Abstract
To enhance the stability and safety of marine aquaculture facilities by addressing the limited uplift resistance capacity and susceptibility to deflection of conventional straight-shafted piles, this study introduces an improved H-pile anchor and conducted laboratory experiments. The new anchor incorporates resized H-piles with wing plates added to both sides, optimized for area and placement, as well as an adjusted loading angle. The findings demonstrate a positive correlation between the uplift resistance capacity of the H-pile anchor and its length and width, indicating that while increased pile length significantly enhances resistance, widening has a minimal impact. Additionally, enlarging the wing plate area improves the resistance; however, efficiency (δ) decreases with the increase in the area, suggesting the existence of an optimal size. The optimal wing plate dimensions (L = 80 mm, W = 25 mm) improve uplift resistance by at least 10.6% compared to non-wing pile anchors. Furthermore, positioning the wing plates at the base of the pile anchor rather than the top enhances resistance by approximately 13.8%. Setting the anchor layout angle to 45° reduced the displacement under inclined loads. This research provides essential theoretical support and practical guidance for strengthening the safety and stability of marine aquaculture facilities.
1. Introduction
With the development of the modern marine industry, the scale of marine aquaculture facilities has gradually increased [1]. Ensuring the safety of the mooring system in these facilities is essential. As the simplest form of foundation in a mooring system, the straight-shafted pile has been widely used because of its precise positioning and deformation resistance. However, in the context of marine aquaculture facilities operating under extreme sea conditions, accidents often occur due to the insufficient uplift resistance capacity of pile anchors. This leads to partial instability or complete failure of the mooring system [2], resulting in facility destruction. Conventional straight-shafted piles face challenges in managing loads without becoming excessively large or economically unviable. Therefore, optimizing the design of uplift-resistant piles to enhance their uplift-resistance capacity is of significant practical importance.
Figure 1 illustrates the operational environment of pile anchors on the seabed and presents various types of pile anchor designs. The selection of an appropriate pile type based on various seabed soil conditions and engineering applications is crucial in the design phase. The mooring system, developed through extensive application in cage aquaculture facilities for marine aquaculture construction, has become increasingly sophisticated. However, under extreme sea conditions, wind, waves, and current loads impose greater demands on the uplift resistance capacity of the piles. As a result, numerous scholars have conducted extensive studies using model tests, numerical simulations, and field experiments on specialized pile types to identify and improve effective designs for enhancing the uplift resistance capacity of straight-shafted piles.
Figure 1.
Schematic diagram of marine aquaculture facilities and pile anchors.
Sakr et al. [3] introduced a modern winged pile design that significantly increased the uplift capacity of the pile. Their research examined the effects of varying lengths and diameters of wings on the pile end structure, revealing that the inclusion of fins notably enhances the uplift capacity of the pile body, surface friction, and the earth pressure surrounding the pile. Azzam and Elwakil [4] explored an advanced pile technique that incorporates straight fins welded around the pile end to further improve the uplift capacity. Gui et al. [5] introduced a novel round pile with wing plates, achieving at least a 15% enhancement in uplift performance over traditional straight-shafted piles. Ma et al. [6] utilized ABAQUS numerical simulation to investigate the vertical bearing capacity of screw anchors in silt soil. Their analysis focused on the distributions of axial force, side resistance, pile–soil interface stress, and shear stress within the surrounding soil. Additionally, they discussed the impact of pile structural parameters and examined the performance of both grouted and ungrouted screw anchors in silty soil.
Zhang et al. [7] and Zhang [8] conducted indoor model experiments on cast-in-place concrete thin-wall pipe piles to analyze the uplift resistance capacity of straight-shafted piles and the mechanism of negative skin friction. Zhang et al. [9] utilized a large experimental model tank developed by Hohai University to perform full-scale tests on the vertical uplift resistance capacity of X-shaped piles. Their analysis focused on the distribution of pile side friction along the perimeter and the proportion of pile end resistance to the total load at the pile top. Their findings indicated that under the same load conditions, X-shaped piles exhibited smaller settlements and higher side friction than equal-area circular piles. Furthermore, in the measured limit state, the bearing capacity of X-shaped piles was 32 times greater than that of equal-area circular piles. While X-shaped piles have demonstrated remarkable uplift resistance, their complex geometry poses challenges in manufacturing, installation, and cost effectiveness. In contrast, H-pile anchors with wing plates provide a simpler and more practical design, ensuring efficient load transfer and ease of deployment in marine aquaculture environments. Unlike X-shaped piles, which rely heavily on their unique cross-section for strength, the wing plates on H-pile anchors can be customized in terms of size and position to optimize uplift resistance while maintaining structural simplicity. This adaptability makes H-pile anchors more versatile for different seabed conditions.
Niroumand et al. [10] proposed an innovative special-shaped pile anchor for use in dry sand. This uniquely irregular-shaped anchor increases uplift resistance capacity. They found that the uplift load significantly increased with the embedment ratio. H-piles, a new type of precast special-shaped pile, have a larger material-specific surface area than conventional precast square piles. As a result, their uplift resistance capacity was significantly enhanced for the same amount of concrete.
Ma et al. [11] conducted an experimental study on the uplift resistance capacity of H-shaped piles with variable cross-sections and analyzed the internal forces and deformations. They found that the horizontal critical load was approximately three times greater than the previously established horizontal critical load. Wang et al. [12] performed model tests to assess the uplift resistance capacity of Y-shaped piles compared to round piles, focusing on the ultimate uplift resistance capacity and pile end resistance. Their findings indicated that the ultimate bearing capacity of Y-shaped piles was 1.6 times greater than that of circular piles with equal cross-sections. In contrast, the pile side surface area is 1.56 times larger than that of circular piles.
Zhang [13] utilized the finite element method (FEM) to examine the influence of the number of tapered sections and their diameters on the displacement field of the surrounding soil, axial force along the pile, and lateral friction resistance of tapered special-shaped piles. By employing normative empirical formulas alongside FEM calculations, the study assessed the impact of tapered configurations on the vertical ultimate compressive bearing capacity of piles across various soil conditions.
The aforementioned research indicates that the uplift resistance of pile anchors has been thoroughly analyzed from multiple perspectives. Additional winged structures on the pile body and the cross-sectional shape of the pile influence the uplift resistance capacity of pile anchors. However, existing studies do not comprehensively analyze the combined effects of these two factors. Therefore, this study investigated H-piles in marine aquaculture facilities through model tests. A pile–soil interaction model was established, and an experimental program was designed. Through multi-parameter comparative experiments, the uplift response characteristics were obtained, and the effects of pile dimensions, wing plate area and position, as well as load angle on uplift performance were analyzed in detail, combining the model test results with engineering practice, optimization recommendations were proposed. This study offers valuable insight for refining the design of uplift-resistant piles in marine aquaculture facilities.
2. Model Experiments of Pile–Soil Interaction
2.1. Experimental Model and Loading Device
The experimental model piles used in this study are shown in Figure 2, and the model parameters are listed in Table 1. To realistically simulate the uplift resistance of large-diameter H-shaped prototype piles, the core factor in creating pile anchor models is based on the principle of geometric and force field similarity [14]. The model was made of Plexiglas, with a density of 1.20 g/cm3 and a specific gravity of 1.18. The main parameters of the prototype and model must satisfy the following:
where LP, EP, and IP represent the characteristic length, elastic modulus, and section moment of inertia of the prototype, respectively, LM, EM, and IM correspond to those of the model, and CL is the scale factor. Assuming that the prototype pile was made of steel with specific dimensions of wall thickness t = 5 mm and elastic modulus EI = 205 GPa, the model was fabricated from 2 mm thick Plexiglass based on the similarity theory with a scaling factor of CL = 1:7. In this study, the pile identifiers ranged from H240D30 to XB-L40W25. In this notation, character H corresponds to pile length and can assume one of three values (i.e., H = 240, 340, and 440 mm). Here, D corresponds to the width of the pile and can assume one of three values (i.e., D = 20, 30, and 40 mm), L represents the length of the wing plate and can assume one of three values (i.e., L = 40, 80, and 120 mm), and W is the width of the wing plate. YB indicates that the wing plates are arranged in the upper part, and XB indicates that they are arranged in the lower part. Figure 2a depicts the schematic diagram of the non-wing H-pile anchor. Figure 2b depicts the schematic diagram of the winged H-pile anchor: item 1 represents the pile anchor body, H represents pile anchor length, and D represents pile anchor width and a wall thickness of 2 mm, denoted as T1. Item 2 represents the wing plate structure, which has a thickness of 2 mm, denoted as T2, and is symmetrically distributed around the pile axis, and its area is represented by S; L is the length of the wing plate; and W is the width of the wing plate. Item 3 is the conical pile tip, measuring 30° and featuring a tip length of 40 mm to reduce resistance during embedding. It was ensured that at least 15 mm of the pile body was exposed above the embedded soil layer to facilitate the measurement of pile top displacement data during the experiment. Figure 3a shows a photograph taken at the laboratory scale and Figure 3b shows the on-site installation of the H-pile anchor.
Figure 2.
Schematic diagram of H-pile (a) without and (b) with wings. 1: Pile body, 2: wing plate structure, 3: conical pile tip, H: length of the pile, D: width of the pile, T1: wall thickness of pile, and T2: thickness of wing plate structure.
Table 1.
Parameters of the model pile anchors.
Figure 3.
Photograph of the (a) laboratory scale and (b) on-site installation of H-pile.
This experiment utilized soil samples collected from Zhoushan City, Zhejiang Province, China, which were identified as silty clayey soil. Before the experiment, the soil was sieved to remove impurities, mixed with water, and then reconstituted to a saturated state. Pull-out tests for the anchor in saturated clay were conducted briefly. Due to the inherent low permeability and saturated nature of the clay, the pore water pressure did not have adequate time to dissipate during the pull-out process, resulting in a constant volume condition. Consequently, the tests were classified as undrained. Under these conditions, the shear strength of the soil was predominantly influenced by its cohesion. The cohesion values and other pertinent soil parameters were determined through experimental testing and are detailed in Table 2.
Table 2.
Characteristics of the test clay.
The experimental testing equipment (Figure 4) primarily comprises four components: the loading and measurement system, glass experimental tank, and reaction frame. The glass experimental tank was installed on a reaction frame constructed from aluminum profiles with a 40 × 40 mm cross-section. Aluminum profiles were affixed around the perimeter to ensure overall stability. The geometric dimensions of the test tank were 700 × 700 × 700 mm, with a wall thickness of 15 mm. The distance from the center point to the inner wall of the tank exceeds three times the pile anchor widths (D) to eliminate boundary effects [15]. The smooth glass walls help reduce friction between the inner wall of the tank and the soil. A single aluminum profile was installed around the model tank to ensure its stability during the experiment.
Figure 4.
The experimental testing equipment: (a) photograph of the test device; (b) schematic diagram of the measuring system; and (c) schematic diagram. 1: Square pipe clamp, 2: T-shaped glass reflector plate, 3: displacement sensor, 4: measurement system, 5: loading box, 6: hemp rope, 7: Pulley 2, 8: Pulley 1, 9: load cell, 10: pulley guide rail, 11: model tank, and 12: aluminum profile.
The uplift system consists of two pulleys attached to a steel plate and a double-stranded hemp rope with a diameter of 2 mm. The hemp rope was secured to the upper section of the pile anchor. The pulley guide rail was installed 0.5 m above the model tank, with Pulley 1 being movable and Pulley 2 being fixed directly above the loading system. The hemp rope passes through both pulleys and connects the pile anchor model to the loading system. By adjusting the position of Pulley 1, the angle of initial tension can be altered. The loading system is composed of a loading box and weights. During the experiment, a tension sensor between Pulley 1 and the pile anchor model continuously monitors the tension applied to the pile anchor model in real time.
The displacement at the top of the pile anchor was accurately measured with three laser displacement sensors by Bengbu Dayang Sensor Co., Ltd., Bengbu, China. These sensors have a measurement range of 0–30 mm and an accuracy of 0.1%. Due to the model pile’s H-shaped cross-section affecting the sensors’ capacity for laser reflection, a square pipe clamp was attached around the apex of the pile anchor to create a squared area. This modification, combined with the addition of a T-shaped glass reflector plate (240 mm × 100 mm × 50 mm, length × width × height), improved laser reflectivity in the target area, effectively minimizing potential measurement discrepancies, as shown in Figure 4b. Simultaneously, all sensors collected real-time data and transmitted them to a computer via a UBK-16 data acquisition device from Bengbu Dayang Sensor Co., Ltd.
2.2. Test Conditions
The study consists of five sets of experiments under various testing conditions (Table 3). The first set assessed the effect of H-pile anchor length on uplift resistance, with an angle (θ) of 0° indicating a loading direction perpendicular to the ground. The second set analyzed the effect of pile anchor width on the uplift resistance capacity of the H-pile anchor under vertical uplift action. The third set examined the impact of wing plate area on the H-pile anchor’s uplift resistance. The fourth set focused on the impact of wing plate positioning on the uplift resistance capacity of the H-pile anchor. Finally, fifth set explored the influence of load angles (θ = 30°, 45°, 60°) on the uplift resistance capacity of the H-pile anchor.
Table 3.
Test conditions.
The primary experimental procedures, as outlined by Gui et al. [16], were as follows: (1) fill the model chamber with prepared soil and continuously stir to ensure uniformity. After filling, allow the soil to settle while maintaining a 1 mm thick water layer on top to ensure complete saturation; (2) manually insert the model pile anchor vertically into the soil, ensuring minimal disturbance to the surrounding soil to maintain the integrity of the setup; (3) once the model pile anchor is set to the designated experimental depth, reposition the sliding table to loosen the rope linked to the pile anchor. Attach measurement instruments, such as laser displacement sensors, to the top of the pile anchor and gather baseline displacement data; (4) lower the sliding table by 60 mm to apply the specified initial pre-tension to the rope, ensuring the system reaches a stable tightened state before allowing a period for settlement; (5) set the predetermined loading conditions and begin the loading process according to the experimental design; and (6) after loading is complete, carefully remove the model pile anchor. Thoroughly mix and level the soil to reset the test bed. Allow the soil to settle for two hours before proceeding to the next set of experiments to minimize the influence of the previous experiment.
2.3. Data Processing
In the experiments, the loading point was situated at the soil surface, where significant displacements occurred, presenting challenges for direct measurement. Consequently, a displacement-controlled loading method was used. The experiments were performed by progressively increasing the load on the model pile anchors. The failure of the pile anchor was identified by measuring the displacement at the top of the pile anchor at each load level. According to Shin’s soil failure criterion [17], the ultimate uplift resistance capacity of the model pile anchors was assessed by analyzing the variation in displacement relative to the applied load, facilitating a more effective comparison of uplift resistance properties of H-pile anchors. The displacement at characteristic points at the top of the pile anchor was measured, indirectly reflecting changes in and the impact on the load-bearing characteristics of the model pile anchors during the pulling process.
During the process in which the H-pile anchor is continuously subjected to uplift loads, the soil gradually experiences failure, as illustrated in Figure 5. Figure 5a depicts the pile anchor–soil system in the elastic stage, where the pile anchor operates effectively. As the load increased, the H-pile anchor experienced minimal displacement. At the same time, the soil began to exhibit minor cracks and signs of plastic deformation, but it did not reach the ultimate load. The pile anchor continues to function effectively at this stage, as shown in Figure 5b. Figure 5c illustrates the condition of the H-pile anchor at failure load, characterized by a significant increase in pile anchor displacement and noticeable soil damage. At this point, the pile anchor loses its anchoring capability and is extracted; due to the adhesion of the clay, the extraction of the pile anchor simultaneously results in the removal of some soil.
Figure 5.
H-pile anchor extraction process: (a) stable stage, (b) plastic development stage, and (c) complete failure.
The comparison curves of pile anchor top load versus vertical displacement are shown in Figure 6. Under vertical uplift loading, the load–displacement curves for both non-wing and winged H-pile anchors initially display a gradual increase, followed by a steep decline as the load intensifies. Using the dual tangent method [18], the load–displacement curve of H-pile anchors can be divided into three linear segments by analyzing the intersection of tangents drawn from the initial, flatter part and the final, steeper part of the curve: the first segment extends from the origin to Hcr, where the pile anchor body is in the elastic stage and functions well; the second segment spans from Hcr to Hu, where the pile–soil relationship is in an elastoplastic state, minor soil cracks appear, and plasticity develops; and the third segment continues from Hu onward, where the slope of the line increases sharply, and noticeable damage occurs at the soil contact surface. This study investigates the uplift resistance of winged H-pile anchors in silty clay environments. However, the load–displacement curves lack distinct transition points, complicating the determination of the piles’ ultimate uplift capacity. Currently, no uniform design standards specify the criteria for pile anchor failure, resulting in ambiguous failure points within the load–displacement curves.
Figure 6.
Load–displacement curve comparison of winged and non-winged H-Pile anchors.
Numerous methods exist to calculate the ultimate load, such as determining the maximum displacement at the top of the pile anchor, evaluating deflection, or analyzing the curve that plots displacement against load, among others [19]. Assuming the model pile anchor is an elastic body, the structure does not suffer any strength failure (bending or buckling). Thus, the failure load capacity for pile anchor pullout is defined at the point where the curve peaks or where displacement continues to increase without a corresponding increase in uplift resistance [20], referred to as the ultimate load force (Hu point), and it establishes the uplift resistance capacity [21]. Yang et al. [22] introduced an alternative approach to assessing ultimate uplift resistance by evaluating the load when the pile anchor’s lateral or vertical movement reaches 0.15 times its width. According to the standards proposed by Gui, Kong, Feng, Qu and You [16] for anchor pile failure, the maximum lateral shift observed during the failure of the lower clay strata was twice the vertical shift. Furthermore, a displacement of 0.15 times the pile anchor width is designated as the vertical threshold. Under the action of a vertical load, this study employed the methodology of defining the ultimate load when the vertical displacement reaches 0.15 times the width of the pile anchor. In addition, according to the anchor pile failure criterion proposed by Gui [16], the maximum lateral displacement of the lower clay under a tilting load is twice its vertical displacement. To effectively assess the impact of wing plate structures on the uplift resistance of H-pile anchors in this study, the wing plate efficiency index introduced by Nasr [23] was utilized:
δ = Qu/Qu0
Here, δ denotes wing plate efficiency, Qu represents ultimate uplift resistance capacity of the winged pile anchor (N), and Qu0 corresponds to the ultimate uplift resistance capacity of the non-wing pile anchor (N).
3. Results
3.1. Effect of Varied Sizes on the Uplift Resistance Capacity of Pile Anchors
The uplift resistance capacity of the H-pile anchors can be assessed from the experimental results of the uplift displacement–load relationship for different anchor lengths and widths. The overall pattern of uplift load and displacement was similar for all anchor piles. This experiment examined the impact of varying sizes of H-pile anchors on their uplift resistance capacity, emphasizing anchor length and width parameters.
Under the condition of θ = 0°, the displacement–load curves for H-pile anchors of varying lengths (H240D30, H340D30, H440D30) are compared, as illustrated in Figure 7. An examination of the displacement–load curves across all pile anchor lengths reveals a transition from a gradual slope change to a steep increase, indicating the approach to the failure load. Upon reaching a critical load threshold, the displacement demonstrates a sudden shift, clearly marking the onset of failure in the pile anchor body. Notably, the H440D30 pile displays a slower displacement progression than the H240D30 and H340D30 piles, corresponding to a significantly higher ultimate uplift resistance capacity.
Figure 7.
Displacement–load curves of H-pile anchors with different pile lengths.
Figure 8 displays the displacement–load curves for H-pile anchors of different widths. As the load increases, the curve initially transitions from a gradual to a steep rise. Additionally, as the pile width increases, the ultimate uplift resistance capacity of the pile anchor also increases. With a larger pile anchor width, each incremental load resulted in progressively smaller increases in displacement, indicating a magnified effect of the pile anchor width on the uplift resistance capacity.
Figure 8.
Displacement–load curves of H-pile anchors with different pile widths.
Figure 9 shows the failure–load curve. d As illustrated in Figure 9a, a distinct inflection point is observed when the pile anchor length reaches 340 mm, after which the ultimate load increases sharply. The uplift resistance capacity of the 440 mm length pile anchor is approximately four times that of the 240 mm length pile anchor. This indicates that a longer pile anchor strengthens pile–soil interaction, leading to a substantial increase in the uplift resistance capacity of H-pile anchors. The failure–load curve of H-pile anchors with different pile widths are shown in Figure 9b. Notably, the failure loads of H-pile anchors with widths of 20 mm, 30 mm, and 40 mm (H440D20, H440D30, and H440D40). The results indicate that as the width of the pile anchor increases, the failure load also gradually increases. Specifically, the failure load of a 30 mm wide pile anchor was 37.1% greater than that of a 20 mm wide pile anchor. However, when the width was increased from 30 to 40 mm, the slope of the curve decreased, and the failure load increased by only 16.5%. This rate of improvement is significantly lower than the increase in the uplift resistance capacity observed when the width changes from 20 mm to 30 mm. This suggests that although the uplift resistance capacity improves with increasing pile anchor width, the rate of improvement diminishes at larger anchor widths.
Figure 9.
Failure–load curve: (a) failure-–load curve of H-pile anchors with different pile lengths, and (b) failure–load curve of H-pile anchor with different pile widths.
Despite the limited number of pile anchors tested, increasing the pile anchor width gradually diminished the uplift resistance capacity. Both pile anchor length and width contribute to enhancing the uplift resistance capacity of H-pile anchors, with increases in both dimensions resulting in significant improvements. However, while increasing pile anchor width had a limited effect, extending its length significantly improved uplift resistance capacity.
3.2. Effect of Varied Wing Plate Areas and Wing Plate Arrangement Positions on Uplift Resistance Capacity of Pile Anchors
The influence of different wing plate areas (YB-L120W25, YB-L80W25, and YB-L40W25) on uplift resistance was examined, as illustrated in Figure 10. For uplift loads below 40 N, the displacement-load curves of winged H-pile anchors exhibit a linear and flat trend. During the initial phase, all pile anchors displayed similar displacements, indicating minimal deformation. As the load increases, the relationship between displacement and load significantly steepens. When the load surpasses 50 N, the uplift displacement of the YB-L40W25 pile increases rapidly, resulting in overall shear failure of the soil surrounding the pile anchor and subsequent failure of the pile anchor model at an uplift load of 87 N. In contrast, the YB-L120W25 pile began to show rapid displacement at a load of 71 N, with the displacement–load curve sharply increasing, ultimately reaching a load of 98 N before the failure of the pile anchor model.
Figure 10.
Displacement–load curves of H-pile anchors with different wing plate areas.
By employing the slow, steady load method, the experiment determined the uplift resistance based on the ultimate load at which the pile anchor failed, recorded as 87 N, 94 N, and 98 N for YB-L40W25, YB-L80W25, and YB-L120W25 winged H-pile anchors, respectively. A comparative analysis shows that increasing wing plate area improves uplift resistance, with enhancements of 2.4%, 9.5%, and 15.3% over the non-wing condition (H440D30). Furthermore, for the same load, the displacement of winged pile anchors is less than that of non-wing pile anchors. It increases more gradually, suggesting superior “uplift resistance resilience” in winged pile anchors.
However, a larger wing plate area does not necessarily lead to a significant increase in the uplift resistance capacity. This is illustrated in Figure 11, which demonstrates the relationship between various wing plate areas and their efficiencies. The results indicate that increasing the wing plate area from 375 to 1375 mm2 results in an efficiency increase (δ) from 1.02 to 1.12. However, a further increase in the area from 1375 to 2375 mm2 only yields a marginal improvement in efficiency δ to 1.15, reflecting a modest gain of 0.03. The curve representing the relationship between wing plate efficiency and area exhibits a downward trend. Therefore, while wing plates enhance uplift resistance, selecting an optimal wing plate area is crucial to balancing practicality and cost-effectiveness.
Figure 11.
Correlation between wing plate efficiency and areas.
This study evaluates the impact of varying the wing plate positions on uplift resistance capacity. Wing plates with an area of 375 mm2 are positioned at both the top and bottom of the H-pile anchor (YB-L40W25, XB-L40W25), as illustrated in Figure 12. A comparison of the top and bottom arrangements revealed a failure load of 99 N for the bottom placement and 87 N for the top placement. Notably, the uplift resistance load capacity increased by 13.8% when the wing plates were positioned at the bottom, compared to the top arrangement. These findings indicate that the positioning of the wing plates significantly enhances the uplift resistance capacity, with the bottom arrangement yielding substantially greater uplift resistance compared to the top position.
Figure 12.
Displacement–load curves of the H-pile anchor at different wing plate positions.
3.3. Effect of Varied Loading Angles on the Uplift Resistance Capacity of Pile Anchors
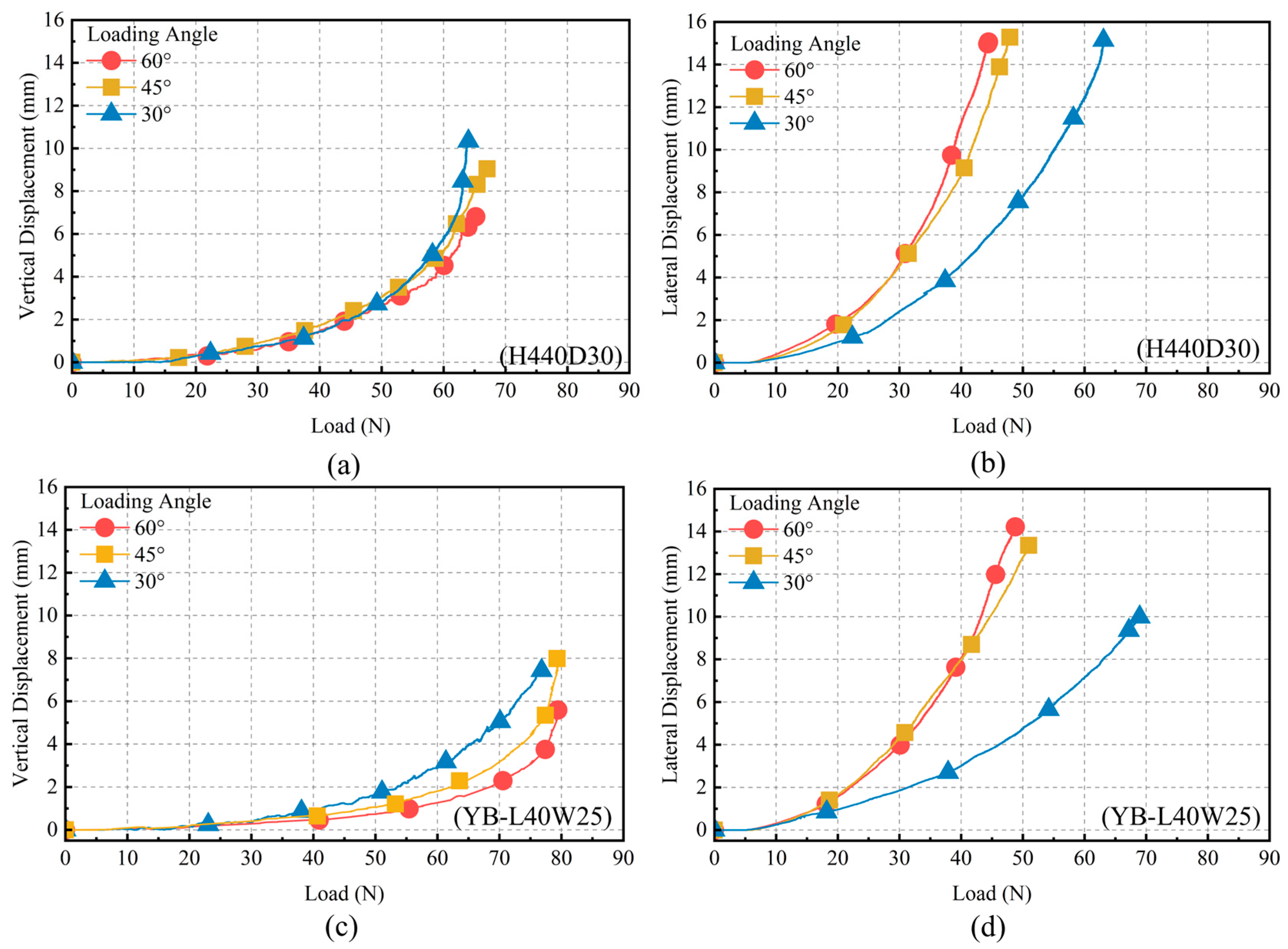
In actual marine conditions, inclined loading typically occurs. The loading angle is a crucial factor in the installation process of anchoring piles. Figure 13a,b depict the vertical and lateral displacement–load curves for the non-wing pile anchor (H440D30) under different load inclination angles, while Figure 13c,d show the corresponding curves for the winged pile anchor (YB-L40W25). Regardless of inclination angle, YB-L40W25 consistently exhibited a significantly greater maximum uplift capacity than H440D30. Additionally, displacement initiation at the pile anchor’s top was notably delayed, contributing to improved uplift resistance. Compared to H440D30, YB-L40W25 demonstrated capacity increases of 33.3%, 16.1%, and 30% at inclination angles of 30°, 45°, and 60°, respectively.
Figure 13.
Influence of load angle on vertical and lateral displacement–load curves for non-wing pile anchor H440D30 (a,b) and winged pile anchor YB-L40W25 (c,d).
As the load angles increase, the disparity in displacement between the YB-L40W25 and H440D30 under identical loads becomes increasingly pronounced, highlighting the significant effect of the wing plates on the uplift resistance of the pile anchor. Pile anchors demonstrate lateral displacement across all load angle conditions. The load angle significantly influences the displacement at the top of both types of pile anchors. Specifically, as the load angles increase, the vertical displacement at the top of the pile anchor decreases while lateral displacement correspondingly increases. For non-wing pile anchors subjected to a lower loading angle of 30°, the displacement at the top of the pile anchor gradually increases with the applied load. As the angle extends to 45° and 60°, the rate of lateral displacement sharply escalates with the load until reaching peak uplift resistance capacity. The trends in displacement at the top of the pile anchor were consistent for both winged and non-wing pile anchors at the same loading angle. However, at the 45° angle, the winged pile anchor YB-L40W25 exhibited a broader range of horizontal displacement, with the variance in horizontal displacement being less pronounced than that of the non-wing pile anchor under equivalent loads.
Figure 14 compares the wing plate efficiency of YB-L40W25 and YB-L80W25 at different load inclination angles. The findings show that wing plate efficiency improves with increasing wing plate length. At loading angles of 0°, 30°, 45°, and 60°, the wing plate efficiencies of YB-L80W25 were 1.11, 1.55, 1.84, and 1.48, respectively, reflecting increases of 8%, 16.54%, 8.23%, and 13.85% compared to YB-L40W25. It is evident that increasing the wing plate length significantly enhances efficiency. Furthermore, at a loading angle of 0°, the wing plate efficiencies of YB-L40W25 and YB-L80W25 are approximately 1.02 and 1.11, respectively, serving as baseline values under vertical loading conditions. As the load angle increases to 30°, the wing plate efficiency exhibits a significant increase, reaching its peak at 45°, indicating that uplift resistance benefits from inclined loading due to the horizontal component of the applied load enhancing soil resistance along the pile shaft. However, at a loading angle of 60°, the wing plate efficiency decreases for both pile types, suggesting that excessive inclination may lead to a reduction in overall uplift resistance due to increased lateral displacement and a potential decrease in vertical load transfer efficiency. Comparing the two pile types, YB-L80W25 consistently exhibits higher wing plate efficiency across all load angles, reinforcing the conclusion that increasing the wing plate length contributes to enhanced uplift performance. However, the efficiency gains diminish at larger inclination angles, implying that there exists an optimal combination of wing plate dimensions and load angles to maximize uplift resistance. As noted by Zhao et al. [24], a larger loading angle increases the horizontal component of the load under inclined loading, significantly affecting the horizontal displacement of the pile anchor. This observation is consistent with experimental findings that demonstrate the substantial influence of load angle on the horizontal displacement at the top of the pile anchor. Considering both vertical and lateral displacements, the optimal loading angle is within the range of 45°.
Figure 14.
Efficiency–angle curves of winged pile anchors with different wing lengths.
4. Discussion
In marine aquaculture facilities, ocean currents mainly influence the upper cage structure of pile anchor foundations, indirectly supporting inclined uplift loads from mooring ropes. To improve uplift resistance in these foundations, researchers have explored innovative anchor designs, including winged pile anchors, torpedo anchors, and expanded-base pile anchors. This study advances conventional pile anchors by proposing a new model of winged H-pile anchors specifically for marine aquaculture facilities. The study enhances the uplift resistance capacity of pile anchors by incorporating wing plates on both sides of the pile anchor, optimizing their shape, area, arrangement, and load angle, with improvements analyzed and validated through model experiments. Aamer et al. [25] designed a blade anchor rod to increase the surface area beneath the soil during uplift, resulting in greater shear resistance along the failure plane and an increase in the weight of the surrounding sand in the failure zone to counteract the lifting force. Results confirm that, compared with traditional straight-shafted pile anchors, winged pile anchors significantly enhance the uplift resistance capacity. Regarding the characteristics of pile anchors with innovative designs, such as winged straight-shafted pile anchors, Zhang and Xu [26] noted that altering the perimeter shape to enlarge the surrounding area can enhance the frictional resistance along the sides of the pile anchor, thereby improving its overall support strength. Additionally, various experts have established empirical equations for assessing the uplift resistance and lateral frictional forces of anchoring piles, indicating that the primary factors contributing to a pile anchor’s ability to resist uplift include lateral friction and the resistance encountered at the base of the pile anchor [27]:
Qu = Qs + Qp
Qu represents ultimate uplift resistance capacity, Qs denotes the frictional resistance along the pile anchor surface, and Qp refers to the end bearing resistance. Hossain et al. [28] observed that increasing the contact area between the pile anchor body and the clay enhances the load-bearing capacity of the pile anchor by broadening the scope of the clay’s plastic deformation around it. Thus, optimizing the wing plate area and maximizing frictional resistance before pile–clay interaction degrades is the most effective approach to enhancing anchor pile uplift performance. These findings align with the experimental results presented in this study.
However, as the wing plate area increases, the growth rate of wing plate efficiency decreases (Figure 11). Wang et al. [29] observed that as the wing plate area increased, the horizontal bearing capacity of winged pile anchors initially declines. When the wing plate area is relatively small, the ultimate uplift resistance of the straight-shafted pile anchor is primarily influenced by the inclination angle at the clay surface. However, as the wing plate area expands, the ultimate uplift resistance of the pile anchor becomes more dependent on the strength of the wing plate itself rather than its area and it is also influenced by the load application angle.
Figure 15 illustrates the variation in the wing plate efficiency (s) as a function of the wing plate area (δ) across different loading angles. The results demonstrate that efficiency initially increases with wing plate area before stabilization, suggesting the presence of an optimal wing plate area (S/D2 = 1.5). As the loading angles varied, the rate of increase in wing plate efficiency gradually diminished with the expansion of wing plate area. Notably, wing plate efficiency at a loading angle of 45° consistently surpassed that at 30° and 60°, indicating significantly enhanced uplift resistance for the winged H-pile anchor at a loading angle of 45°. Table 4 shows trend curve fitting functions for wing area (S) and wing efficiency (δ), both modeled with linear functions. The intercept’s absolute value at θ = 45° exceeds those at θ = 30° and θ = 60°, suggesting a greater uplift resistance enhancement for winged pile anchors under oblique loading at a 45° inclination.
Figure 15.
Wing plate efficiency in relation to wing plate area at different loading angles.
Table 4.
Curve fitting model for winged pile under inclined loading.
Madhusudan Reddy and Ayothiraman [30] found that an oblique load applied near the horizontal direction reduced lateral resistance from the surrounding clay, causing early anchor pile failure and a lower ultimate load capacity. This observation may explain the reduced wing plate efficiency observed in YB-L40W25 and YB-L80W25 at a 60° loading angle in this study. Grabe and Dührkop [31] conducted numerical analyses on torpedo anchors, revealing that their ultimate uplift resistance capacity is optimized within a loading angle range of 15° to 45° relative to the horizontal plane. Furthermore, C. O’Beirne [32], through micropile model tests and numerical analyses, determined that pile anchors attain maximum uplift resistance at loading angles between 30° and 45°. This aligns with the findings of this study, where at θ = 45°, the wing plate exhibits the greatest enhancement in ultimate uplift resistance. As the loading angle increases, the efficiency of the wing plate’s uplift resistance capacity generally trends upward. Consequently, it can be inferred that an optimal loading angle exists that maximizes the uplift resistance capacity of the pile anchor.
In this study, Plexiglas was used as the material for the experimental model, with a density of 1.20 g/cm3 and a specific gravity of 1.18, which has a certain impact on the structural stability of the pile anchor. Plexiglas and steel exhibit similar surface adhesion characteristics; however, compared to traditional steel, Plexiglas has a lower self-weight, which may reduce the gravitational contribution of the pile anchor in underwater conditions [33]. This study primarily considers that the uplift resistance of the winged H-pile anchor is mainly provided by the pile–soil interaction. Future research will further explore the influence of material parameters on the structural stability of pile anchors. Additionally, materials with different densities, surface roughness, and stiffness will be considered to analyze their effects on uplift resistance and deformation characteristics, optimizing material selection to enhance the reliability of pile anchors in practical offshore engineering applications.
This study integrates soil–pile interaction theory with experimental analysis to evaluate the uplift resistance of winged H-pile anchors. The results confirm that optimizing wing plate parameters, including size, placement, and loading angle, significantly enhances uplift resistance. While this study provides valuable insights into the uplift resistance capacity of winged H-pile anchors in marine aquaculture applications, certain limitations should be acknowledged. One key limitation is the omission of wave–structure–seabed interaction (WSSI) effects, which are crucial in offshore environments. The dynamic nature of marine environments exposes pile anchors to cyclic loading induced by waves and currents, leading to complex seabed responses such as soil liquefaction, erosion, and strength degradation. Previous studies have demonstrated that wave-induced cyclic loading can alter the effective stress state of seabed soils, potentially reducing the lateral and vertical bearing capacities of pile foundations [34]. Additionally, seabed scour caused by hydrodynamic forces may expose pile anchors to increased loading eccentricities, further influencing their uplift resistance performance. Statistically, this study adopts a systematic variable control approach to verify the effects of pile length, width, loading angle, and wing plate dimensions. This method improves comparability across different configurations and enhances data stability. Although normalization has been applied to strengthen the practical relevance of the findings, the small sample size may introduce variability. Future research will increase the sample size and integrate finite element modeling, field validation, and regression-based efficiency assessments. To comprehensively assess the long-term stability of winged H-pile anchors in real-world offshore conditions, future research should incorporate WSSI effects through advanced numerical simulations and large-scale model experiments. And focus on investigating the failure mechanisms associated with different wing plate shapes, as well as the interactions between anchor piles and the seabed clay layer.
The study results indicate that improvements in pile anchor length, width, wing plate area, and load angle enhance the uplift resistance capacity of H-pile anchors. Notably, the uplift resistance capacity of H-pile anchors is more significantly affected by the wing plate area than by variations in pile anchor length and width. In comparison with other anchoring systems, such as torpedo anchors and plate anchors, H-winged pile anchors offer a distinct advantage in marine aquaculture applications. Torpedo anchors rely primarily on self-penetration and embedment depth to achieve high uplift resistance [35], making them effective in deep-sea conditions but less adaptable to variable seabed conditions. Plate anchors provide significant uplift resistance; however, their complex installation procedures may limit their feasibility for use in aquaculture environments [36]. In contrast, H-winged pile anchors integrate the benefits of both systems by leveraging enhanced surface friction and lateral resistance while maintaining ease of installation. The combination of increased uplift resistance, optimized wing plate efficiency, and practical installation makes the H-winged pile anchor a promising alternative for securing marine aquaculture structures under varying load conditions. Therefore, under specific engineering conditions, incorporating wing plates into H-pile anchor designs is considered a more cost-effective method for enhancing uplift resistance capacity compared to increasing length and width. This study examines the relationship among H-pile anchor dimensions, wing plate area, load angle, and ultimate load, providing a solid foundation for the optimized design and engineering application of marine aquaculture pile anchors.
5. Conclusions
This study presents an innovative winged H-pile anchor aimed at enhancing the uplift resistance capacity of pile anchors in marine aquaculture engineering applications. Utilizing a small-scale experimental model, the research investigates the uplift resistance capacity of H-pile anchors, analyzing the effects of various parameters, including loading angles, pile anchor length, width, wing plate area, and wing plate positioning, on the ultimate uplift resistance capacity of the H-pile anchors. The following are key findings from the current study:
- Under vertical loading, the ultimate uplift resistance capacity of non-wing H-pile anchors increases with both length and width. A longer pile anchor significantly enhances uplift resistance, while a wider pile anchor also contributes to resistance improvement. However, the effect of width gradually diminishes and reaches a limiting threshold.
- Compared to a pile anchor without wing plates, an H-pile anchor with added wing plates demonstrates superior uplift resistance capacity under the same load, effectively slowing the development of vertical displacement at the top of the pile anchor. However, enlarging the wing plate area beyond a specific point yields diminishing returns in enhancing the ultimate uplift resistance capacity. The results show that increasing the wing plate area from 375 to 1375 mm2 resulted in a wing plate efficiency δ increase of 0.1. However, when the area was expanded further from 1375 to 2375 mm2, the efficiency δ increase of the wing plate was only 0.03.
- The positioning of wing plates significantly enhances the ultimate uplift resistance capacity of pile anchors more effectively than merely increasing the wing plate area. Lower wing plates improve the pile anchor’s ultimate load capacity by 17.9% compared to upper wing plates. Considering both the enhancement of uplift resistance capacity and the mitigation of the rate of top displacement development of the pile anchor, it is recommended to place the wing plate at the bottom of the pile anchor to optimize uplift resistance capacity.
- The loading angle significantly affects the displacement of the pile anchor. A low load angle results in minimal displacement of the pile anchor. As the load angle increases, the vertical displacement at the top of the pile anchor decreases while the horizontal displacement increases. Consequently, to enhance uplift resistance and minimize displacement progression at the top of the pile anchor, this study recommends setting the anchoring angle to 45° to optimize the uplift resistance capacity of the pile anchor.
Compared to conventional pile anchors and more complex alternatives such as X-shaped or torpedo anchors, the winged H-pile anchor enhances uplift resistance while maintaining structural simplicity, ease of manufacturing, and straightforward installation, making it a cost-effective and practical anchoring solution for offshore aquaculture. Its high adaptability enables effective deployment across various seabed conditions, ensuring greater stability and durability. These findings provide valuable insights for engineering applications, demonstrating that the winged H-pile anchor can be reliably implemented in offshore environments with consistent and stable performance.
Author Contributions
Conceptualization, X.Y. and L.M.; methodology, X.Y. and T.Z.; formal analysis, L.T. and Z.W.; investigation, D.F. and F.G.; resources, L.T. and D.F.; data curation, S.N. and Z.S.; validation, S.N. and Z.S.; writing–original draft, L.T.; writing–review & editing, X.Y.; funding acquisition, F.G. All authors have read and agreed to the published version of the manuscript.
Funding
This research was funded by the National Natural Science Foundation of China (Grant No. 42306229 and 32002441), Natural Science Foundation of Zhejiang Province (Grant No. LQ24D060003), Key Research and Development Program of Zhejiang Province (Grant No. 2023C02029) and Zhoushan Science and Technology Projects (Grant No. 2022C01003).
Institutional Review Board Statement
Not applicable.
Informed Consent Statement
Not applicable.
Data Availability Statement
Data available upon request from the authors.
Conflicts of Interest
The authors declare no conflict of interest.
References
- Long, L.; Liu, H.; Cui, M.; Zhang, C.; Liu, C. Offshore aquaculture in China. Rev. Aquac. 2024, 16, 254–270. [Google Scholar] [CrossRef]
- Gui, F.; Zhang, B.; Qu, X.; Wang, P.; Shao, Z.; Feng, D. Force analysis of piles in net enclosure aquaculture engineering subjected to waves and current. J. Agric. Eng. 2020, 36, 31–38. [Google Scholar] [CrossRef]
- Sakr, M.; El Naggar, M.H.; Nehdi, M. Lateral behaviour of composite tapered piles in dense sand. Geotech. Eng. 2005, 158, 145–157. [Google Scholar] [CrossRef]
- Azzam, W.R.; Elwakil, A.Z. Model Study on the Performance of Single-Finned Pile in Sand under Tension Loads. Int. J. Geomech. 2016, 17, 04016072. [Google Scholar] [CrossRef]
- Gui, F.; Zhang, T.; Qu, X.; Yang, X.; Hu, F.; Feng, D. Effect of wing plate structure on uplift resistance capacity of marine aquaculture anchor piles. Mar. Georesour. Geotechnol. 2023, 42, 1164–1176. [Google Scholar] [CrossRef]
- Ma, J.; Gu, C.; Ge, J.; Chen, M.; Zhang, Y.; Xu, C.; Qin, R.-b. Research on the bearing performance of spiral anchors in muddy soil. In Proceedings of the International Conference on Mechatronics and Intelligent Control (ICMIC 2023), Wuhan, China, 21–23 July 2023; pp. 326–332. [Google Scholar]
- Zhang, X.-j.; Liu, H.-l.; Gao, Y.-f.; He, X.-j. Model test study on properties of PCC single pile. Rock Soil Mech. 2004, 9, 1495–1498. [Google Scholar] [CrossRef]
- Zhang, X. Test Study on Properties of Negative Skin Friction of Thin-Wall Pipe Pile Using Cast-In-Situ Concrete. Ph.D. Thesis, Hohai University, Nanjing, China, 2006. [Google Scholar]
- Zhang, M.; Liu, H.; Ding, X. Mechanical Property for Cast-In-Situ X-Shaped Concrete Pile of Reinforced Soft Roadbed. China J. Highw. Transp. 2011, 24, 11–17. [Google Scholar] [CrossRef]
- Niroumand, H.; Kassim, K.A.; Ghafooripour, A.; Nazir, R. Uplift capacity of enlarged base piles in sand. Electron. J. Geotech. Eng. 2012, 17, 2721–2737. [Google Scholar]
- Ma, J.; Kong, D.; Zhang, J. Model test study on bearing capacity performance of variable cross-section I-shaped reinforced concrete pile under horizontal load. Build. Struct. 2014, 44, 69–71+78. [Google Scholar] [CrossRef]
- Wang, X.; Ren, L.; Yang, Q.; Cui, Y.; Zhang, S. Comparative Model Tests on Bearing Behavior Between Y-section Pile and Circular Pile. China J. Highw. Transp. 2016, 29, 8. [Google Scholar] [CrossRef]
- Zhang, C.H.; Yu, F.; Chen, X. Analysis of the influence of variable cross-section effect on the bearing performance of special-shaped piles. J. Zhejiang Sci. Tech. Univ. 2023, 49, 651–663. [Google Scholar] [CrossRef]
- Sedov, L.I. Similarity and Dimensional Methods in Mechanics; CRC Press: Boca Raton, FL, USA, 2018. [Google Scholar]
- Liang, F.; Chen, H.; Huang, M.; Sun, L. Model test on seismic response of superstructure and pile group. J. Build. Struct. 2016, 37, 134–141. [Google Scholar] [CrossRef]
- Gui, F.; Kong, J.; Feng, D.; Qu, X.; You, Y. Uplift Resistance Capacity of Anchor Piles used in Marine Aquaculture. Sci. Rep. 2021. [Google Scholar] [CrossRef]
- Shin, E.C.; Das, B.M.; Puri, V.K.; Yen, S.C.; Cook, E.E. Ultimate uplift capacity of model rigid metal piles in clay. Geotech. Geol. Eng. 1993, 11, 203–215. [Google Scholar] [CrossRef]
- Bhardwaj, S.; Singh, S. Pullout capacity of model micropiles under oblique loads. In Proceedings of the Indian Geotechnical Conference, Roorkee, India, 22–23 December 2013; pp. 22–24. [Google Scholar]
- Bhardwaj, S.; Singh, S. Pile capacity under oblique loads–evaluation from load–displacement curves. Int. J. Geotech. Eng. 2015, 9, 341–347. [Google Scholar] [CrossRef]
- Ren, L.-w.; Gu, H.-w.; Peng, H.-f.; Zhou, Y. Research on bearing capacity of belled wedge pile model under three working conditions. Rock Soil Mech. 2017, 38, 7. [Google Scholar] [CrossRef]
- Bhardwaj, S.; Singh, S.K. Influence of Load Obliquity on Pullout Capacity of Micropile in Sand. Indian Geotech. J. 2014, 45, 200–208. [Google Scholar] [CrossRef]
- Yang, M.; Yang, X.; Zhao, M. Study of model experiments on uplift piles in clay under oblique loads. J. Hunan Univ. Nat. Sci. 2016, 43, 13–19. [Google Scholar] [CrossRef]
- Nasr, A.M. Experimental and theoretical studies of laterally loaded finned piles in sand. Can. Geotech. J. 2014, 51, 381–393. [Google Scholar] [CrossRef]
- Zhao, M.; Liu, J.; Yang, M. Inner-Force calculation of bridge plie foundation in high-steep rock slope under inclined loads. Chin. J. Rock Mech. 2006, 25, 778–782. [Google Scholar] [CrossRef]
- Aamer, F.; Azzam, W.; Farouk, A.; Nasr, A.; Nazir, A. Utilization of blade anchor for improving the uplift capacity of pile in sand: Model Study. Ocean Eng. 2023, 278, 114435. [Google Scholar] [CrossRef]
- Zhang, M.; Xu, P. Research on the development of special-shaped piles. Ind. Constr. 2012. [Google Scholar] [CrossRef]
- Meyerhof, G.G. Uplift resistance of inclined anchors and piles. In Proceedings of the 8th International Conference on Soil Mechanics and Foundation Engineering, Moscow, Russia, 6–11 August 1973; Volume 12, p. 97. [Google Scholar] [CrossRef]
- Hossain, M.S.; Kim, Y.; Wang, D. Physical and Numerical Modelling of Installation and Pull-Out of Dynamically Penetrating Anchors in Clay and Silt. In Proceedings of the ASME 32nd International Conference on Ocean, Offshore and Arctic Engineering, Nantes, France, 9–14 June 2013. [Google Scholar]
- Wang, X.; Chen, C.; Su, X. Finite element analysis of the impact of wing plates on laterally loaded foundation pile. J. Waterw. Harb. 2016, 37, 609–614. [Google Scholar]
- Madhusudan Reddy, K.; Ayothiraman, R. Experimental studies on behavior of single pile under combined uplift and lateral loading. J. Geotech. Geoenviron. Eng. 2015, 141, 04015030. [Google Scholar] [CrossRef]
- Grabe, J.; Dührkop, J. Laterally Loaded Piles With Bulge. J. Offshore Mech. Arct. Eng. 2007, 130, 317–323. [Google Scholar] [CrossRef]
- O’beirne, C.; O’Loughlin, C.D.; Wang, D.; Gaudin, C. Capacity of dynamically installed anchors as assessed through field testing and three-dimensional large-deformation finite element analyses. Can. Geotech. J. 2015, 52, 548–562. [Google Scholar] [CrossRef]
- Bai, X.Y.; Chen, X.Y.; Zhang, M.Y. “Pile—Steel Support—Anchor” System for Foundation in Rock-Soil Layer. Soil Mech. Found. Eng. 2019, 55, 425–432. [Google Scholar] [CrossRef]
- Ma, J.; Jeng, D.-S. Friction Weakening Mechanism of Sandy Seabed Around a Suction Pile Under Ocean Wave Loading. In Proceedings of the International Conference on Offshore Mechanics and Arctic Engineering, Melbourne, Australia, 11–16 June 2023; p. V009T010A008. [Google Scholar]
- Hossain, M.S.; O’Loughlin, C.D.; Kim, Y. Dynamic installation and monotonic pullout of a torpedo anchor in calcareous silt. Geotechnique 2015, 65, 77–90. [Google Scholar] [CrossRef]
- Blake, A.; O’Loughlin, C. Installation of dynamically embedded plate anchors as assessed through field tests. Can. Geotech. J. 2015, 52, 1270–1282. [Google Scholar] [CrossRef]
Disclaimer/Publisher’s Note: The statements, opinions and data contained in all publications are solely those of the individual author(s) and contributor(s) and not of MDPI and/or the editor(s). MDPI and/or the editor(s) disclaim responsibility for any injury to people or property resulting from any ideas, methods, instructions or products referred to in the content. |
© 2025 by the authors. Licensee MDPI, Basel, Switzerland. This article is an open access article distributed under the terms and conditions of the Creative Commons Attribution (CC BY) license (https://creativecommons.org/licenses/by/4.0/).














