Abstract
The hydrodynamic pressure field and wake field generated by an advancing underwater vehicle are used as key factors for its detection and identification. In this paper, a numerical method is established based on the Reynolds-averaged Navier–Stokes equation. Following grid convergence verification for seven kinds of grids, the differences between the hydrodynamic pressure field and wake field are investigated using the gridding method and turbulence model. Subsequently, on a validation basis, the characteristics and correlation of the hydrodynamic pressure field and wake field for an underwater vehicle at different water depths are studied, showing that the SST turbulence model is applicable to underwater vehicle hydrodynamic pressure fields with low grid requirements. A high grid density and the LES turbulence model are needed to accurately capture information about the wake field’s flow field. As the underwater vehicle approaches the bottom, the hydrodynamic pressure field characteristics change significantly, and the wake field characteristics do not significantly change. In the region behind the hull, the influence of the wake field on the hydrodynamic pressure field is complex, but it has a short acting distance. The correlation in the area behind the hull is crucial for identifying, detecting, and tracking targets.
1. Introduction
Underwater vehicles (UVs) are an important underwater combat platform and play a vital role in modern naval warfare due to their concealment and maneuverability. For a long time, countries with the ability to build UVs made unremitting efforts to develop noise reduction and stealth technologies. With reductions in the noise made by UVs from various countries, the development of multi-physical field UV detection, identification, and tracking technologies has become a focus of research [1]. The hydrodynamic pressure field generated by UV navigation, due to its hard-to-eliminate characteristics, has become one of the crucial factors for detecting and identifying UVs and is widely applied in mine fuse design [2], while a UV’s wake field is a fundamental manifestation of its hydrodynamic performance. Various countries have been gradually exploring the use of wake fields to detect, identify, and track targets. Recently, a variety of underwater bionic sensors have been developed with flow field-sensing functions that can be used for the identification and detection of underwater vehicles [3,4,5,6]. Therefore, research on the modeling and characteristics of UV hydrodynamic pressure and wake fields and the correlation between the two for joint detection is of great significance for enhancing the effectiveness of UVs in tactical applications.
In the past few decades, many scholars have conducted different studies on hydrodynamic pressure fields. Li et al. [7] established a mathematical model of a submarine water pressure field by using potential flow theory. The Hess–Smith method was used to distribute the surface source on the surface of the hull, and the change in underwater pressure was numerically calculated. The experimental results of comparative studies indicated that the two were in good agreement. Subsequently, Ma et al. [8] calculated the distribution of a submarine’s hydrodynamic pressure field and the relationship between the submarine and seabed using commercial software and proposed a new discrimination method for submarine hydrodynamic pressure fields based on the combination of the negative pressure duration and the moving speed of the UV. Song et al. [9] took the DARPA SUBOFF as a research object and conducted a motion calculation of the UV through the dynamic grid model of the layering method. They found that the influence of appendages on the characteristics of the submarine hydrodynamic pressure field could be ignored. Deng et al. [10,11] researched ship hydrodynamic pressure fields using self-programming and commercial software. They established a numerical calculation system for hydrodynamic pressure fields in different environments, at different speeds, and in various motion states. Subsequently, they used potential flow theory to construct a rapid prediction model for submarine hydrodynamic pressure fields, revealing the influence laws of dive depth, submarine shape, and other factors on the negative pressure peak and negative pressure duration.
Regarding the research on wake fields, Posa et al. [12,13] carried out numerical calculations using large eddy simulations (LESs) and employed hundreds of millions of grid cells to capture all significant flow characteristics. They concluded that the wake was mainly influenced by the shear layer at the edge of the fin wake and the turbulent boundary layer developing along the stern. Lungu et al. [14] utilized detached eddy simulations (DESs) for numerical computations and analyzed the relationship between the pressure field on the DARPA SUBOFF’s hull surface and the velocity field behind the hull at different speeds. They found that flow separation usually occurred where the pressure gradient on the hull surface changed markedly, resulting in the local low-pressure area triggering the formation of vortices. Huang et al. [15] employed the Reynolds-averaged Navier–Stokes (RANS) method to calculate submarine wake and free surface characteristics under stratified fluid conditions. Through comparisons with four aspects, namely, drag force, downstream wakes, internal waves, and free surface signatures under homogeneous conditions, they discovered that the internal waves excited by the submarine’s movement and the anisotropic turbulence generate specific features on the water surface. Qu et al. [16] improved the LES method by using the boundary data immersion method (BDIM) and focused on the evolution of the junction and tip flows on the body of the DARPA SUBOFF. They found three large-scale vortex structures, namely the horseshoe, hairpin, and necklace vortices, and found that the rotation is dominant in the vortex distribution profile. Morse et al. [17] studied different scales of DARPA SUBOFF models using LES and the influence of different tripping wires on the development of the turbulent boundary layer and analyzed the influence of both on the statistical characteristics, thickness, turbulent structure, and momentum balance of the boundary layer. They found that the tripping wire height had a significant impact on the transition and subsequent development of the boundary layer.
In conclusion, although scholars have separately conducted some studies on the characteristics of the hydrodynamic pressure field and the wake field generated by UV navigation, there are still some gaps in the current research. Most of the studies tend to focus on the analysis of a single physical field, while lacking an in-depth exploration of the interaction and correlation between multiple physical fields. Therefore, the research in this paper is of great significance, not only in filling the gaps in the existing research, but also in providing theoretical and technical support for the UV’s underwater combat capability. Therefore, the modeling and characteristics of the hydrodynamic pressure field and the wake field of UV navigation are studied in this paper. The modeling differences between the two are compared through verification studies and the possible connection between them is explored. Furthermore, the differences in the laws governing the changes in the hydrodynamic pressure field and the wake field are analyzed in relation to important factors such as the distance from the seabed and the UV’s speed.
The rest of this paper is as follows: Section 2 presents the theoretical model including the governing equations and turbulence modeling. Section 3 describes the geometrical model of the study object and the numerical model setup. The results are discussed in Section 4. Finally, conclusions are drawn in Section 5.
2. Theoretical Model
2.1. Governing Equations
The numerical calculations in this study were performed with CFD software STAR-CCM+ 2402. Considering the essential differences between the RANS and LES methods in dealing with turbulent flow [18], both numerical methods are used in this paper. Governing equations for all calculations are discretized in space through the finite volume method and in time through a second-order implicit time discretization. The continuity equation for incompressible viscous fluid is as follows:
The momentum equation is as follows:
where is the velocity; is the body force of unit mass; the subscripts = 1, 2, 3 and = 1, 2, 3 denote the components of the fluid particles in the x-axis, y-axis, and z-axis directions, respectively; is the fluid density; p is the fluid pressure; t is time; and is the kinematic viscosity of the fluid.
2.2. Turbulence Model Selection
- Turbulence model of RANS:
In this paper, the RANS method was chosen to calculate the pressure coefficients of the hydrodynamic pressure field and the wake velocity components of the wake field. The RANS method deals with turbulence through the time-averaged NS equations, which decompose the flow into a mean flow and turbulent fluctuations. It solves only the averaged part of the flow, while the effects of turbulent fluctuations are described through a turbulence model. Based on previous studies and the references in [19,20,21,22], the SST turbulence model (where k is the turbulent kinetic energy and ω is the specific dissipation) was selected for the calculation in this paper; it is more suitable for calculating the hydrodynamic pressure field and the wake field. It involves two basic turbulence equations: the equation for the turbulent kinetic energy k and the equation for the specific dissipation ω. These two equations were combined with a cross-term to describe the transport of the turbulent shear stress. The following are the basic equations of the SST turbulence model:
where and are the turbulence production terms for k and ω, respectively; is the mean velocity; μ is the dynamic viscosity; is the turbulent eddy viscosity; , , , and are model coefficients; is the free shear correction factor; is the turbulence extension correction factor; k0 and ω0 are the environmental turbulence values that prevent turbulence attenuation; and Sk and Sω are the source terms. In this paper, takes the value of 0.09, and both and take the value of 1.
- Subgrid-scale model for LESs:
The LES method was chosen to calculate the fine vortex structure in the wake field. This solves NS equations by spatially filtering the flow and decomposing it into large-scale vortices (which can be resolved via a computational grid) and small-scale vortices (which require a model to be simulated). LES aims to simulate large-scale vortices directly, whereas the effects of small-scale vortices are described by a subgrid-scale (SGS) model. Therefore, the Smagorinsky SGS model was chosen for this study. The of the Smagorinsky SGS model is as follows:
where is the length scale or grid filter width and is the strain rate tensor. Additionally, is directly related to the volume of the grid cell and the wall distance d and is defined as follows:
where is the Van Driest damping function; is the model coefficient; and is the von Karmen constant. In this paper, takes the value of 0.1 and takes the value of 0.41.
3. Computation Overview and Validation
3.1. Problem Description
Assume that the UV is cruising in the ocean at a constant speed V, where the water depth is h. The distance between the UV’s longitudinal axis and the seabed is H (hereinafter referred to as the “bottom distance”), and the distance from the UV to the surface of the water is . The motion coordinate system o-xyz is established as depicted in Figure 1. This coordinate system is defined as a right-handed coordinate system with the coordinate origin o at the UV’s bow, the x-axis pointing towards the UV’s tail as positive, and the z-axis pointing vertically upward as positive. When studying the UV’s constant-speed navigation, the UV is held stationary, and the incoming flow velocity at infinity is set as . Considering the symmetry of the UV’s geometry and the flow field, only half of the UV was taken for calculation in this paper to reduce the calculation workload. All simulations were performed on an Intel(R) Xeon(R) Gold 6154@3.00 GHz, 768 GB RAM, 36 core supercomputing platform.
Figure 1.
Schematic diagram of computational domain and coordinates.
3.2. UV Models
Considering that there are no currently publicly disclosed experimental results for the hydrodynamic pressure field and wake field of the same UV, the numerical methods used in this study for the hydrodynamic pressure field and wake field were validated separately with publicly available experimental results to ensure their reliability. For the validation of the hydrodynamic pressure field, model C in reference [23] was adopted. This model is a simple rotary body with a length of L = 2.4 m and a width of B = 0.2 m. For the validation of the wake field, DARPA SUBOFF AFF-8 with a large amount of publicly available experimental data was used. This model was built by the David Taylor Research Center (DTRC) in the United States. Countries have conducted a large number of experimental studies on DARPA SUBOFF [24,25], which can be used for the validation of the wake field numerical method. The actual DARPA SUBOFF has a total length of 104.5 m, and a reduced model with a scale of 1:24 was adopted to obtain a fully appended model of AFF-8. The full-size length of the hull is L = 4.356 m, the parallel middle body length is 2.229 m, the maximum radius of the hull is R = 0.254 m, the chord length of the sail is 0.386 m and the height is 0.206 m, and the upper part is a convex top cover. The four tail fins are symmetrically arranged in the tail of the model, and the profiles are all NACA 0020 airfoils, as shown in Figure 2.
Figure 2.
Diagram of geometric model of AFF-8.
3.3. Reliability Validation for the Hydrodynamic Pressure Field
First, model C was employed for research on the accuracy of the hydrodynamic pressure field numerical method. The calculation domain was established, as shown in Figure 3. The upstream inflow boundary is located 1.5 L away from the body, the downstream outflow boundary is 3 L away from the body, and the width of the calculation domain is 1 L. It is assumed that the axis of the body is 0.2 L from the seabed, and the UV moves at a constant depth with a velocity of V = 1.5 m/s (Re = 4.041 × 106). According to the relativity of motion, this velocity is equivalent to the body being stationary, and the inflow is set to flow towards the body at a velocity of 1.5 m/s. The inlet boundary condition is set as the velocity inlet; the outlet boundary condition is set as the pressure outlet; and the top, bottom, and side boundaries are set as the slip wall [26]. Spatial discretization was conducted based on the trimming grid and the prism layer grid, and the positions where the flow field information needs to be captured were intensified. The y+ of the grid boundary layer was changed by adjusting the size of the first-layer grid cell
where y is the distance from the first grid cell to the wall and is the wall shear stress. The thickness of the first-layer grid cell is 0.012 m, the number of boundary layers is 5, the grid growth rate is 1.3, and the averaged value of the dimensionless distance y+ is 63.1. The grid division is also shown in Figure 3.
Figure 3.
Schematic diagram of computational domain and grid refinement of model C.
3.3.1. Verification of Grid Convergence of Hydrodynamic Pressure Field
To ensure the reliability and efficiency of the calculation [27], the grid convergence was verified. The basic size of the grid cell was set as 0.192 m, and four sets of grids were drawn with a growth rate of to conduct the grid convergence test. The results are presented in Table 1. In the table, Rtot represents the resistance and represents the resistance coefficient; these were used as parameters to verify grid convergence. The resistance coefficient is defined as follows:
Table 1.
Grid convergence analysis of hydrodynamic pressure field.
It can be seen from Table 1 that the errors of the four sets of grids are all below 1.5%. When the grid cell size is reduced to Grid 3, the change in the total resistance is very small. Therefore, considering factors such as calculation accuracy and efficiency, Grid 3 was selected for subsequent validation calculations. The time step was set to 0.015 s.
3.3.2. Validation of the Hydrodynamic Pressure Field
To validate the accuracy of the hydrodynamic pressure field numerical method, the longitudinal pressure curves of the bottom were taken for validation, and the calculated and experimental results were compared [23], as shown in Figure 4. The pressure coefficient Cp is defined as follows:
Figure 4.
Comparison between calculated and experimental results [23] of longitudinal pressure curves.
Figure 4 shows that the calculated and experimental results are in high agreement in most areas. The calculation model can effectively replicate the phenomena observed in the experiment in terms of both the curve trends and the specific values of the hydrodynamic pressure field. This indicates that the calculation model in this paper has a high accuracy and reliability in simulating the hydrodynamic pressure field in the flow field.
3.4. Reliability Validation for the Wake Field
Using the same settings as in Section 3.3, such as the calculation domain, grid, time step, and turbulence model, DARPA SUBOFF was replaced as the calculation model to compare and investigate the differences between the modeling of the hydrodynamic pressure field and the wake field. Considering the different characteristics of wake fields and hydrodynamic pressure fields, based on the previous gridding method, the intersection of the sail and the stern appendage, as well as other appendages with the complex flow of DARPA SUBOFF, was refined. The resulting grid is named Grid 5, and is shown in Figure 5.
Figure 5.
Schematic diagram of computational domain and grid refinement of DARPA SUBOFF.
3.4.1. Verification of Grid Convergence of Wake Field
Based on Grid 5, the medium grid, a coarse grid (Grid 6) and a fine grid (Grid 7) were produced for grid convergence verification with a growth rate of . A comparison between on the propeller disk (at x/L = 0.978 in Figure 2) at r/R = 0.25 calculated using three sets of grids and the experimental values [24] is presented in Figure 6. In the figure, is the dimensionless velocity component of the velocity vector in the x-axis direction; R is the maximum radius of the model; r is the radius of the measurement position; the circumferential angle is at the top of the symmetric plane; and the circumferential angle is at the bottom of the symmetric plane.
Figure 6.
Comparison between calculated and experimental results [24] of different grid densities of on propeller disk.
Figure 6 shows that the calculated results based on the coarse grid (Grid 6) deviate significantly from the experimental ones, and there is a clear phenomenon of data oscillation. This is because the space is discretized by grids, and a grid cell corresponds to a calculated value, which may be discontinuous when the flow in the region is complex but the grid density is not sufficient. It can also be seen that the medium grid (Grid 5) and fine grid (Grid 7) match the experimental results better at the bottom of the curves and have less data oscillation, and thus can accurately calculate the wake field of DARPA SUBOFF.
The time steps for grid convergence verification are set to 0.01 s; the results are presented in Table 2. Once the number of grid cells is increased to that of Grid 5, further increasing the number of grid cells leads to a difference in the drag force of less than 0.5%. Therefore, considering factors such as calculation accuracy and efficiency, Grid 5 was adopted for subsequent studies.
Table 2.
Grid convergence analysis of wake field.
3.4.2. Validation of Wake Field
Here, the same Reynolds number Re = 1.2 × 107 was set for calculation as in reference [24]. The comparisons of the pressure coefficient Cp and the skin friction coefficient Cf on the meridian of the hull, the pressure coefficient Cp at 10% and 90% heights of the sail, and the wake velocity components at the propeller disk are presented in Figure 7, Figure 8 and Figure 9, respectively. In the figures, vy and vz are the dimensionless velocity components along the y-axis and z-axis directions, respectively. The skin friction coefficient Cf is defined as follows:
Figure 7.
Comparison between calculated and experimental results [24] of pressure coefficient (a) and skin friction coefficients (b) along upper meridian line.
Figure 8.
Comparison between calculated and experimental [24] results of pressure coefficient at 10% height (a) and 90% height (b) of sail.
Figure 9.
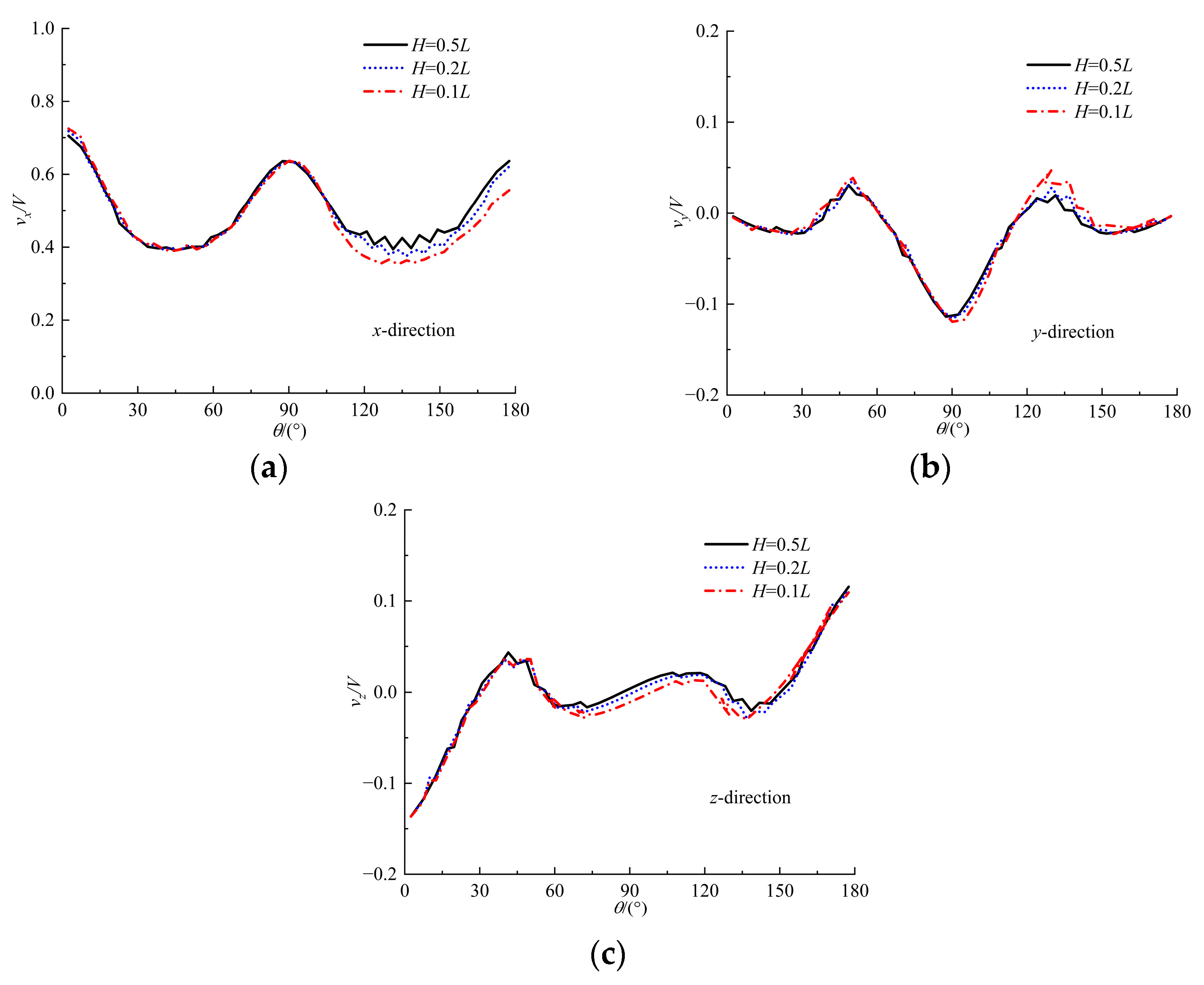
Comparison between calculated and experimental results [24] of (a), (b), and (c) at r/R = 0.25 on propeller disk.
As can be seen from Figure 7 and Figure 8, the calculated and experimental results are in good agreement, except for very few monitoring points near the sail and the stern appendage and other appendages that deviate slightly from the curve. This is because the flow conditions in these positions are complex. Thus, a continuous and dense arrangement of measurement points is needed to capture them. Therefore, it is practical to calculate the wall force using the calculation model in this paper. It can be further seen from Figure 9 that the overall variation trends of the calculated and experimental results are consistent, and there is only a small difference in very few places. For instance, the calculated values exhibit a slight oscillation in the range of 120° to 150° in the x-direction and 130° to 150° in the z-direction. This is because, for the calculation of the wake field, there are still insufficient monitoring points in the complex flow region of this grid. Overall, it can be concluded that this numerical method is reliable for conducting research on wake fields.
4. Discussion
In the previous section, the reliability and accuracy of the method in this study for calculating the hydrodynamic pressure field and wake field were validated. Therefore, the method was used further in this section to explore the characteristics of these two physical fields and the relationship between them. DARPA SUBOFF AFF-8 was chosen as the calculation model. First, two different calculations were carried out using H = 0.1 L and 0.2 L at the same speed (V = 3.05 m/s, Re = 1.2 × 107), and then calculations using two different speeds V = 5.144 m/s and V = 6.095 m/s were carried out using H = 0.1 L to study the characteristics of the hydrodynamic pressure field and wake field of the UV and explore the relationship between the two physical fields.
4.1. Hydrodynamic Pressure Field Characteristics
The detection of pressure mines depends on sensitivity to variations in the hydrodynamic pressure. Characteristics such as the negative pressure peak and negative pressure duration are the primary criteria for their detonation [28]. Therefore, an in-depth exploration of the characteristics of the hydrodynamic pressure field of UVs is crucial for enhancing the efficiency and accuracy of mine detection.
The distribution of the hydrodynamic pressure field at different H is illustrated in Figure 10 and Figure 11. It can be observed from both the two-dimensional and three-dimensional graphs that the influence of the bottom becomes stronger and the shape of the negative pressure region gradually transforms from a single-peak “V” shape to a double-peak “W” shape as H decreases. The reason for this change is that when the UV is advancing with H continuously decreasing, the velocity in the flow field at the bow and stern of the UV suddenly changes, leading to a sharp alteration in the hydrodynamic pressure field; this phenomenon becomes increasingly prominent as H decreases. The positive pressure region of Cp gradually emerges as H decreases. From having no positive pressure area at H = 0.5 L to two positive pressure areas appearing near the bow and stern at H = 0.2 L, the positive pressure peak is slightly smaller than the negative pressure peak. Then, the positive pressure peak increases notably at H = 0.1 L, and the change trend of the positive pressure area becomes steeper.
Figure 10.
Comparison of calculated results of longitudinal pressure curves for H = 0.5 L, H = 0.2 L, and H = 0.1 L.
Figure 11.
Three-dimensional distribution of hydrodynamic pressure field for H = 0.5 L (a), H = 0.2 L (b), and H = 0.1 L (c).
Further studies were carried out on the variation rule of the negative pressure peak |Cpmin| in the hydrodynamic pressure field under different H with y, and the changes in negative pressure peak with depth under different y were analyzed. In the results presented in Figure 12, the negative pressure peaks of the three H of 0.1 L, 0.2 L, and 0.5 L, respectively, show a trend of attenuation with the gradual increase in y; however, the pressure of the near-bottom advancing with H = 0.1 L showed a nonlinear characteristic, with an initially rapid decline that suddenly slowed with y, while other attenuation curves showed approximately linear characteristics.
Figure 12.
Change in |Cpmin| with transverse distance under different H values.
To further investigate the effect of different speeds on the hydrodynamic pressure field, Cp curves for different speeds at y = 0 L are plotted in Figure 13 for different speeds; they are almost identical. Cp is dimensionless pressure, from which it can be inferred that the speed has no effect on the characteristics of the hydrodynamic pressure field.
Figure 13.
Comparison of calculated Cp curves at different speeds.
4.2. Wake Field Characteristics
Underwater bionic flexible sensing technology can not only identify the hydrodynamic characteristics of pressure, velocity, and vortex wake in the flow field with high sensitivity [29,30,31], but can also accurately detect and track targets. When a UV navigates underwater, it will generate a specific wake pattern. This pattern can be combined with the underwater bionic flexible sensing technology to detect and track the position of the UV. Therefore, there is clear significance in ascertaining these characteristics.
The comparison results of velocity components in three directions at the circumferential position of r/R = 0.25 on the propeller disk under the three cases of H = 0.1 L, 0.2 L, and 0.5 L are presented in Figure 14. Figure 14 shows that the velocity components in the x and y directions are relatively small within the range of 0° to 90°, while that in z-direction is relatively small within the range of 0° to 60° under the three cases. This is because, by definition, the range of 0° to 90° for the propeller disk is above the horizontal stern appendages, and the calculation only changes the H, so there is almost no influence on the flow field within this range. Figure 14a shows that, within the range of 100° to 180°, the velocity components in the x-direction decrease noticeably as H continuously decreases. When H = 0.1 L, they decrease the most at around 120°, by approximately 0.076; when H = 0.2 L, they decrease the most at around 135°, by approximately 0.049. In the range of 100° to 160°, there is some wiggle, which is caused by the lack of monitoring points in this area due to the scale of this grid cell not being small enough. Figure 14b shows that, within the range of 90° to 120°, the velocity components in the y-direction only decrease slightly as H continuously decreases. When H = 0.1 L, they decrease the most at around 118°, by approximately 0.012; when H = 0.2 L, they decrease the most at around 109°, by approximately 0.010. Within the range of 120° to 180°, the velocity components in the y-direction increase as H decreases. When H = 0.1 L, they increase the most at around 128°, by approximately 0.036; when H = 0.2 L, they also increase the most at around 128°, by approximately 0.016. The curve for H = 0.1 L is not very smooth around 120°, which may be due to the near-bottom advancing at this condition, and the existence of the bottom causes a drastic change in the wake flow near here. Figure 14c shows that, within the range of 60° to 150°, the velocity components in the z-direction decrease slightly as H continuously decreases. When H = 0.1 L, they decrease the most at around 149°, by approximately 0.014; when H = 0.2 L, they decrease the most at around 149°, by approximately 0.002. In conclusion, changing H may only have a minor impact on the velocity components of the lower part of the UV.
Figure 14.
Comparison of calculation results for different H of (a), (b), and (c) at r/R = 0.25 on propeller disk.
Contour plots of the wake fraction of the UV at the propeller disk under different H are presented in Figure 15. It shows that the shape of the wake contour line changes insignificantly in comparison with the upper half of the horizontal stern appendages. However, the outer wake contour line of the lower half of the horizontal stern appendages gradually widens as H decreases, and the entire outer contour line gradually transforms from a circular shape to a parabolic shape. The width of the denser part of the center wake contour line becomes progressively smaller. It decreases from 0.442 m at H = 0.5 L to 0.437 m at H = 0.1 L, and the shape gradually changes from a circular shape to an elliptical one.
Figure 15.
Contours of wake fraction for H = 0.5 L (a), H = 0.2 L (b), and H = 0.1 L (c) at r/R = 0.25 on propeller disk.
To further investigate the effect of different speeds on the wake field, wake fractions at different speeds were compared, as shown in Figure 16. There is almost no difference in the shape and value of x/L = 0.978 or x/L = 1.1. Furthermore, is the dimensionless velocity, so it also can be inferred that there is almost no effect of different speeds on the wake fraction of the wake field.
Figure 16.
Distribution of axial wake field in yoz plane at x/L = 0.978 and x/L = 1.1.
To further grasp more detailed data and vortex structures in the wake, an LES was employed to conduct the calculation. Figure 17 shows the vortex structures around DARPA SUBOFF, which were identified and extracted using a normalized iso-surface (Q = 5), and a streamwise velocity distribution is demonstrated on the vortex structures. It can be observed that there are three main types of vortex structure near the hull: a horseshoe vortex, a hairpin vortex, and a wake vortex. The horseshoe vortex is generated at the junction of the sail and the hull, and it flows downstream in the form of a high-intensity U-shaped structure. Hairpin vortices can be seen on both sides behind the horseshoe vortex, and their velocities are highly unstable. Moreover, under the interaction between the horseshoe vortex and the hairpin vortex, the hairpin vortex will continuously bend and deform as it develops along the moving direction. Meanwhile, a complex wake vortex structure can be captured at the stern of the UV; its shape is similar to that of the hairpin vortex, and its velocity is also extremely unstable. Additionally, a vortex structure resembling a necklace gradually detaches from the top of the sail and dissipates backward along the moving direction. In conclusion, there are various complex vortex structures around the hull and in the wake region, and their shape and velocity properties are constantly changing.
Figure 17.
Vortex structures around DARPA SUBOFF presented using iso-surfaces with normalized Q = 5.
4.3. Relationship Between Hydrodynamic Pressure Field and Wake Field
A change in hydrodynamic pressure can reflect the direct impact of the target on the surrounding water body, while the wake can reveal the long-distance effect caused by the target’s movement. By using the hydrodynamic pressure field and the wake field for joint detection [2,28], the position and speed of the underwater target can be captured more comprehensively. Therefore, it is highly significant to explore the relationship between the hydrodynamic pressure field and the wake field.
Figure 18 and Figure 19 present the vorticity distribution and Cp distribution in the UV’s mid-transverse section, respectively. By comparing the two, it can be observed that there is no chaotic flow condition in the hull area due to the small disturbance of the UV’s droplet-like shape in the flow field, and the vorticity distribution in the flow field is relatively orderly and exhibits a strip-like shape behind the sail. The Cp distribution exhibits a similar variation pattern as described in Section 4.1. In the region of x/L = 1.0–2.0 behind the hull, influenced by the hull and the stern appendage, the vorticity distribution in the flow field becomes chaotic and a large number of vortices are formed. Correspondingly, the Cp distribution becomes disordered, with positive and negative pressures appearing alternately.
Figure 18.
Vorticity distribution.
Figure 19.
Pressure distribution.
To explore the relationship between the hydrodynamic pressure field and the wake field in more detail, the hydrodynamic pressure field behind the hull was monitored at different water depths within the region of x/L = 1.0–2.5. The data were processed to determine the fluctuations in the hydrodynamic pressure field at different depths, as shown in Figure 20. It is shown that any pressure fluctuation curve initially shows a downward trend, and then fluctuations only emerge near x/L = 1.1. In combination with Figure 19, it can be understood that when the hydrodynamic pressure field has just left the hull region, it is mainly influenced by the hull and some high-pressure areas are still present. After gradually moving away from the hull region, the wake disturbance becomes the primary factor affecting the hydrodynamic pressure field. As the flow distance increases, the fluctuation ranges of the curves, except for the z/L = −0.1 curve, are concentrated in the interval of x/L = 1.5~2.2, suggesting that the wake in this part is the most complex and has a relatively high energy. Additionally, since the monitoring position of the z/L = −0.1 curve has gradually moved away from the wake center region, the fluctuation in the hydrodynamic pressure field affected by the wake is no longer evident. Instead, the pressure in the interval of x/L = 1.0~1.25 is more noticeably affected by the high-pressure region at the tail.
Figure 20.
Cp fluctuations at different water depths.
5. Conclusions
In this paper, the rationality and accuracy of the numerical method for computing the hydrodynamic pressure and wake fields were validated using STAR-CCM+ software. Subsequently, numerical calculations were conducted on the same UV model to investigate the characteristics of its hydrodynamic pressure and wake fields and the correlation between them. The following conclusions are drawn:
- (1)
- This study investigates the differences in numerical calculation modeling of the hydrodynamic pressure and wake fields. Compared with the calculation requirements of the wake field, the grid requirements for the hydrodynamic pressure field calculation are lower, fewer grid cells are required, and the encryption requirements for the complex region of the flow are lower. Furthermore, the SST turbulence model using the RANS method can lead to a high accuracy in hydrodynamic pressure field calculations. As H decreases, the flow velocity at the bottom of UV suddenly changes, causing a sharp change in the hydrodynamic pressure, and the shape of the hydrodynamic pressure field transforms from a “V” shape to a “W” shape. The attenuation rate of pressure with transverse distance presents nonlinear characteristics, starting fast and then slowing. The effect of advancing speed on the hydrodynamic pressure field is negligible.
- (2)
- Compared to the calculation requirements of the hydrodynamic pressure field, the grid requirements for the wake field are higher, both in terms of the number of grids as well as the encryption of the complex regions of the flow. In the selection of the turbulence model, the LES is required to get the correct results of the vortex structure. As H decreases, the wake field of the UV remains almost unchanged in the upper part, but there is a deformation of the wake contour line in the lower part. The velocity components in the X, Y, and Z directions all have relatively significant changes, among which the change amount of the velocity components in the X direction is the largest, and the change amount in the Z direction is the smallest. At the same time, three main types of vortex structures are generated around UV: (a) a horseshoe vortex, (b) a hairpin vortex, and (c) a wake vortex.
- (3)
- The vortex structure, flow velocity, and other changes in the wake area of the UV have a great influence on the hydrodynamic pressure field, and the influence law is complex. The effective range of the influence of the wake field on the hydrodynamic pressure field is relatively short. When it is close to the vortex structure, the hydrodynamic pressure field curve fluctuates noticeably. However, as the distance increases, the influence on the hydrodynamic pressure field decreases rapidly, and there is a large disparity compared with the influence of the bottom.
Certain relationships exist between the UV hydrodynamic pressure and wake fields within the region of x/L = 1.0–2.0 behind the UV. The characteristics in this region are of great significance for target identification and tracking in submerged mines and bionic unmanned underwater vehicles. In subsequent research, the data in this region will be further mathematically processed to explore the relationship between the two.
Author Contributions
Conceptualization, H.D. and P.L.; methodology, H.D., W.X., W.Y., B.X. and P.L.; software, W.Y. and P.L.; validation, W.Y., W.X. and P.L.; data curation, W.X., B.X. and P.L.; writing—original draft preparation, H.D. and P.L.; writing—review and editing, H.D., W.X., W.Y., B.X. and P.L. All authors have read and agreed to the published version of the manuscript.
Funding
This research was funded by the National Natural Science Foundation of China, grant number 12102475, and the Hubei Provincial Natural Science Foundation, grant number 2024AFB954.
Institutional Review Board Statement
Not applicable.
Informed Consent Statement
Not applicable.
Data Availability Statement
Data are contained within the article.
Conflicts of Interest
The authors declare no conflicts of interest.
References
- Yan, D.; Zhang, H.; Miao, J.; Yang, X. Research on submarine stealth technology. Ship Sci. Technol. 2020, 42, 128–133. [Google Scholar] [CrossRef]
- Ni, H.; She, H. Current Status and Development Trends of Submarine Laid Mines Abroad. Mine Warf. Ship Self-Def. 2013, 21, 1–8. [Google Scholar]
- Xia, Q.; Song, N.; Liu, C.; Zhai, R.; Ai, C.; Sun, X.; Zhang, S. Current Development of Bionic Flexible Sensors Applied to Marine Flow Field Detection. Sens. Actuators A Phys. 2023, 351, 114158. [Google Scholar] [CrossRef]
- Zhai, Y.; Zheng, X.; Xie, G. Fish Lateral Line Inspired Flow Sensors and Flow-Aided Control: A Review. J. Bionic Eng. 2021, 18, 264–291. [Google Scholar] [CrossRef]
- Jiang, Y.; Ma, Z.; Fu, J.; Zhang, D. Development of a Flexible Artificial Lateral Line Canal System for Hydrodynamic Pressure Detection. Sensors 2017, 17, 1220. [Google Scholar] [CrossRef] [PubMed]
- Catania, K. The Shocking Predatory Strike of the Electric Eel. Science 2014, 346, 1231–1234. [Google Scholar] [CrossRef] [PubMed]
- Li, K.; Zhang, Z.; Gu, J.; Miao, T. Calculating pressure distribution on water bottom caused by a moving submarine by the panel method. Ship Sci. Technol. 2014, 36, 29–32. [Google Scholar] [CrossRef]
- Ma, Z.; Sun, Y.; Huang, P.; Wang, Y.; Zhao, J. Numerical Simulaiton of Hydrodynamic Pressure Field of the Submarine and Discriminant Method. Ship Electr. Eng. 2016, 36, 67–73. [Google Scholar] [CrossRef]
- Song, L.; Jia, L. Numerical simulation of hydrodynamic pressure field of submerged body. Tech. Acoust. 2016, 35, 91–95. [Google Scholar]
- Deng, H.; Wang, E.; Yi, W.; Wang, K.; Zhang, Z. Numerical Models for Calculating Ship Hydrodynamic Pressure Field in Restricted Waters with Significant Blocking Effect. Acta Armamentarii 2022, 43, 605–616. [Google Scholar] [CrossRef]
- Deng, H.; Zhang, Z.; Yi, W.; Wang, E. Modeling Method and Key Characteristics of Submarine Hydrodynamic Pressure Field in Bounded Flow Field. Acta Armamentarii 2024, 45, 527–540. [Google Scholar]
- Posa, A.; Balaras, E. A Numerical Investigation of the Wake of an Axisymmetric Body with Appendages. J. Fluid Mech. 2016, 792, 470–498. [Google Scholar] [CrossRef]
- Posa, A.; Balaras, E. A Numerical Investigation about the Effects of Reynolds Number on the Flow around an Appended Axisymmetric Body of Revolution. J. Fluid Mech. 2020, 884, A41. [Google Scholar] [CrossRef]
- Lungu, A. DES-Based Computation of the Flow around the DARPA Suboff. IOP Conf. Ser. Mater. Sci. Eng. 2019, 591, 012053. [Google Scholar] [CrossRef]
- Huang, F.; Meng, Q.; Cao, L.; Wan, D. Wakes and Free Surface Signatures of a Generic Submarine in the Homogeneous and Linearly Stratified Fluid. Ocean Eng. 2022, 250, 111062. [Google Scholar] [CrossRef]
- Qu, Y.; Wu, Q.; Zhao, X.; Huang, B.; Fu, X.; Wang, G. Numerical Investigation of Flow Structures around the DARPA SUBOFF Model. Ocean Eng. 2021, 239, 109866. [Google Scholar] [CrossRef]
- Morse, N.; Mahesh, K. Tripping Effects on Model-Scale Studies of Flow over the DARPA SUBOFF. J. Fluid Mech. 2023, 975, A3. [Google Scholar] [CrossRef]
- Rodi, W. Comparison of LES and RANS Calculations of the Flow around Bluff Bodies. J. Wind. Eng. Ind. Aerodyn. 1997, 69–71, 55–75. [Google Scholar] [CrossRef]
- Özden, M.; Gürkan, A.; Özden, Y.; Canyurt, T.; Korkut, E. Underwater Radiated Noise Prediction for a Submarine Propeller in Different Flow Conditions. Ocean Eng. 2016, 126, 488–500. [Google Scholar] [CrossRef]
- Gong, J.; Guo, C.; Song, K.; Wu, T. SPIV Measurements and URANS Simulations on the Inlet Velocity Distribution for a Waterjet-Propelled Ship with Stabiliser Fins. Ocean Eng. 2019, 171, 120–130. [Google Scholar] [CrossRef]
- Liu, L.; Chen, M.; Yu, J.; Zhang, Z.; Wang, X. Full-Scale Simulation of Self-Propulsion for a Free-Running Submarine. Phys. Fluids 2021, 33, 047103. [Google Scholar] [CrossRef]
- Wu, Y.; Guo, C.; Han, Y.; Gao, Y.; Ji, M.; Wang, Y. Numerical Investigation on the Influence of Free Surface on the Hydrodynamic and Wake Characteristics of Submarine. Phys. Fluids 2024, 36, 075123. [Google Scholar] [CrossRef]
- Zhang, Z.; Gu, J.; Deng, H. Ship Hydrodynamic Field; Science Press: Beijing, China, 2016. [Google Scholar]
- Liu, H.; Huang, T. Summary of DARPA Suboff Experimental Program Data; Carderock Division, Naval Surface Warfare Center: West Bethesda, MD, USA, 1998. [Google Scholar]
- Groves, N.C.; Huang, T.T.; Chang, M.S. Geometric Characteristics of DARPA Suboff Models: (DTRC Model Nos. 5470 and 5471); David Taylor Research Center: Bethesda, MD, USA, 1989. [Google Scholar]
- Orlanski, I. A Simple Boundary Condition for Unbounded Hyperbolic Flows. J Comput. Phys. 1976, 21, 251–269. [Google Scholar] [CrossRef]
- ITTC. Practical Guidelines for Ship CFD Applications. ITTC-Recommended Procedures and Guidelines. 2014. Available online: https://ittc.info/media/9876/0_0.pdf (accessed on 6 May 2023).
- Wei, J.; Jin, Z.; Xie, X.; Tao, Y.; Wang, S.S. Development and Enlightenment of Bottom Mine. J. Ordnance Equip. Eng. 2017, 38, 22–25. [Google Scholar]
- Dehnhardt, G.; Mauck, B.; Hanke, W.; Bleckmann, H. Hydrodynamic Trail-Following in Harbor Seals (Phoca vitulina). Science 2001, 293, 102–104. [Google Scholar] [CrossRef]
- Schulte-Pelkum, N.; Wieskotten, S.; Hanke, W.; Dehnhardt, G.; Mauck, B. Tracking of biogenic hydrodynamic trails in harbour seals (Phoca vitulina). J. Exp. Biol. 2007, 210, 781–787. [Google Scholar] [CrossRef] [PubMed]
- Zheng, X.; Kamat, A.M.; Cao, M.; Kottapalli, A.G.P. Wavy Whiskers in Wakes: Explaining the Trail-Tracking Capabilities of Whisker Arrays on Seal Muzzles. Adv. Sci. 2023, 10, 2203062. [Google Scholar] [CrossRef] [PubMed]
Disclaimer/Publisher’s Note: The statements, opinions and data contained in all publications are solely those of the individual author(s) and contributor(s) and not of MDPI and/or the editor(s). MDPI and/or the editor(s) disclaim responsibility for any injury to people or property resulting from any ideas, methods, instructions or products referred to in the content. |
© 2025 by the authors. Licensee MDPI, Basel, Switzerland. This article is an open access article distributed under the terms and conditions of the Creative Commons Attribution (CC BY) license (https://creativecommons.org/licenses/by/4.0/).



















