Abstract
Understanding the distribution pattern and its drivers of species is crucial for developing effective and sustainable management strategies. Amphioctopus fangsiao is the octopus of significant commercial and ecological value along the coast of China, with multiple distinct populations. However, research on their ecological dynamics remains limited and requires further investigation. Here, ensemble models were constructed to examine the spatio-temporal distribution and inter-populational differentiation in environmental adaptability of A. fangsiao in the East China Sea (ECS) and the South Yellow Sea (SYS). Specifically, we generated the ensemble models by integrating Gradient Boosting Machine (GBM), Generalized Linear Models (GLMs), and Maximum Entropy Models (MaxEnt) for the different populations across four seasons, using fishery-independent data collected from 2015 to 2021. The results revealed two hotspots of A. fangsiao in the ECS and SYS: one is the area of SYS along the coastal waters, with latitudes 33° N–34° N and longitudes 120° E–122° E (northern population, NP); the other one is near the Kuroshio-adjacent area with latitudes 28.5° N–29° N and longitudes 123° E–124.5° E (southern population, SP). Both NP and SP exhibited distinct seasonal habitat preferences, with key environmental drivers showing seasonal variations. The NP tended to inhabit coastal waters with lower sea surface heights (SSHs), shallower water depth, and a narrower sea bottom salinity range (SBS). In contrast, SP preferred marine environments with a thicker mixed layer thickness (MLT) and higher concentrations of bottom chlorophyll-a (Chl_b). The environmental characterization of suitable habitats revealed distinct patterns in resource utilization and environmental adaptation strategies between the two populations. This study provides fundamental data for understanding A. fangsiao population dynamics and underscores the importance of considering population-specific habitat preferences within dynamic marine environments.
1. Introduction
Investigating the relationship between species’ distribution patterns and biotic/abiotic factors remains a central focus in ecology [1]. Species distribution patterns represent the results of prolonged environmental adaptation and natural selection [2]. These patterns significantly influence critical biological processes (such as growth, resource allocation, and individual interactions). They may dynamically adjust to environmental fluctuations, community succession, and species’ ecological demands in life stages [3,4]. Thus, understanding the spatial distribution information of marine organisms is a crucial prerequisite for effective protection of fishery resources and sustainable management [5], especially for species with short lifespans.
Octopuses are increasingly important due to the overexploitation and depletion of commercial finfish stocks [6]. They have maintained economic dominance among cephalopods in the East China Sea, with annual yields reaching 11 × 104 tons in 2023 [7]. They are also key components of marine food webs, functioning as primary food resources for large marine predators (e.g., fish, marine mammals, and seabirds) and voracious predators primarily targeting fish and crustaceans [8,9]. Compared to other marine vertebrates, these mollusks are highly sensitive to environmental variations and are frequently used as suitable sensors for tracking ecosystem impacts [10]. Given their dual economic–ecological importance and the intensifying global demand for marine protein sources, octopuses have attracted increasing scientific attention [11].
Amphioctopus fangsiao is among the most popular octopus species distributed along China’s tropical and temperate coastal waters [12]. It is typically an annual organism with rapid growth [13]. Studies on its migratory behavior have revealed that this species exhibits short-distance seasonal migration patterns, primarily influenced by environmental determinants including water temperature fluctuations and the spatiotemporal availability of food resources [14,15,16,17]. A. fangsiao spawns in inshore waters and overwinters in offshore waters [18,19,20]. This restricted migration pattern, when combined with specific breeding areas and seasonal cycles, has given rise to a unique spatiotemporal distribution pattern. Meanwhile, genetic diversity studies have identified significant population differentiation along China’s coast, with A. fangsiao populations partitioned into northern and southern groups demarcated by the Yangtze River Estuary [21,22]. Such environmentally mediated population divergence, which has been previously documented in piscine species, may further drive inter-population differentiation in habitat and adaptive responses to environmental gradients [23,24].
Species distribution models (SDMs) provide robust frameworks for evaluating habitat suitability and predicting distribution patterns of target species through quantitative environmental niche analysis [25,26]. Through systematic analysis of species–environment relationships, SDMs enable comprehensive investigation of species biogeographical distributions, elucidation of their habitat suitability, and characterization of their environmental niche [25,27]. SDMs employ numerous algorithms, such as the most commonly used generalized additive models (GAMs), generalized linear model (GLM), maximum entropy models (MaxEnt), and gradient boosting machine (GBM) [28]. However, methodological uncertainties arising from single algorithm selection bias, parameter calibration challenges, and scale dependency significantly affect model performance and ecological inference validity [29]. Significant variations can occur when different SDMs are applied across distinct ecological regions and species, leading to unreliable predictions and assessments from any single model in comprehensive studies [30,31].
To mitigate the limitations of single algorithms, ensemble species distribution modeling (ESDM) frameworks have been developed. ESDM integrates multiple single models by weighted averaging techniques to improve prediction accuracy, generalizability, and robustness [32]. Comparative studies between ESDMs and traditional SDMs have shown that ESDMs achieve significantly higher the area under the receiver operating characteristic curve (AUC) values, underscoring their superior predictive performance [33]. Currently, ensemble methods are widely used in habitat suitability prediction and assessment research [34,35,36].
In this study, ESDMs were employed to investigate the intra-annual distribution patterns of A. fangsiao in the East China Sea (ECS) and the Southern Yellow Sea (SYS) using fishery-independent data spanning 2015–2021. Specifically, we aimed to identify the key environmental variables and environmental adaptability of different populations across the habitat gradient and seasons. This study is expected to improve our understanding of species spatio-temporal distribution and will guide their resource management.
2. Materials and Methods
2.1. Study Area
The biological specimens were obtained through scientific surveys for fishery resources in the East China Sea across the 2015–2021 study period. The survey area extended from 120° E to 127° E and from 26.5° N to 35° N (Figure 1), with survey stations evenly distributed at 30′ intervals according to a systematic sampling design [37]. The surveys were conducted during the four seasons according to the meteorological definition: spring (April to May), summer (August), autumn (November), and winter (January to February) [38]. In accordance with China’s Marine Fishery Survey Specification (SC/T 9403-2012) [39], this study employed a bottom trawl for fisheries resources investigation, a bottom trawl net with a 4 m vertical opening (100 meshes in height) was deployed, featuring a 72.24 m headline length and an 82.44 m groundline configuration, equipped with a 20 mm stretched mesh cod-end. Sampling operations were conducted at maintained speeds of 2–3 knots (1.0–1.5 m/s) for 60 min haul durations. The catches were frozen (−20 °C) and transferred to the laboratory for processing.
Figure 1.
Study area in the East China Sea and the southern Yellow Sea. The gray convex hull outlines the survey edge. The yellow and purple solid lines indicate the 30 and 100 m isobaths, respectively. The red dashed line represents the north–south demarcation boundary established at the Yangtze River Estuary (31° N), dividing A. fangsiao into northern and southern populations [21,22]. The major currents shown are KC (Kuroshio Current), TWWC (Taiwan Warm Current), YSCC (Yellow Sea Coastal Current), ZMCC (Zhe-Min Coastal Current), TWC (Tsushima Warm Current), YSWC (Yellow Sea Warm Current), and CDW (Changjiang Diluted Water). The map was generated using Ocean Data View 5.8.1 (http://odv.awi.de/, accessed on 7 May 2025).
All catches were sorted into major taxonomic groups, and subsequently identified to the lowest taxonomic level based on the morphological feature, with the assistance of taxonomic experts. Following this process, the presence or absence of each species at each station was recorded. Due to the weather conditions or topographic complexity, the number of survey stations varied slightly yearly. However, throughout the investigation, all stations were consistently surveyed at least once per season.
2.2. Environmental Variables
Eight candidate environmental parameters were identified by synthesizing historical ecological niche studies [40]. These variables consist of the sea temperature at the bottom (SBT), sea bottom salinity (SBS), bottom chlorophyll-a concentration (Chl_b), bottom dissolved oxygen concentration (DO_b), sea surface height (SSH), mixed layer thickness (MLT), depth, and distance to the nearest coast (Land_dis). Oceanographic variables were obtained from the European Union Copernicus Marine Environmental Monitoring Service (CMEMS2) (https://marine.copernicus.eu/, accessed on 23 February 2025) with a spatial resolution of 0.25 × 0.25 and a monthly time resolution. To avoid the multicollinearity of environmental variables affecting the predictive ability of models, we conducted a Pearson correlation matrix analysis and Variance Inflation Factors (VIFs) to test all explanatory variables. Only environmental variables with a collinearity of ≤0.7 and a VIF of <4 were retained [41]. These selected environmental variables were then used as explanatory variables in the models and matched with the distribution data of A. fangsiao.
2.3. Ensemble Model Construction
Following selecting the final environmental variables, we constructed ESDMs composed of GLM, GBM, and MaxEnt models using the presence-absence data of A. fangsiao within the Biomod2 package. Considering the physiological tolerance to migratory species’ physical and abiotic environmental conditions across different populations and life stages [42], distinct models were developed for the northern and southern populations, spanning four seasonal cycles. Thus, we constituted eight ensemble model frameworks in total. Model performances were evaluated and assessed through cross-validation. For each iteration (n = 10), 80% of the original data were randomly selected as training dataset for building the model, and the remaining 20% as test dataset for model validation.
The AUC and the True Skill Statistic (TSS) were used as indicators of model performance assessment. AUC scores above 0.8 and TSS scores more than 0.4 indicate good model performance [43]. The AUC values for the single models were subsequently used to generate an ensemble prediction using the Somers’ D weights (D = 2 × AUC−1). Somers’ D (also known as the Gini coefficient) can give more weight to models that perform well and less to those that perform poorly [44].
The relative importance of environmental variables was calculated for each ESDM to identify the key factors influencing the distribution of the A. fangsiao in the ECS and SYS. This was achieved using the permutation-based method implemented in the Biomod2 package. The values were calculated by randomizing the variable of interest and computing the correlation. For each variable, three permutations were performed. Higher values indicate a more substantial influence of the variable on the model, whereas 0 suggests no influence [45,46].
2.4. Environmental Conditions of the Key Habitat
The distribution pattern of A. fangsiao was visualized by predicting the habitat suitability index (HSI) for each spatial cell (0.25 × 0.25) [47]. The HSI value ranges from 0 to 1, indicating the lowest to the highest habitat quality and probability of occurrence. The habitat was classified into four categories based on the HSI value: unsuitable area (HSI < 0.2), low suitability area (0.2 ≤ HSI < 0.4), moderate suitability area (0.4 ≤ HSI < 0.6), and high suitability area (HSI ≥ 0.6) [48]. The environmental preference of A. fangsiao was determined based on the environmental conditions of the key habitat (HSI > 0.6). This is because areas with HSI values over 0.6 were considered to have high habitat quality, and thus were deemed to have a high probability of A. fangsiao presence [49].
All the analyses were conducted using R 4.3.2.
3. Result
3.1. Model Performance and Key Environmental Variables
Based on the Pearson correlation analysis (Supplementary Material Figure S1) and variance inflation factor screening (Table 1), a total of eight environmental variables (Chl_b, MLT, DO_b, SBS, SSH, SBT, depth, and land_dis) were selected for modeling.
Table 1.
Collinearity of the selected variables by calculating the Variance Inflation Factor (VIF).
The accuracy of the ESDM in predicting suitable habitat for the northern and southern populations of A. fangsiao across seasons was detailed in Table 2. The AUC and TSS values ranged from 0.865 to 0.994 and 0.455 to 0.976, respectively, indicating the ESDMs perform well.
Table 2.
ESDM model prediction accuracy assessment results.
The importance of environmental factors driving species distribution exhibited population and seasonal differences (Figure 2). SSH, depth, and SBS were the most important factors for the northern population, whereas MLT, SSH, and Chl_b significantly influenced the southern population. Seasonal variations were also observed in both populations. In the north region, the distribution of the species in spring was mainly determined by MLT. During summer, SSH became the dominant factor, with its importance value reaching 0.897. The autumn distribution pattern was primarily affected by DO_b, while SBS mainly drove winter distribution. In the southern region, SBS was the primary factor influencing spring distribution, and SSH was the dominant factor in summer. MLT emerged as the most critical environmental variable affecting species distribution in autumn and winter, with its importance value peaking at 0.898 during winter (Table 3).
Figure 2.
Relative importance of environmental variables for Amphioctopus fangsiao in ECS and SYS over the four seasons. The abbreviations of environmental variables are defined in Table 1.
Table 3.
The most important environmental variables for Amphioctopus fangsiao in northern (NP) and southern populations (SP) across the four seasons.
3.2. Seasonal Distribution Patterns
Significant seasonal variations were observed in the distribution for the northern and southern populations of A. fangsiao (Figure 3). North of the Yangtze River Estuary, populations of A. fangsiao were primarily concentrated within the area bounded by longitude 121° E to 122° E and latitude 33° N to 34° N during spring. In summer, their distribution range expanded significantly, but no discernible concentrated habitat was observed. By autumn, A. fangsiao predominantly aggregated in the region between longitude 122° E to 123° E and latitude 33.5° N to 34.5° N. During winter, the distribution exhibited a bimodal pattern: one core area was located in the region of longitude 122° E to 123° E and latitude 31° N to 32.5° N, while the other core area was found within longitude 120° E to 122° E and latitude 34.5° N to 35° N. The habitat suitability for the northern population peaked at 26% in winter, dropping to its lowest level of 1% in summer (Figure 4).
Figure 3.
Habitat suitability of Amphioctopus fangsiao in the East China Sea and Southern Yellow Sea in each season using the ensemble models.
Figure 4.
The proportion of habitat type with different suitability levels for Amphioctopus fangsiao in the four seasons. (U indicates unsuitable area, L indicates low suitability area, M indicates moderate suitability area, H indicates high suitability area).
South of the Yangtze River Estuary, populations of A. fangsiao were primarily concentrated within the area bounded by longitude 126° E to 127° E and latitude 29° N to 30° N during spring. In summer, their distribution range expanded significantly, but no discernible concentrated habitat was observed. During autumn, although the distribution range remained extensive, a distinct suitable habitat was identified, predominantly centered in the region between longitude 124° E to 126° E and latitude 27.5° N to 30° N. By winter, the distribution was predominantly confined to the area defined by longitude 124.5° E to 125.5° E and latitude 27° N to 28° N. The habitat suitability for the southern population peaked at 84% in autumn, dropping to its lowest recorded level of 3% in summer (Figure 4).
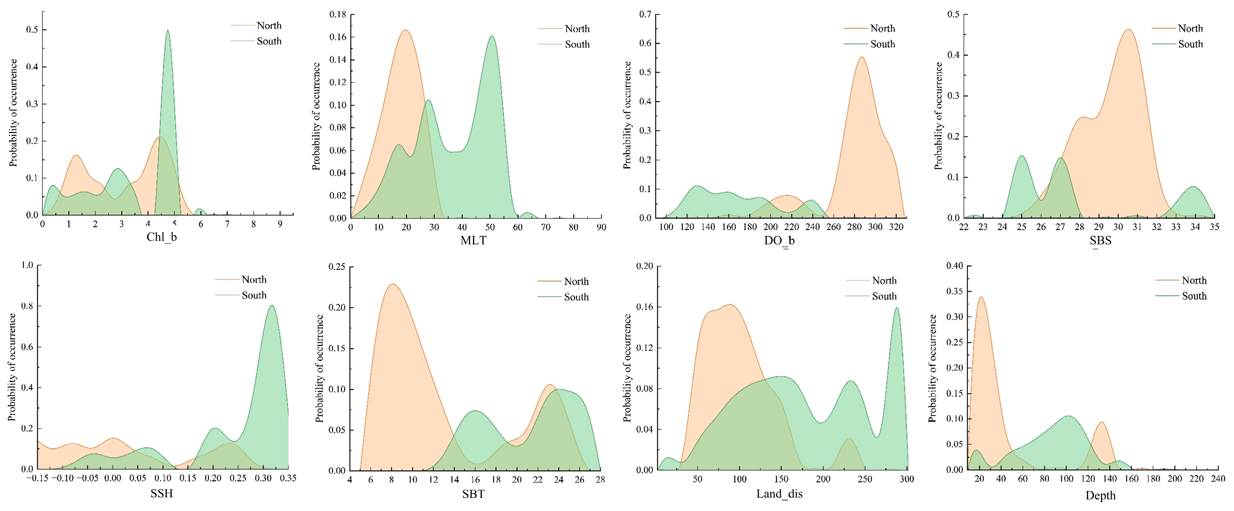
3.3. Environmental Adaptive Differentiation of Two Populations
The northern and southern populations of A. fangsiao exhibited distinct hotpots in the ECS and SYS, indicating their differences in optimal environmental ranges (Figure 3 and Figure 5). Both populations occurred across the Chl_b concentration range of 0–5.5 μg/L, with the northern population showing higher occurrence probabilities between 4 and 5 μg/L, peaking at 0.20, whereas the southern population reached its maximum probability of 0.50 at 4.5–5 μg/L.
Figure 5.
Range of suitability of Amphioctopus fangsiao for environmental factors.
For MLT, the northern population occurred throughout 0–35 m, demonstrating the highest probabilities at 15–25 m. In contrast, the southern population spanned 0–60 m, and the highest occurrence probability peaked at 50–55 m MLT.
For DO_b, the northern population showed elevated probabilities between 260 and 320 mg/m3, reaching a maximum of 0.55, whereas the southern population occurred across 100–250 mg/m3 with a peak probability of 0.11.
For SBS, the northern population exhibited higher probabilities within 28–33 PSU, maximizing at 30–31 PSU with 0.42 probability, while the southern population displayed a bimodal distribution characterized by optimal ranges at 25–28 PSU and 33–35 PSU, peaking between 24 and 26 PSU at 0.15.
Both populations showed relatively high SSH occurrence probabilities between 0.15 and 0.30 m; northern probabilities remained comparable within this range, whereas the southern population peaked at 0.30–0.35 m with 0.80 probability.
For SBT, the northern population occurred between 5 and 27 °C, reaching its maximum occurrence probability of 0.22 at 6–10 °C, while the southern population occurred within 11–28 °C, attaining its peak probability of 0.10 at 23–26 °C.
For distance to the nearest coast, the northern population occurred within 25–250 km of the nearest coast, maximizing at 50–100 km with 0.16 probability, whereas the southern population ranged more broadly across 0–300 km, with peak occurrence at 275–300 km of 0.16. For depth, the northern population occurred in 0–70 m and 110–150 m zones, peaking at 20–40 m with 0.34 probability, while the southern population spanned 0–160 m, reaching maximum probability at 100–110 m of 0.10.
4. Discussion
This study employed ESDMs to investigate the intra-annual distribution patterns of A. fangsiao in the ECS and the SYS using the fishery-independent data. The results reveal two primary scallop distribution hotspots within the ECS and SYS, located in the coastal waters of the SYS and the Kuroshio-adjacent zone. Both A. fangsiao hotspots exhibited marked seasonal shifts in spatial distribution coupled with distinct habitat preferences, demonstrating species-specific adaptive responses to environmental heterogeneity.
4.1. Habitat Distribution Characteristics
Based on the research findings, which align with previous studies, the habitat hotspots of A. fangsiao in the ECS comprise two primary populations: a northern population predominantly distributed between 33° N and 34° N and 120° E–122° E, and a southern population mainly occupying waters within 28.5° N–29° N and 123° E–124.5° E [50,51]. The northern region is governed by dynamic interactions among the Yellow Sea Warm Current [52], Changjiang River Diluted Water, and local complex hydrodynamics, while the southern region is primarily influenced by the combined effects of Kuroshio Current Water and the Taiwan Warm Current [52,53,54]. These dynamic processes collectively shape the unique marine environment characterized by pronounced seasonal variations in sea temperature and salinity across both regions [53,54,55]. Such a distinctive marine setting fosters a highly active ecosystem with elevated primary productivity, providing abundant trophic resources for diverse marine organisms [53,55]. Consequently, this area serves as a critical ecological habitat for the survival and reproduction of A. fangsiao and numerous other marine species.
The seasonal distribution patterns of the organism are primarily influenced by demands associated with ontogenetic processes, including growth, foraging, and reproduction [15,16,56]. Individuals from the northern stock migrate from overwintering grounds to nearshore spawning grounds during spring. They aggregate in coastal areas where the prevailing temperature and salinity conditions are optimal for spawning and early larval development [57,58]. During summer, elevated water temperatures or the influence of floodwaters from estuarine regions cause the distribution range to expand; concurrently, as nearshore salinity decreases, A. fangsiao migrates towards offshore areas characterized by higher salinity levels [57,59]. In autumn and winter, as water temperatures gradually decline, the thermohaline stress exerted by the Yellow Sea Warm Current drives a progressive southeastern shift in the species’ habitat distribution [52,60].
Individuals of the southern A. fangsiao population initiate their migration from overwintering areas to nearshore shallow waters for spawning in spring, utilizing the abundant food resources supplied by the Kuroshio Current to support their reproductive activities [61]. During summer, as temperatures rise, the distribution range of A. fangsiao expands further, but distinct aggregation habitats become less apparent. In autumn and winter, with the gradual decline in water temperature, the combined influence of the Taiwan Warm Current intrusion and the dilution effect from the Yangtze River discharge drives a progressive southwestern shift in the habitat distribution of the southern population [54,62].
In summary, the northern and southern populations of A. fangsiao exhibited distinct habitat-use strategies, which may be associated with their seasonal migration patterns. Such divergence reflects population-specific life-history strategy and resource requirements across different developmental stages, ultimately shaping dynamic shifts in key habitats across spatio-temporal scales. The observed divergence in core habitats between populations underscores the necessity of incorporating population-specific habitat preferences into developing effective management and conservation strategies for this species.
4.2. Environmental Preference
Amphioctopus fangsiao, a cephalopod species exhibiting strong phenotypic plasticity and a short life cycle, demonstrates acute environmental sensitivity, rendering its spatial distribution highly dependent on environmental variables [55,63]. Our research identified SSH, MLT, and SBS were key factors collectively determining the distribution of A. fangsiao in the ECS and the SYS, but with distinct latitudinal differences in the primary environmental drivers: the northern population (north of the Yangtze Estuary) is driven primarily by SSH, depth, and SBS, whereas the southern population is influenced mainly by MLT, SSH, and Chl_b.
SSH and SSS play critical roles in governing large-scale biological processes, including growth, reproduction, larval development, and organismal recruitment, thus driving the spatial distribution of species at macroecological scales [17,64]. SSH is typically associated with thermal fluxes, wind patterns, and mesoscale eddies, which regulate material transport in marine systems and indirectly reflect variations in primary productivity levels [65]. Meanwhile, depth directly correlates with water color, transparency, current direction, dissolved oxygen concentrations, and food availability. Notably, the relative importance of these environmental factors fluctuates seasonally, suggesting that A. fangsiao may exhibit differential environmental tolerances across life-history stages and under varying ecological conditions [58,66].
Spring, a critical period for reproduction and juvenile rearing in A.fangsiao, heightens the species’ sensitivity to environmental fluctuations [56,67]. Adults seek optimal thermal and salinity conditions to ensure successful spawning, offspring development, and habitat suitability. In northern populations, MLT emerges as the predominant environmental factor governing spatial distribution. MLT expansion enhances euphotic zone depth, stimulating phytoplankton biomass peaks and subsequently elevating copepod abundance, which is a vital prey resource for nearshore spawning and juvenile rearing [68]. Southern populations are primarily regulated by variations in SBS. SBS fluctuations disrupt osmoregulatory balance, impairing growth and developmental efficiency [16,69]. Additionally, salinity gradients mediate hydrographic processes (e.g., water mass mixing, current dynamics), indirectly shaping habitat selection and behavioral patterns [70].
SSH emerges as the paramount environmental factor governing both northern and southern A. fangsiao populations during summer. SSH dynamics interact with mesoscale eddies, regional circulation patterns, and frontal zones formed by the convergence of Kuroshio branch currents and Yangtze River diluted water [52,71]. These processes modulate prey aggregation, habitat connectivity, and nutrient enrichment in frontal convergence zones, creating optimal foraging grounds that attract A. fangsiao to high-productivity regions through enhanced trophic resource availability [72].
In autumn and winter, DO_b and SBS are key environmental determinants for northern populations. DO_b directly regulates respiratory efficiency and aerobic metabolism, enabling energy production essential for vital physiological processes, including locomotion and gonad development [73,74]. Concurrently, SBS modulates osmoregulatory adaptations, with optimal salinity ranges minimizing metabolic costs during the wintering period when activity levels decline [16,69]; Southern populations exhibit distinct environmental dependencies, governed by MLT and Chl_b. MLT controls vertical nutrient redistribution through winter convective mixing, while Chl_b is a proxy for benthic organic matter flux [75,76]. These parameters mediate bottom-up trophic control by shaping microhabitat productivity and prey resource availability, thereby driving spatial aggregation patterns.
Additionally, the genetic differentiation between northern and southern populations of A. fangsiao (demarcated by the Yangtze River Estuary) may further amplify their adaptive divergence to environmental factors [21,22,77]. The heightened sensitivity of the northern population to SBS likely reflects long-term adaptation to low-salinity conditions driven by sustained input from the YRDW. In contrast, southern populations’ reliance on MLT may be mediated by nutrient-rich waters transported by the Taiwan Warm Current, which enhances primary productivity and trophic resource availability [14,16]. This suggests that environmentally driven adaptive differentiation is a key driver of niche specialization and development of population-specific traits in A. fangsiao across the ECS and SYS. Such genotype-environment interactions parallel ecological divergence observed in other marine species, such as the small yellow croaker (Larimichthys polyactis) [27]. Therefore, spatial management strategies should carefully account for potential population or subpopulation divisions arising from environmental heterogeneity.
5. Conclusions
This study employed ESDMs to investigate spatio-temporal patterns and inter-populational divergence in environmental suitability across seasonal cycles in the ECS and SYS. The findings indicated that coastal waters off Jiangsu and the Kuroshio-adjacent zone were two primary hotspots of A. fangsiao. Its habitat preferences exhibited distinct seasonal variations, and such differences displayed clear population-specific characteristics in the seasonal shifts in core habitats and environmental adaptability. These findings suggest that different populations of A. fangsiao may have developed ecological phenotypes synchronized with local environmental rhythms. Such inter-populational divergence is likely shaped by distinct life-history strategies under varying environmental conditions, highlighting the necessity of incorporating population-specific ecological traits into future spatial fisheries management frameworks.
In addition, our research adds to the growing body of evidence supporting the superiority of ensemble modeling for predicting cephalopod habitat distribution, offering a scientific basis for delineating spatial patterns, forecasting fishing grounds, and evaluating climate change responses.
Genetic divergence between the northern and southern populations has been confirmed; however, according to the distribution ranges of suitable environmental factors, both populations may harbor multiple subpopulations along the inshore–offshore gradient. Subsequent genomic analyses will be employed to investigate genetic diversity and drivers of population differentiation in A. fangsiao in the ECS and SYS.
Supplementary Materials
The following supporting information can be downloaded at: https://www.mdpi.com/article/10.3390/jmse13091806/s1, Figure S1: Pearson correlation coefficient between the selected environmental variables.
Author Contributions
Conceptualization, Y.C., X.G. and S.L.; formal analysis, Y.C. and X.G.; data curation, Y.C., S.Y. and L.Y.; writing—original draft preparation, Y.C. and X.G.; writing—review and editing, Y.C., X.G., S.Y. and S.L.; funding acquisition, X.G. All authors have read and agreed to the published version of the manuscript.
Funding
This research was sponsored by Shanghai Sailing Program (24YF2759400).
Data Availability Statement
The raw data supporting the conclusions of this article will be made available by the authors on request.
Conflicts of Interest
The authors declare no conflicts of interest.
References
- Shang, C.; Han, H.; Chen, J.; Tang, F.; Fan, W.; Zhang, H.; Cui, X. Relationship between Resource Distribution and Vertical Structure of Water Temperature of Purpleback Flying Squid (Sthenoteuthis oualaniensis) in the Northwest Indian Ocean Based on GAM and GBT Models. J. Mar. Sci. Eng. 2023, 11, 1800. [Google Scholar] [CrossRef]
- Dale, M.R.; Dale, M.R.T. Spatial Pattern Analysis in Plant Ecology; Cambridge University Press: Cambridge, UK, 2000. [Google Scholar]
- Zhang, X. Geographical Distribution and Climatic Suitability of Typical Eco-Economical Tree Species in the Dryland of Northwest China. In Research Center for Eco-Environments and Soils and Water Conservation; Chinese Academy of Sciences & Ministry of Education Xi’an: Xi’an, China, 2018. [Google Scholar]
- Wang, Z.-W.; Yin, J.; Wang, X.; Chen, Y.; Mao, Z.-K.; Lin, F.; Gong, Z.-Q.; Wang, X.-G. Habitat Suitability Evaluation of Invasive Plant Species Datura Stramonium in Liaoning Province: Based on Biomod2 Combination Model. Ying Yong Sheng Tai Xue Bao J. Appl. Ecol. 2023, 34, 1272–1280. [Google Scholar]
- Rumolo, P. Marine Fisheries Management. J. Mar. Sci. Eng. 2023, 11, 1377. [Google Scholar] [CrossRef]
- Doubleday, Z.A.; Prowse, T.A.; Arkhipkin, A.; Pierce, G.J.; Semmens, J.; Steer, M.; Leporati, S.C.; Lourenço, S.; Quetglas, A.; Sauer, W.; et al. Global Proliferation of Cephalopods. Curr. Biol. 2016, 26, R406–R407. [Google Scholar] [CrossRef]
- Yang, L.; Xu, M.; Liu, Z.; Zhang, Y.; Cui, Y.; Li, S. Seasonal and Spatial Distribution of Amphioctopus fangsiao and Octopus variabilis in the Southern Yellow and East China Seas: Fisheries Management Implications Based on Climate Scenario Predictions. Reg. Stud. Mar. Sci. 2025, 83, 104072. [Google Scholar] [CrossRef]
- Zhang, Z.P.; Xue, J.L.; Wang, M.Q.; Liu, H.; Shi, Q.; Song, J.; Zhao, W. Trophic Niches of Three Common Carnivorous Mollusca in Artificial Reef Area. Haiyang Tongbao 2022, 41, 588–592. [Google Scholar]
- Zhao, J.; Cheng, S.; Chang, Q.; Xu, D.; Li, F.; Zhang, P. A Comparative Study of the Influence of Different Natural Diets on the Growth and Biochemical Composition of Octopus ocellatus (Mollusca: Cephalopoda). Mar. Sci. 2020, 44, 83–90. [Google Scholar]
- Borges, F.O.; Sampaio, E.; Santos, C.P.; Rosa, R. Climate-Change Impacts on Cephalopods: A Meta-Analysis. Integr. Comp. Biol. 2023, 63, 1240–1265. [Google Scholar] [CrossRef]
- Ainsworth, G.B.; Pita, P.; Garcia Rodrigues, J.; Pita, C.; Roumbedakis, K.; Fonseca, T.; Castelo, D.; Longo, C.; Power, A.M.; Pierce, G.J.; et al. Disentangling Global Market Drivers for Cephalopods to Foster Transformations towards Sustainable Seafood Systems. People Nat. 2023, 5, 508–528. [Google Scholar] [CrossRef]
- Boyle, P.; Rodhouse, P. Cephalopods: Ecology and Fisheries; John Wiley & Sons: Hoboken, NJ, USA, 2008. [Google Scholar]
- Zhu, W.; Ji, B.; Li, W.; Sun, C.; Xu, C. Experimental Study on Industrialized Seed Production of Octopus ocellatus. J. Aquac. 2020, 41, 42–43. [Google Scholar]
- Cui, Y.-H.; Liu, S.D.; Zhang, Y.L.; Xu, B.D.; Ji, Y.P.; Zhang, C.L.; Ren, Y.P.; Xue, Y. Habitat Characteristics of Octopus ocellatus and Their Relationship with Environmental Factors during Spring in Haizhou Bay, China. Ying Yong Sheng Tai Xue Bao J. Appl. Ecol. 2022, 33, 1686–1692. [Google Scholar]
- Pang, Y.; Tian, Y.; Fu, C.; Ren, Y.; Wan, R. Growth and Distribution of Amphioctopus fangsiao (d’Orbigny, 1839–1841) in Haizhou Bay, Yellow Sea. J. Ocean Univ. China 2020, 19, 1125–1132. [Google Scholar] [CrossRef]
- Liu, X. A Preliminary Study on the Foraging and Habitat Characteristics of Octopus ocellatus. Master’s Thesis, Dalian Ocean University, Dalian, China, 2022. [Google Scholar]
- Dong, Z. Biology of the Economic Species of Cephalopods in the World Oceans; Shandong Science & Technology Press: Jinan, China, 1991. [Google Scholar]
- Dong, G. The Basic Biological Study on the Octopus ocellatus Artificial Reproduction Process. Master’s Thesis, Ocean University of China, Qingdao, China, 2014. [Google Scholar]
- Liu, W.F. Development of Microsatellite Markers Andstudies on Mating System and Sexualselection Mechanism in Amphioctopus fangsiao. Master’s Thesis, Shanghai Ocean University, Shanghai, China, 2018. [Google Scholar]
- Segawa, S.; Gleadall, I.G. Amphioctopus fangsiao, two-gold-ring octopus. In Octopus Biology and Ecology; Academic Press: Cambridge, MA, USA, 2024; pp. 245–257. [Google Scholar]
- Lv, Z.; Li, H.; Wu, C.; Fan, Z.; Zhang, J. Population Genetic Structure of Octopus ocellatus in Coastal Waters of China Based on 16 S rDNA Sequence. J. Fish. Sci. China/Zhongguo Shuichan Kexue 2011, 18, 29–37. [Google Scholar] [CrossRef]
- Lv, Z.M.; Li, H.; Wu, C.W.; Fan, Z.J.; Zhang, J.S. Genetic Variation of Octopus ocellatus Populations in China’s Coastal Waters Based on the COI Gene Analysis. Acta Oceanol. Sin. 2010, 32, 130–138. [Google Scholar]
- Du, X. Phylogeographic Pattern and Adaptive Divergence of Octopus minor along Coastal China. Master’s Thesis, Zhejiang Ocean University, Zhoushan, China, 2018. [Google Scholar]
- Ibáñez, C.M.; Argüelles, J.; Yamashiro, C.; Adasme, L.; Céspedes, R.; Poulin, E. Spatial Genetic Structure and Demographic Inference of the Patagonian Squid Doryteuthis gahi in the South-Eastern Pacific Ocean. J. Mar. Biol. Assoc. 2012, 92, 197–203. [Google Scholar] [CrossRef]
- Guisan, A.; Thuiller, W. Predicting Species Distribution: Offering More than Simple Habitat Models. Ecol. Lett. 2005, 8, 993–1009. [Google Scholar] [CrossRef] [PubMed]
- Lima, F.D.; Ángeles-González, L.E.; Leite, T.S.; Lima, S.M. Global Climate Changes over Time Shape the Environmental Niche Distribution of Octopus insularis in the Atlantic Ocean. Mar. Ecol. Prog. Ser. 2020, 652, 111–121. [Google Scholar] [CrossRef]
- Liu, Z.-L.; Yang, L.-L.; Yuan, X.-W.; Jin, Y.; Yan, L.-P.; Cheng, J.-H. Overwintering Distribution and Its Environmental Determinants of Small Yellow Croaker Based on Ensemble Habitat Suitability Modeling. Chin. J. Appl. Ecol. 2020, 31, 2076–2086. [Google Scholar]
- Chang, B.; Huang, C.; Chen, B.; Wang, Z.; He, X.; Chen, W.; Huang, Y.; Zhang, Y.; Yu, S. Predicting the Potential Distribution of Taxus cuspidata in Northeastern China Based on the Ensemble Model. Ecosphere 2024, 15, e4965. [Google Scholar] [CrossRef]
- Porfirio, L.L.; Harris, R.M.; Lefroy, E.C.; Hugh, S.; Gould, S.F.; Lee, G.; Bindoff, N.L.; Mackey, B. Improving the Use of Species Distribution Models in Conservation Planning and Management under Climate Change. PLoS ONE 2014, 9, e113749. [Google Scholar] [CrossRef]
- Zhang, Y.; Jiang, X.; Lei, Y.; Wu, Q.; Liu, Y.; Shi, X. Potentially Suitable Distribution Areas of Populus Euphratica and Tamarix chinensis by MaxEnt and Random Forest Model in the Lower Reaches of the Heihe River, China. Environ. Monit. Assess. 2023, 195, 1519. [Google Scholar] [CrossRef]
- Zhao, G.; Cui, X.; Sun, J.; Li, T.; Wang, Q.; Ye, X.; Fan, B. Analysis of the Distribution Pattern of Chinese Ziziphus jujuba under Climate Change Based on Optimized Biomod2 and MaxEnt Models. Ecol. Indic. 2021, 132, 108256. [Google Scholar] [CrossRef]
- Yao, W.; Yang, J.; Ma, Y.; Liu, L.; Shang, E.; Zhang, S. Habitat Suitability Assessment of Key Wildlife in Hainan Tropical Rainforest Based on ESDM. Life 2025, 15, 323. [Google Scholar] [CrossRef]
- Overly, K.E.; Lecours, V. Mapping Queen Snapper (Etelis oculatus) Suitable Habitat in Puerto Rico Using Ensemble Species Distribution Modeling. PLoS ONE 2024, 19, e0298755. [Google Scholar] [CrossRef]
- Zanardo, N.; Parra, G.J.; Passadore, C.; Möller, L.M. Ensemble Modelling of Southern Australian Bottlenose Dolphin Tursiops sp. Distribution Reveals Important Habitats and Their Potential Ecological Function. Mar. Ecol. Prog. Ser. 2017, 569, 253–266. [Google Scholar] [CrossRef]
- Alabia, I.D.; Saitoh, S.-I.; Igarashi, H.; Ishikawa, Y.; Usui, N.; Kamachi, M.; Awaji, T.; Seito, M. Ensemble Squid Habitat Model Using Three-Dimensional Ocean Data. ICES J. Mar. Sci. 2016, 73, 1863–1874. [Google Scholar] [CrossRef]
- Sun, Y.; Zhang, H.; Jiang, K.; Xiang, D.; Shi, Y.; Huang, S.; Li, Y.; Han, H. Simulating the Changes of the Habitats Suitability of Chub Mackerel (Scomber japonicus) in the High Seas of the North Pacific Ocean Using Ensemble Models under Medium to Long-Term Future Climate Scenarios. Mar. Pollut. Bull. 2024, 207, 116873. [Google Scholar] [CrossRef] [PubMed]
- Liu, Y.; Chen, Y.; Cheng, J. A Comparative Study of Optimization Methods and Conventional Methods for Sampling Design in Fishery-Independent Surveys. ICES J. Mar. Sci. 2009, 66, 1873–1882. [Google Scholar] [CrossRef]
- Trenberth, K.E. What Are the Seasons? Bull. Am. Meteorol. Soc. 1983, 64, 1276–1282. [Google Scholar] [CrossRef]
- SC/T 9403-2012; Technical Specification for Marine Fishery Resources Survey. China Agriculture Press: Beijing, China, 2013; pp. 2–3.
- Gao, X.; Jiang, Y.; Yuan, X.; Yang, L.; Ling, J.; Li, S. Modeling Spatio-Temporal Variations in the Habitat Utilization of Swordtip Squid (Uroteuthis edulis) in the East China Sea and Southern Yellow Sea. Animals 2023, 13, 3492. [Google Scholar] [CrossRef]
- Naimi, B.; Araújo, M.B. Sdm: A Reproducible and Extensible R Platform for Species Distribution Modelling. Ecography 2016, 39, 368–375. [Google Scholar] [CrossRef]
- Spence, A.R.; Tingley, M.W. The Challenge of Novel Abiotic Conditions for Species Undergoing Climate-induced Range Shifts. Ecography 2020, 43, 1571–1590. [Google Scholar] [CrossRef]
- Manel, S.; Williams, H.C.; Ormerod, S.J. Evaluating Presence–Absence Models in Ecology: The Need to Account for Prevalence. J. Appl. Ecol. 2001, 38, 921–931. [Google Scholar] [CrossRef]
- Breiner, F.T.; Guisan, A.; Bergamini, A.; Nobis, M.P. Overcoming Limitations of Modelling Rare Species by Using Ensembles of Small Models. Methods Ecol. Evol. 2015, 6, 1210–1218. [Google Scholar] [CrossRef]
- Thuiller, W.; Lafourcade, B.; Engler, R.; Araújo, M.B. BIOMOD–a Platform for Ensemble Forecasting of Species Distributions. Ecography 2009, 32, 369–373. [Google Scholar] [CrossRef]
- Thuiller, W.; Georges, D.; Gueguen, M.; Engler, R.; Breiner, F.; Lafourcade, B.; Patin, R.; Blancheteau, H. Biomod2: Ensemble Platform for Species Distribution Modeling. R Package Version 4.2-6-2. 2025. Available online: https://cran.r-project.org/web/packages/biomod2/index.html (accessed on 15 April 2025).
- Roloff, G.J.; Kernohan, B.J. Evaluating Reliability of Habitat Suitability Index Models. Wildl. Soc. Bull. 1999, 27, 973–985. [Google Scholar]
- Gong, C.X.; Chen, X.J.; Gao, F.; Guan, W.J.; Lei, L. Review on Habitat Suitability Index in Fishery Science. J. Shanghai Ocean Univ. 2011, 20, 260–269. [Google Scholar]
- Li, G.; Cao, J.; Zou, X.; Chen, X.; Runnebaum, J. Modeling Habitat Suitability Index for Chilean Jack Mackerel (Trachurus murphyi) in the South East Pacific. Fish. Res. 2016, 178, 47–60. [Google Scholar] [CrossRef]
- Chen, F.; Wei, G.; Li, N.; Fang, Z.; Zhang, H.; Zhou, Y.; Jiang, R. Modelling the Spatial Distribution of Habitats of Main Cephalopod Taxa in Inshore Waters of Zhejiang Province at Spring and Autumn. 2021. Available online: https://www.researchsquare.com/article/rs-1045555/v1 (accessed on 15 July 2024).
- Qin, T.; Yu, C.G.; Chen, Q.Z.; Ning, P.; Zheng, J. Species Composition and Quantitative Distribution Study on Cephalopod in the Zhoushan Fishing Ground and Adjacent Waters. Oceanol. Limnol. Sin. 2011, 42, 124–130. [Google Scholar]
- HuangPu, R.; Liu, Z.; Chen, L. Interactions among Coastal, Shelf, and Kuroshio Water Masses in the East China Sea and Yellow Sea. China Water Transp. 2024, 24, 73–75. [Google Scholar]
- Lee, M.; Chang, Y.; Shimada, T. Seasonal Evolution of Fine-Scale Sea Surface Temperature Fronts in the East China Sea. Deep Sea Res. Part II Top. Stud. Oceanogr. 2015, 119, 20–29. [Google Scholar] [CrossRef]
- Wang, J.F.; Si, G.C.; Yu, F. Progress in Studies of the Characteristics and Mechanisms of Variations in the Taiwan Warm Current. Mar. Sci. 2020, 44, 141–148. [Google Scholar]
- Qi, J.; Yin, B.; Zhang, Q.; Yang, D.; Xu, Z. Analysis of Seasonal Variation of Water Masses in East China Sea. Chin. J. Ocean. Limnol. 2014, 32, 958–971. [Google Scholar] [CrossRef]
- Zheng, X.D.; Han, S.; Lin, X.Z.; Li, Q. Research Progress in Cephalopod Reproductive Behaviors. J. Fish. Sci. China 2009, 16, 459–465. [Google Scholar]
- Liao, Y.; Gao, F.; Zhang, J. The Research and Aquaculture of Octopus That Distribution in China. J. Aquac. 2006, 27, 11–15. [Google Scholar]
- Zhao, J. Studies on Early Growth and Environmental Stress Effect of Octopus ocellatus. Master’s Thesis, Shanghai Ocean University, Shanghai, China, 2019. [Google Scholar]
- Katsanevakis, S.; Protopapas, N.; Miliou, H.; Verriopoulos, G. Effect of temperature on specific dynamic action in the common octopus, Octopus vulgaris (Cephalopoda). Mar. Biol. 2005, 146, 733–738. [Google Scholar] [CrossRef]
- Sun, Y.; Shen, Y.; Dai, L.L.; Zhao, W.T.; Wu, Y.J.; Zhu, L.Y. Zooplankton Distribution and Influence Factors in the Yellow Sea in Summer and Winter. Period. Ocean Univ. China 2020, 50, 82–93. [Google Scholar]
- Yang, D.Z.; Yin, B.; Hou, Y.; Sun, S.; Yu, Z.M.; Song, J.M.; Xu, L.J.; Yu, F.; Song, X.X.; Yu, R.C. Advance in Research on Kuroshio Intrusion and Its Ecological Influence on the Continental Shelf of East China Sea. Oceanol. Limnol. Sin. 2017, 48, 1196–1207. [Google Scholar]
- Zhao, Y.X.; Wang, Z.Y. The Monthly Changes and Its Influencing Factors of the Changjiang Diluted Water off the Estuary in Spring. Mar. Sci. 2021, 45, 81–92. [Google Scholar]
- Boyle, P.; Boletzky, S. Cephalopod Populations: Definition and Dynamics. Philos. Trans. R. Soc. Lond. Ser. B Biol. Sci. 1996, 351, 985–1002. [Google Scholar]
- Chen, X. Studies on Fisheries Resources and Fishing Grounds; Ocean Press: Beijing, China, 2017. [Google Scholar]
- Ayers, J.M.; Lozier, M.S. Physical Controls on the Seasonal Migration of the North Pacific Transition Zone Chlorophyll Front. J. Geophys. Res. 2010, 115, 2009JC005596. [Google Scholar] [CrossRef]
- Cui, Y.; Liu, S.; Xu, B.; Ji, Y.; Zhang, C.; Ren, Y.; Xue, Y. Potential Effects of Climate Warming on Spatial Distribution of Octopus ocellatus Inhabiting Haizhou Bay in Spring. Period. Ocean Univ. China 2023, 53, 42–48. [Google Scholar]
- Wodinsky, J. Breeding Season of Octopus vulgaris. Mar. Biol. 1972, 16, 59–63. [Google Scholar] [CrossRef]
- Huang, P.; Cen, X.; Lu, Y.; Guo, S.; Zhou, S. Global Distribution of the Oceanic Bottom Mixed Layer Thickness. Geophys. Res. Lett. 2019, 46, 1547–1554. [Google Scholar] [CrossRef]
- Hartwick, E.B.; Ambrose, R.F.; Robinson, S.M.C. Dynamics of Shallow-Water Populations of Octopus dofleini. Mar. Biol. 1984, 82, 65–72. [Google Scholar] [CrossRef]
- Telesh, I.; Schubert, H.; Skarlato, S. Life in the Salinity Gradient: Discovering Mechanisms behind a New Biodiversity Pattern. Estuar. Coast. Shelf Sci. 2013, 135, 317–327. [Google Scholar] [CrossRef]
- Zhang, M.; Chang, X.; Hu, L.; Bi, N.; Wang, H.; Liu, X. Source-to-Sink Process of Organic Carbon on the Inner Shelf of the East China Sea and Its Sedimentary Records. Acta Sedimentol. Sin. 2021, 39, 593–609. [Google Scholar]
- Speakman, C.N.; Hoskins, A.J.; Hindell, M.A.; Costa, D.P.; Hartog, J.R.; Hobday, A.J.; Arnould, J.P.Y. Influence of Environmental Variation on Spatial Distribution and Habitat-Use in a Benthic Foraging Marine Predator. R. Soc. Open Sci. 2021, 8, 211052. [Google Scholar] [CrossRef]
- Katsanevakis, S.; Stephanopoulou, S.; Miliou, H.; Moraitou-Apostolopoulou, M.; Verriopoulos, G. Oxygen Consumption and Ammonia Excretion of Octopus vulgaris (Cephalopoda) in Relation to Body Mass and Temperature. Mar. Biol. 2005, 146, 725–732. [Google Scholar] [CrossRef]
- Valverde, J.C.; García, B.G. Suitable Dissolved Oxygen Levels for Common Octopus (Octopus vulgaris Cuvier, 1797) at Different Weights and Temperatures: Analysis of Respiratory Behaviour. Aquaculture 2005, 244, 303–314. [Google Scholar] [CrossRef]
- Tian, H.; Liu, Q.; Goes, J.I.; do Rosario Gomes, H.; Yang, M. Temporal and Spatial Changes in Chlorophyll a Concentrations in the Bohai Sea in the Past Two Decades. Acta Oceanol. Sin. 2019, 41, 131–140. [Google Scholar]
- Zhang, D. Study on the Community Structure of Nekton and Their Correlation with Environmental Factors in Eastern Laizhou Bay. Master’s Thesis, Shanghai Ocean University, Shanghai, China, 2023. [Google Scholar]
- Chen, W. Phylogeographic Pattern and Adaptive Divergence of Octopus ocellatus Along Coastal China. Master’s Thesis, Zhejiang Ocean University, Zhoushan, China, 2018. [Google Scholar]
Disclaimer/Publisher’s Note: The statements, opinions and data contained in all publications are solely those of the individual author(s) and contributor(s) and not of MDPI and/or the editor(s). MDPI and/or the editor(s) disclaim responsibility for any injury to people or property resulting from any ideas, methods, instructions or products referred to in the content. |
© 2025 by the authors. Licensee MDPI, Basel, Switzerland. This article is an open access article distributed under the terms and conditions of the Creative Commons Attribution (CC BY) license (https://creativecommons.org/licenses/by/4.0/).




