Dynamics Simulation of the Risk Coupling Effect between Maritime Pilotage Human Factors under the HFACS Framework
Abstract
1. Introduction
2. Literature Review
3. Methodology and Data
3.1. Risk Coupling and the Coupling Function
3.1.1. Risk Coupling
3.1.2. Coupling Degree Function
3.2. HFACS Model
3.3. Research Framework
3.4. Risk Measurement
3.5. SD in HOF Risk Coupling Model for Maritime Pilotage
3.5.1. SD Theory
3.5.2. Causal Relationship SD Model for Maritime Pilotage
4. Results
4.1. Flow Diagram of the HOF Risk Coupling Model in Pilotage
4.2. Data Acquisition
4.2.1. Risk of Foundational RCEs
4.2.2. Risk of Upper RCEs
4.3. Dynamics Simulation
4.4. Analysis of RCEs in Pilotage Operation
4.5. Risk Coupling and Volatility Judgment
5. Analysis and Discussion
5.1. Risk Analysis of HOF RCEs
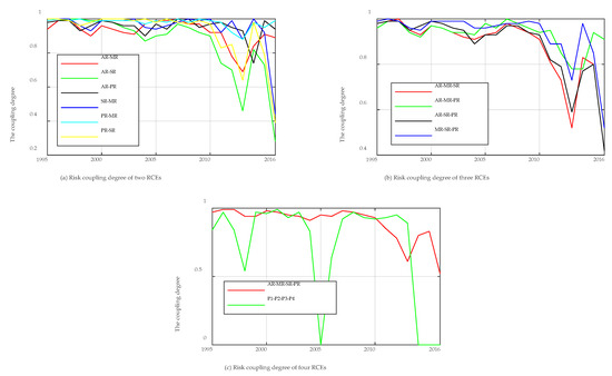
5.2. Coupling Analysis of HOF RCEs
6. Conclusions
Author Contributions
Funding
Acknowledgments
Conflicts of Interest
References
- Hu, S.; Fang, Q.; Xia, H.; Xi, Y. Formal safety assessment based on relative risks model in ship navigation. Reliab. Eng. Syst. Saf. 2007, 92, 369–377. [Google Scholar] [CrossRef]
- Fang, Q.; Hu, S. Application of formal safety assessment to the risk assessment of the ship-pilotage. J. Harbin Eng. Univ. 2006, 27, 329–334. [Google Scholar]
- Xi, Y.T.; Yang, Z.L.; Fang, Q.G.; Chen, W.J.; Wang, J. A new hybrid approach to human error probability quantification–applications in maritime operations. Ocean Eng. 2017, 138, 45–54. [Google Scholar] [CrossRef]
- Maritime Safety Administration (MSA). Report on the Investigation of the Collision between SANCHI and CF CRYSTAL; Maritime Safety Administration (MSA): Shanghai, China, 2018.
- Volovoi, V.; Valenzuela, R.C. On compact modeling of coupling effects in maintenance processes of complex systems. Int. J. Eng. Sci. 2012, 59, 193–210. [Google Scholar] [CrossRef]
- Shanghai Harbour Pilot Association; Shanghai Maritime University. Formal Safety Assessment on Pilotage Risk in Shanghai Port (1995–2016); Shanghai Harbour Pilot Association; Shanghai Maritime University: Shanghai, China, 2018. [Google Scholar]
- Hetherington, C.; Flin, R.; Mearns, K. Safety in shipping: The human element. J. Saf. Res. 2006, 37, 401–411. [Google Scholar] [CrossRef] [PubMed]
- Manuele, F.A. Reviewing Heinrich: Dislodging two myths from the practice of safety. Prof. Saf. 2011, 56, 52–61. [Google Scholar]
- Cooper, S.; Ramey-Smith, A.; Wreathall, J.; Parry, G. A Technique for Human Error Analysis (ATHEANA); Nuclear Regulatory Commission: Rockville, MD, USA, 1996.
- Marseguerra, M.; Zio, E.; Librizzi, M. Quantitative developments in the cognitive reliability and error analysis method (CREAM) for the assessment of human performance. Ann. Nucl. Energy 2006, 33, 894–910. [Google Scholar] [CrossRef]
- Li, P.; Chen, G.; Dai, L.; Zhang, L. A fuzzy Bayesian network approach to improve the quantification of organizational influences in HRA frameworks. Saf. Sci. 2012, 50, 1569–1583. [Google Scholar] [CrossRef]
- Sotiralis, P.; Ventikos, N.P.; Hamann, R.; Golyshev, P.; Teixeira, A. Incorporation of human factors into ship collision risk models focusing on human centred design aspects. Reliab. Eng. Syst. Saf. 2016, 156, 210–227. [Google Scholar] [CrossRef]
- Edwards, E. Man and Machine: Systems for Safety. In Proceedings of British Airline Pilots Association Technical Symposium; British Airline Pilots Association: London, UK, 1972; pp. 21–36. [Google Scholar]
- Hawkins, F. Human Factors education in European air transport operations. In Breakdown in Human Adaptation to ‘Stress’; Springer: Berlin/Heidelberg, Germany, 1984; pp. 329–362. [Google Scholar]
- Kawano, R. Steps Toward the Realization of “Human-Centered Systems”-An Overview of the Human Factors Activities at TEPCO. In Proceedings of the 1997 IEEE Sixth Conference on Human Factors and Power Plants, 1997.’Global Perspectives of Human Factors in Power Generation’, Orlando, FL, USA, 8–13 June 1997; pp. 27–32. [Google Scholar]
- Chang, Y.; Wang, Y. Significant human risk factors in aircraft maintenance technicians. Saf. Sci. 2010, 48, 54–62. [Google Scholar] [CrossRef]
- Salmon, P.M.; Cornelissen, M.; Trotter, M.J. Systems-based accident analysis methods: A comparison of Accimap, HFACS, and STAMP. Saf. Sci. 2012, 50, 1158–1170. [Google Scholar] [CrossRef]
- Shappell, S.A.; Wiegmann, D.A. The Human Factors Analysis and Classification System—HFACS; The National Technical Information Service: Springfield, VI, USA, 2000.
- Daramola, A.Y. An investigation of air accidents in Nigeria using the Human Factors Analysis and Classification System (HFACS) framework. J. Air. Transp. Manag. 2014, 35, 39–50. [Google Scholar] [CrossRef]
- Zhou, T.; Zhang, J.; Baasansuren, D. A hybrid HFACS-BN model for analysis of Mongolian aviation professionals’ awareness of human factors related to aviation safety. Sustainability. 2018, 10, 4522. [Google Scholar] [CrossRef]
- Xia, N.; Zou, P.X.; Liu, X.; Wang, X.; Zhu, R. A hybrid BN-HFACS model for predicting safety performance in construction projects. Saf. Sci. 2018, 101, 332–343. [Google Scholar] [CrossRef]
- Li, C.; Tang, T.; Chatzimichailidou, M.M.; Jun, G.T.; Waterson, P. A hybrid human and organisational analysis method for railway accidents based on STAMP-HFACS and human information processing. Appl. Ergon. 2019, 79, 122–142. [Google Scholar] [CrossRef]
- Zhan, Q.; Zheng, W.; Zhao, B. A hybrid human and organizational analysis method for railway accidents based on HFACS-Railway Accidents (HFACS-RAs). Saf. Sci. 2017, 91, 232–250. [Google Scholar] [CrossRef]
- Zhang, M.; Zhang, D.; Goerlandt, F.; Yan, X.; Kujala, P. Use of HFACS and fault tree model for collision risk factors analysis of icebreaker assistance in ice-covered waters. Saf. Sci. 2019, 111, 128–143. [Google Scholar] [CrossRef]
- Yıldırım, U.; Başar, E.; Uğurlu, Ö. Assessment of collisions and grounding accidents with human factors analysis and classification system (HFACS) and statistical methods. Saf. Sci. 2019, 119, 412–425. [Google Scholar] [CrossRef]
- Uğurlu, Ö.; Yıldız, S.; Loughney, S.; Wang, J. Modified human factor analysis and classification system for passenger vessel accidents (HFACS-PV). Ocean Eng. 2018, 161, 47–61. [Google Scholar] [CrossRef]
- Theophilus, S.C.; Esenowo, V.N.; Arewa, A.O.; Ifelebuegu, A.O.; Nnadi, E.O.; Mbanaso, F.U. Human factors analysis and classification system for the oil and gas industry (HFACS-OGI). Reliab. Eng. Syst. Saf. 2017, 167, 168–176. [Google Scholar] [CrossRef]
- Liu, R.; Cheng, W.; Yu, Y.; Xu, Q.; Jiang, A.; Lv, T. An impacting factors analysis of miners' unsafe acts based on HFACS-CM and SEM. Process. Saf. Environ. 2019, 122, 221–231. [Google Scholar] [CrossRef]
- Lenné, M.G.; Salmon, P.M.; Liu, C.C.; Trotter, M. A systems approach to accident causation in mining: An application of the HFACS method. Accid. Anal. Prev. 2012, 48, 111–117. [Google Scholar] [CrossRef] [PubMed]
- Hu, S.; Li, Z.; Xi, Y.; Gu, X.; Zhang, X. Path Analysis of Causal Factors Influencing Marine Traffic Accident via Structural Equation Numerical Modeling. J. Mar. Sci. Eng. 2019, 7, 96. [Google Scholar] [CrossRef]
- Sapateiro, C.; Baloian Tataryan, N.; Antunes, P.; Zurita Alarcón, G. Developing a mobile collaborative tool for business continuity management. J. Univ. Comput. Sci. 2011, 17, 164–182. [Google Scholar]
- Dai, T.; Wang, H. The human factors analysis of marine accidents based on Goal Structure Notion. In Proceedings of the IEEE International Conference on Industrial Engineering and Engineering Management, Singapore, 6–9 December 2011; pp. 1883–1887. [Google Scholar]
- Underwood, P.; Waterson, P. Systemic accident analysis: Examining the gap between research and practice. Accid. Anal. Prev. 2013, 55, 154–164. [Google Scholar] [CrossRef]
- Underwood, P.; Waterson, P. Systems thinking, the Swiss Cheese Model and accident analysis: A comparative systemic analysis of the Grayrigg train derailment using the ATSB, AcciMap and STAMP models. Accid. Anal. Prev. 2014, 68, 75–94. [Google Scholar] [CrossRef]
- Rasmussen, J. Risk management in a dynamic society: A modelling problem. Saf. Sci. 1997, 27, 183–213. [Google Scholar] [CrossRef]
- Leveson, N. A new accident model for engineering safer systems. Saf. Sci. 2004, 42, 237–270. [Google Scholar] [CrossRef]
- Peng, M.; Peng, Y.; Chen, H. Post-seismic supply chain risk management: A system dynamics disruption analysis approach for inventory and logistics planning. Comput. Oper. Res. 2014, 42, 14–24. [Google Scholar] [CrossRef]
- Hollnagel, E. FRAM: The Functional Resonance Analysis Method: Modelling Complex Socio-Technical Systems; CRC Press: Boca Raton, FL, USA, 2017. [Google Scholar]
- Maritime Safety Committee (MSC); Marine Environment Protection Committee (MEPC). Revised Guidelines for Formal Safety Assessment (FSA); International Maritime Organization (IMO): London, UK, 2018. [Google Scholar]
- Wang, R.; Cheng, J.; Zhu, Y.; Lu, P. Evaluation on the coupling coordination of resources and environment carrying capacity in Chinese mining economic zones. Resour. Policy 2017, 53, 20–25. [Google Scholar] [CrossRef]
- Liu, W.-W.; Sun, R.; Li, Q. Measurement of coupling degree between regional knowledge innovation and technological innovation: An empirical analysis based on provincial panel data in China during 2010–2014. J. Interdiscip. Mathematics 2017, 20, 125–139. [Google Scholar] [CrossRef]
- Chauvin, C.; Lardjane, S.; Morel, G.; Clostermann, J.P.; Langard, B. Human and organisational factors in maritime accidents: Analysis of collisions at sea using the HFACS. Accid. Anal. Prev. 2013, 59, 26–37. [Google Scholar] [CrossRef]
- Chen, S.; Wall, A.; Davies, P.; Yang, Z.; Wang, J.; Chou, Y. A Human and Organisational Factors (HOFs) analysis method for marine casualties using HFACS-Maritime Accidents (HFACS-MA). Saf. Sci. 2013, 60, 105–114. [Google Scholar] [CrossRef]
- Kwak, D.; Heo, J.; Park, S.; Seo, S.; Kim, J. Energy-efficient design and optimization of boil-off gas (BOG) re-liquefaction process for liquefied natural gas (LNG)-fuelled ship. Energy 2018, 148, 915–929. [Google Scholar] [CrossRef]
- Jeong, B.; Lee, B.S.; Zhou, P.; Ha, S.-m. Evaluation of safety exclusion zone for LNG bunkering station on LNG-fuelled ships. J. Mar. Eng. Technol. 2017, 16, 121–144. [Google Scholar] [CrossRef]
- Suraji, A.; Duff, A.R.; Peckitt, S.J. Development of causal model of construction accident causation. J. Constr. Eng. Manag. 2001, 127, 337–344. [Google Scholar] [CrossRef]
- Brown, C.E. Coefficient of variation. In Applied Multivariate Statistics in Geohydrology and Related Sciences; Springer: Berlin/Heidelberg, Germany, 1998; pp. 155–157. [Google Scholar]










| Nodes No. in HFACS | Components and Meaning | Nodes No. in Category | Nodes No. in HFACS | Components and Meaning | Nodes No. in Category |
|---|---|---|---|---|---|
| MR | Risk level for organizational influences | RN1 | P10 | Own ship crew | LN14 |
| M1 | Resource management | IN1 | P11 | Other ship crew | LN15 |
| M2 | Organizational climate | IN2 | P12 | Tug crew and stevedores | LN16 |
| M3 | Organizational process | IN3 | P13 | Structural defect | LN17 |
| M4 | Human resources | IN4 | P14 | Equipment failure (A10) | LN18 |
| M5 | Equipment resources | LN1 | P15 | Goods factor | LN19 |
| M6 | Training (A12/P7) | LN2 | P16 | Natural environment | IN17 |
| M7 | Personal safety awareness (P8) | LN3 | P17 | Physical environment (A15) | IN18 |
| M8 | Organizational safety awareness | LN4 | P18 | Technological environment (A14) | IN19 |
| M9 | Scheduling of dispatching section (P9) | IN5 | P19 | Visibility | LN20 |
| M10 | System documents | IN6 | P20 | Wind | LN21 |
| M11 | Pilot procedure | LN5 | P21 | Current | LN22 |
| M12 | Super norm operation | LN6 | P22 | Channel curvature | LN23 |
| SR | Risk level of supervising | RN2 | P23 | Narrow waterway | LN24 |
| S1 | Inadequate supervision | IN7 | P24 | Restricted water circulation | LN25 |
| S2 | Planned inappropriate piloting operations | IN8 | P25 | Depth limit of waterway | LN26 |
| S3 | Failed to correct problem | IN9 | P26 | Obstacles | LN27 |
| S4 | Supervisory violations | IN10 | P27 | Navigation aids failure | LN28 |
| S5 | Dispatching supervision | LN7 | P28 | High navigation density | LN29 |
| S6 | Monitoring and commanding of VTS | LN8 | AR | Risk level of unsafe acts | RN4 |
| S7 | Pilotage plan unreviewed/improperly audited | LN9 | A1 | Errors | IN20 |
| S8 | Improper planning | LN10 | A2 | Violations | IN21 |
| S9 | Improper plan implementation | LN11 | A3 | Perceptual errors | IN22 |
| S10 | Similar problems without corrective measures | LN12 | A4 | Skilled-based errors | IN23 |
| S11 | Inadequate safety measures | LN13 | A5 | Decision errors | IN24 |
| PR | Risk level of preconditions for unsafe acts | RN3 | A6 | Exceptional | LN30 |
| P1 | Status of pilot | IN11 | A7 | Routine | LN31 |
| P2 | Teamwork | IN12 | A8 | Negligence | LN32 |
| P3 | The ship with pilot on board | IN13 | A9 | Habits | LN33 |
| P4 | Environmental factors | IN14 | A10 | Equipment failure (P14) | LN18 |
| P5 | Fatigue/Adverse physiological state | IN15 | A11 | Experience of pilots | LN34 |
| P6 | Adverse mental state (A13) | IN16 | A12 | Training (M6/P7) | LN2 |
| P7 | Training (M6/A12) | LN2 | A13 | Adverse mental state (P6) | IN16 |
| P8 | Personal safety awareness (M7) | LN3 | A14 | Technological environment (P18) | IN19 |
| P9 | Scheduling of dispatching section (M9) | IN5 | A15 | Physical environment (P17) | IN18 |
| Foundational RCEs | P7 | P8 | P9 | P10 | P11 | P12 | P13 | P14 | P15 | P19 |
|---|---|---|---|---|---|---|---|---|---|---|
| 0.059 | 0.211 | 0.181 | 0.061 | 0.281 | 0.098 | 0.012 | 0.123 | 0.001 | 0.056 | |
| Foundational RCEs | P20 | P21 | P22 | P23 | P24 | P25 | P26 | P27 | P28 | A6 |
| 0.190 | 0.150 | 0.112 | 0.029 | 0.000 | 0.062 | 0.030 | 0.009 | 0.146 | 0.281 | |
| Foundational RCEs | A7 | A8 | A9 | A10 | A11 →A3 | A12 →A3 | A11 →A4 | A12 →A4 | A11 →A5 | A13 |
| 0.379 | 0.532 | 0.469 | 0.123 | 0.268 | 0.059 | 0.268 | 0.059 | 0.268 | 0.177 |
| Foundational RCEs | P7 | P8 | P9 | P10 | P11 | P12 | P13 | P14 | P15 | P19 |
|---|---|---|---|---|---|---|---|---|---|---|
| wi | 0.220 | 0.780 | 1.000 | 0.139 | 0.638 | 0.223 | 0.090 | 0.900 | 0.010 | 0.140 |
| Foundational RCEs | P20 | P21 | P22 | P23 | P24 | P25 | P26 | P27 | P28 | A6 |
| wi | 0.481 | 0.378 | 0.482 | 0.123 | 0.000 | 0.266 | 0.128 | 0.056 | 0.944 | 0.425 |
| Foundational RCEs | A7 | A8 | A9 | A10 | A11 →A3 | A12 →A3 | A11 →A4 | A12 →A4 | A11 →A5 | A13 |
| wi | 0.575 | 0.335 | 0.295 | 0.077 | 0.169 | 0.037 | 0.662 | 0.147 | 0.415 | 0.274 |
| Upper RCEs | PR | P1 | P2 | P3 | P4 | P5 | P6 | P16 | P17 | P18 |
|---|---|---|---|---|---|---|---|---|---|---|
| ut | 0.168 | 0.179 | 0.209 | 0.112 | 0.133 | 0.181 | 0.177 | 0.156 | 0.078 | 0.138 |
| wt | 0.210 | 0.283 | 0.331 | 0.176 | 0.210 | 0.506 | 0.494 | 0.420 | 0.208 | 0.372 |
| Upper RCEs | AR | A1 | A2 | A3 | A4→A1 | A5 | A14 | A15 | A4→A5 | -- |
| ut | 0.286 | 0.295 | 0.337 | 0.385 | 0.201 | 0.222 | 0.138 | 0.078 | 0.201 | -- |
| wt | -- | 0.369 | 0.422 | 0.477 | 0.249 | 0.275 | 0.087 | 0.192 | 0.311 | -- |
© 2020 by the authors. Licensee MDPI, Basel, Switzerland. This article is an open access article distributed under the terms and conditions of the Creative Commons Attribution (CC BY) license (http://creativecommons.org/licenses/by/4.0/).
Share and Cite
Zhang, X.; Chen, W.; Xi, Y.; Hu, S.; Tang, L. Dynamics Simulation of the Risk Coupling Effect between Maritime Pilotage Human Factors under the HFACS Framework. J. Mar. Sci. Eng. 2020, 8, 144. https://doi.org/10.3390/jmse8020144
Zhang X, Chen W, Xi Y, Hu S, Tang L. Dynamics Simulation of the Risk Coupling Effect between Maritime Pilotage Human Factors under the HFACS Framework. Journal of Marine Science and Engineering. 2020; 8(2):144. https://doi.org/10.3390/jmse8020144
Chicago/Turabian StyleZhang, Xinxin, Weijiong Chen, Yongtao Xi, Shenping Hu, and Lijun Tang. 2020. "Dynamics Simulation of the Risk Coupling Effect between Maritime Pilotage Human Factors under the HFACS Framework" Journal of Marine Science and Engineering 8, no. 2: 144. https://doi.org/10.3390/jmse8020144
APA StyleZhang, X., Chen, W., Xi, Y., Hu, S., & Tang, L. (2020). Dynamics Simulation of the Risk Coupling Effect between Maritime Pilotage Human Factors under the HFACS Framework. Journal of Marine Science and Engineering, 8(2), 144. https://doi.org/10.3390/jmse8020144

