Scour near Offshore Monopiles, Jacket-Type and Caisson-Type Structures
Abstract
1. Introduction
1.1. General
1.2. Scour Around Monopiles
1.3. Scour Around Gravity-Based Structures
1.4. Scour Around Jacket-Type Structures
2. Experimental and Numerical Methods
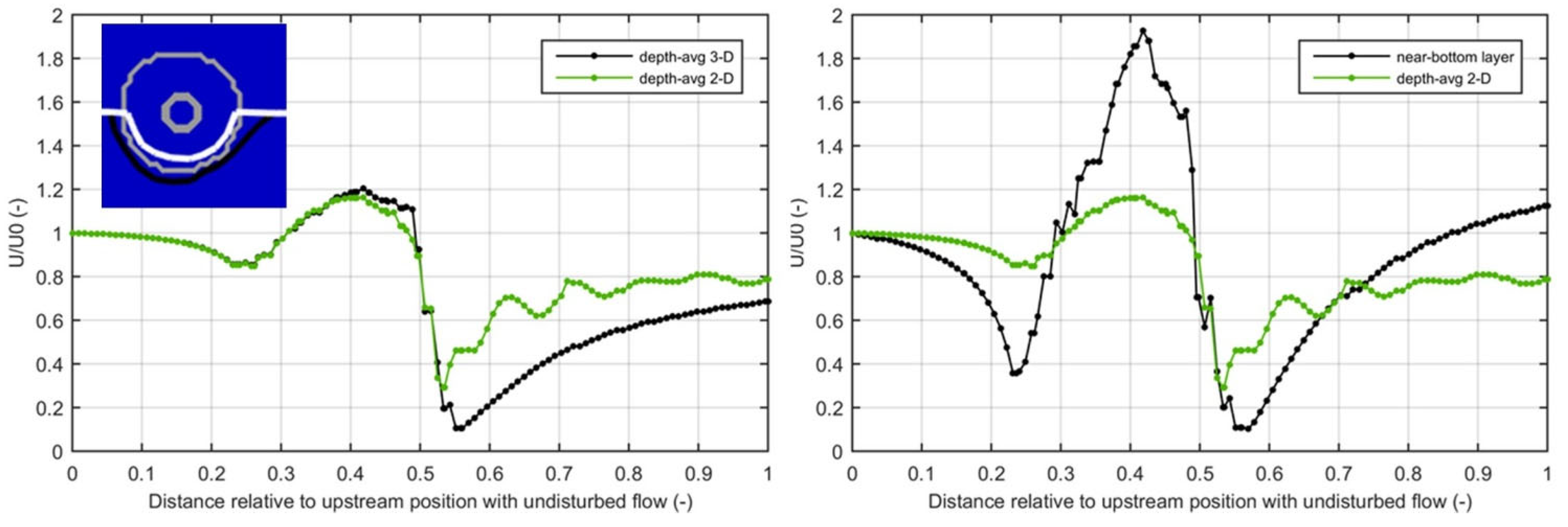
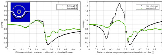
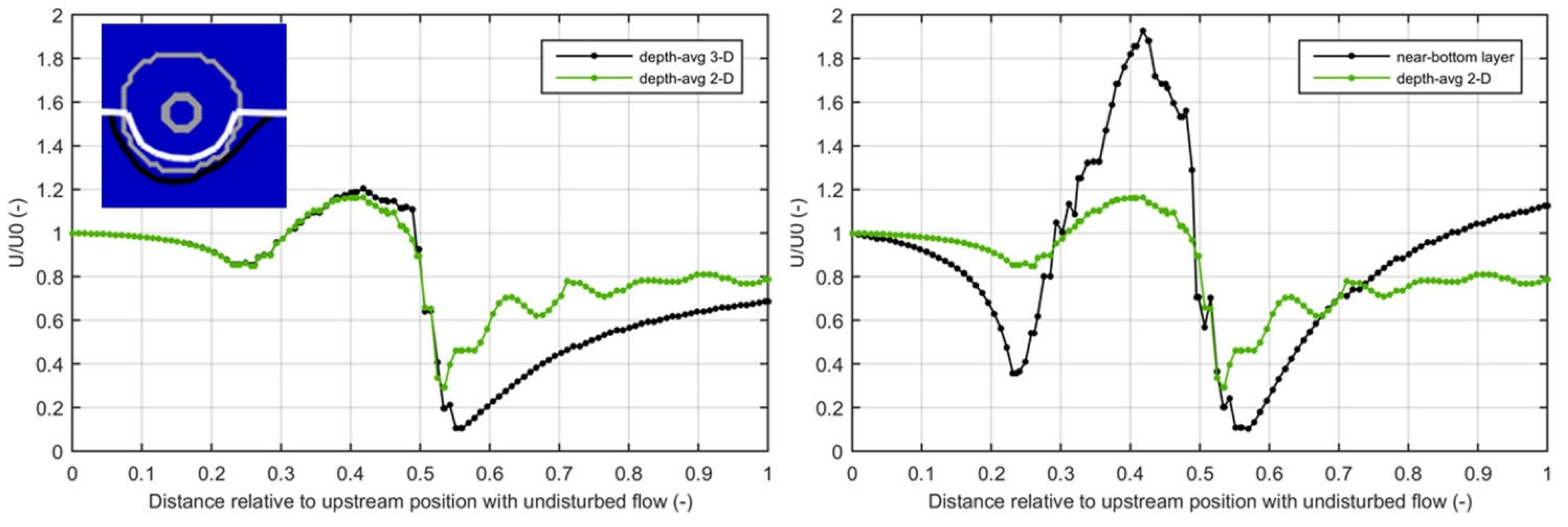
3. Experimental Results of Flow Around a Monopile, Jacket Structure and Gravity-Based Structure
- monopile: a significant increase in the approach depth-averaged flow velocity from 0.26 m/s at P1 to about 0.35 m/s at the flanks of the pile at P2 and P3; the velocity profile is quite uniform over depth (accelerated flow);
- caisson with monopile on top: a significant increase in the approach depth-averaged flow velocity from 0.26 m/s at P1 to about 0.35 m/s on the flank of the caisson at P2, decreasing for larger lateral distances (0.32 m/s at P5); the velocity profile is rather uniform at P2, and the velocity profile at P1 is slightly distorted, most likely due to the effect of the downward-directed flow at the base of the structure;
- jacket structure: an increase in the approach depth-averaged flow velocity from 0.26 m/s at P1 to about 0.30–0.33 m/s at P7 and P8, lateral of the structure; the vertical distribution of the flow velocities is rather similar.



4. Experimental Results of Scour near the Monopile, Jacket Structure and Gravity-Based Structure
4.1. Experimental Scour Results
- monopile: the maximum scour depth is ds,max ≅ 1.1 Dpile after 5 h with a maximum scour length of Ls,max ≅ 3 Dpile at both sides; the maximum scour depth after 6.5 h is almost the same;
- caisson with monopile on top: the maximum scour depth is ds,max ≅ 1 hcaisson (height of the caisson) after 6.5 h (just before the tipping over of the structure due to scour undermining, see Figure 6); the maximum scour length is Ls,max ≅ 1 Dcaisson at both sides;
- jacket structure: the maximum scour depth near the legs is ds,max ≅ 2.5 Dleg after 10 h; the maximum scour depth after 20 h is almost the same; the maximum scour length is Ls,max ≅ 10 Dleg at both sides; scour in the centre part under the structure is lower (≅50% of scour depth near legs).
4.2. Discussion
5. Scour Modelling and Results
5.1. General
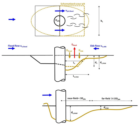
5.2. Scour near a Monopile and Jacket Structure: Description of the SEDSCOUR Model
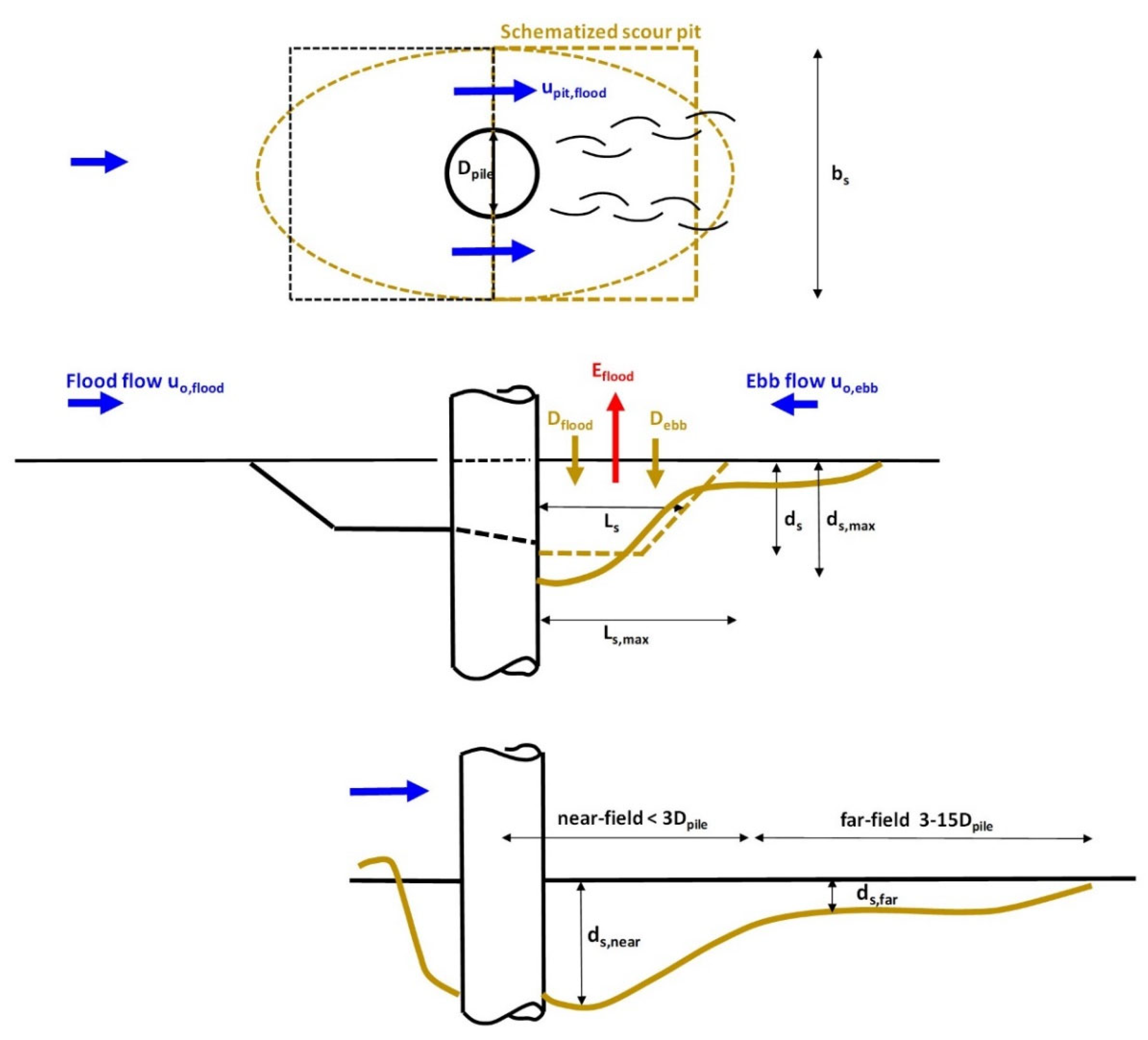
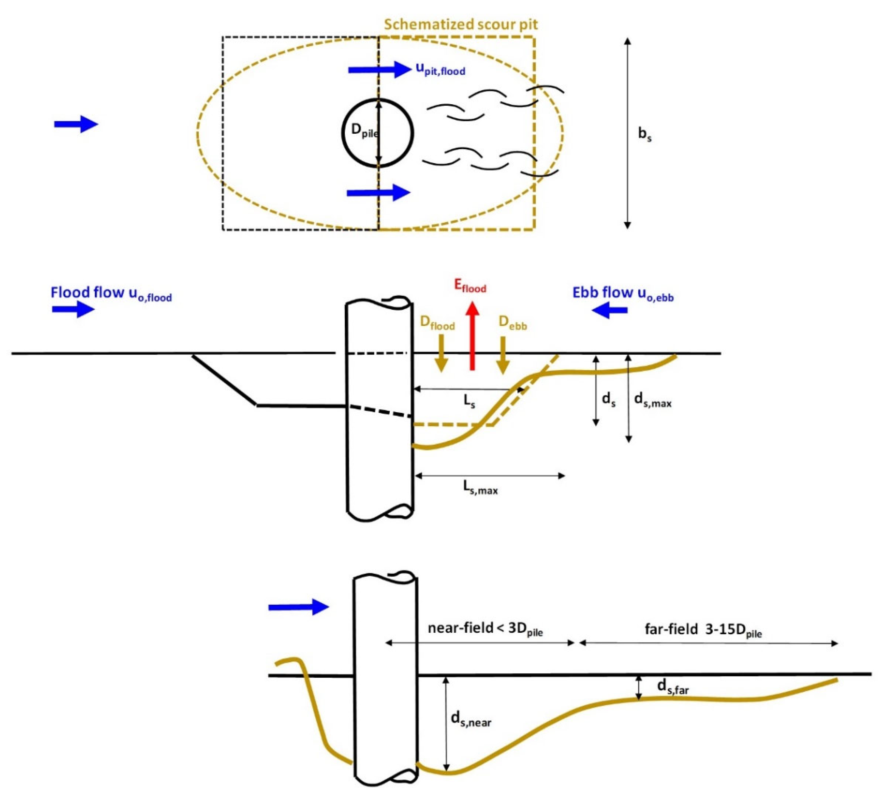
5.2.1. General Schematization
- flood: the erosion of sand (Eflood) from the bed in the lee of the pile due to flow accelerations and increased turbulence levels and the deposition of sand (Dflood) from the incoming flood flow;
- ebb: the deposition of sand (Debb) from the incoming ebb flow (after reversal of the tidal current).
5.2.2. General Model Equations
- qb,flood,o = the flood-averaged equilibrium of a bed load transport outside the pit based on undisturbed velocity uflood,o;
- qb,flood,o = the flood-averaged equilibrium of a suspended load transport outside the pit based on undisturbed uflood,o;
- qb,ebb,o = the ebb-averaged equilibrium of a bed load transport outside the pit based on undisturbed velocity uebb,o;
- qs,ebb,o = the ebb-averaged equilibrium of a suspended load transport outside the pit based on undisturbed uebb,o;
- qb,flood,pit = the flood-averaged equilibrium of a bed load transport in a scour pit area based on uflood,pit;
- qs,flood,pit = the flood-averaged equilibrium of a suspended load transport in a scour pit area on uflood,pit;
- αP = the pickup coefficient of equilibrium for a suspended load transport (αp < 1 for suspended load); αp = 1 for bed load;
- αD,b = the trapping coefficient of equilibrium for a bed load transport (αD = 1 for bed load transport);
- αD,s = the trapping coefficient of equilibrium for a suspended load transport (αD < 1);
- tanα = the downstream slope gradient of a near-field scour pit (1 to 7);
- Δttide = αtide Ttide = the effective time step of 1 tide; Ttide = the duration of a tidal cycle (≅12 h); αtide = the efficiency coefficient (velocities around slack tide are too small to cause substantial erosion; αtide ≅ 0.4–0.6; this coefficient only affects the short term scour depth; it does not affect the long term scour depth).
- , αu = the velocity increase factor related to the structure (range 1–1.3; input value),
- n = the exponent (range 0.5–1; continuity gives n = 1; lower n-value gives higher velocity in pit and thus more pickup),
- αr = the turbulence factor related to structure, ro = the initial turbulence effect close to structure (input), ro decreases weakly for increasing scour depth (ro = 0.1, 0.2, 0.3 for Dpile/ho or hstructure/ho = 0.1, 0.3, 0.5; ro,max = 0.3) and αs = the coefficient influencing the turbulence factor (≅0.3 reduction of turbulence in the scour pit; 0 = the turbulence factor is constant in the scour pit).
5.3. Free Scour near the Monopile: The SEDSCOUR Model’s Results (Cases A to D)
5.4. Free Scour near Jacket Structure: The SEDSCOUR Model’s Results (Case E)
5.5. Free Scour Along a Caisson Type Structure: The SUSTIM2DV Model’s Results (Case F)
5.5.1. General
5.5.2. Computed Flow Field of the DELFT3D Model
5.5.3. Computed Erosion in a Stream Tube Along the Flank of Caisson
6. Summary and Conclusions
Author Contributions
Funding
Data Availability Statement
Conflicts of Interest
References
- Breusers, H.N.C.; Nicollet, G.; Shen, H.W. Local scour around cylindrical piers. J. Hydr. Res. 1977, 15, 211–252. [Google Scholar] [CrossRef]
- Melville, B.W. Scour at Bridge Sites; Civil Engineering Practice, 2; Technomic Publishing Company: Lancaster, PA, USA, 1988; pp. 327–362. [Google Scholar]
- Melville, B.W.; Sutherland, A.J. Design method for local scour at bridge piers. J. Hydraul. Eng. ASCE 1988, 114, 1210–1226. [Google Scholar] [CrossRef]
- Kothyari, U.C.; Ranga Raju, K.G.; Garde, R.J. Live-bed scour around cylindrical bridge piers. J. Hydr. Res. IAHR 1992, 30, 701–715. [Google Scholar] [CrossRef]
- Melville, B.W. Pier and abutment scour: Integrated approach. J. Hydraul. Eng. 1997, 123, 125–136. [Google Scholar] [CrossRef]
- Lim, S.Y. Equilibrium clear-water scour around an abutment. J. Hydraul. Eng. 1997, 123, 237–243. [Google Scholar] [CrossRef]
- Melville, B.W.; Coleman, S.E. Bridge Scour; Water Resources Publications: Littleton, CO, USA, 2000. [Google Scholar]
- Rees, J.; Larcombe, P.; Vivian, C.; Judd, A. Scroby Sands Offshore Wind Farm—Coastal Processes Monitoring; Cefas Lowestoft Laboratory: Lowestoft, UK, 2006. [Google Scholar]
- Rudolph, D.; Raaijmakers, T.; Stam, C.J. Time-dependent scour development under combined current and wave conditions; hindcast of field measurements. In Proceedings of the 4th International Conference on Scour and Erosion, Tokyo, Japan, 5–7 November 2008. [Google Scholar]
- Raaijmakers, T.C.; Van Velzen, G.; Riezebos, H.J. Dynamic scour prediction for offshore monopiles. In Proceedings of the 7th International Conference Scour and Erosion, Perth, Australia, 2–4 December 2014. [Google Scholar]
- Whitehouse, R.S.J. Marine scour at large foundations. In Proceedings of the 2nd International Conference on Scour and Erosion, Singapore, 14–17 November 2004. [Google Scholar]
- Whitehouse, R.; Harris, J.; Sutherland, J.; Rees, J. An assessment of field data for scour at offshore wind turbine foundations. In Proceedings of the Fourth International Conference on Scour and Erosion, Tokyo, Japan, 5–7 November 2008. [Google Scholar]
- Whitehouse, R.; Harris, J.; Sutherland, J. Evaluating scour at marine gravity structures. HR Wallingford. ICE-Marit. Eng. 2012, 164, 143–157. [Google Scholar] [CrossRef]
- Simons, R.R.; Weller, J.; Whitehouse, R.J.S. Scour development around truncated cylindrical structures. In Coastal Structures 2007, Proceedings of the 5th Coastal Structures International Conference, CSt07, Venice, Italy, 2–4 July 2007; Franco, L., Tomasicchio, G.R., Lamberti, A., Eds.; World Scientific: Singapore, 2007; pp. 1881–1891. [Google Scholar]
- Tavouktsoglu, N.S. Scour and Scour Protection Around Offshore Gravity-Based Foundations. Ph.D. Thesis, University College, London, UK, 2017. [Google Scholar]
- Sarmiento, J.; Guanche, R.; Losada, I.J.; Serna, J. Experimental analysis of scour around an offshore wind gravity base foundation. Ocean. Eng. 2024, 308, 118330. [Google Scholar] [CrossRef]
- Rudolph, R.; Bos, K.J.; Luijendijk, A.P.; Rietema, K.; Out, J.M.M. Scour Around Offshore Structures—Analysis of Field Measurements; Deltares: Delft, The Netherlands, 2004. [Google Scholar]
- Bolle, A.; de Winter, J.; Goossens, W.; Haerens, P.; Dewaele, G. Scour monitoring around offshore jackets and gravity based foundations. In Proceedings of the Sixth International Conference on Scour and Erosion, ICSE 6, Paris, France, 27–31 August 2012. [Google Scholar]
- Baelus, L.; Bolle, A.; Szengel, V. Long term scour monitoring around offshore jacket foundations on a sandy seabed. In Proceedings of the Ninth International Conference on Scour and Erosion, ICSE 9, Taipei, Taiwan, 5–8 November 2018. [Google Scholar]
- Welzel, M.; Schendel, A.; Schlurmann, T.; Hildebrandt, A. Volume-based assessment of erosion patterns around a hydrodynamic transparent offshore structure. Energies 2019, 12, 3089. [Google Scholar] [CrossRef]
- Welzel, M.; Schendel, A.; Hildebrandt, A.; Schlurmann, T. Scour development around a jacket structure in combined waves and current conditions compared to monopile foundations. Coast Eng. 2019, 152, 103515. [Google Scholar] [CrossRef]
- Welzel, M.; Schendel, A.; Goseberg, N.; Hildebrandt, A.; Schlurmann, T. Influence of structural elements on the spatial sediment displacement around a jacket-type offshore foundation. Water 2020, 12, 1651. [Google Scholar] [CrossRef]
- Welzel, M.; Schlendel, A.; Satari, R.; Neuweiler, I.; Schlurmann, T. Spatio-temporal analysis of scour around complex offshore foundations under clear water and live bed conditions. Ocean. Eng. 2024, 298, 117042. [Google Scholar] [CrossRef]
- Zhang, J.; Zhang, P.; Guo, Y.; Ji, Y.; Fu, R. Large eddy simulation of the flow field characteristics around a jacket foundation under unidirectional flow actions. Ocenan Eng. 2025, 137, 120057. [Google Scholar] [CrossRef]
- Chambel, J.; Fazeres-Ferradosa, T.; Miranda, F.; Bento, A.M.; Taveiro-Pinto, F.; Lomonaco, P. A Comprehensive Review on Scour and Scour Protections for Complex Bottom-Fixed Offshore and Marine Renewable Energy Foundations. Ocean. Eng. 2024, 304, 117829. [Google Scholar] [CrossRef]
- Miles, J.; Martin, T.; Goddard, L. Current and wave effects around windfarm monopile foundations. Coast. Eng. 2017, 121, 167–178. [Google Scholar] [CrossRef]
- Van Rijn, L.C.; Meijer, K.; Dumont, K.; Fordeyn, J. Practical 2DV modelling of deposition and erosion of sand and mud in dredged channels due to currents and waves. J. Waterw. Port Coast. Ocean. Eng. 2024, 150, 04024002. [Google Scholar] [CrossRef]
- Van Rijn, L.C.; Meijer, K.; Dumont, K.; Fordeyn, J. Simulation of sand and mud transport processes in currents and waves by time-dependent 2DV model. Int. J. Sediment Res. 2024, 40, 1–14. [Google Scholar] [CrossRef]
- Van Rijn, L.C. Principles of Sediment Transport in Rivers, Estuaries and Coastal Seas; Aqua Publications: Amsterdam, The Netherlands, 1993. [Google Scholar]
- Van Rijn, L.C. Unified view of sediment transport by currents and waves, I: Initiation of motion, bed roughness, and bed-load transport. J. Hydraul. Eng. 2007, 133, 649–667. [Google Scholar] [CrossRef]
- Van Rijn, L.C. Unified view of sediment transport by currents and waves, II: Suspended transport. J. Hydraul. Eng. 2007, 133, 668–689. [Google Scholar] [CrossRef]
- Sheppard, D.M.; Miller, W. Live-Bed local pier scour experiments. J. Hydraul. Eng. ASCE 2006, 132, 635–642. [Google Scholar] [CrossRef]
- Sheppard, D.M. Large Scale and Live Bed Local Pier Scour Experiments (Phase 1); Final Report; Florida Department of Transportation FDOT: Tallahassee, FL, USA, 2003. [Google Scholar]
- Deltares. Scour and Scour Mitigation; Hollandse Kust Zuid Wind Farm Zone: Delft, The Netherlands, 2017. [Google Scholar]



















| Parameter | Monopile | Caisson with Monopile (GBS) | Jacket Structure |
|---|---|---|---|
| Structure dimensions | Dpile = 0.11 m (pile diameter) | Dcaisson = 0.32 m; Dpile = 0.11 m hcaisson = 0.1 m; hskirt = 0.035 m (caisson was placed on top of bed; skirt was in the bed) | Dleg = 0.02 m Dcrossmember = 0.01 m Lbase = 0.365 m (distance legs) |
| Water depth | 0.35 m | 0.35 m | 0.35 m |
| Upstream current | 0.26 m/s | 0.27 m/s | 0.26 m/s |
| Parameter | Monopile | Caisson with Monopile (GBS) | Jacket Structure |
|---|---|---|---|
| Maximum scour depth | 0.12 m (≅1.1 Dpile) | 0.10 m (≅1.0 hcaisson) (0.3 Dcaisson) | 0.05 m near legs (≅ 2.5 Dleg) 0.03 m (≅ 1.5 Dleg) in middle structure |
| Maximum scour length | 0.35 m (≅3 Dpile) on both sides of pile | 0.3 m (1 Dcaisson) on both sides | 0.20 m (≅10 Dleg) on both sides of leg |
| Test | Current | Measured Scour Depth | Computed Scour Depth | Bed and Suspended Load Coefficients | Bed Roughness | Turbulence Coefficient | Velocity Increase Coefficient | Pickup Coefficient | Trapping Coefficient | Scour Length Coefficient | Time Scale |
|---|---|---|---|---|---|---|---|---|---|---|---|
| uo (m/s) | ds,max (m) | ds,max (m) | γb, γs (-) | ks (m) | ro (-) | αu (-) | αP (-) | αD (-) | αL (-) | Tscour (Hours) | |
| 1 | 0.17 | 0.13 | 0.1 | default = 1 | 0.03 | 0.4 | 1.4 | 1 | 0.5 | 3 | 200 |
| 2 | 0.62 | 0.22 | 0.21 | default = 1 | 0.03 | 0.3 | 1.4 | 1 | 0.5 | 3 | 2 |
| 8 | 0.69 | 0.23 | 0.22 | default = 1 | 0.03 | 0.3 | 1.4 | 1 | 0.5 | 3 | 1 |
| 3 | 0.88 | 0.24 | 0.23 | default = 1 | 0.02 | 0.3 | 1.4 | 1 | 0.5 | 3 | <1 |
| 4 | 1.10 | 0.25 | 0.255 | default = 1 | 0.01 | 0.3 | 1.4 | 1 | 0.5 | 3 | <1 |
| 5A | 1.26 | 0.27 | 0.26 | default = 1 | 0.005 | 0.3 | 1.4 | 1 | 0.5 | 3 | <1 |
| 5B | 1.43 | 0.27 | 0.275 | default = 1 | 0.003 | 0.3 | 1.4 | 1 | 0.5 | 3 | <1 |
| 6 | 1.64 | 0.3 | 0.3 | default = 1 | 0.003 | 0.4 | 1.4 | 1 | 0.5 | 3 | <1 |
| Test | Current | Measured Scour Depth | Computed Scour Depth | Bed and Suspended Load Coefficients | Bed Roughness | Turbulence Coefficient | Velocity Increase Coefficient | Pickup Coefficient | Trapping Coefficient | Scour Length Coefficient | Time Scale |
|---|---|---|---|---|---|---|---|---|---|---|---|
| uo (m/s) | ds,max (m) | ds,max (m) | γb, γs (-) | ks (m) | ro (-) | αu (-) | αP (-) | αD (-) | αL (-) | Tscour (Hours) | |
| 12 | 0.31 | 0.37 | 0.43 | default | 0.03 | 0.2 | 1.2 | 0.7 | 0.5 | 3 | 200 |
| Parameter | Wind Park Q7 North Sea (NL) Case C | Luchterduinen North Sea (NL) Case D | Global and Free Scour L9 Jacket North Sea (NL) Case E |
|---|---|---|---|
| Pile diameter (m) | 4 | 5 | 1.2 |
| Water depth to Mean Sea level (m) | 22.5 | 23 | 22.5 |
| Maximum tidal velocity in spring (m/s) | 0.7 | 0.7 | 0.7 |
| Maximum tidal velocity in neap (m/s) | 0.3 | 0.3 | 0.3 |
| Tidal range (m) | 2 | 2 | 2 |
| Significant wave height Hs (m) and peak period Tp (s) | 1; 7 | 1; 7; 3 storms | 1; 7 |
| Sand diameter d50 (mm) | 0.25 | 0.25 | 0.25 |
| Percentage fines/mud < 63 μm (%) | 5 | 5 | 5 |
| Fall velocity sand ws (m/s) | 0.03 | 0.03 | 0.03 |
| Critical velocity ucr (m/s) | 0.4 | 0.4 | 0.4 |
| Bed roughness ks (m) | 0.03 | 0.03 | 0.05 |
| Velocity increase coefficient αu (-) | 1.3 | 1.3 | 1.3 |
| Turbulence coefficient ro (-) | 0.3 | 0.3 | 0.3 |
| Pickup coefficient αP (-) | 0.7 | 1.2 | 1 |
| Trapping coefficient suspended sand transport αD (-) | 0.7 | 0.7 | 0.5 |
| Pit length coefficient αL (-) | 10 | 10 | 10 |
| Calibration factor bed and suspended load γb, γs (-) | 1 | 1 | 1 |
Disclaimer/Publisher’s Note: The statements, opinions and data contained in all publications are solely those of the individual author(s) and contributor(s) and not of MDPI and/or the editor(s). MDPI and/or the editor(s) disclaim responsibility for any injury to people or property resulting from any ideas, methods, instructions or products referred to in the content. |
© 2025 by the authors. Licensee MDPI, Basel, Switzerland. This article is an open access article distributed under the terms and conditions of the Creative Commons Attribution (CC BY) license (https://creativecommons.org/licenses/by/4.0/).
Share and Cite
van Rijn, L.C.; Geleynse, N.; Perk, L.; Schoonhoven, D. Scour near Offshore Monopiles, Jacket-Type and Caisson-Type Structures. J. Mar. Sci. Eng. 2025, 13, 266. https://doi.org/10.3390/jmse13020266
van Rijn LC, Geleynse N, Perk L, Schoonhoven D. Scour near Offshore Monopiles, Jacket-Type and Caisson-Type Structures. Journal of Marine Science and Engineering. 2025; 13(2):266. https://doi.org/10.3390/jmse13020266
Chicago/Turabian Stylevan Rijn, Leo C., Nathanael Geleynse, Luitze Perk, and Doke Schoonhoven. 2025. "Scour near Offshore Monopiles, Jacket-Type and Caisson-Type Structures" Journal of Marine Science and Engineering 13, no. 2: 266. https://doi.org/10.3390/jmse13020266
APA Stylevan Rijn, L. C., Geleynse, N., Perk, L., & Schoonhoven, D. (2025). Scour near Offshore Monopiles, Jacket-Type and Caisson-Type Structures. Journal of Marine Science and Engineering, 13(2), 266. https://doi.org/10.3390/jmse13020266
