H.; Lee, J.-S.; Kim, J.-W. Relationship between halophyte distribution and soil environmental factors in the west coast of South Korea. J. Ecol. Environ. 2018, 42, 2. [Google Scholar] [CrossRef][Green Version]
- Meteorological Agency. Available online: https://data.kma.go.kr (accessed on 7 October 2020).
- Herr, D.; Pidgeon, E.; Laffoley, D.D.A. Blue Carbon Policy Framework 2.0: Based on the Discussion of the International Blue Carbon Policy Working Group. IUCN 2012. Available online: https://oceanfdn.org/sites/default/files/Herr.%20Blue%20Carbon%20Policy%20Framework%202.0-.pdf (accessed on 25 May 2019).
- Yuan, J.; Ding, W.; Liu, D.; Kang, H.; Freeman, C.; Xiang, J.; Lin, Y. Exotic Spartina alterniflora invasion alters ecosystem–atmosphere exchange of CH4 and N2O and carbon sequestration in a coastal salt marsh in China. Glob. Chang. Biol. 2015, 21, 1567–1580. [Google Scholar] [CrossRef]
- Kim, J.; Chaudhary, D.R.; Lee, J.; Byun, C.; Ding, W.; Kwon, B.-O.; Khim, J.S.; Kang, H. Microbial mechanism for enhanced methane emission in deep soil layer of Phragmites-introduced tidal marsh. Environ. Int. 2020, 134, 105251. [Google Scholar] [CrossRef]
- Yuan, J.; Ding, W.; Liu, D.; Kang, H.; Xiang, J.; Lin, Y. Shifts in methanogen community structure and function across a coastal marsh transect: Effects of exotic Spartina alterniflora invasion. Sci. Rep. 2016, 6, 18777. [Google Scholar] [CrossRef] [PubMed]
- Lin, Y.; Liu, D.; Ding, W.; Kang, H.; Freeman, C.; Yuan, J.; Xiang, J. Substrate sources regulate spatial variation of metaboli-cally active methanogens from two contrasting freshwater wetlands. Appl. Microbiol. Biotechnol. 2015, 99, 10779–10791. [Google Scholar] [CrossRef] [PubMed]






| Data | Unit | Observation Period/Year | Tidal Flats | References | |||
|---|---|---|---|---|---|---|---|
| PA | SA | SJ | BTF | ||||
| Input raw data | |||||||
| Average biomass | kg m−2 yr−1 | 2017–2019 | 1.140 | 1.269 | 0.372 | - | This study |
| C sequestration rate | kg m−2 yr−1 | - | - | - | - | 0.049 | [29] |
| Bulk density | g cm−3 | 2017 | 1.190 | 1.060 | 1.192 | 1.300 | [29] |
| Soil texture | - | 2017 | Mud | Mud | Mud | Mud | [29] |
| Mean temperature | °C | 2017–2020 | 11.90 | 11.90 | 11.90 | 11.90 | [38] |
| Precip. (annual mean) | mm | 2017–2020 | 1060 | 1060 | 1060 | 1060 | [38] |
| Initial C in topsoil | kgC m−2 | 2017 | 2.140 | 1.837 | 2.730 | 2.493 | [29] |
| Csequestration: CH4_C | - | - | 131:1 | 44:1 | 153:1 | 279:1 | This study |
| Model parameterization | |||||||
| imean | kg m−2 yr−1 | - | 0.570 | 0.689 | 0.180 | 0.049 | This study |
| h | - | - | 0.226 | 0.234 | 0.220 | 0.410 | This study |
| mean | - | - | 1.667 | 1.666 | 1.665 | 1.666 | This study |
| k21 | yr−1 | - | 0.800 | 0.800 | 0.800 | 0.800 | [16] |
| k22 | yr−1 | - | 0.006 | 0.006 | 0.006 | 0.006 | [16] |
Publisher’s Note: MDPI stays neutral with regard to jurisdictional claims in published maps and institutional affiliations. |
© 2021 by the authors. Licensee MDPI, Basel, Switzerland. This article is an open access article distributed under the terms and conditions of the Creative Commons Attribution (CC BY) license (https://creativecommons.org/licenses/by/4.0/).
Share and Cite
Dang, N.Y.T.; Park, H.-S.; Mir, K.A.; Kim, C.-G.; Kim, S. Greenhouse Gas Emission Model for Tidal Flats in the Republic of Korea. J. Mar. Sci. Eng. 2021, 9, 1181. https://doi.org/10.3390/jmse9111181
Dang NYT, Park H-S, Mir KA, Kim C-G, Kim S. Greenhouse Gas Emission Model for Tidal Flats in the Republic of Korea. Journal of Marine Science and Engineering. 2021; 9(11):1181. https://doi.org/10.3390/jmse9111181
Chicago/Turabian StyleDang, Nhi Yen Thi, Heung-Sik Park, Kaleem Anwar Mir, Choong-Gon Kim, and Seungdo Kim. 2021. "Greenhouse Gas Emission Model for Tidal Flats in the Republic of Korea" Journal of Marine Science and Engineering 9, no. 11: 1181. https://doi.org/10.3390/jmse9111181
APA StyleDang, N. Y. T., Park, H.-S., Mir, K. A., Kim, C.-G., & Kim, S. (2021). Greenhouse Gas Emission Model for Tidal Flats in the Republic of Korea. Journal of Marine Science and Engineering, 9(11), 1181. https://doi.org/10.3390/jmse9111181

