Near-Trapping on a Four-Column Structure and the Reduction of Wave Drift Forces Using Optimized Method
Abstract
:1. Introduction
2. Theory
2.1. Structural Arrangement
2.2. Wave Drift Force and Wave Elevation
2.3. Description of GA
2.3.1. Initial Population
2.3.2. Operators
2.3.3. Variables and Objective Function
2.3.4. Constraints
2.3.5. Termination Conditions
3. Numerical Results and Discussion
3.1. The Near-Trapping on the Four-Column Structure
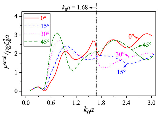
3.2. Avoid Near-Trapping by Changing Wave-Approach Angle
3.3. Optimization of Wave Drift Force on the Whole Structure
4. Conclusions
- 1)
- The way of changing the wave-approach angle to avoid the near-trapping phenomenon is effective due to the fact that the symmetry of the structure is destroyed. The wave elevation, the wave drift forces on each cylinder can be improved at the near-trapping frequency by changing the wave-approach angle, while the decrease of the wave drift force on the whole structure is limited.
- 2)
- The reduction of the wave drift force not only on the whole structure at the but also on each cylinder by the optimized method was validated. The improvement of the wave elevation near the cylinder contributes to the reduction of the wave drift force acting on each cylinder.
- 3)
- The optimization method was applied to minimize the total wave drift force on the whole structure for four other different wavenumbers. It should be noted that the optimized arrangement obtained from a certain wavenumber can work not only at this target wavenumber but also at a range of wavenumbers, which means the optimization of structure can be applied to wide frequencies in practice.
Author Contributions
Funding
Conflicts of Interest
Nomenclature
| Wave approach angle | |
| a | Radius of the cylinder |
| d | Draft of the cylinder |
| Circular frequency of incident waves | |
| h | Water depth |
| Water density | |
| g | Gravitational acceleration |
| L | Distance between the cylinder and the coordinate origin |
| Amplitude of incident waves | |
| Elevation of incident waves | |
| Wave elevation considering phase | |
| Wave elevation | |
| Wave drift force on the n-th cylinder | |
| Wave number | |
| Wave drift force on the four cylinders | |
| c | Reduction coefficient of by optimized method |
References
- Faltinsen, O. Sea Loads on Ships and Offshore Structures; Cambridge University Press: Cambridge, UK, 1990. [Google Scholar]
- Ursell, F. Trapping modes in the theory of surface waves. In Mathematical Proceedings of the Cambridge Philosophical Society; Cambridge University Press: Cambridge, UK, 1951; Volume 47, pp. 347–358. [Google Scholar]
- Callan, M.; Linton, C.; Evans, D. Trapping modes in two-dimensional wave-guides. J. Fluid Mech. 1991, 229, 51–64. [Google Scholar] [CrossRef]
- Maniar, H.; Newman, J. Wave Diffraction by a long array of cylinders. J. Fluid Mech. 1997, 339, 309–330. [Google Scholar] [CrossRef]
- Evans, D.; Porter, R. Near-trapping of waves by circular arrays of vertical cylinders. Appl. Ocean Res. 1997, 19, 83–99. [Google Scholar] [CrossRef]
- Jiang, S.; Lv, L.; Teng, B.; Gou, Y. Hydrodynamic analyses for near-trapping of a four-cylinder structures under water waves. J. Harbin Eng. Univ. China 2011, 32, 546–554. [Google Scholar]
- Wang, Z.; He, G.; Zhang, Z.; Meng, Y. Viscous-flow-based analysis of wave near-trapped in a four-cylinder structure. J. Mar. Sci. Appl. 2018, 17, 371–379. [Google Scholar] [CrossRef]
- Malenica, S.; Taylor, R.; Huang, J. Second-order water waves diffraction by an array of vertical cylinders. J. Fluid Mech. 1999, 390, 349–373. [Google Scholar] [CrossRef]
- Grice, J.; Taylor, P.; Taylor, R. Near-trapping effects for multi-column structures in deterministic and random waves. Ocean Eng. 2013, 58, 60–77. [Google Scholar] [CrossRef]
- Wang, C.; Wu, G. Time domain analysis of second-order wave diffraction by an array of vertical cylinders. J. Fluids Struct. 2007, 23, 605–631. [Google Scholar] [CrossRef]
- Bai, W.; Feng, X.; Taylor, R.; Ang, K. Fully nonlinear analysis of near-trapping phenomenon around an array of cylinders. Appl. Ocean Res. 2014, 44, 71–81. [Google Scholar] [CrossRef]
- Cong, P.; Gou, Y.; Teng, B.; Zhang, K.; Huang, Y. Model experiments on wave elevation around a four-cylinder structure. Ocean Eng. 2015, 96, 40–55. [Google Scholar] [CrossRef]
- Duclos, G.; Clement, A. Wave propagation through arrays of unevenly spaced vertical piles. Ocean Eng. 2004, 31, 1655–1668. [Google Scholar] [CrossRef]
- Chen, J.; Lin, Y.; Lee, Y.; Wu, C. Water wave interaction with surface-piercing porous cylinders using the null-field integral equations. Ocean Eng. 2011, 38, 409–418. [Google Scholar] [CrossRef]
- Evans, D.; Porter, R. Near-trapping and trapping by arrays of cylinders in waves. J. Eng. Math. 1999, 35, 149–179. [Google Scholar] [CrossRef]
- Newman, J. Cloaking a circular cylinder in water waves. Eur. J. Mech. B/Fluid 2014, 47, 145–150. [Google Scholar] [CrossRef]
- Iida, T.; Kashiwagi, M.; He, G. Numerical confirmation of cloaking phenomenon array of floating bodies and reduction of wave drift force. Int. J. Offshore Polar Eng. 2014, 24, 241–246. [Google Scholar]
- Tasrief, M.; Kashiwagi, M. Improvement of ship geometry by optimizing the sectional area curve with binary-coded genetic algorithms (BCGAS). In Proceedings of the 23th International Offshore and Polar Engineering Conference, Anchorage, AK, USA, 30 June–5 July 2013; pp. 869–875. [Google Scholar]
- Zhang, Z.; He, G.; Wang, Z. Real-coded genetic algorithm optimization in reduction of wave drift forces on an array of truncated cylinders. J. Mar. Sci. Technol. 2019, 24, 930–947. [Google Scholar] [CrossRef]
- Kagemoto, H.; Yue, D. Three-dimensional bodies in water waves: an exact algebraic method. J. Fluid Mech. 1986, 166, 189–209. [Google Scholar] [CrossRef]
- Kashiwagi, M. An accurate calculation method for wave-induced steady force on multiple bodies. Trans. West-Jpn. Soc. Nav. Archit. Bull Res. Inst. Appl. Mech. Kyushu Univ. Jpn. 1995, 78, 83–98. [Google Scholar]
- Maruo, H. The drift of a body floating on waves. J. Ship Res. 1960, 4, 1–10. [Google Scholar]





















| L | d | a | |
|---|---|---|---|
| L | d | |||
|---|---|---|---|---|
| 1.68 | 3.2694 | 2.0021 | 1.0945 |
| L | d | c | ||||
|---|---|---|---|---|---|---|
| Original | Optimized | |||||
| 1.0 | 3.2188 | 2.5258 | 2.0594 | 0.9314 | 55% | |
| 1.2 | 2.6235 | 2.5089 | 1.6851 | 1.1728 | 30% | |
| 1.4 | 4.0762 | 2.7528 | 1.9467 | 1.1417 | 41% | |
| 1.8 | 3.0712 | 2.6103 | 2.0350 | 1.0945 | 46% | |
© 2020 by the authors. Licensee MDPI, Basel, Switzerland. This article is an open access article distributed under the terms and conditions of the Creative Commons Attribution (CC BY) license (http://creativecommons.org/licenses/by/4.0/).
Share and Cite
He, G.; Zhang, Z.; Wang, W.; Wang, Z.; Jing, P. Near-Trapping on a Four-Column Structure and the Reduction of Wave Drift Forces Using Optimized Method. J. Mar. Sci. Eng. 2020, 8, 174. https://doi.org/10.3390/jmse8030174
He G, Zhang Z, Wang W, Wang Z, Jing P. Near-Trapping on a Four-Column Structure and the Reduction of Wave Drift Forces Using Optimized Method. Journal of Marine Science and Engineering. 2020; 8(3):174. https://doi.org/10.3390/jmse8030174
Chicago/Turabian StyleHe, Guanghua, Zhigang Zhang, Wei Wang, Zhengke Wang, and Penglin Jing. 2020. "Near-Trapping on a Four-Column Structure and the Reduction of Wave Drift Forces Using Optimized Method" Journal of Marine Science and Engineering 8, no. 3: 174. https://doi.org/10.3390/jmse8030174
APA StyleHe, G., Zhang, Z., Wang, W., Wang, Z., & Jing, P. (2020). Near-Trapping on a Four-Column Structure and the Reduction of Wave Drift Forces Using Optimized Method. Journal of Marine Science and Engineering, 8(3), 174. https://doi.org/10.3390/jmse8030174

