Abstract
Efficient underwater recovery systems are essential for battery recharging and data exchange of autonomous underwater vehicles (AUVs). This paper introduced a petal mechanical gripper (PMG) for AUV underwater recovery, and investigated the collision characteristics between the AUV and PMG during the recovery. A collision model was developed with Adams software 2018 to investigate the effect of the recovery mode and closure speed of a PMG driving claw on the recovery efficiency and AUV motion behaviors. A tank experiment was performed to validate the collision model. The simulation results indicated that the active recovery mode had a higher efficiency. Moreover, optimizing the PMG closure speed significantly reduced the recovery time and improved the AUV motion stability. This study provides valuable theoretical guidance for the effective recovery of underwater vehicles.
1. Introduction
In recent decades, autonomous underwater vehicles (AUVs) are increasingly replacing humans in exploring hazardous marine environments, playing a crucial role in marine research. However, the limited size of AUVs constrains battery capacity, which in turn restricts their operational range and endurance. Therefore, effective recovery technologies are essential for AUV retrieval, battery recharging, and data exchange.
Different modes and devices can be involved in AUV recovery [1]. Recovery systems may adopt an active or a passive mode, based on whether the system is mobile. The active recovery mode uses a moving platform as the carrier for the recovery system, which enables mobile docking and also provides storage capabilities [2]. Additionally, robotic arms can be integrated into the moving platform to dynamically capture and dock AUVs [3]. Similarly, propulsion systems such as propellers can be installed on the AUV recovery device to achieve active docking between the AUV and the recovery system [4]. While the active recovery method offers high maneuverability, it demands precise control of both the AUV and the mobile platform.
The passive recovery mode mainly involves rope or extendable rod recovery [5,6,7], which generally requires modifications to the AUV to facilitate docking with the rope or rod for securement. In passive recovery using a docking platform, the AUV needs to navigate toward the docking platform and get secured via a connecting device [8,9,10]. Additionally, AUVs are often equipped with a bottom-mounted securing device, such as the MARINE BIRD docking system [11], for docking and communication with the platform. This also necessitates structural modifications to the AUV, and the docking target must remain stationary during the recovery. Different from the above, docking station recovery uses a conical guide to direct the AUV into the dock, offering advantages such as simplicity, high reliability, and a wide recovery range. This recovery method reduces the precision required in AUV navigation and requires minimal modifications to the vehicle.
In recent years, docking station recovery has been widely studied as a recovery method for AUVs. The guide port of the docking station typically features a square or conical shape, providing a fully enclosed docking area. Stokey et al. [12,13] developed a docking station (with circular and square openings) for recovering AUVs of the REMUS-100 series, which is characterized by an expanded AUV recovery range. Park et al. [14] introduced the ISiMI underwater robot test platform and its optical terminal guidance system, allowing the AUV to identify the docking station location. Hobson et al. [15,16] developed a docking station for an AUV that enabled docking and battery charging at a depth of 4000 m. Meng et al. [17,18,19] designed a recovery device with stabilizing fins, simulating and analyzing the dynamic characteristics of two docking devices. Although this recovery method does not require modifications to the AUV structure, the docking station equipment still faces issues of large size, structural redundancy, poor maneuverability, and collisions.
Among these issues, the collisions between AUVs and recovery devices, which can lead to recovery failures during the recovery process, urgently needs to be solved for safe and effective AUV recovery. Lambiotte et al. [20] conducted collision tests on a “Morpheus” class AUV and a docking device to observe the vehicle’s behavior upon impact due to collisions, reporting a docking success rate of 94% (34/36). Zhang et al. [21] investigated the collisions during the docking of underwater vehicles with fixed recovery devices, and established a dynamic collision model using Adams, which was experimentally validated. Wu et al. [22] calculated the hydrodynamic coefficients during the AUV recovery process using Fluent.
As revealed above, studies on collisions between AUVs and docking stations during recovery are still in a preliminary stage, mainly focusing on the passive recovery process of AUVs. However, there is limited research on a collision involving active recovery devices. This study introduces an active recovery device named a petal mechanical gripper (PMG) for AUV underwater recovery. The PMG combines the wide recovery of docking stations with an active recovery function. The collisions between the AUV and PMG were simulated with a collision model, and a tank experiment was performed to validate the collision model. Two schemes of AUV recovery were designed to verify the impact on recovery efficiency and the AUV motion behaviors.
2. Simulation and Experimental Verification
In this section, we aimed to validate the effectiveness of the collision simulation method for PMG recovery of AUVs through simulations and experiments. First, the structural parameters of the PMG and the AUV are introduced. Next, two collision simulation schemes between the PMG and the AUV are designed. Finally, a tank experiments are conducted to verify the accuracy of the collision simulations.
2.1. The Design of the PMG and Structure of the AUV
The driving arm of the PMG has features of both a fixed posture and active closure. When the driving arm is extended to a target posture and fixed, it can improve the recovery range for the AUV and allow the PMG to function as a passive docking station [23]. Once the AUV enters the recovery bin, the driving arm actively closes to secure and clamp the AUV. In this case, the PMG has both passive and active recovery capabilities. The structure of the PMG and that of the AUV to be recovered are shown in Figure 1, while their specific parameters are listed in Table 1 and Table 2.
Figure 1.
The structure of the PMG and AUV: (a) The PMG; (b) The AUV.
Table 1.
Structural parameters of the PMG.
Table 2.
Structure and inertia parameters of the AUV.
2.2. Schemes for AUV Recovery with the PMG
During AUV recovery with the PMG, the AUV first accelerates from an initial position at 0 m/s to a preset speed and then contacts with the PMG at this speed. After the collision between the two, the PMG secures the AUV to complete the recovery. As shown in Figure 2, a global coordinate frame is established to describe the positional relationship during the recovery. When approaching the PMG, the AUV is constrained to move only in the xy plane through adjustment of the buoyancy system. In the x direction, the initial position of the AUV is set as 3.5 m from the tip of the PMG’s driving claw. In the y direction, an offset of 0.8 m is set from the PMG’s axis to simulate the situation when the AUV cannot contact the central area of the PMG. The PMG’s driving claw completes the securing of the AUV by closing from 30° to 0°.
Figure 2.
Spatial layout of the PMG and the AUV.
The initial speed of the AUV and the closure speed of the PMG can impact both the recovery efficiency and the AUV’s motion performance. Therefore, two schemes were designed to verify the impact on recovery efficiency and AUV motion behaviors during the collision process.
Scheme I: The AUV moves toward the PMG at different initial speeds u (1 m/s, 1.5 m/s, and 2 m/s). The collision occurs when the AUV contacts the PMG and is completed when the fairing of the AUV reaches the bottom of the recovery bin. The AUV can be recovered in two cases, with the driving claw remaining stationary (Case I-1) or closing at a set speed of ω2 = 10°/s (Case I-2).
Scheme II: The AUV moves toward the PMG at a fixed initial speed (u2 = 1.5 m/s). The collision starts when the AUV contacts the passive claw of the PMG, and the PMG closes the driving claw at different speeds ω (7.5°/s, 10°/s, 15°/s, and 30°/s). The collision is finalized when the AUV contacts the bottom of the PMG.
In both schemes, the collision time is defined as the time from the first contact to the entrance of the AUV into the recovery bin. The impact force and the number of collisions during the recovery process are observed and analyzed, and the recovery efficiency is evaluated based on the collision time.
2.3. Simulation Dynamics and Parameter Setting
The dynamics of moving objects and their collision dynamics significantly influence the accuracy of collision simulations. In the following, we introduce the dynamic model of the AUV and the dynamic collision model between the PMG and the AUV. Relevant collision parameters are configured based on the collision characteristics of the PMG and the AUV.
2.3.1. Dynamic Equation of the AUV
The dynamics of the AUV determine the accuracy of the simulation model for AUV recovery with the PMG. The simulation utilizes the built-in dynamics equation in Adams, and the external forces acting on the AUV include gravity, buoyancy, propeller thrust, and hydrodynamic forces. The forces of gravity, buoyancy, and thrust on the AUV remain constant before and after the collision between the PMG and the AUV, while impact and friction forces on the AUV are generated during the collision and disappear after the collision. The dynamic equation of the AUV can be expressed as:
where V is the velocity of the center of mass, V = ui + vj + wk, is the acceleration of the center of mass, = i + j + k, Ω is the angular velocity, Ω = pi + qj + rk, is angular acceleration, Ω = i + j + k, rG is the distance between the center of mass and the center of buoyancy, is the transformation matrix from global coordinates to body coordinates, JC is the moment of inertia, fi is the external force, and T is the moment.
The effect of gravity and buoyancy moments during this period can be neglected due to the short collision time between the AUV and PMG. Since the contribution of these moments to the collision dynamics is small during the short collision time, this assumption is reasonable under the simulation and experimental conditions of this study. However, this simplification is not applicable in cases where the relative motion after the collision is large, and the tangential collision time is longer. The gravity and buoyancy of the AUV can be expressed as:
2.3.2. Hydrodynamic of AUV
The hydrodynamic forces on the AUV consist of the viscous forces related to velocity, the inertial forces related to acceleration, and the corresponding moments. The hydrodynamic coefficients can be calculated with CFD software (Ansys workbench 2020) and theoretical equations [24,25]. The rectangular and annular fluid regions are chosen to more realistically simulate the flow field environment that the AUV may encounter during the recovery process. Specifically, the rectangular region simulates the linear and deflected water environments between the AUV and the recovery device, while the annular region simulates the rotational motion environment of the AUV. These two water environments closely resemble the AUV's actual underwater motion conditions. The rectangular fluid domain (Figure 3a) is used to calculate the hydrodynamic coefficients resulting from changes in the AUV’s angle of attack α, while the annular fluid domain (Figure 3b) is employed to calculate the hydrodynamic coefficients due to variations in the AUV’s radius of rotation. Figure 4 shows the velocity path lines of the AUV at different angles of attack α and radius of rotation r.
Figure 3.
Fluid domain of the AUV, the blue arrow indicates the inlet flow direction, and the red arrow indicates the outlet flow direction: (a) Rectangular fluid domain; (b) Annular fluid domain. The blue arrow indicates the inlet flow direction, while the red arrow indicates the outlet flow direction.
Figure 4.
Velocity path lines of the AUV at different angles of attack and radius of rotation.
The external forces on the AUV can be expressed as:
where L is the body length of the AUV, U is the incoming flow velocity, α is the angle of attack, β is the sideslip angle, p’ is the dimensionless roll velocity, q’ is the dimensionless yaw velocity, and r’ is the dimensionless pitch velocity.
The viscous forces and moments can be expressed as:
where M is the mass of the AUV; Cax, Cay, and Caz denote the additional mass coefficients in the x, y, and z directions; ax, ay, and az represent the acceleration; Ixx, Iyy, and Izz are the moment of inertia; Crx, Crx, and Crx are the added mass moment coefficients; and λx, λy, and λz are the angles of acceleration.
During the collision, the forces and moments in the y and z directions are approximately similar, so the hydrodynamic coefficients in these two directions are considered the same. In addition, the viscous roll moment has a minimal effect during the collision. Finally, the specific coefficients are determined, as provided in Table 3.
Table 3.
Hydrodynamic coefficients of the AUV.
2.3.3. Impact Function of the Collision
The impact function is used in the simulation to analyze the collision process, which involves multiple parameters including stiffness coefficient, damping coefficient, force exponent, penetration depth, and friction coefficient, promoting accuracy of the simulation. The specific impact function is:
where Q is the distance variable, is the velocity, Q1 is the threshold of fimpact, k is the stiffness coefficient, e is the force index, Cmax is the maximum damping coefficient, and d is the depth of penetration. In addition, in the function step, a = h1 − h0, h0 is the initial value, and h1 is the final value. Δ = (x − x0)/(x1 − x0), x0 is the start value, and x1 is the end value.
2.4. Parameter Settings
The specific parameter settings for the simulation of the collision during AUV recovery are detailed in Table 4. The designed PMG is made of aluminum alloy 6061, and the AUV is made of resin material. The parameter settings in the table are mainly referenced from the Adams/View Contacts manual, and proper adjustments are made based on the material properties of the PMG and AUV. Specifically, the values of parameters such as stiffness coefficient, damping coefficient, and penetration depth were modified based on experimental data from a similar system [26]. These adjustments ensure that the model more accurately reflects the real-world collision behaviors, and the accuracy of the parameter settings were further validated through comparison with experimental data.
Table 4.
Parameters in collision simulation.
Based on the two schemes designed, different AUV initial speeds (u1-u3) and PMG closure speeds (ω1-ω4) were set, with the same simulation time of 10 s and time step of 1 × 10−3 for the two schemes.
2.5. Experimental Verification
A tank experiment was designed to verify the accuracy of the simulation results for the collision process during AUV recovery, and a 3:1 scale physical and simulation model of both PMG and AUV is applied for cost effectiveness and ease of operation. The experimental setup and principle are shown in Figure 5. The dimensions of the pool are 25 m × 6 m × 2.5 m (length × width × depth), with a fixed platform installed at the pool’s edge and the PMG mounted on the platform so that the recovery bin is just submerged underwater. The AUV’s buoyancy is adjusted to keep it fully submerged below the water surface, at a height allowing proper navigation. During forward motion (before collision), the AUV remains aligned with the central axis of the PMG’s recovery bin. The AUV is controlled via a low-frequency remote to enter the PMG. The recovery process is conducted under different opening angles and grasping speeds of the PMG, which are controlled by a computer on the shore. During this process, the impact force data are collected with force sensors installed on the driving claw, and the recovery time is recorded.
Figure 5.
Working principles for the collision experiment of AUV recovery.
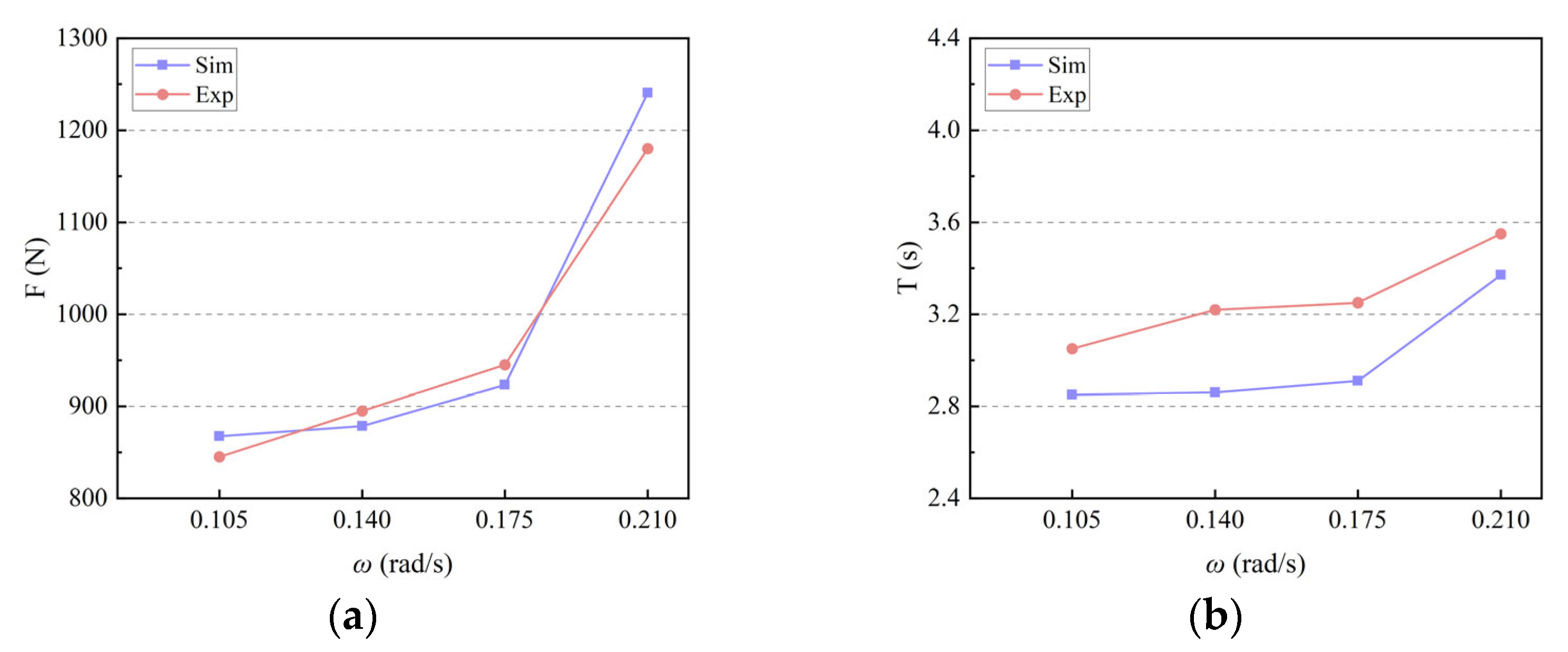
Figure 6 shows the collision position and the attitude of the AUV in the experiment and the simulation, while Figure 7 shows the curves for maximum impact force and the recovery time. The experimental and simulation results are basically consistent, with a maximum impact force error of 5.10%. The collision positions and attitude of the AUV with the main claw lead to discrepancies in the experimental results due to the positioning of the force sensor in the middle of the PMG main claw, and causes the experimental impact force to be higher or lower than the simulation. Additionally, during the AUV approach to the PMG, the simulation does not account for the influence of the surrounding flow field on the AUV flow field, and results in a longer simulated recovery time compared to the experimental results. In brief, the simulation of the AUV recovery process with the PMG is proven to be accurate.
Figure 6.
Experimental scenes and simulation of the AUV collision process. (a1–d1) Experimental process; (a2–d2) Simulation process. The red and yellow circles denote the collision points between the AUV and PMG.
Figure 7.
Experimental and simulation curves at different closure speeds of the PMG: (a) Impact force; (b) Recovery time.
3. Results and Discussion
It was revealed in the simulation that the ratio of PMG closure speed to AUV initial speed (ω·LC/u) can affect the number of collisions in the recovery. To investigate such an effect, we defined the ratio when the PMG closure speed takes ω2·LC (closure angle velocity multiplied by driving claw length) and the AUV initial speed takes u1 as 1. The ratios in other situations as well as the corresponding number of collisions are detailed in Table 5. The minimum number of collisions is calculated as 4, which occurs when ω·LC/u is greater than 0.375 or less than 1.5. First, we explored the effect of the initial AUV speed on both active and passive recovery efficiency, as well as the motion performance of the AUV, during which the PMG closure speed was set to ω2 to eliminate other influencing factors. Similarly, the effect of PMG closure speed was explored with the initial AUV speed set to u2.
Table 5.
Collision numbers at different ω·LC/u.
3.1. Effect of AUV Initial Speed on Active and Passive Recovery Efficiency
The impact force and recovery time at different AUV initial speeds were obtained, as illustrated in Table 6 and Table 7. Specifically, P represents the passive recovery, A represents the active recovery, N represents the total number of collisions, ω2 shows the closure speed, and u1–u3 denote different initial speeds.
Table 6.
The impact force of passive and active recovery.
Table 7.
The recovery time of passive and active recovery.
As the initial AUV speed increases, the recovery time for both active and passive recovery modes decreases significantly, while the maximum impact force shows an increasing trend. Notably, the number of collisions decreases in passive recovery, whereas it remains unchanged in active recovery. Overall, active recovery involves fewer collisions than passive recovery. During active recovery, the maximum impact force initially occurs at the second collision, but it shifts to the fourth collision with the increase in initial AUV speed, indicating that the distribution of the maximum impact force can be effectively altered during active recovery.
In addition, the difference in the recovery time for the two modes showed a decreasing trend as the initial AUV speed increased. When the initial speed was u1, the active recovery time was 10.57% shorter than the passive recovery time. When the initial speed was u3, the active recovery time was only 5.45% shorter than the passive recovery time. Therefore, the advantage of active recovery is more prominent at lower AUV initial speeds.
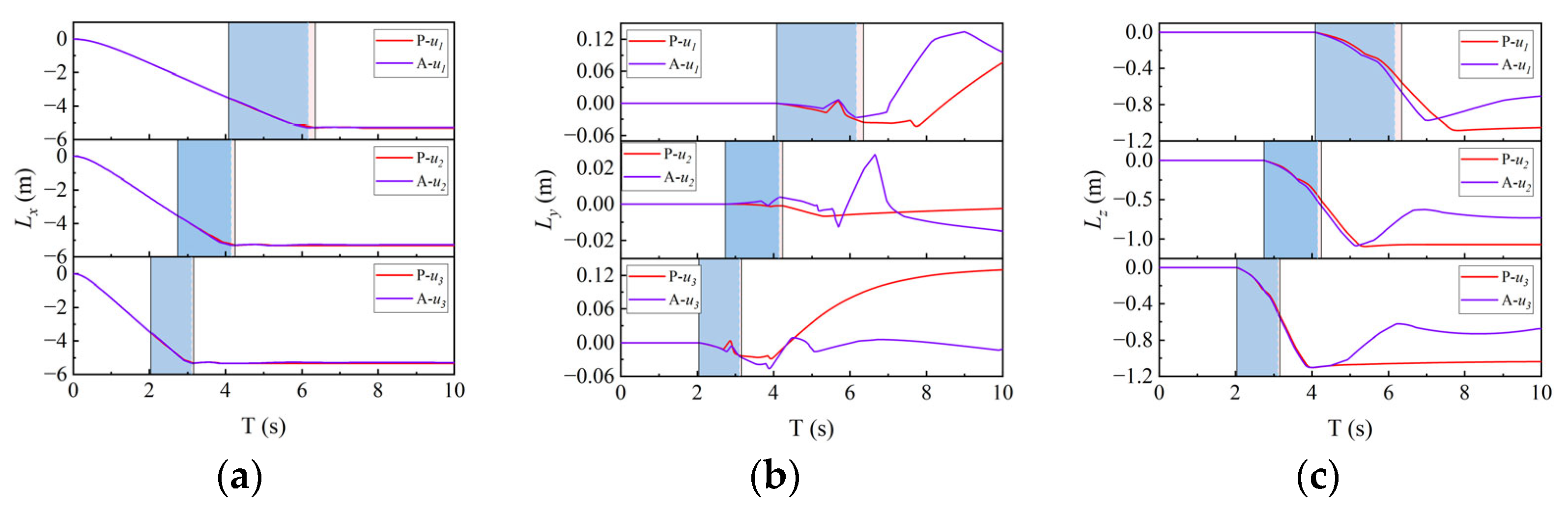
Figure 8 presents the displacement curves of the AUV at different initial speeds. Obviously, the active recovery witnesses a shorter collision time in all situations. The blue area represents the collision time for active recovery, while the red area represents the extra collision time taken by passive recovery. The purple indicates the displacement curves for active recovery by the PMG, and the red curves represent those for passive recovery by the PMG.
Figure 8.
Displacement curves of the AUV during active and passive recovery: (a) x directions; (b) y directions; (c) z directions.
In the x direction (Figure 8a), the AUV’s displacement in the active recovery is effectively reduced with the increase in the AUV initial speed, allowing for faster recovery. Without the closure, like in the passive recovery, it requires a longer time for the AUV to come to a stop. In the y direction, the AUV exhibits significant displacement fluctuations in the collision region with the active recovery, as indicated in Figure 8b. At medium AUV initial speeds (such as u2), the active recovery sees weaker AUV displacement fluctuations than at lower or higher speeds, as well as smaller AUV displacement than in passive recovery. In the z direction (Figure 8c), the AUV’s displacement decreases more rapidly with the closure of the driving claw than in passive recovery. In brief, the closure of the PMG is crucial for improving the recovery efficiency and the AUV’s stability. It can significantly reduce AUV displacement (especially in y and z directions) and recovery time (especially at low and medium initial speeds), resulting in better recovery performance.
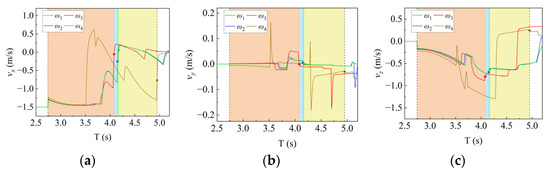
Figure 9 presents the speed curves of the AUV during the recovery process at different initial speeds. In the x direction (Figure 9a), the AUV’s moving speed shows a gradual decline with the increase of initial speed. In the active recovery (purple curve), the AUV’s speed fluctuations decrease significantly, especially at higher initial speeds (such as u3), where speed fluctuations are more significantly reduced. In the y direction (Figure 9b), the smallest fluctuation amplitude in the active recovery is observed at the initial speed of u2. In the z direction (Figure 9c), the AUV’s moving speed of active and passive recovery is similar. Therefore, in the recovery process, the speed fluctuation of active recovery is lower than that of passive recovery, indicating that active recovery can reduce the speed fluctuation.
Figure 9.
Velocity curves of PMG for recovering the AUV under active and passive conditions: (a) x directions; (b) y directions; (c) z directions.
Figure 10 shows the acceleration curves of the AUV at different initial speeds. In the x direction (Figure 10a), the active recovery sees lower peak values than the passive recovery. With the increase of initial speed, the acceleration peak in active recovery increases to nearly 50 m/s2. However, the acceleration peak in passive recovery shows an overall increasing trend, reaching nearly 80 m/s2. Therefore, the active recovery can change the impact force on the AUV in the x direction. In the y direction (Figure 10b), the acceleration peak during active recovery remains constant at 5 m/s2, while that during passive recovery increases with the initial speed, reaching a maximum of 25 m/s2 at u3. Obviously, the active recovery helps reduce the impact force in the y direction. In the z direction (Figure 10c), the acceleration peak in active recovery increases to nearly 20 m/s2, while the acceleration peak in passive recovery increases to nearly 80 m/s2.
Figure 10.
Acceleration curves of the AUV during active and passive recovery: (a) x directions; (b) y directions; (c) z directions.
During the recovery process, the active recovery can alter the maximum impact distribution in the x, y, and z directions, and thus effectively reduces the AUV’s maximum acceleration. This helps minimize damage to the AUV during the recovery, since a high acceleration peak exerts a significant impact force on the vehicle structure and is detrimental to its structural integrity.
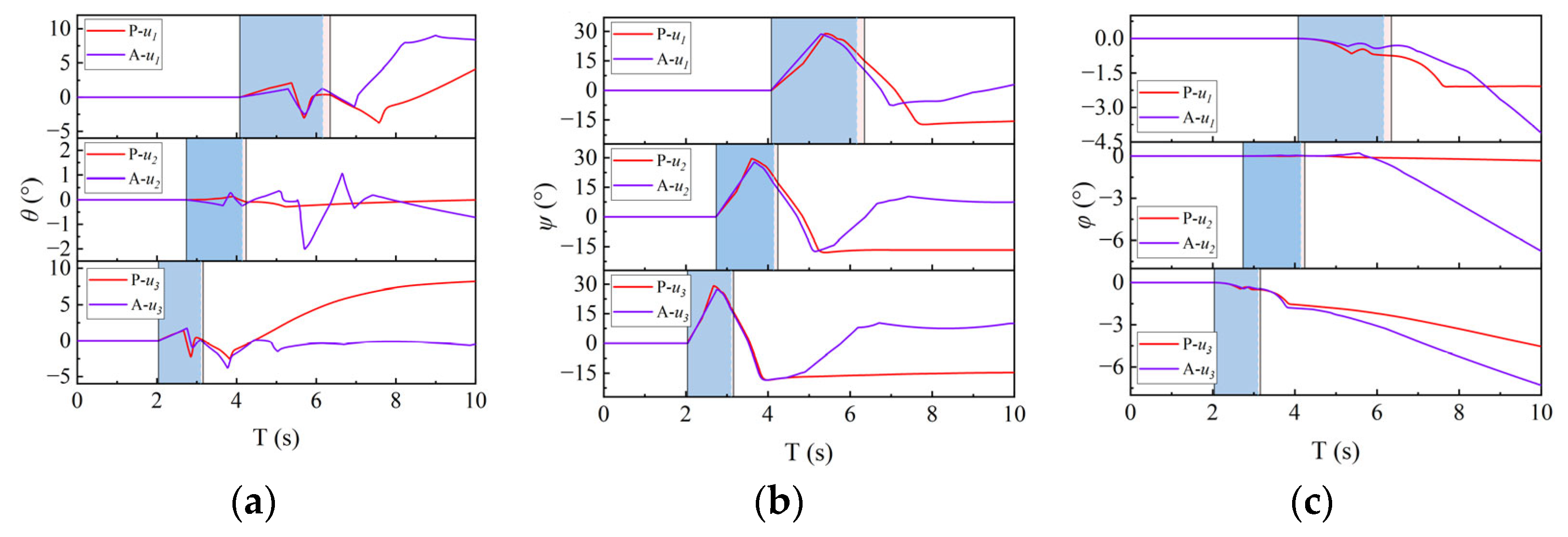
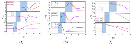
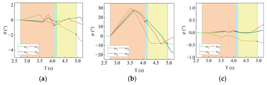
Figure 11 illustrates the attitude angle curves of the AUV during recovery under different initial speeds. Generally, a smaller fluctuation of pitch angle θ indicates a better recovery stability. Overall, the fluctuation amplitude in passive recovery is smaller than that in active recovery, and the smallest fluctuation in both modes is observed at u2, as shown in Figure 11a. In addition, the yaw angle is ψ in active recovery and in the passive recovery approach to be consistent with the increase of initial velocity, as shown in Figure 11b. Therefore, the active recovery will have a better control of the yaw angle at a lower initial speed. As shown in Figure 11c, the variation of roll angle φ is relatively stable during both active recovery and passive recovery. Notably, φ tends to stabilize more rapidly in the active recovery.
Figure 11.
Attitude angles of the AUV under active and passive recovery: (a) Pitch angle; (b) Yaw angle; (c) Roll angle.
In brief, the active recovery can significantly improve the AUV’s attitude stability, especially in terms of θ and ψ. This is especially true at a medium initial speed (such as u2), where the active recovery can effectively reduce attitude fluctuations and ensures the AUV can quickly reach a stable state.
3.2. Collision Mechanism of the Active Recovery and Passive Recovery with the PMG
Figure 12 shows the collision situation in active recovery (a1–e1) and passive recovery (a1–d2) with the PMG under initial speed u2. In the passive recovery, the driving arm and passive claw provide passive guidance for the AUV, and there are altogether five collisions. In active recovery, the driving claw closes to increase the AUV’s yaw speed and reduce the number of collisions, and the number of collisions is four. Clearly, the difference in recovery time of the two modes is mainly generated by the second and third collisions. In the passive recovery, the AUV’s fairing collides twice with the PMG’s guide cap (b1–c1) before entering the recovery bin; in the active recovery, the fairing directly collides with the inner wall of the recovery bin (Figure 12b2), thus reducing the recovery time. Clearly, the active recovery improves the distribution of collision points.
Figure 12.
Collision situation in active recovery and passive recovery under initial speed u2. (a2–d2) Passive mode of AUV recovery; (a1–e1) Active mode of AUV recovery. The red circles denote the collision points between the AUV and PMG.
As analyzed above, the active recovery with the PMG is better than passive recovery in terms of collision time, recovery efficiency, and AUV motion stability. Although the impact force is higher in active recovery than in passive recovery, the active recovery can modify the magnitude of the impact forces in the x, y, and z directions, allowing the adjustment of the collision positions.
3.3. Effect of Closure Speed of the PMG on Collisions
When the initial AUV speed is set as u2, the impact force first increases and then decreases with the increase of the closure speed, as shown in Table 8. However, the recovery time gradually decreases with the increase of the closure speed, as shown in Table 9. Specifically, a very small closure speed (ω1) can reduce the guiding effect on the AUV, leading to passive entry into the recovery bin and an increase in the number of collisions. In contrast, an excessive closure speed can lead to an overly strong guiding effect in the z direction, increasing the yaw angle and requiring multiple collisions to correct the course of the AUV.
Table 8.
The impact force under different closure speeds of the PMG.
Table 9.
The recovery time under different closure speeds of the PMG.
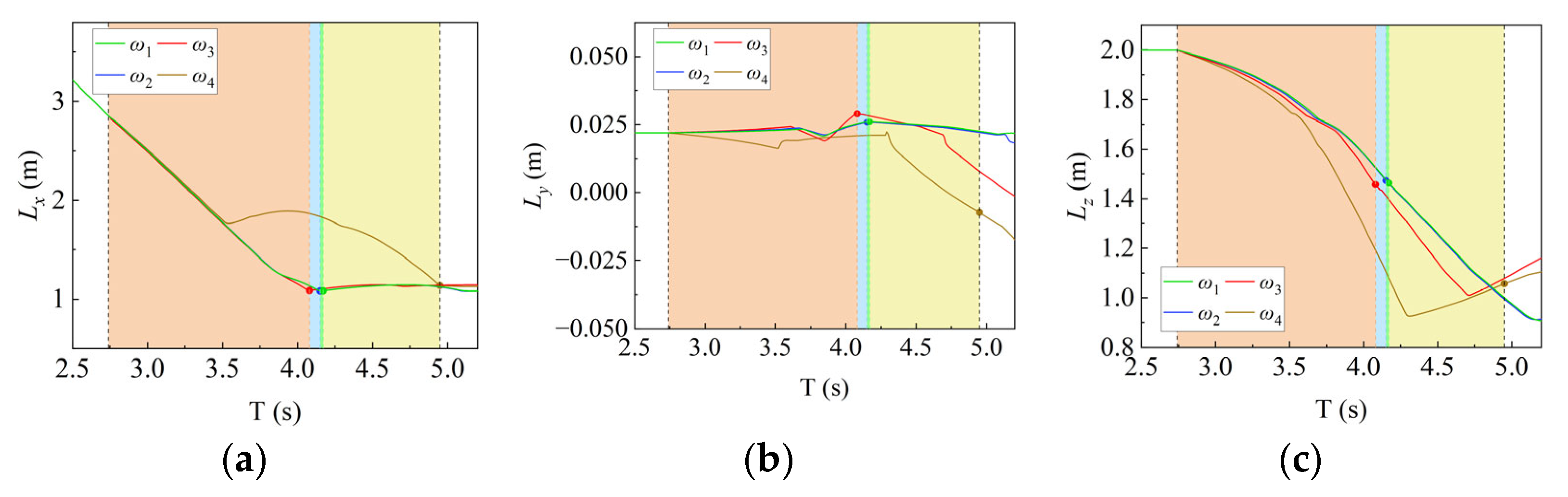
This section primarily analyzes the motion of the AUV during its collision with the PMG at different closure speeds in active recovery, aiming to determine the optimal closure speed and enhance the recovery efficiency. Figure 13 presents the displacement curves of the AUV at different closure speeds (ω1-ω4). The black dashed line on the left indicates the start time of all collisions, while the dashed lines on the right correspond to the end time of collisions for ω3, ω2, ω1, and ω4, with different colored regions representing different collision durations. A comparison of the collision time reveals that the closure speed of ω3 results in the shortest recovery time for the AUV.
Figure 13.
Displacement curves of the AUV under different closure speeds of the PMG: (a) x directions; (b) y directions; (c) z directions.
When the closure increases from ω1 to ω3, the displacement in the x direction (apposite to the AUV heading direction) shows a gradual increase, as shown in Figure 13a. The displacement curves at closure speeds of ω1-ω3 soon converge to a smaller value in the x direction and then stabilize, while the placement curve at the highest closure speed of ω4 shows a longer stabilization time. As shown in Figure 13b, displacement in the y direction is relatively small than that in the x and y directions, with less noticeable changes. However, slight fluctuations occur in the y direction during the active closure of the PMG, indicating that the closure speed has a moderate impact on the AUV’s stability in the y direction. As shown in Figure 13c, the displacement in the z direction is more pronounced, with the displacement curves for all closure speeds converging at around 4 s.
In brief, the closure speed has a significant impact on the AUV’s trajectory, especially in the z direction, where higher closure speeds result in greater displacement fluctuations. This indicates that the AUV will experience more interference in the vertical direction at a higher closure speed of the PMG, although a higher speed helps reduce the recovery time.
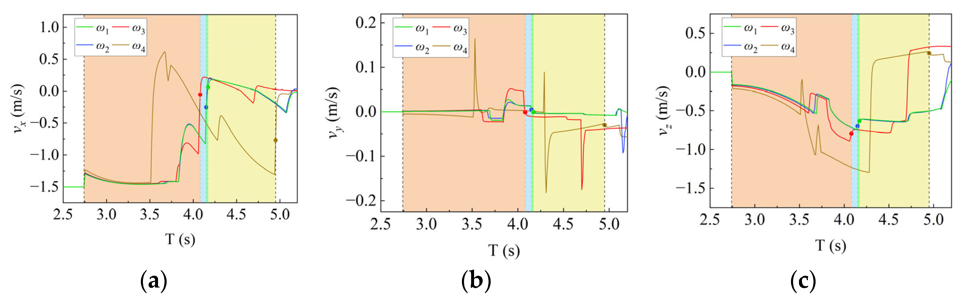
Figure 14 presents the velocity curves of the AUV at different PMG active recovery speeds. Before the closure of the PMG, the AUV maintains a speed of around 1.5 m/s during its forward movement toward the PMG (Figure 14a). The velocity curves of ω1–ω3 are similar. At the beginning of the closure, the AUV speed experiences significant fluctuations, especially at ω4, where the AUV speed shows pronounced positive and negative oscillations, indicating a strong disturbance. As shown in Figure 14b, the AUV speed in the y direction is relatively small. However, the speed curves exhibit noticeable jumps at higher closure speeds (such as ω4), indicating that the AUV also experiences disturbances in the y direction under high-speed closure. As shown in Figure 14c, the speed in the z direction gradually decreases during recovery, but there are more intense fluctuations under high-speed closure conditions (such as ω4), reflecting the significant disturbance on the AUV in the vertical direction.
Figure 14.
Velocity curves of the AUV under different closure speeds of the PMG: (a) x directions; (b) y directions; (c) z directions.
As analyzed above, high-speed closure can induce significant speed fluctuations to affect the AUV’s attitude control and increase the difficulty of recovery. The AUV is subjected to lateral disturbances and impacts during the high-speed closure of the PMG, which, although small in magnitude, may cause the vehicle to deviate from its intended trajectory during active recovery, increasing the difficulty of attitude adjustment.
Figure 15 shows the acceleration curves of the AUV at different PMG active closure speeds. In the x direction (Figure 15a), the AUV acceleration exhibits significant fluctuations during the closure, especially at higher closure speeds (such as ω4), where the acceleration peaks near 70 m/s2 at the moment of closure. In contrast, lower closure speeds (such as ω1) generate much smaller accelerations, with peaks around 20 m/s2. Obviously, high-speed closure significantly increases the acceleration peaks, which can lead to increased structural stress on the AUV. As shown in Figure 15b, the acceleration in the y direction shows relatively small variations across different closure speeds, but higher speeds (such as ω4) cause brief jumps in acceleration during the closure, reaching over 7 m/s2. Although these jumps are short-lived, they may cause instantaneous lateral disturbances to the AUV, affecting the precise recovery. As shown in Figure 15c, the z direction acceleration behaves similarly to the x direction acceleration, showing noticeable fluctuations, particularly under high-speed closure conditions (such as ω4) with peaks exceeding 50 m/s2. This is due to the instantaneous impact in the z direction when the AUV contacts the PMG during high-speed closure.
Figure 15.
Acceleration curves of the AUV under different closure speeds of the PMG: (a) x directions; (b) y directions; (c) z directions.
Clearly, a high closure speed of PMG can trigger significant acceleration fluctuations, which have a negative impact on the overall stability of the recovery system, increasing the risk of recovery failure.
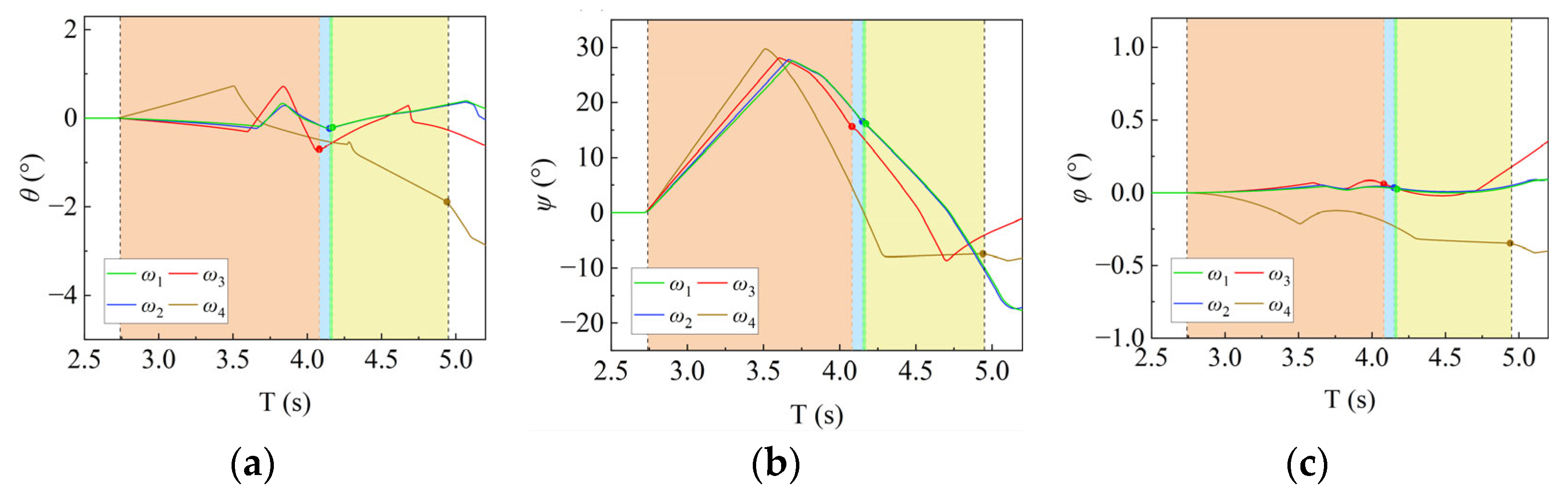
Figure 16 provides the AUV attitude angle curves at different PMG closure speeds. As shown in Figure 16a, the pitch angle θ shows minimal variation throughout the closure process, with only brief fluctuations. Under high-speed closure (such as ω4), the pitch angle exhibits some negative changes, but overall fluctuations remain within ±2°, indicating stable vertical attitude control and limited impact of the closure speed. As shown in Figure 16b, the yaw angle ψ changes significantly during the closure process, especially at higher closure speeds, with the maximum fluctuation reaching up to about +30°. At lower speeds (such as ω1), the yaw angle fluctuates less, indicating that lower closure speeds help maintain the AUV’s horizontal attitude. As shown in Figure 16c, the roll angle φ experiences very small fluctuations, staying within ±0.5°, demonstrating a good roll stability of the AUV throughout the recovery process.
Figure 16.
Attitude angle curves of the AUV under different closure speeds of the PMG: (a) Pitch angle; (b) Yaw angle; (c) Roll angle.
Briefly, high-speed closure of the PMG can cause severe fluctuations in attitude angles, particularly in the yaw angle, leading to poor horizontal stability of the AUV and increasing the difficulty of recovery.
Taking all the above analysis into account, a moderate closure speed (such as ω3) should be selected to ensure stability of the AUV and maintain a short recovery time during the recovery process.
3.4. Collision Mechanism of Closure Velocity of the PMG on AUV Recovery
According to the motion curves (displacement, speed, and acceleration) during the AUV recovery process, the recovery efficiency is significantly affected by the collision position and the number of collisions between the AUV and PMG. Since the first collision between the PMG and AUV is similar at different closure speeds, this section mainly analyzed the second to fourth collisions to investigate the impact of closure speed on collisions and recovery efficiency, as illustrated in Figure 17. The position of the second collision at different closure speeds is presented in Figure 17(a1–a4). When the PMG closes, the AUV’s head is expected to collide with the inner wall of the recovery bin (as in a1–a3), and the recovery time can be shortened when the collision position is farther from the bottom of recovery bin. If the AUV’s head collides with the entrance of the recovery bin (guide cap, as in a4), it will have a lower recovery efficiency, or even lead to recovery failure. The third and fourth collisions are illustrated by Figure 17(b1–b4) and (c1–c4), respectively. Clearly, the position of the second collision affects the subsequent movement of the AUV and the collision positions.
Figure 17.
Collision distribution during active recovery of the AUV with the PMG at different closure speeds. (a1–a4) Second collision; (b1–b4) Second collision; (c1–c4) Second collision. The red circles denote the collision points between the AUV and PMG.
When the PMG closure speed is too low (ω1), as shown in Figure 17(a1–c1), the contact during recovery only occurs between the PMG recovery bin and the AUV’s head, without any contact between the PMG claws and the vehicle body. This increases the AUV’s yaw angle, leading to a longer recovery time. As the closure speed increases (ω2 and ω3), as shown in Figure 17(a2–c2,a3–c3), the contacts between the PMG claws and the vehicle body increase, which significantly reduces the AUV’s yaw angle and thus reduces the recovery time. When the PMG’s closure speed is too high (ω4) and the AUV’s head collides with the entrance (guide cap) of the recovery bin, as shown in Figure 17(a4–c4), the AUV’s speed and acceleration in the x and y directions is increased, which increases the yaw angle and pushes the vehicle to head toward the -z direction. Although the passive claws collide with the vehicle body to effectively reduce the yaw angle, the resistance in the x direction becomes stronger, increasing the number of collisions and the recovery time. This aligns with the previous conclusions about the collisions and AUV movements.
4. Conclusions
This paper investigated the effects of PMG recovery mode and closure speed on AUV recovery efficiency and motion performance. A collision simulation model for PMG recovery of AUVs was developed and validated. The optimal configuration of the AUV speed and PMG closure speed was also explored through analyzing the recovery mode and closure speed of the PMG. The current study provides a research method for the active recovery device. The main conclusions are as follows:
- (1)
- As the initial AUV speed increases, the active recovery time decreases significantly. However, the maximum impact force increases, and active recovery effectively alters the distribution of impact forces.
- (2)
- At lower initial speeds, active recovery is more efficient and safer than passive recovery, and the AUV experiences a lower impact force, shorter recovery time, and more stable attitude and motion.
- (3)
- When the ratio of the PMG closure speed to the AUV initial speed (ω·LC/u) is between 0.375 and 1.5, the number of AUV collisions can be minimized. Within this range, higher closure speeds can result in greater recovery efficiency.
- (4)
- As the PMG closure speed increases, the AUV recovery efficiency shows an increasing trend. However, an excessively high speed (such as ω4) can increase collisions and reduce recovery efficiency. Therefore, ω3 is the most appropriate closure speed for improving AUV motion stability and minimizing displacement and attitude fluctuations.
In future research, we will focus on the recovery performance of the PMG system, particularly examining how varying water flow and irregular AUV paths affect the performance and recovery rate of PMG-based AUV recovery. The goal is to enhance the recovery stability of the PMG system in dynamic environments and reduce the impact of environmental changes on the recovery effectiveness.
Author Contributions
Conceptualization, D.B. and H.Z.; methodology, D.B.; software, D.B.; validation, M.Y.; data curation, D.B. and M.Y.; writing—original draft preparation, D.B.; writing—review and editing, Y.L.; supervision, Y.L. All authors have read and agreed to the published version of the manuscript.
Funding
This work was supported by the National Natural Science Foundation of China [No. 52375024], and Key R&D Program of Shandong Province, China [No. 2021CXGC010708].
Institutional Review Board Statement
Not applicable.
Informed Consent Statement
Not applicable.
Data Availability Statement
All data are presented in the paper.
Acknowledgments
The authors would like to express their sincere thanks to L. Ma for helping to revise the grammar.
Conflicts of Interest
The authors declare there are no conflicts of interest.
References
- Podder, T.; Sibenac, M.; Bellingham, J. AUV docking system for sustainable science missions. In Proceedings of the IEEE International Conference on Robotics and Automation, 2004. Proceedings. ICRA’04. 2004, New Orleans, LA, USA, 26 April–1 May 2004; pp. 4478–4484. [Google Scholar]
- Irani, R.; Kehoe, D.; Spencer, W.; Watt, G.; Gillis, C.; Carretero, J.; Dubay, R. Towards a UUV launch and recovery system on a slowly moving submarine. In Proceedings of the Warship 2014: Naval Submarines & UUV’s, Bath, UK, 18–19 June 2014. [Google Scholar]
- Currie, J.; Gillis, C.B.; Carretero, J.A.; Dubay, R.; Jeans, T.; Watt, G.D. Dynamics of two active autonomous dock mechanisms for auv recovery. Trans. Can. Soc. Mech. Eng. 2014, 38, 213–226. [Google Scholar] [CrossRef]
- Watt, G.D.; Roy, A.R.; Currie, J.; Gillis, C.B.; Giesbrecht, J.; Heard, G.J.; Birsan, M.; Seto, M.L.; Carretero, J.A.; Dubay, R.; et al. A Concept for Docking a UUV With a Slowly Moving Submarine Under Waves. IEEE J. Ocean. Eng. 2016, 41, 471–498. [Google Scholar] [CrossRef]
- Brignone, L.; Perrier, M.; Viala, C. A fully autonomous docking strategy for intervention AUVs. In Proceedings of the OCEANS 2007-Europe, Aberdeen, UK, 18–21 June 2007; pp. 1–6. [Google Scholar]
- Evans, J.; Redmond, P.; Plakas, C.; Hamilton, K.; Lane, D. Autonomous docking for Intervention-AUVs using sonar and video-based real-time 3D pose estimation. In Proceedings of the Oceans 2003. Celebrating the Past... Teaming Toward the Future (IEEE Cat. No. 03CH37492), San Diego, CA, USA, 22–26 September 2003; pp. 2201–2210. [Google Scholar]
- Wirtz, M.; Hildebrandt, M.; Gaudig, C. Design and test of a robust docking system for hovering AUVs. In Proceedings of the 2012 Oceans, Hampton Roads, VA, USA, 14–19 October 2012; pp. 1–6. [Google Scholar]
- Fukasawa, T.; Noguchi, T.; Kawasaki, T.; Baino, M. “MARINE BIRD”, a new experimental AUV with underwater docking and recharging system. In Proceedings of the Oceans 2003. Celebrating the Past... Teaming Toward the Future (IEEE Cat. No. 03CH37492), San Diego, CA, USA, 22–26 September 2003; pp. 2195–2200. [Google Scholar]
- Kawasaki, T.; Fukasawa, T.; Noguchi, T.; Baino, M. Development of AUV “Marine Bird” with underwater docking and recharging system. In Proceedings of the 2003 International Conference Physics and Control. Proceedings (Cat. No. 03EX708), Tokyo, Japan, 25–27 June 2003; pp. 166–170. [Google Scholar]
- Kawasaki, T.; Noguchi, T.; Fukasawa, T.; Hayashi, S.; Shibata, Y.; Okaya, N.; Fukui, K.; Kinoshita, M. “Marine Bird”, a new experimental AUV-results of docking and electric power supply tests in sea trials. In Proceedings of the Oceans’ 04 MTS/IEEE Techno-Ocean’04 (IEEE Cat. No. 04CH37600), Kobe, Japan, 9–12 November 2004; pp. 1738–1744. [Google Scholar]
- Maki, T.; Shiroku, R.; Sato, Y.; Matsuda, T.; Sakamaki, T.; Ura, T. Docking method for hovering type AUVs by acoustic and visual positioning. In Proceedings of the 2013 IEEE International Underwater Technology Symposium (UT), Tokyo, Japan, 5–8 March 2013; pp. 1–6. [Google Scholar]
- Stokey, R.; Allen, B.; Austin, T.; Goldsborough, R.; Forrester, N.; Purcell, M.; Von Alt, C. Enabling technologies for REMUS docking: An integral component of an autonomous ocean-sampling network. IEEE J. Ocean. Eng. 2001, 26, 487–497. [Google Scholar] [CrossRef]
- Allen, B.; Austin, T.; Forrester, N.; Goldsborough, R.; Kukulya, A.; Packard, G.; Purcell, M.; Stokey, R. Autonomous docking demonstrations with enhanced REMUS technology. In Proceedings of the OCEANS 2006, Boston, MA, USA, 18–21 September 2006; pp. 1–6. [Google Scholar]
- Park, J.-Y.; Jun, B.-H.; Lee, P.-M.; Lee, F.-Y.; Oh, J.-h. Experiment on underwater docking of an autonomous underwater vehicleISiMI’using optical terminal guidance. In Proceedings of the OCEANS 2007-Europe, Aberdeen, UK, 18–21 June 2007; pp. 1–6. [Google Scholar]
- Hobson, B.W.; McEwen, R.S.; Erickson, J.; Hoover, T.; McBride, L.; Shane, F.; Bellingham, J.G. The development and ocean testing of an AUV docking station for a 21” AUV. In Proceedings of the OCEANS 2007, Vancouver, BC, Canada, 29 September–4 October 2007; pp. 1–6. [Google Scholar]
- McEwen, R.S.; Hobson, B.W.; McBride, L.; Bellingham, J.G. Docking control system for a 54-cm-diameter (21-in) AUV. IEEE J. Ocean. Eng. 2008, 33, 550–562. [Google Scholar] [CrossRef]
- Zhang, H.; Gu, H.; Lin, Y.; Bai, G.; Meng, L. Design and Hydrodynamic Analysis of Towing Device of the Automated Recovery of the AUV by the USV. In Proceedings of the 2018 IEEE International Conference on Information and Automation (ICIA), Wuyishan, China, 11–13 August 2018; pp. 416–421. [Google Scholar]
- Meng, L.; Gu, H.; Lin, Y.; Bai, G.; Tang, D. Study on the Mechanical Characteristics of a Towing Docking Device for USV Self-Recovering AUVs. In Proceedings of the OCEANS 2019—Marseille, Marseille, France, 17–20 June 2019; pp. 1–8. [Google Scholar]
- Meng, L.; Lin, Y.; Gu, H.; Bai, G.; Su, T.-C. Study on dynamic characteristics analysis of underwater dynamic docking device. Ocean. Eng. 2019, 180, 1–9. [Google Scholar] [CrossRef]
- Lambiotte, J.; Coulson, R.; Smith, S.; An, E. Results from mechanical docking tests of a Morpheus class AUV with a dock designed for an OEX class AUV. In Proceedings of the OCEANS’02 MTS/IEEE, Biloxi, MI, USA, 29–31 October 2002; pp. 260–265. [Google Scholar]
- Zhang, T.; Li, D.; Yang, C. Study on impact process of AUV underwater docking with a cone-shaped dock. Ocean. Eng. 2017, 130, 176–187. [Google Scholar] [CrossRef]
- Wu, L.; Li, Y.; Su, S.; Yan, P.; Qin, Y. Hydrodynamic analysis of AUV underwater docking with a cone-shaped dock under ocean currents. Ocean. Eng. 2014, 85, 110–126. [Google Scholar] [CrossRef]
- Wu, L.; Li, Y.; Liu, K.; Wang, S.; Ai, X.; Li, S.; Feng, X. A physics-based simulation for AUV underwater docking using the MHDG method and a discretized propeller. Ocean. Eng. 2019, 187, 106081. [Google Scholar] [CrossRef]
- Liu, Y.; Bai, H.; Deng, S.; Liu, S.; Wang, S.; Lan, S.; Li, X.; Li, H.; Wang, Z. Seal-Inspired Underwater Glider with a Rigid-Flexible Composite Hull. IEEE J. Ocean. Eng. 2024, 49, 92–104. [Google Scholar] [CrossRef]
- Safari, F.; Rafeeyan, M.; Danesh, M. Estimation of hydrodynamic coefficients and simplification of the depth model of an AUV using CFD and sensitivity analysis. Ocean. Eng. 2022, 263, 112369. [Google Scholar] [CrossRef]
- Guo, J.; Zheng, R.; Lu, H. AUV Underwater Docking Collision Analysis and Guidance Structure Optimization Based on ADAMS Simulation. Acta Armamentarii 2019, 40, 1058–1067. [Google Scholar]
Disclaimer/Publisher’s Note: The statements, opinions and data contained in all publications are solely those of the individual author(s) and contributor(s) and not of MDPI and/or the editor(s). MDPI and/or the editor(s) disclaim responsibility for any injury to people or property resulting from any ideas, methods, instructions or products referred to in the content. |
© 2025 by the authors. Licensee MDPI, Basel, Switzerland. This article is an open access article distributed under the terms and conditions of the Creative Commons Attribution (CC BY) license (https://creativecommons.org/licenses/by/4.0/).
















