Nitrate δ15N and δ18O Values Reveal Mariculture Impacts on Nitrogen Cycling in Sansha Bay, SE China
Abstract
1. Introduction
2. Materials and Methods
2.1. Study Area and Sampling

2.2. Nutrient Analysis
2.3. Isotopic Analysis
2.4. Bayesian Model
3. Results
4. Discussion
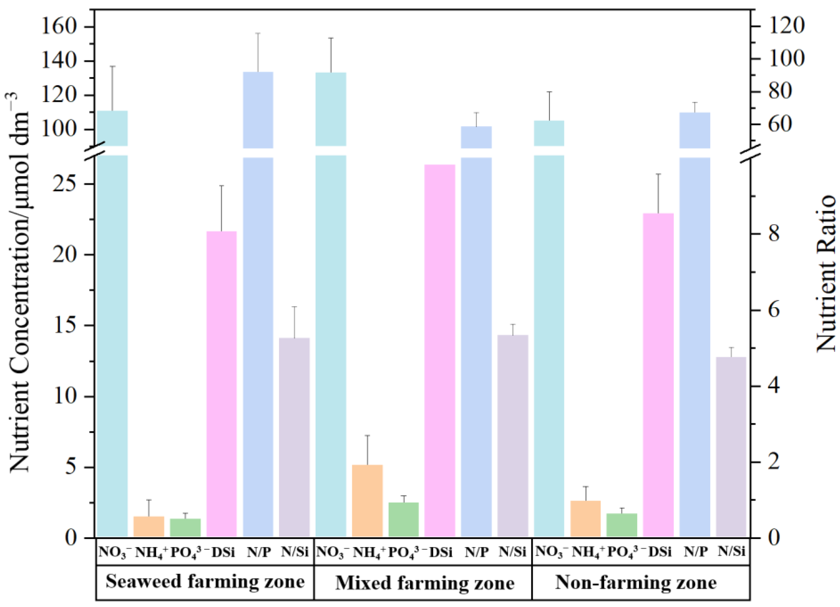
4.1. Impact of Aquaculture Type on Nutrient Levels
4.2. Impact of Aquaculture on N and O Isotopic Compositions
4.3. Nitrate Sources in the Different Aquaculture Zones
5. Conclusions
Supplementary Materials
Author Contributions
Funding
Institutional Review Board Statement
Informed Consent Statement
Data Availability Statement
Acknowledgments
Conflicts of Interest
References
- Lao, Q.; Chen, F.; Liu, G.; Chen, C.; Jin, G.; Zhu, Q.; Wei, C.; Zhang, C. Isotopic evidence for the shift of nitrate sources and active biological transformation on the western coast of Guangdong Province, South China. Mar. Pollut. Bull. 2019, 142, 603–612. [Google Scholar] [CrossRef]
- Yang, B.; Gao, X.; Zhao, J.; Lu, Y.; Gao, T. Biogeochemistry of dissolved inorganic nutrients in an oligotrophic coastal mariculture region of the northern Shandong Peninsula, north Yellow Sea. Mar. Pollut. Bull. 2020, 150, 110693. [Google Scholar] [CrossRef] [PubMed]
- Chen, F.; Lao, Q.; Zhang, S.; Bian, P.; Jin, G.; Zhu, Q.; Chen, C. Nitrate sources and biogeochemical processes identified using nitrogen and oxygen isotopes on the eastern coast of Hainan Island. Cont. Shelf Res. 2020, 207, 104209. [Google Scholar] [CrossRef]
- Chen, C.; Lao, Q.; Chen, F.; Jin, G.; Li, J.; Zhu, Q. Isotope constraints on seasonal dynamics of nitrogen in Zhanjiang Bay, a typical mariculture bay in South China. Acta Oceanol. Sin. 2024, 43, 60–70. [Google Scholar] [CrossRef]
- Zhou, F.; Wang, S.; Fang, H.; He, J.; Ye, L.; Ding, Z.; Li, C.; Chen, F.; Lu, X.; Chen, C.; et al. Distribution and sources of sedimentary organic matter in different aquaculture areas of northeastern Zhanjiang Bay using stable carbon and nitrogen isotopes. Acta Oceanol. Sin. 2024, 43, 38–48. [Google Scholar] [CrossRef]
- Gu, B.; Ju, X.; Chang, J.; Ge, Y.; Vitousek, P.M. Integrated reactive nitrogen budgets and future trends in China. Proc. Natl. Acad. Sci. USA 2015, 112, 8792–8797. [Google Scholar] [CrossRef]
- Xu, H.; Paerl, H.W.; Qin, B.; Zhu, G.; Gaoa, G. Nitrogen and phosphorus inputs control phytoplankton growth in eutrophic Lake Taihu, China. Limnol. Oceanogr. 2010, 55, 420–432. [Google Scholar] [CrossRef]
- Dai, M.; Zhao, Y.; Chai, F.; Chen, M.; Chen, N.; Chen, Y.; Cheng, D.; Gan, J.; Guan, D.; Hong, Y.; et al. Persistent eutrophication and hypoxia in the coastal ocean. Camb. Prism. Coast. Futures 2023, 1, e19. [Google Scholar] [CrossRef]
- Glibert, P.M.; Allen, J.I.; Artioli, Y.; Beusen, A.; Bouwman, L.; Harle, J.; Holmes, R.; Holt, J. Vulnerability of coastal ecosystems to changes in harmful algal blooms distribution in response e to climate change: Projections based on model analysis. Glob. Change Biol. 2014, 20, 3845–3858. [Google Scholar] [CrossRef] [PubMed]
- Khangaonkar, T.; Nugraha, A.; Xu, W.; Long, W.; Bianucci, L.; Ahmed, A.; Mohamedali, T.; Pelletier, G. Analysis of hypoxia and sensitivity to nutrient pollution in Salish Sea. J. Geophys. Res. Ocean. 2018, 123, 4735–4761. [Google Scholar] [CrossRef]
- Lao, Q.; Liu, S.; Ling, Z.; Jin, G.; Chen, F.; Chen, C.; Zhu, Q. External dynamic mechanisms controlling the periodic offshore blooms in Beibu Gulf. J. Geophys. Res. Ocean. 2023, 128, e2023JC019689. [Google Scholar] [CrossRef]
- Verdegem, M.; Buschmann, A.H.; Latt, U.W.; Dalsgaard, A.J.; Lovatelli, A. The contribution of aquaculture systems to global aquaculture production. J. World Aquac. Soc. 2023, 54, 206–250. [Google Scholar] [CrossRef]
- Williams, J.; Crutzen, P.J. Nitrous oxide from aquaculture. Nat. Geosci. 2010, 3, 143. [Google Scholar] [CrossRef]
- Isada, T.; Abe, H.; Kasai, H.; Nakaoka, M. Dynamics of nutrients and colored dissolved organic matter absorption in a wetland-influenced subarctic coastal region of Northeastern Japan: Contributions from mariculture and eelgrass meadows. Front. Mar. Sci. 2021, 8, 711832. [Google Scholar] [CrossRef]
- Bouwman, L.; Beusen, A.; Glibert, P.M.; Overbeek, C.; Pawlowski, M.; Herrera, J.; Mulsow, S.; Yu, R.; Zhou, M. Mariculture: Significant and expanding cause of coastal nutrient enrichment. Environ. Res. Lett. 2013, 8, 044026. [Google Scholar] [CrossRef]
- Zhang, J.; Wu, W.; Li, Y.; Liu, Y.; Wang, X. Environmental effects of mariculture in China: An overall study of nitrogen and phosphorus loads. Acta Oceanol. Sin. 2022, 41, 4–11. [Google Scholar] [CrossRef]
- Xiong, Y.; Gao, L.; Qu, L.; Xu, J.; Ma, Z.; Gao, G. The contribution of fish and seaweed mariculture to the coastal fluxes of biogenic elements in two important aquaculture areas, China. Sci. Total Environ. 2023, 856, 159056. [Google Scholar] [CrossRef]
- Hu, Z.; Lee, J.W.; Chandran, K.; Kim, S.; Khanal, S.K. Nitrous oxide (N2O) emission from aquaculture: A review. Environ. Sci. Technol. 2012, 46, 6470–6480. [Google Scholar] [CrossRef]
- Liu, G.F.; Xu, P.; Wu, T.; Xu, Z.H.; Xu, G.C. Present condition of aquaculture nitrogen and phosphorus environmental pollution and future development strategy. Jiangsu J. Agric. Sci. 2018, 34, 225–233. [Google Scholar]
- Go, Y.S.; Kim, C.S.; Lee, W.C.; Lee, D.H. A stable isotopic approach for quantifying aquaculture-derived organic matter deposition dynamics in the sediment of a coastal fish farm. Mar. Pollut. Bull. 2023, 192, 115132. [Google Scholar] [CrossRef]
- Drizo, A.; Shaikh, M.O. An assessment of approaches and techniques for estimating water pollution releases from aquaculture production facilities. Mar. Pollut. Bull. 2023, 196, 115661. [Google Scholar] [CrossRef]
- Zhuang, Y.; Li, Y.; Chen, L.; Jin, H.; Qi, D.; Chen, J. Biogeochemical and physical controls on ammonium accumulation on the Chukchi shelf, western Arctic Ocean. Mar. Environ. Res. 2023, 190, 106084. [Google Scholar] [CrossRef]
- Troell, M.; Halling, C.; Neori, A.; Chopin, T.; Buschmann, A.H.; Kautsky, N.; Yarish, C. Integrated mariculture: Asking the right questions. Aquaculture 2003, 226, 69–90. [Google Scholar] [CrossRef]
- Neori, A.; Chopin, T.; Troell, M.; Buschmann, A.H.; Kraemer, G.P.; Halling, C.; Shpigel, M.; Yarish, C. Integrated aquaculture: Rationale, evolution and state of the art emphasizing seaweed biofiltration in modern mariculture. Aquaculture 2004, 231, 361–391. [Google Scholar] [CrossRef]
- Jiang, Z.; Liu, J.; Li, S.; Chen, Y.; Du, P.; Zhu, Y.; Liao, Y.; Chen, Q.; Shou, L.; Yan, X.; et al. Kelp cultivation effectively improves water quality and regulates phytoplankton community in a turbid, highly eutrophic bay. Sci. Total Environ. 2020, 707, 135561. [Google Scholar] [CrossRef] [PubMed]
- Xu, S.; Yu, Z.; Zhou, Y.; Yue, S.; Liang, J.; Zhang, X. The potential for large-scale kelp aquaculture to counteract marine eutrophication by nutrient removal. Mar. Pollut. Bull. 2023, 187, 114513. [Google Scholar] [CrossRef]
- Wankel, S.D.; Kendall, C.; Paytan, A. Using nitrate dual isotopic composition (δ15N and δ18O) as a tool for exploring sources and cycling of nitrate in an estuarine system: Elkhorn Slough, California. J. Geophys. Res. Biogeosci. 2009, 114. [Google Scholar] [CrossRef]
- Wankel, S.D.; Kendall, C.; Francis, C.A.; Paytan, A. Nitrogen sources and cycling in the San Francisco Bay Estuary: A nitrate dual isotopic composition approach. Limnol. Oceanogr. 2006, 51, 1654–1664. [Google Scholar] [CrossRef]
- Kang, X.; Niu, Y.; Yu, H.; Gou, P.; Hou, Q.; Lu, X.; Wu, Y. Effect of rainfall-runoff process on sources and transformations of nitrate using a combined approach of dual isotopes, hydrochemical and Bayesian model in the Dagang River basin. Sci. Total Environ. 2022, 837, 155674. [Google Scholar] [CrossRef]
- Zhong, X.; Yan, M.; Ning, X.; Yan, Z.; Xin, Y. Nitrate processing traced by nitrate dual isotopic composition in the early spring in the Changjiang (Yangtze River) Estuary and adjacent shelf areas. Mar. Pollut. Bull. 2020, 161, 111699. [Google Scholar] [CrossRef]
- Tian, S.; Gaye, B.; Tang, J.; Luo, Y.; Li, W.; Lahajnar, N.; Dähnke, K.; Sanders, T.; Xiong, T.; Zhai, W.; et al. A nitrate budget of the Bohai Sea based on an isotope mass balance model. Biogeosciences 2022, 19, 2397–2415. [Google Scholar] [CrossRef]
- Casciotti, K.L. Nitrogen and oxygen isotopic studies of the marine nitrogen cycle. Annu. Rev. Mar. Sci. 2016, 8, 379–407. [Google Scholar] [CrossRef] [PubMed]
- Archana, A.; Thibodeau, B.; Geeraert, N.; Xu, M.N.; Kao, S.J.; Baker, D.M. Nitrogen sources and cycling revealed by dual isotopes of nitrate in a complex urbanized environment. Water Res. 2018, 142, 459–470. [Google Scholar] [CrossRef] [PubMed]
- Divers, M.T.; Elliott, E.M.; Bain, D.J. Quantification of nitrate sources to an urban stream using dual nitrate isotopes. Environ. Sci. Technol. 2014, 48, 10580–10587. [Google Scholar] [CrossRef] [PubMed]
- Guo, Z.; Yan, C.; Wang, Z.; Xu, F.; Yang, F. Quantitative identification of nitrate sources in a coastal peri-urban watershed using hydrogeochemical indicators and dual isotopes together with the statistical approaches. Chemosphere 2020, 243, 125364. [Google Scholar] [CrossRef]
- Wang, X.; Zhang, Y.; Luo, M.; Xiao, K.; Wang, Q.; Tian, Y.; Qiu, W.; Xiong, Y.; Zheng, C.; Li, H. Radium and nitrogen isotopes tracing fluxes and sources of submarine groundwater discharge driven nitrate in an urbanized coastal area. Sci. Total Environ. 2021, 763, 144616. [Google Scholar] [CrossRef] [PubMed]
- Chen, Y.; Chen, J.; Wang, Y.; Jiang, Y.; Zheng, M.; Qiu, Y.; Chen, M. Sources and transformations of nitrite in the Amundsen Sea in summer 2019 and 2020 as revealed by nitrogen and oxygen isotopes. Acta Oceanol. Sin. 2023, 42, 16–24. [Google Scholar] [CrossRef]
- Yang, Z.; Chen, J.; Li, H.; Jin, H.; Gao, S.; Ji, Z.; Zhu, Y.; Ran, L.; Zhang, J.; Liao, Y.; et al. Sources of nitrate in Xiangshan Bay (China), as identified using nitrogen and oxygen isotopes. Estuarine. Coast. Shelf Sci. 2018, 207, 109–118. [Google Scholar] [CrossRef]
- Yang, Z.; Chen, J.; Jin, H.; Li, H.; Ji, Z.; Li, Y.; Wang, B.; Cao, Z.; Chen, Q. Tracing nitrate sources in one of the world’s largest eutrophicated bays (Hangzhou Bay): Insights from nitrogen and oxygen isotopes. Acta Oceanol. Sin. 2024, 43, 86–95. [Google Scholar] [CrossRef]
- Pingping, K.; Peng, L.; Fuqiang, W. Use of multiple isotopes to evaluate the impact of mariculture on nutrient dynamics in coastal groundwater. Environ. Sci. Pollut. Res. 2019, 26, 12399–12411. [Google Scholar] [CrossRef]
- Kendall, C. Tracing nitrogen sources and cycling in catchments. In Isotope Tracers in Catchment Hydrology; Elsevier: Amsterdam, The Netherlands, 1998; pp. 519–576. [Google Scholar]
- Xue, D.; Botte, J.; De Baets, B.; Accoe, F.; Nestler, A.; Taylor, P.; Van Cleemput, O.; Berglund, M.; Boeckx, P. Present limitations and future prospects of stable isotope methods for nitrate source identification in surface-and groundwater. Water Res. 2009, 43, 1159–1170. [Google Scholar] [CrossRef] [PubMed]
- Chen, F.; Lao, Q.; Jia, G.; Chen, C.; Zhu, Q.; Zhou, X. Seasonal variations of nitrate dual isotopes in wet deposition in a tropical city in China. Atmos. Environ. 2019, 196, 1–9. [Google Scholar] [CrossRef]
- Granger, J.; Sigman, D.M.; Lehmann, M.F.; Tortell, P.D. Nitrogen and oxygen isotope fractionation during dissimilatory nitrate reduction by denitrifying bacteria. Limnol. Oceanogr. 2008, 53, 2533–2545. [Google Scholar] [CrossRef]
- Granger, J.; Sigman, D.M.; Needoba, J.A.; Harrison, P.J. Coupled nitrogen and oxygen isotope fractionation of nitrate during assimilation by cultures of marine phytoplankton. Limnol. Oceanogr. 2004, 49, 1763–1773. [Google Scholar] [CrossRef]
- Sigman, D.M.; Granger, J.; DiFiore, P.J.; Lehmann, M.M.; Ho, R.; Cane, G.; Van Geen, A. Coupled nitrogen and oxygen isotope measurements of nitrate along the eastern North Pacific margin. Glob. Biogeochem. Cycles 2005, 19. [Google Scholar] [CrossRef]
- Sigman, D.M.; DiFiore, P.J.; Hain, M.P.; Deutsch, C.; Wang, Y.; Karl, D.M.; Knapp, A.N.; Lehmann, M.F.; Pantoja, S. The dual isotopes of deep nitrate as a constraint on the cycle and budget of oceanic fixed nitrogen. Deep Sea Res. Part I Oceanogr. Res. Pap. 2009, 56, 1419–1439. [Google Scholar] [CrossRef]
- Chen, C.; Lao, Q.; Shen, Y.; Jin, G.; Chen, F.; Su, Q.; Lei, X.; Zhou, X.; Lu, X.; Zhu, Q.; et al. Comparative study of nitrogen cycling between a bay with riverine input and a bay without riverine input, inferred from stable isotopes. Front. Mar. Sci. 2022, 9, 885037. [Google Scholar] [CrossRef]
- Bu, D.; Zhu, Q.; Li, J.; Huang, J.; Zhuang, Y.; Yang, W.; Qi, D. Mariculture may intensify eutrophication but lower N/P ratios: A case study based on nutrients and dual nitrate isotope measurements in Sansha Bay, southeastern China. Front. Mar. Sci. 2024, 11, 1351657. [Google Scholar] [CrossRef]
- Li, Y.; Jin, H.; Chen, J.; Wang, D.; Yang, Z.; Wang, B.; Zhuang, Y.; Wang, R. Nitrogen removal through sediment denitrification in the Yangtze Estuary and its adjacent East China Sea: A nitrate limited process during summertime. Sci. Total Environ. 2021, 795, 148616. [Google Scholar] [CrossRef]
- Wang, G.; Han, A.; Chen, L.; Tan, E.; Lin, H. Fluxes of dissolved organic carbon and nutrients via submarine groundwater discharge into subtropical Sansha Bay, China. Estuar. Coast. Shelf Sci. 2018, 207, 269–282. [Google Scholar] [CrossRef]
- Zhu, F.; Shi, Z.Z.; Ling, X.W.; Xia, Y.J.; Li, Y.; Weng, Y.C.; Liu, Y.X. Relationship between cage aquaculture and environmental quality in Sansha Bay of Ningde. Mar. Sci. Bull. 2013, 32, 171–177. [Google Scholar]
- Lin, H.; Chen, Z.; Hu, J.; Cucco, A.; Zhu, J.; Sun, Z.; Huang, L. Numerical simulation of the hydrodynamics and water exchange in Sansha Bay. Ocean Eng. 2017, 139, 85–94. [Google Scholar] [CrossRef]
- Lao, Q.; Zhang, S.; Li, Z.; Chen, F.; Zhou, X.; Jin, G.; Huang, P.; Deng, Z.; Chen, C.; Zhu, Q.; et al. Quantification of the seasonal intrusion of water masses and their impact on nutrients in the Beibu Gulf using dual water isotopes. J. Geophys. Res. Ocean. 2022, 127, e2021JC018065. [Google Scholar] [CrossRef]
- Zhang, Z.; Lei, L.; Wang, F.; Li, R.; Li, C.; Huang, Y.; Mu, J. Assessment of Carbon Sequestration Potential of Mariculture in Sansha Bay and Spatial Pattern Analysis. Ocean Dev. Manag. 2024, 41, 28–37. [Google Scholar]
- Han, A.; Kao, S.J.; Lin, W.; Lin, Q.; Han, L.; Zou, W.; Tan, E.; Lai, Y.; Ding, G.; Lin, H. Nutrient budget and biogeochemical dynamics in Sansha Bay, China: A coastal bay affected by intensive mariculture. J. Geophys. Res. Biogeosci. 2021, 126, e2020JG006220. [Google Scholar] [CrossRef]
- McIlvin, M.R.; Altabet, M.A. Chemical conversion of nitrate and nitrite to nitrous oxide for nitrogen and oxygen isotopic analysis in freshwater and seawater. Anal. Chem. 2005, 77, 5589–5595. [Google Scholar] [CrossRef] [PubMed]
- Granger, J.; Sigman, D.M. Removal of nitrite with sulfamic acid for nitrate N and O isotope analysis with the denitrifier method. Rapid Commun. Mass Spectrom. 2009, 23, 3753–3762. [Google Scholar] [CrossRef]
- Davis, P.; Syme, J.; Heikoop, J.; Fessenden-Rahn, J.; Perkins, G.; Newman, B.; Chrystal, A.E.; Hagerty, S.B. Quantifying uncertainty in stable isotope mixing models. J. Geophys. Res. Biogeosci. 2015, 120, 903–923. [Google Scholar] [CrossRef]
- Zhang, M.; Zhi, Y.; Shi, J.; Wu, L. Apportionment and uncertainty analysis of nitrate sources based on the dual isotope approach and a Bayesian isotope mixing model at the watershed scale. Sci. Total Environ. 2018, 639, 1175–1187. [Google Scholar] [CrossRef]
- Lao, Q.; Liu, G.; Gao, J.; Shen, Y.; Su, Q.; Chen, C.; Chen, F. Seasonal Sources and Cycling of Nitrogen Revealed by Stable Isotopes in the Northeastern Beibu Gulf, China. J. Mar. Sci. Eng. 2021, 9, 1123. [Google Scholar] [CrossRef]
- Torres−Martínez, J.A.; Mora, A.; Knappett, P.S.; Ornelas−Soto, N.; Mahlknecht, J. Tracking nitrate and sulfate sources in groundwater of an urbanized valley using a multi-tracer approach combined with a Bayesian isotope mixing model. Water Res. 2020, 182, 115962. [Google Scholar] [CrossRef]
- Moore, J.W.; Semmens, B.X. Incorporating uncertainty and prior information into stable isotope mixing models. Ecol. Lett. 2008, 11, 470–480. [Google Scholar] [CrossRef] [PubMed]
- Wang, B.; Sun, X.; Wei, Q.; Xie, L. A new method and application for the evaluation of eutrophication in China’s near-shore sea area. Haiyang Xuebao 2012, 34, 61–66. (In Chinese) [Google Scholar]
- Feng, Y.Y.; Hou, L.C.; Ping, N.X.; Ling, T.D.; Kyo, C.I. Development of mariculture and its impacts in Chinese coastal waters. Rev. Fish Biol. Fish. 2004, 14, 1–10. [Google Scholar] [CrossRef]
- Morris, K.A.; Saetre, P.; Norton, U.; Stark, J.M. Plant community effects on soil moisture and nitrogen cycling in a semi-arid ecosystem. Biogeochemistry 2022, 159, 215–232. [Google Scholar] [CrossRef]
- Xie, B.; Huang, J.; Huang, C.; Wang, Y.; Shi, S.; Huang, L. Stable isotopic signatures (δ13C and δ15N) of suspended particulate organic matter as indicators for fish cage culture pollution in Sansha Bay, China. Aquaculture 2020, 522, 735081. [Google Scholar] [CrossRef]
- Duan, Q.; Mai, K.; Zhong, H.; Si, L.; Wang, X. Studies on the nutrition of the large yellow croaker, Pseudosciaena crocea R. I: Growth response to graded levels of dietary protein and lipid. Aquac. Res. 2001, 32, 46–52. [Google Scholar] [CrossRef]
- Wang, Y.; Guo, X.; Wang, G.; Wang, L.; Huang, T.; Li, Y.; Wang, Z.; Dai, M. Assessment of nutrient cycling in an intensive mariculture system. Mar. Pollut. Bull. 2024, 209, 117085. [Google Scholar] [CrossRef] [PubMed]
- Roleda, M.Y.; Hurd, C.L. Seaweed nutrient physiology: Application of concepts to aquaculture and bioremediation. Phycologia 2019, 58, 552–562. [Google Scholar] [CrossRef]
- Yu, X.; Liu, J.; Chen, X.; Huang, D.; Yu, T.; Peng, T.; Du, J. Submarine groundwater-derived inorganic and organic nutrients vs. mariculture discharge and river contributions in a typical mariculture bay. J. Hydrol. 2022, 613, 128342. [Google Scholar] [CrossRef]
- van der Schatte Olivier, A.; Jones, L.; Vay, L.L.; Christie, M.; Wilson, J.; Malham, S.K. A global review of the ecosystem services provided by bivalve aquaculture. Rev. Aquac. 2020, 12, 3–25. [Google Scholar] [CrossRef]
- Nederlof, M.A.; Verdegem, M.C.; Smaal, A.C.; Jansen, H.M. Nutrient retention efficiencies in integrated multi-trophic aquaculture. Rev. Aquac. 2022, 14, 1194–1212. [Google Scholar] [CrossRef]
- Ji, W.; Yokoyama, H.; Fu, J.; Zhou, J. Effects of intensive fish farming on sediments of a temperate bay characterised by polyculture and strong currents. Aquac. Rep. 2021, 19, 100579. [Google Scholar] [CrossRef]
- Mengis, M.; Schif, S.L.; Harris, M.; English, M.C.; Aravena, R.; Elgood, R.J.; MacLean, A. Multiple geochemical and isotopic approaches for assessing ground water NO3− elimination in a riparian zone. Groundwater 1999, 37, 448–457. [Google Scholar] [CrossRef]
- Tian, S.; Gaye, B.; Tang, J.; Luo, Y.; Lahajnar, N.; Daehnke, K.; Sanders, T.; Xiong, T.; Zhai, W.; Emeis, K.C. Nitrate regeneration and loss in the Central Yellow Sea bottom water revealed by nitrogen isotopes. Front. Mar. Sci. 2022, 9, 834953. [Google Scholar] [CrossRef]
- Wu, J.; Hong, Y.; Liu, X.; Hu, Y. Variations in nitrogen removal rates and microbial communities over sediment depth in Daya Bay, China. Environ. Pollut. 2021, 286, 117267. [Google Scholar] [CrossRef]
- Zhuang, Y.; Jin, H.; Cai, W.J.; Li, H.; Qi, D.; Chen, J. Extreme nitrate deficits in the western Arctic Ocean: Origin, decadal changes, and implications for denitrification on a polar marginal shelf. Glob. Biogeochem. Cycles 2022, 36, e2022GB007304. [Google Scholar] [CrossRef]
- Ahad, J.M.; Ganeshram, R.S.; Spencer, R.G.; Uher, G.; Upstill−Goddard, R.C.; Cowie, G.L. Evaluating the sources and fate of anthropogenic dissolved inorganic nitrogen (DIN) in two contrasting North Sea estuaries. Sci. Total Environ. 2006, 372, 317–333. [Google Scholar] [CrossRef]
- Chen, F.; Chen, J.; Jia, G.; Jin, H.; Xu, J.; Yang, Z.; Zhuang, Y.; Liu, X.; Zhang, H. Nitrate δ15N and δ18O evidence for active biological transformation in the Changjiang Estuary and the adjacent East China Sea. Acta Oceanol. Sin. 2013, 32, 11–17. [Google Scholar]
- Glibert, P.M.; Wilkerson, F.P.; Dugdale, R.C.; Raven, J.A.; Dupont, C.L.; Leavitt, P.R.; Parker, A.E.; Burkholder, J.M.; Kana, T.M. Pluses and minuses of ammonium and nitrate uptake and assimilation by phytoplankton and implications for productivity and community composition, with emphasis on nitrogen-enriched conditions. Limnol. Oceanogr. 2016, 61, 165–197. [Google Scholar] [CrossRef]
- Ye, F.; Jia, G.; Xie, L.; Wei, G.; Xu, J. Isotope constraints on seasonal dynamics of dissolved and particulate N in the Pearl River Estuary, south China. J. Geophys. Res. Ocean. 2016, 121, 8689–8705. [Google Scholar]
- Xue, D.; De Baets, B.; Van Cleemput, O.; Hennessy, C.; Berglund, M.; Boeckx, P. Use of a Bayesian isotope mixing model to estimate proportional contributions of multiple nitrate sources in surface water. Environ. Pollut. 2012, 161, 43–49. [Google Scholar] [CrossRef] [PubMed]
- Chen, F.; Deng, Z.; Lao, Q.; Bian, P.; Jin, G.; Zhu, Q.; Zhou, X.; Chen, C. Nitrogen cycling across a salinity gradient from the pearl river estuary to offshore: Insight from nitrate dual isotopes. J. Geophys. Res. Biogeosci. 2022, 127, e2022JG006862. [Google Scholar] [CrossRef]
- Kendall, C.; Elliott, E.M.; Wankel, S.D. Tracing anthropogenic inputs of nitrogen to ecosystems. In Stable Isotopes in Ecology and Environmental Science; Blackwell Publishing Ltd.: Oxford, UK, 2007; pp. 375–449. [Google Scholar]






Disclaimer/Publisher’s Note: The statements, opinions and data contained in all publications are solely those of the individual author(s) and contributor(s) and not of MDPI and/or the editor(s). MDPI and/or the editor(s) disclaim responsibility for any injury to people or property resulting from any ideas, methods, instructions or products referred to in the content. |
© 2025 by the authors. Licensee MDPI, Basel, Switzerland. This article is an open access article distributed under the terms and conditions of the Creative Commons Attribution (CC BY) license (https://creativecommons.org/licenses/by/4.0/).
Share and Cite
Li, J.; Lu, X.; Zhu, Q.; Zhuang, Y.; Yang, W.; Qi, D. Nitrate δ15N and δ18O Values Reveal Mariculture Impacts on Nitrogen Cycling in Sansha Bay, SE China. J. Mar. Sci. Eng. 2025, 13, 343. https://doi.org/10.3390/jmse13020343
Li J, Lu X, Zhu Q, Zhuang Y, Yang W, Qi D. Nitrate δ15N and δ18O Values Reveal Mariculture Impacts on Nitrogen Cycling in Sansha Bay, SE China. Journal of Marine Science and Engineering. 2025; 13(2):343. https://doi.org/10.3390/jmse13020343
Chicago/Turabian StyleLi, Jianpeng, Xuan Lu, Qingmei Zhu, Yanpei Zhuang, Wei Yang, and Di Qi. 2025. "Nitrate δ15N and δ18O Values Reveal Mariculture Impacts on Nitrogen Cycling in Sansha Bay, SE China" Journal of Marine Science and Engineering 13, no. 2: 343. https://doi.org/10.3390/jmse13020343
APA StyleLi, J., Lu, X., Zhu, Q., Zhuang, Y., Yang, W., & Qi, D. (2025). Nitrate δ15N and δ18O Values Reveal Mariculture Impacts on Nitrogen Cycling in Sansha Bay, SE China. Journal of Marine Science and Engineering, 13(2), 343. https://doi.org/10.3390/jmse13020343

