Dynamics Modeling and Motion Simulation of USV/UUV with Linked Underwater Cable
Abstract
1. Introduction
2. Dynamics Modeling
2.1. Notation and Coordinate System
2.2. Linear and Angular Velocity Transformation
2.3. 6-DOF Dynamic Equations of Motion of Marine Vehicle
2.4. USV Modeling
- Homogeneous mass distribution and xz-plane symmetry
- The heave, roll and pitch modes can be neglected
- The damping matrix element can ignore the first order higher-order term
2.4.1. Thrust Force Acting on the USV
2.4.2. Wind Load
2.4.3. Current Load
2.5. UUV Modeling
Thrust Force Acting on the UUV
2.6. Underwater Cable Modeling and Experimental Validation
2.6.1. Underwater Cable Modeling
- The umbilical cable is incompressible.
- The cable surface is relatively smooth, ignoring the attachments on the cable.
- The bending stiffness of the cable is ignored. The umbilical cable can only resist the tension force, but not the bending moment and the compression force.
- The torsional rigidity and the quality of cable point rotation effect, which do not consider the torque, are ignored.
2.6.2. Underwater Cable Verification
3. Full Unmanned Ocean Platform Model
3.1. Boundary Conditions
3.2. Interaction between the USV, UUV and Underwater Cable
4. Dynamic Model Simulation
- Case 1: Dynamic behavior of the USV (straight motion, turning motion with disturbance)
- Case 2: Dynamic behavior of the UUV (straight motion, turning motion with disturbance)
- Case 3: Dynamic behavior of the unmanned ocean platform (straight motion, turning motion with disturbance)
4.1. Case 1: Dynamic Behavior of the USV without Disturbance
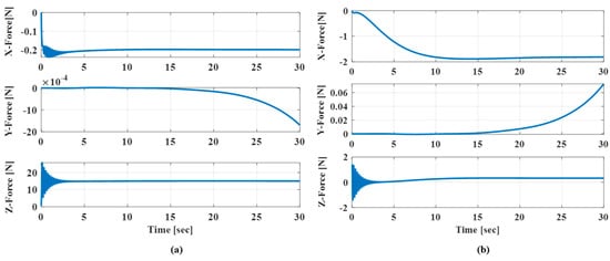
4.2. Case 2: Dynamic Behavior of the USV with Disturbance (Wind Load, Current)
4.3. Case 3: Dynamic Behavior of the UUV
4.4. Case 4: Dynamic Behavior of the UUV with Disturbance (Current)
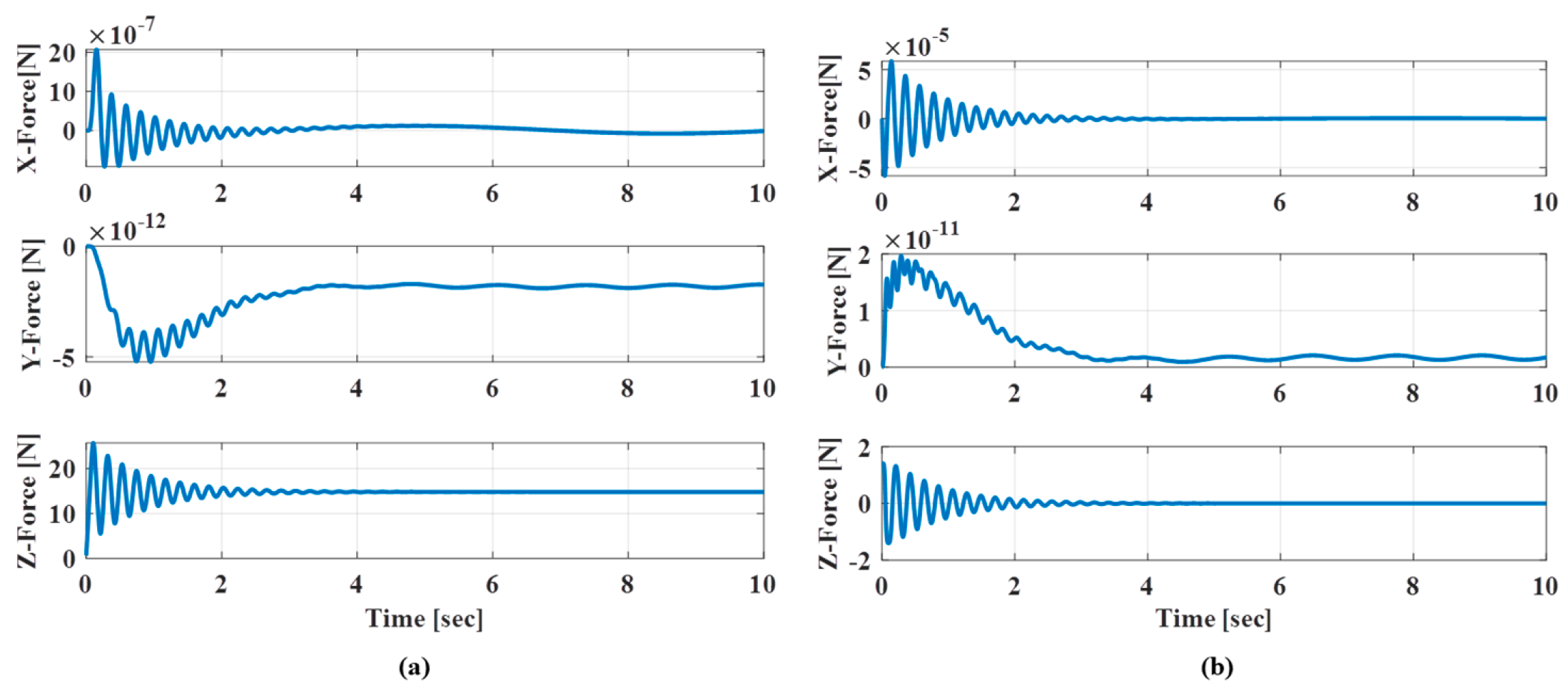
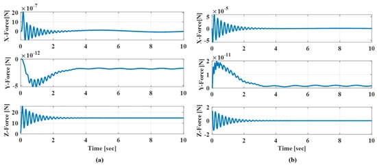
4.5. Case 5: Dynamic Behavior of the Unmanned Ocean Platform (Stationary Motion)
4.6. Case 6: Dynamic Behavior of the Unmanned Ocean Platform (Similar Velocity)
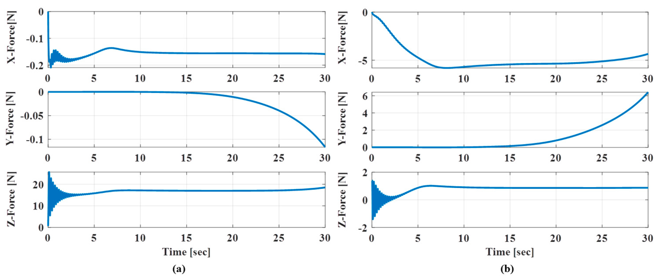
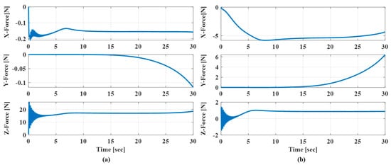
4.7. Case 7: Dynamic Behavior of the Unmanned Ocean Platform (Different Velocity)
5. Conclusions
Author Contributions
Funding
Conflicts of Interest
Appendix A
- Inertia and Coriolis Matrix w.r.t rigid body:
- Inertia Matrix (Added Mass):
- Hydrodynamic Coriolis Matrix (Added Mass):
- Hydrodynamic Damping Matrix (Linear and Non-linear term):
- Restoring Forces and Moments:
References
- Ha, J.-H.; Ko, H.-K.; Cho, H.-S.; Chung, W.; Ahn, D.; Shin, S.-R. A proposal of marine geophysical exploration techniques for offshore plant installation. J. Korean Soc. Mar. Eng. 2013, 37, 242–251. [Google Scholar]
- Marsset, T.; Marsset, B.; Ker, S.; Thomas, Y.; Le Gall, Y. High and very high resolution deep-towed seismic system: Performance and examples from deep water Geohazard studies. Deep. Sea Res. Part I: Oceanogr. Res. Pap. 2010, 57, 628–637. [Google Scholar] [CrossRef]
- Balanzar, L.N.; Sanchez-Gaytán, J.L.; Fonseca-Navarro, F.; Salgado-Jiménez, T.; Garcia-Valdovinos, L.G.; Rubio-Lopez, O.; Gómez-Espinosa, A.; Ramirez-Martinez, A. Towards Teleoperation and Automatic Control Features of an Unmanned Surface Vessel-ROV System: Preliminary Results. In Proceedings of the 14th International Conference on Informatics in Control, Automation and Robotics, Madrid, Spain, 26–28 July 2017; pp. 292–299. [Google Scholar]
- ECA Groups Shows Off USV/ROV Combo for Subsea IMR Ops. Available online: https://www.ecagroup.com/media-file/5444-eca-group-press-review-subsea-world-news-eca-group-shows-off-usv-rov-combo-for-subsea-imr-ops.pdf (accessed on 28 April 2020).
- Available online: https://www.unmannedsystemstechnology.com/2013/10/video-thales-asv-saab-complete-unmanned-mine-countermeasures-exercise/ (accessed on 28 April 2020).
- Available online: https://ndiastorage.blob.core.usgovcloudapi.net/ndia/2005/umv_auv/tuesday/mons.pdf (accessed on 28 April 2020).
- Kamman, J.W.; Huston, R.L. Modeling of Variable Length Towed and Tethered Cable Systems. J. Guid. Control. Dyn. 1999, 22, 602–608. [Google Scholar] [CrossRef]
- Masciola, M.; Jonkman, J.; Robertson, A. Extending the capabilities of the mooring analysis program: A survey of dynamic mooring line theories for integration into FAST. In Proceedings of the ASME 2014 3rd International Conference on Ocean, Offshore and Arctic Engineering, San Francisco, CA, USA, 8–13 June 2014. [Google Scholar]
- Eidsvik, O.A.N.; Schjølberg, I. Finite element cable-model for Remotely Operated Vehicles (ROVs) by application of beam theory. Ocean Eng. 2018, 163, 32–36. [Google Scholar]
- Driscoll, F.R.; Lueck, R.G.; Nahon, M. Development and validation of a lumped-mas dynamics model of a dep-sea ROV system. Appl. Ocean Res. 2000, 22, 169–182. [Google Scholar] [CrossRef]
- Buckham, B.J. Dynamics Modeling of Low-Tension Tethers for Submerged Remotely Operated Vehicles. Master’s Thesis, University of Victoria, Victoria, BC, Canada, 2011. [Google Scholar]
- Merchant, H.C.; Kelf, M.A. Non-Linear Analysis of Submerged Ocean Buoy Systems. In Proceedings of the Ocean 73—IEEE International Conference on Engineering in the Ocean Environment, Seattle, WA, USA, 25–28 September 1973; Volume 1, pp. 390–395. [Google Scholar]
- Choo, Y.-I.; Casarella, M.J. A Survey of Analytical Methods for Dynamic Simulation of Cable-Body Systems. J. Hydronautics 1973, 7, 137–144. [Google Scholar] [CrossRef]
- Grosenbaugh, M. Transient behavior of towed cable systems during ship turning maneuvers. Ocean Eng. 2007, 34, 1532–1542. [Google Scholar] [CrossRef]
- Fossen, T.I. Guidance and Control of Ocean Vehicles; Wiley: New York, NY, USA, 1994; Volume 199. [Google Scholar]
- Muske, K.R.; Ashrafiuon, H.; Haas, G.; McCloskey, R.; Flynn, T. Identification of a control oriented nonlinear dynamic USV model. In Proceedings of the 2008 American Control Conference, Seattle, WA, USA, 11–13 June 2008; pp. 562–567. [Google Scholar]
- Gertler, M.; Hagen, G.R. Standard Equations of Motion for Submarine Simulation; No. NSRDC-2510; David w Taylor Naval Ship Research and Development Center Bethesda MD: Washington, USA, 1967. [Google Scholar]
- Advances in Unmanned Marine Vehicles; Roberts, G.N., Robert, S., Eds.; IET: Stevenage, UK, 2006; Volume 69. [Google Scholar]
- Prestero, T.J. Verification of a Six-Degree of Freedom Simulation Model for the REMUS Autonomous Underwater Vehicle. Ph.D. Thesis, Massachusetts institute of technology, Cambridge, MA, USA, 2001. [Google Scholar]
- Buckham, B.; Nahon, M.; Seto, M.; Zhao, X.; Lambert, C. Dynamics and control of a towed underwater vehicle system, part I: Model development. Ocean Eng. 2003, 30, 453–470. [Google Scholar] [CrossRef]
- Available online: https://minnkotamotors.johnsonoutdoors.com/saltwater-trolling-motors/riptide-engine-mount (accessed on 28 April 2020).
- Available online: https://tecnadyne.com/wp-content/uploads/2017/06/Model-300-Brochure-3.pdf (accessed on 28 April 2020).
- Huang, S. Dynamic analysis of three-dimensional marine cables. Ocean Eng. 1994, 21, 587–605. [Google Scholar] [CrossRef]
- Kelf, M.; Merchant, H. Analysis of a multiple buoy instrument platform; A non linear model. In Proceedings of the Ocean ’74—IEEE International Conference on Engineering in the Ocean Environment, Halifax, NS, Canada, 21–23 August 1974; Volume 1, pp. 4–48. [Google Scholar]
- Thomson, W.T.; Dahleh, M.D. Theory of Vibrations with Applications; Prentice Hal: Upper Saddle River, NJ, USA, 1982; pp. 16–89. [Google Scholar]
- Driscoll, F.R.; Nahon, M. Mathematical Modeling and Simulation of a Moored Buoy System. In Proceedings of the MTS/IEEE OCEANS ’96, Fort Lauderdale, FL, USA, 23–26 September 1996; Volume 1, pp. 517–523. [Google Scholar]
- Newman, J.N. Marine Hydrodynamics; MIT Press: Cambridge, MA, USA, 1977. [Google Scholar]
- Reyhanoglu, M. Control and stabilization of an underactuated surface vessel. In Proceedings of the 35th IEEE Conference on Decision and Control, Kobe, Japan, 13–14 December 1996; Volume 3. [Google Scholar]
- Ueno, M.; Nimura, T.; Miyazaki, H. Experimental study on maneuvering motion of a ship in waves. In Proceedings of the International Conference on Marine Simulation and Ship Maneuverability, Kanazawa, Japan, 25–28 August 2003. [Google Scholar]
- Yasukawa, H. Simulations of a ship maneuvering in waves (1st report: Turning motion). J. Jpn. Soc. Nav. Archit. Ocean Eng. 2006, 4, 127–136. [Google Scholar] [CrossRef][Green Version]


























| Degree of Freedom | Forces and Moments | Linear and Angular Velocities | Position and Orientation | |
|---|---|---|---|---|
| Translational Motion | Surge (x-axis) | |||
| Sway (y-axis) | ||||
| Heave (z-axis) | ||||
| Rotational Motion | Roll (x-axis) | |||
| Pitch (y-axis) | ||||
| Yaw (z-axis) | ||||
| Parameter | Value |
|---|---|
| Cable diameter | 0.025 m |
| Cable density | 3121 |
| Cable drag coefficient | 2.5 |
| Cable damping coefficient | 100 |
| Effective modulus of elasticity | 7.5 × |
| Total cable length | 3 m |
| Number of Cable nodes | 20 |
| Current Velocity | Simulation | Experiment | |
|---|---|---|---|
| Tension [kgf] | 0 m/s | 11.39 | 13.06 |
| 0.3 m/s | 13.13 | 13.10 | |
| 0.5 m/s | 13.91 | 13.15 | |
| 0.7 m/s | 14.20 | 14.05 | |
| 1.0 m/s | 16.53 | 17.99 | |
| Lay-back Angle [deg] | 0 m/s | 0 | 0.23 |
| 0.3 m/s | 2.25 | 2.43 | |
| 0.5 m/s | 6.62 | 8.78 | |
| 0.7 m/s | 9.29 | 11.85 | |
| 1.0 m/s | 14.78 | 16.14 |
| Parameter | Unit | Value |
|---|---|---|
| USV parameters | ||
| Length | m | 3 |
| Breadth | m | 1.82 |
| Mass | Kg | 200 |
| Distance between rear thrust | m | 1.17 |
| UUV parameters | ||
| Dimensions (L × B × H) | m | 1.79 × 0.25 × 0.25 |
| Weight | kg | 12 (in water) |
| Center of gravity | m | (0, 0, 0.0196) |
| Center of buoyancy | m | (0, 0, 0) |
| Moment of inertia | kgm2 | (0.177, 3.45, 3.45) |
© 2020 by the authors. Licensee MDPI, Basel, Switzerland. This article is an open access article distributed under the terms and conditions of the Creative Commons Attribution (CC BY) license (http://creativecommons.org/licenses/by/4.0/).
Share and Cite
Hong, S.M.; Ha, K.N.; Kim, J.-Y. Dynamics Modeling and Motion Simulation of USV/UUV with Linked Underwater Cable. J. Mar. Sci. Eng. 2020, 8, 318. https://doi.org/10.3390/jmse8050318
Hong SM, Ha KN, Kim J-Y. Dynamics Modeling and Motion Simulation of USV/UUV with Linked Underwater Cable. Journal of Marine Science and Engineering. 2020; 8(5):318. https://doi.org/10.3390/jmse8050318
Chicago/Turabian StyleHong, Sung Min, Kyoung Nam Ha, and Joon-Young Kim. 2020. "Dynamics Modeling and Motion Simulation of USV/UUV with Linked Underwater Cable" Journal of Marine Science and Engineering 8, no. 5: 318. https://doi.org/10.3390/jmse8050318
APA StyleHong, S. M., Ha, K. N., & Kim, J.-Y. (2020). Dynamics Modeling and Motion Simulation of USV/UUV with Linked Underwater Cable. Journal of Marine Science and Engineering, 8(5), 318. https://doi.org/10.3390/jmse8050318

