CNN-GRU-ATT Method for Resistivity Logging Curve Reconstruction and Fluid Property Identification in Marine Carbonate Reservoirs
Abstract
1. Introduction
2. Geological Overview
2.1. Geological Situation

2.2. The Equipment Use and Feasibility Evaluation of the Study Area
3. Method Principle and Process
3.1. CNN Algorithm
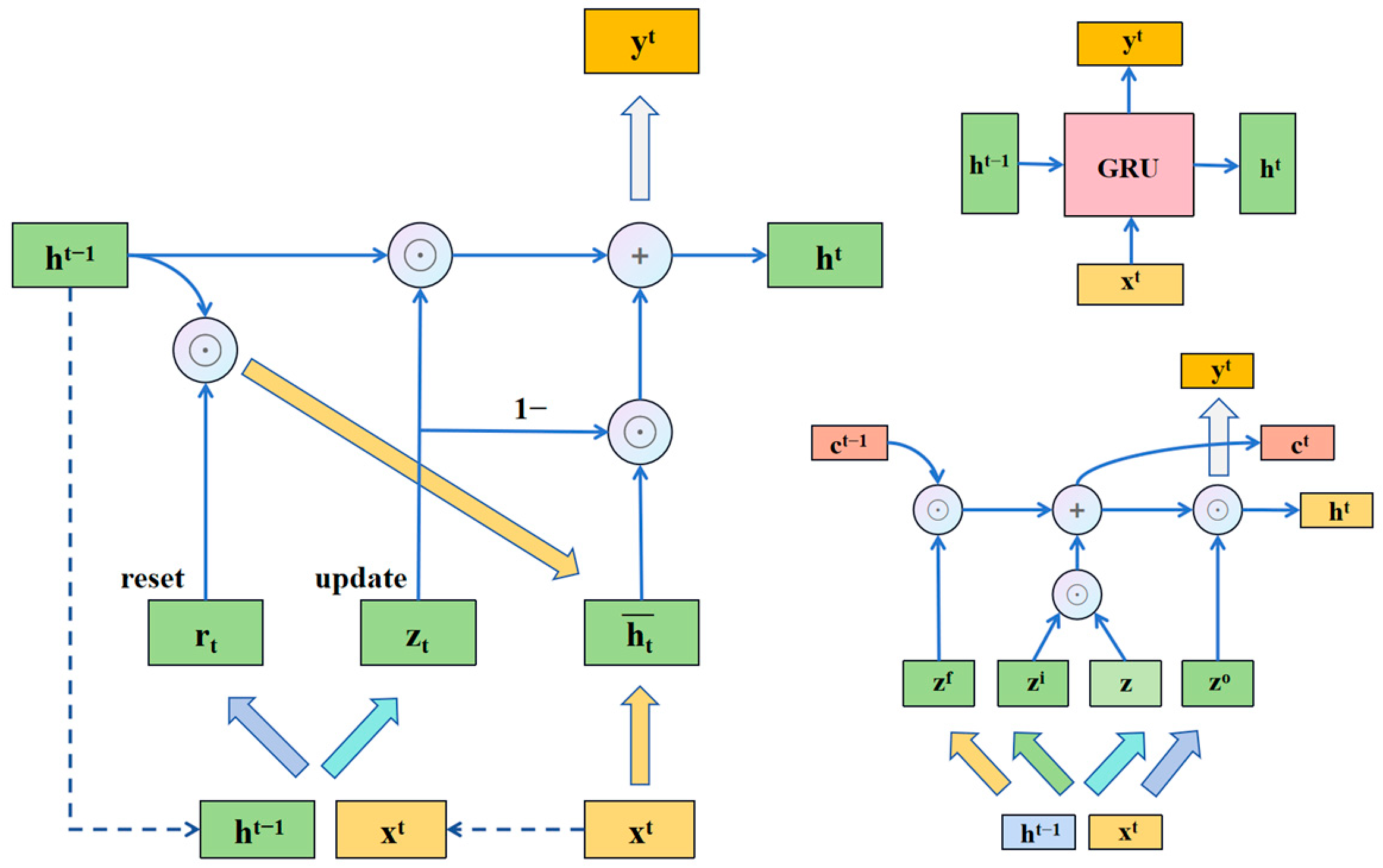
3.2. GRU Algorithm
3.3. Attention Mechanism
3.4. CNN-GRU-ATT Model
4. Model Construction Process and Results
4.1. Logging Curve Selection
4.2. Model Construction
4.3. Results and Generalization Verification
5. Applications and Discussion
5.1. Applications
5.2. Discussion
5.2.1. Feasibility of Resistivity Inversion
5.2.2. The Accuracy Advantage of CNN-GRU-ATT Method
5.2.3. Limitations
- Limitations in the selection of training samples: When selecting data to construct the inversion model for oil layer resistivity curves, it is crucial to choose samples from wells with short intervals between drilling and logging. Research by Zhao et al. [25] suggests that reservoirs may be affected by invasion of drilling mud filtrate. Numerical simulations show that with increasing invasion time, the invasion depth also increases, and the invasion rate is correlated with reservoir porosity. Although deep resistivity curves detected by different instruments may have slight differences, it is advisable to avoid selecting well samples with intervals exceeding 15 days between drilling and logging to mitigate errors caused by mud invasion. Additionally, the proposed method can be applied to reconstruct resistivity curves for oil layers in older wells where invasion phenomena are more severe.
- 2.
- Sources of errors: The CNN-GRU-ATT network model employed in this study also has inherent errors. Geophysical logging data collection is susceptible to on-site disturbances during operations and variations between different logging instruments. Despite preprocessing steps such as logging standardization, it is challenging to completely eliminate noise. These errors cannot be individually considered, and thus noise models for removal cannot be constructed. Consequently, the model results may contain such noise errors. However, through practical studies, these errors can be manually mitigated. For example, some oil layer segments may exhibit deep resistivity inversion results higher than actual resistivity, but these “spike-like” fillings do not affect the identification of reservoir fluid properties.
- 3.
- Limitations in application: The model proposed in this paper demonstrates strong practicality when applied to reservoirs within the same work area and geological background. By collecting deep resistivity curves and other conventional logging data, the model can be directly applied to on-site data processing. The paper also presents test results based on well-log cross-sections, proving the model’s effectiveness in practical applications. However, when applied to different work areas, it is crucial to consider the richness and response characteristics of the actual logging data. For reservoirs in different work areas, a new model must be constructed based on the actual data, following the process outlined in this paper. This is particularly important in the case of oil-based mud wells, where we do not recommend using the model, as the properties of oil-based mud wells may lead to a decline in model prediction performance. From a computational cost perspective, deep learning architectures (such as CNN, GRU, and attention mechanisms) inherently involve high computational load, and their complex interactions may pose challenges for real-time applications. Given the variations in work areas and data quality, it is crucial to assess whether further model optimization is necessary. Nevertheless, for real-time applications, this paper suggests considering the following optimization strategies: first, model compression techniques (such as pruning and quantization) can significantly reduce the computational load, improving real-time inference efficiency. Second, hardware acceleration (e.g., GPU or FPGA) can further optimize the speed of model inference. Additionally, developing a lightweight version of the model can achieve faster inference responses while maintaining adequate accuracy.
6. Conclusions
- (1)
- By employing pure oil layer logging response data as samples and utilizing the CNN-GRU-ATT method, this study successfully constructs deep resistivity curves for oil layers. Compared to other models such as CNN-GRU, GRU, LSTM, Multiple Regression, and Random Forest models, this method significantly improves model accuracy.
- (2)
- Comparing the constructed oil layer deep resistivity curves with the LLD curves (or RLA5 curves) collected by actual logging instruments, it is found that the relative positions of the two can effectively determine the type of reservoir fluid properties. Verified with an accuracy rate of 93.14%, the method aligns with production and well testing conclusions.
- (3)
- Through analysis of the original oil bottom and water top ranges in the study area, certain geographic distribution patterns are observed.
Author Contributions
Funding
Institutional Review Board Statement
Informed Consent Statement
Data Availability Statement
Acknowledgments
Conflicts of Interest
Abbreviations
| ALRT | Array Laterolog Resistivity Tool |
| ATT | Attention Mechanism |
| BPNN | Back-Propagation Neural Network |
| BS | Bit diameter |
| CAL | Caliper |
| CN | Compensated Neutron |
| CNN | Convolutional Neural Networks |
| CTS | Casting thin section |
| DEN | Compensation Density |
| DLL | Dual Laterolog Resistivity Tool |
| DT | Acoustic time difference log |
| DTS | Shear Wave Slowness |
| DWT | Discrete Wavelet Transform |
| GR | Nature gamma |
| GRU | Gated Recurrent Units |
| LLD | The deep resistivity curve measured by DLL. |
| LLS | The shallow resistivity curve measured by DLL. |
| LSTM | Long Short-Term Memory |
| MAE | Mean Absolute Error |
| MAPE | Mean Absolute Percentage Error |
| MSE | Mean Squared Error |
| ODT | Oil-Down-To |
| RD | Deep Resistivity |
| RLA5 | The deep resistivity curve measured by ALRT. |
| RLA1 | The shallow resistivity curve measured by ALRT. |
| RMSE | Root Mean Square Error |
| RNN | Recurrent Neural Networks |
| RXO | Flushed Zone Resistivity |
| R2 | Coefficient of Determination |
| SEM | Scanning electron microscope |
| SP | Spontaneous potential |
| SVR | Support Vector Machine Regression |
| TZ | Transition Zone |
| TVDSS | True Vertical Depth Subsea |
| WUT | Water-Up-To |
| XGB | eXtreme Gradient Boosting |
| 1DCNN | One-Dimensional Convolutional Neural Networks |
References
- Zhang, D.; Chen, Y.; Meng, J. Synthetic well logs generation via Recurrent Neural Networks. Pet. Explor. Dev. 2018, 45, 629–639. [Google Scholar] [CrossRef]
- Zhou, X.; Zhang, C.; Zhang, Z.; Zhang, R.; Zhu, L.; Zhang, C. A saturation evaluation method in tight gas sandstones based on diagenetic facies. Mar. Pet. Geol. 2019, 107, 310–325. [Google Scholar] [CrossRef]
- Guo, J.; Zhang, Z.; Xiao, H.; Zhang, C.; Zhu, L.; Wang, C. Quantitative interpretation of coal industrial components using a gray system and geophysical logging data: A case study from the Qinshui Basin, China. Front. Earth Sci. 2023, 10, 1031218. [Google Scholar] [CrossRef]
- Zhu, L.; Zhang, C.; Zhang, C.; Zhang, Z.; Zhou, X.; Zhu, B. An improved theoretical nonelectric water saturation method for organic shale reservoirs. IEEE Access 2019, 7, 51441–51456. [Google Scholar] [CrossRef]
- Ba, J.; Cao, H.; Carcione, J.M.; Tang, G.; Yan, X.; Sun, W.; Nie, J. Multiscale rock-physics templates for gas detection in carbonate reservoirs. J. Appl. Geophys. 2013, 93, 77–82. [Google Scholar] [CrossRef]
- Mahbaz, S.; Sardar, H.; Namjouyan, M.; Mirzaahmadian, Y. Optimization of reservoir cut-off parameters: A case study in SW Iran. Pet. Geosci. 2011, 17, 355–363. [Google Scholar] [CrossRef]
- Zhang, M.; Jia, A.; Lei, Z. Inter-well reservoir parameter prediction based on LSTM-Attention network and sedimentary microfacies. Geoenergy Sci. Eng. 2024, 235, 212723. [Google Scholar] [CrossRef]
- Fu, X.; Qin, Y.; Wang, G.; Rudolph, V. Evaluation of coal structure and permeability with the aid of geophysical logging technology. Fuel 2009, 88, 2278–2285. [Google Scholar] [CrossRef]
- Torres-Verdín, C.; Angeles, R.; Sepehrnoori, K.; Elshahawi, H. History matching of multiphase-flow formation-tester measurements acquired with focused-sampling probes in deviated wells. Petrophysics 2011, 52, 14–31. [Google Scholar]
- Zhou, B.; O’Brien, G. Improving coal quality estimation through multiple geophysical log analysis. Int. J. Coal Geol. 2016, 167, 75–92. [Google Scholar] [CrossRef]
- Simoes, V.; Maniar, H.; Abubakar, A.; Zhao, T. Comparative Study of Machine-Learning-Based Methods for Log Prediction. Petrophysics 2023, 64, 192–212. [Google Scholar] [CrossRef]
- Song, T.; Zhu, W.; Chen, Z.; Jin, W.; Song, H.; Fan, L.; Yue, M. A novel well-logging data generation model integrated with random forests and adaptive domain clustering algorithms. Geoenergy Sci. Eng. 2023, 231, 212381. [Google Scholar] [CrossRef]
- Xu, S.; Li, S.; Zou, Z. High-resolution sonic slowness estimation based on the reconstruction of neighboring virtual traces. Surv. Geophys. 2024, 45, 721–743. [Google Scholar] [CrossRef]
- Haritha, D.; Satyavani, N. Borehole Log Reconstruction using ANN: A Case Study from KBH-08, Koyna-Warna Region. J. Geol. Soc. India 2023, 99, 47–54. [Google Scholar] [CrossRef]
- Kuang, L.; Liu, H.; Ren, Y.; Luo, K.; Shi, M.; Su, J.; Li, X. Application and development trend of artificial intelligence in petroleum exploration and development. Pet. Explor. Dev. 2021, 48, 1–14. [Google Scholar] [CrossRef]
- Li, N.; Xu, B.; Wu, H.; Feng, Z.; Li, Y.; Wang, K.; Liu, P. Application status and prospects of artificial intelligence in well logging and formation evaluation. Acta Pet. Sin. 2021, 42, 508–622. [Google Scholar] [CrossRef]
- Zhang, J.; Deng, J.; Tan, Q.; Shi, L. Reconstruction of well logs based on XGBoost. Oil Geophys. Prospect. 2022, 57, 687–705. [Google Scholar] [CrossRef]
- Zhang, H.; Wu, W.; Song, X. Well Logs Reconstruction Based on Deep Learning Technology. IEEE Geosci. Remote Sens. Lett. 2024, 21, 7501205. [Google Scholar] [CrossRef]
- Wang, J.; Cao, J.; You, J. Reconstruction of logging traces based on GRU neural network. Oil Geophys. Prospect. 2020, 55, 510–520. [Google Scholar] [CrossRef]
- Lin, L.; Wei, H.; Wu, T.; Zhang, P.; Zhong, Z.; Li, C. Missing well-log reconstruction using a sequence self-attention deep-learning framework. Geophysics 2023, 88, 391–410. [Google Scholar] [CrossRef]
- Ren, Q.; Zhang, H.; Azevedo, L.; Yu, X.; Zhang, D.; Zhao, X.; Zhu, X.; Hu, X. Reconstruction of Missing Well-Logs Using Facies-Informed Discrete Wavelet Transform and Time Series Regression. SPE J. 2023, 28, 2946–2963. [Google Scholar] [CrossRef]
- Guo, J.; Luo, Y.; Zeng, F.; Wang, R.; Yuan, C.; He, L.; Lu, C. Reconstruction of missing shear wave slowness in shale gas reservoir based on deep learning algorithm. Geoenergy Sci. Eng. 2023, 227, 211865. [Google Scholar] [CrossRef]
- Zhu, L.; Ma, Y.; Cai, J.; Zhang, C.; Wu, S.; Zhou, X. Key factors of marine shale conductivity in southern China—Part II: The influence of pore system and the development direction of shale gas saturation models. J. Pet. Sci. Eng. 2022, 209, 109516. [Google Scholar] [CrossRef]
- Zhu, L.; Wu, S.; Zhang, C.; Misra, S.; Zhou, X.; Cai, J. Characterization of pore electrical conductivity in porous media by weakly conductive and nonconductive pores. Surv. Geophys. 2023, 44, 877–923. [Google Scholar] [CrossRef]
- Zhao, Q.; Guo, J.; Zhang, Z. A method for judging the effectiveness of complex tight gas reservoirs based on geophysical logging data and using the L block of the Ordos Basin as a case study. Processes 2023, 11, 2195. [Google Scholar] [CrossRef]
- Hu, Y.; Yu, X.; Chen, G.; Li, S. Classification of the average capillary pressure function and its application in calculating fluid saturation. Pet. Explor. Dev. 2012, 39, 778–784. [Google Scholar] [CrossRef]
- Zhu, L.; Zhang, C.; Zhang, Z.; Zhou, X. High-precision calculation of gas saturation in organic shale pores using an intelligent fusion algorithm and a multi-mineral model. Adv. Geo-Energy Res. 2020, 4, 135–151. [Google Scholar] [CrossRef]
- Qassamipour, M.; Khodapanah, E.; Tabatabaei-Nezhad, S.A. A comprehensive method for determining net pay in exploration/development wells. J. Pet. Sci. Eng. 2021, 196, 107849. [Google Scholar] [CrossRef]
- Gao, J.; Tian, C.; Zhang, W.; Song, X.; Liu, B. Characteristics and genesis of carbonate reservoir of the Mishrif Formation in the Rumaila oil field, Iraq. Acta Pet. Sin. 2013, 34, 843–852. [Google Scholar] [CrossRef]
- Sun, J.; Wang, K.; Li, W. Development and analysis of logging saturation interpretation models. Pet. Explor. Dev. 2008, 35, 101. [Google Scholar]
- Alsharhan, A.S.; Nairn, A.E.M. A review of the Cretaceous formations in the Arabian Peninsula and Gulf: Part I. Lower Cretaceous (Thamama Group) stratigraphy and paleogeography. J. Pet. Geol. 1986, 9, 365–391. [Google Scholar] [CrossRef]
- Alsharhan, A.S.; Nairn, A.E.M. A review of the ctretaceous formations in the arabian peninsula and gulf: Partii. mid-cretaceous (wasia group) stratigraphy and paleogeography. J. Pet. Geol. 1988, 11, 89–112. [Google Scholar] [CrossRef]
- Sadooni, F.N.; Alsharhan, A.S. Stratigraphy, microfacies, and petroleum potential of the Mauddud Formation (Albian–Cenomanian) in the Arabian Gulf basin. AAPG Bull. 2003, 87, 1653–1680. [Google Scholar] [CrossRef]
- Guo, J.; Ling, Z.; Xu, X.; Zhao, Y.; Yang, C.; Wei, B.; Zhang, Z.; Zhang, C.; Tang, X.; Chen, T.; et al. Saturation Determination and Fluid Identification in Carbonate Rocks Based on Well Logging Data: A Middle Eastern Case Study. Processes 2023, 11, 1282. [Google Scholar] [CrossRef]
- Mei, P.; Li, M.; Zhang, Q.; Li, G.; Song, L. Prediction model of drinking water source quality with potential industrial-agricultural pollution based on CNN-GRU-Attention. J. Hydorl. 2022, 610, 127934. [Google Scholar] [CrossRef]
- Wang, Y.; Sun, Y.; Liu, Z.; Sarma, S.E.; Bronstein, M.M.; Solomon, J.M. Dynamic graph cnn for learning on point clouds. ACM Trans. Graph. (Tog) 2019, 38, 1–12. [Google Scholar] [CrossRef]
- Das, V.; Pollack, A.; Wollner, U.; Mukerji, T. Convolutional neural network for seismic impedance inversion. Geophysics 2019, 84, 869–880. [Google Scholar] [CrossRef]
- Jiao, R.; Huang, X.; Ma, X.; Han, L.; Tian, W. A model combining stacked auto encoder and back propagation algorithm for short-term wind power forecasting. IEEE Access 2018, 6, 17851–17858. [Google Scholar] [CrossRef]
- Chen, T.; Gao, G.; Liu, H.; Li, Y.; Gui, Z.; Yu, Z.; Zhai, X. Rock brittleness index inversion method with constraints of seismic and well logs via a CNN-GRU fusion network based on the spatiotemporal attention mechanism. Geoenergy Sci. Eng. 2023, 225, 211646. [Google Scholar] [CrossRef]
- Hochreiter, S.; Schmidhuber, J. Long short-term memory. Neural Comput. 1997, 9, 1735–1780. [Google Scholar] [CrossRef] [PubMed]
- Shan, L.; Liu, Y.; Tang, M.; Yang, M.; Bai, X. CNN-BiLSTM hybrid neural networks with attention mechanism for well log prediction. J. Pet. Sci. Eng. 2021, 205, 108838. [Google Scholar] [CrossRef]
- Srivastava, N.; Hinton, G.; Krizhevsky, A.; Sutskever, I.; Salakhutdinov, R. Dropout: A simple way to prevent neural networks from overfitting. J. Mach. Learn. Res. 2014, 15, 1929–1958. [Google Scholar]
- Kingma, D.P.; Ba, J. Adam: A method for stochastic optimization. arXiv 2014, arXiv:1412.6980. [Google Scholar] [CrossRef]
- Zhai, X.; Gao, G.; Li, Y.; Chen, D.; Gui, Z.; Wang, Z. Reconstruction method of logging curves by 2D convolutional neural network integrating attention mechanism. Oil Geophys. Prospect. 2023, 58, 1031–1041. [Google Scholar] [CrossRef]
- Sharma, A.; Burak, T.; Nygaard, R.; Hoel, E.; Kristiansen, T.; Hellvik, S.; Welmer, M. Projecting Petrophysical Logs at the Bit through Multi-Well Data Analysis with Machine Learning. In Proceedings of the SPE Offshore Europe Conference and Exhibition, Aberdeen, Scotland, UK, 5–8 September 2023; p. D031S012R001. [Google Scholar] [CrossRef]



















| Pearson | AC μs/ft | CN Pu | DEN g/cm3 | GR API | Pu | Pu | |
|---|---|---|---|---|---|---|---|
| RD(LLD/RLA5) | −0.31 | −0.37 | 0.28 | −0.49 | −0.34 | 0.40 | 0.38 |
| Well No. | Depth m | AC μs/ft | CN Pu | DEN g/cm3 | GR API | Pu | Pu | RD | |
|---|---|---|---|---|---|---|---|---|---|
| M-001 | 2881.98 | 74.28 | 0.16 | 2.39 | 20.19 | 0.12 | 0.05 | 1.34 | 56.63 |
| M-001 | 2885.08 | 69.88 | 0.06 | 2.48 | 24.23 | 0.07 | 0.17 | 5.48 | 43.28 |
| M-001 | 2885.18 | 70.40 | 0.06 | 2.47 | 23.96 | 0.06 | 0.18 | 5.86 | 42.63 |
| M-047 | 2974.15 | 76.45 | 0.14 | 2.41 | 15.45 | 0.17 | 0.10 | 1.85 | 97.51 |
| Layer | Parameters | Value |
|---|---|---|
| CNN Layer | Number of Convolutional Kernels | 32 |
| Convolutional Kernel Size | 3 × 3 | |
| Activation Function of Convolutional Layer | ReLu | |
| Padding Method of Convolutional Layer | Valid | |
| Pooling Layer Pooling Window Size | 2 × 2 | |
| Pooling Layer Activation Function | ReLu | |
| Dropout Rate | 0.3 | |
| GRU Layer | Number of Hidden Neurons | 10 |
| Number of Hidden Neurons | 20 | |
| Attention | Dimensionality | 50 |
| Output Layer (Fully Connected Layer) | Dense1 | 10 |
| Dense2 | 1 |
| Accurate Rate (93.14%) | Prediction Results of the Paper Method | ||
|---|---|---|---|
| Test Results | Oil or Poor | Transition Zone | Water |
| Oil or Poor | 54 (96.43%) | 2 (3.57%) | 0 (0.00%) |
| Transition Zone | 3 (9.38%) | 28 (87.5%) | 1 (3.12%) |
| Water | 0 (0.00%) | 1 (7.14%) | 13 (92.86%) |
| Method n = 643 | MAE | MAPE | RMSE | R2 |
|---|---|---|---|---|
| % | None | |||
| CNN-GRU-ATT | 9.38 | 17.90 | 17.72 | 0.92 |
| CNN-GRU | 15.34 | 24.09 | 19.88 | 0.84 |
| GRU | 34.28 | 57.40 | 37.52 | 0.26 |
| LSTM | 36.04 | 59.83 | 38.07 | 0.30 |
| MR | 47.29 | >99 | 47.26 | <0.10 |
| RF | 49.30 | >99 | 61.43 | <0.10 |
Disclaimer/Publisher’s Note: The statements, opinions and data contained in all publications are solely those of the individual author(s) and contributor(s) and not of MDPI and/or the editor(s). MDPI and/or the editor(s) disclaim responsibility for any injury to people or property resulting from any ideas, methods, instructions or products referred to in the content. |
© 2025 by the authors. Licensee MDPI, Basel, Switzerland. This article is an open access article distributed under the terms and conditions of the Creative Commons Attribution (CC BY) license (https://creativecommons.org/licenses/by/4.0/).
Share and Cite
Guo, J.; Lv, H.; Zhao, Q.; Yang, Y.; Zhu, Z.; Zhang, Z. CNN-GRU-ATT Method for Resistivity Logging Curve Reconstruction and Fluid Property Identification in Marine Carbonate Reservoirs. J. Mar. Sci. Eng. 2025, 13, 331. https://doi.org/10.3390/jmse13020331
Guo J, Lv H, Zhao Q, Yang Y, Zhu Z, Zhang Z. CNN-GRU-ATT Method for Resistivity Logging Curve Reconstruction and Fluid Property Identification in Marine Carbonate Reservoirs. Journal of Marine Science and Engineering. 2025; 13(2):331. https://doi.org/10.3390/jmse13020331
Chicago/Turabian StyleGuo, Jianhong, Hengyang Lv, Qing Zhao, Yuxin Yang, Zuomin Zhu, and Zhansong Zhang. 2025. "CNN-GRU-ATT Method for Resistivity Logging Curve Reconstruction and Fluid Property Identification in Marine Carbonate Reservoirs" Journal of Marine Science and Engineering 13, no. 2: 331. https://doi.org/10.3390/jmse13020331
APA StyleGuo, J., Lv, H., Zhao, Q., Yang, Y., Zhu, Z., & Zhang, Z. (2025). CNN-GRU-ATT Method for Resistivity Logging Curve Reconstruction and Fluid Property Identification in Marine Carbonate Reservoirs. Journal of Marine Science and Engineering, 13(2), 331. https://doi.org/10.3390/jmse13020331

