Abstract
The current shafting alignment process primarily relies on manual adjustments, resulting in low efficiency and limited precision. This study designs an automatic alignment system for multi-support shafting to improve alignment efficiency and accuracy, advancing the development of intelligent systems. The overall design of the automatic alignment system is proposed, including the establishment of shafting and actuator models. The alignment performance of two control strategies under different shafting deviations is validated through simulations. The results indicate that both the full-state feedback control strategy and the model predictive control strategy can regulate bearing load errors to within 1%. Compared to manual alignment, both strategies demonstrate significantly higher efficiency. The proposed automatic alignment system is feasible and lays a foundation for the development of high-precision shafting alignment systems.
1. Introduction
During the construction of large ships, shafting construction errors—such as manufacturing, positioning, and assembly deviations—inevitably lead to discrepancies between the shafting and its design specifications [1,2,3]. To ensure compliance with stringent inspection standards and guarantee safe navigation after delivery [4,5,6], shafting alignment is a critical step in the shipbuilding process.
Traditional manual shafting alignment, as illustrated in Figure 1, involves parameter measurement, adjustment plan formulation, and implementation. The goal is to regulate bearing loads within the precision range specified by standards. However, for long multi-support shafting, the alignment process becomes increasingly challenging due to the strong coupling between bearings (adjusting the height of one bearing can lead to changes in the load of other bearings), the pronounced impact of construction errors, and the influence of human factors. These challenges significantly prolong the alignment duration, posing a bottleneck to improving shipbuilding efficiency.
Figure 1.
Shafting alignment process diagram.
Recent research has focused primarily on developing adjustment plans to enhance the efficiency of multi-support shafting alignment. Traditional trial-and-error methods lack theoretical guidance, leading to suboptimal adjustment efficiency. Numerical calculations using shafting design models have been proposed to establish functional relationships between bearing loads and displacements. This approach often employs the concept of “bearing load influence numbers” [7], which are used to calculate the actual displacement values of each bearing. However, this method oversimplifies the relationship by linearizing it and neglects construction errors, leading to inaccuracies in the results. To address these limitations, combining simulation data from designed shafting models with real-world adjustment data has been suggested to develop more accurate models for the relationship between load and displacement [8,9]. While this approach improves the accuracy of adjustment plans to some extent, the process remains reliant on manual adjustments, which are susceptible to human factors. As a result, there remains significant room for improvement in the precision and efficiency of shafting alignment.
Compared to manual control, automatic control offers advantages such as high precision, efficiency, and safety. It has been successfully applied in various fields, including adaptive height control of sugarcane harvester platforms [10], ship operation systems for position and heading control [11], and speed control of hydraulic actuators with uncertain displacement [12], achieving remarkable results in improving control accuracy. Shafting alignment fundamentally involves controlling bearing loads by adjusting bearing displacements. In the system designed by Nozdrzykowski, K. et al. for measuring and testing crankshafts, the bearing loads are regulated by controlling the elastic supporting reaction force of the crankshaft through a control system [13]. However, there is currently no reported development of an automatic alignment system for ship shafting. Therefore, designing and simulating an automatic shafting alignment system would provide a foundation for developing high-precision systems, promoting automation and intelligence in shafting alignment tasks.
This paper addresses the above issues by proposing a design for an automatic shafting alignment system, modeling the control system, and selecting suitable control strategies. The rest of this paper is organized as follows: Section 2 presents the overall design and modeling of the shafting alignment system. Section 3 introduces simulation experiments applying two control strategies under different model deviations. Section 4 analyzes the effectiveness of these strategies, and Section 5 concludes the study.
2. Design and Modeling of the Automatic Shafting Alignment System
2.1. Shafting Alignment System
For multi-support long shafting in ships, a rational alignment, also known as optimal load alignment, is commonly adopted. Each bearing has a corresponding optimal load (also called design load). By adjusting the bearing height, the bearing loads are made to approach the design load. In actual alignment, to meet the factory requirements, it is necessary to ensure that the bearing loads of the multi-support shafting are within the allowable error range of their respective design loads. Therefore, the automatic shafting alignment system for multi-support shafting needs to have the capability to regulate the height of each bearing to ensure that the bearing loads are within the allowable range of the design load. It is a multi-input, multi-output control system with multivariable control characteristics.
The schematic of the multi-support shafting automatic alignment system is shown in Figure 2. The system mainly includes the execution unit, measurement unit, and controller. The system block diagram is shown in Figure 3, where the shafting is the controlled object, the bearing loads are the controlled variables, and the hydraulic station and hydraulic cylinders are the actuators. The input variable is the design load for each bearing. The task of the automatic alignment system is to automatically adjust the bearing heights through a negative feedback mechanism when the sensor measurements detect a significant deviation between the bearing load y and the design load r, ensuring that the bearing loads are within the allowable range of the design load.
Figure 2.
Schematic of the multi-support shafting automatic alignment system.
Figure 3.
Block Diagram of the multi-support shafting automatic alignment system.
The execution unit includes the hydraulic station, double-acting hydraulic cylinders, and displacement sensors. The execution components under a single bearing seat are shown in Figure 4a. To achieve the overall upward and downward adjustment of the bearing seat while ensuring no tilting during the adjustment process, two double-acting hydraulic cylinders are used together to adjust the bearing height. The controller is installed within the hydraulic station, and a displacement sensor is installed on the outer side of the hydraulic cylinder to measure the adjustment distance, providing feedback for the hydraulic cylinder’s output [14]. This allows for high-precision control of the hydraulic cylinder, with current market control precision for hydraulic cylinders reaching up to 0.01 mm. The bearing seat and hydraulic cylinder are connected through an auxiliary fixture, as shown in Figure 4b. This setup allows for the vertical adjustment of the bearing seat, even when the gap between the bearing seat and the bearing base is small. Upon receiving the adjustment signal transmitted by the controller, the controller within the hydraulic station synchronously controls the two hydraulic cylinders under each bearing seat to reach the target height. The height adjustments for multiple bearing seats are then controlled in sequence.
Figure 4.
Actuator mechanism schematic. (a) Execution unit; (b) auxiliary fixture; (c) side view of actuator.
The measurement unit is designed based on two methods: the jacking method and the weighing method. The design of the measurement unit based on the jacking method mainly includes the load calculation module, hydraulic sensor, single-degree-of-freedom hydraulic jack, and hydraulic station. The load measurement module includes both software and hardware components. The software processes and calculates the bearing load based on the sensor data collected by the hardware, and the calculated data are then transmitted to the controller through the hardware component. As shown in Figure 5, the jacking method is used to measure the bearing load. For the measurement of a single bearing load, a displacement sensor with signal output function and accuracy of up to 0.001 mm is used to record the jacking height in real time, thereby eliminating errors caused by manual observation. The hydraulic jack used in the jacking method is controlled by the hydraulic station. During the lifting process, the hydraulic jack lifts or lowers by a unit height in sequence, and the stabilized oil pressure is recorded by the load calculation module to calculate the lifting force. Finally, the load calculation module calculates the bearing load using linear fitting based on the recorded lifting force and lifting height, along with the load influence factor. Since the jacking method changes the shafting state during the measurement process, the measurement of multiple bearing loads should be performed sequentially during the bearing load measurement. The design plan only illustrates the measurement method for a single bearing load. The load calculation module receives sensor signals from all the bearings to be measured. In the measurement unit based on the jacking method, for the measurement of the loads of n bearings, n displacement sensors to record the lifting height, and n hydraulic jacks are required.
Figure 5.
Measurement unit scheme 1.
The measurement unit based on the weighing method includes the load calculation module and hydraulic pressure sensor, and the specific measurement principle is shown in Figure 6. After the height adjustment of each bearing seat is completed, the lifting force of the two hydraulic cylinders under a single bearing seat is solved through the oil pressure. The bearing load of a single bearing is calculated using Equation (1), where the lifting force is subtracted by the gravitational force of the bearing seat and the auxiliary fixture. The gravitational force of the bearing seat and the fixture needs to be measured before starting the bearing load measurement. Based on the force applied to the bearing seat, the actuator sequentially lowers or raises the bearing seat by a unit height, while calculating the combined force of the two hydraulic cylinders. When the combined force remains constant, the bearing is then unloaded, and the combined force of the two hydraulic cylinders equals the gravitational force of the bearing seat and the auxiliary fixture.
Figure 6.
Measurement unit scheme 2.
In this equation, represents the bearing load of the i-th bearing seat, is the oil pressure in the upper chamber of the hydraulic cylinder, is the oil pressure in the lower chamber of the hydraulic cylinder, 1 refers to the hydraulic cylinder at the aft end of a bearing, 2 refers to the hydraulic cylinder at the forward end, is the effective area of the upper chamber of the hydraulic cylinder, is the effective area of the lower chamber of the hydraulic cylinder, and is the gravitational force of the bearing seat and the auxiliary fixture, as measured.
The controller is connected to the output terminal of the load calculation module. The internal control strategy is based on the current bearing load and the adjustment target to formulate the alignment plan, providing the adjustment values for each bearing seat. The controller is equipped with a stopping condition, which is the design load of each bearing and its allowable range. The controller will stop operating only when the load of all measured bearings is within the respective design load’s allowable range. With the development of IoT sensors, after integrating the sensors with IoT technology and embedding data collection and transmission modules within the sensors, the load calculation and control functions can be performed within the computer. This reduces the need for on-site data cable connections, while enabling further analysis and utilization of the data collected by the sensors through the computer.
The control process of the shafting automatic alignment system is as follows: first, the controller parameters are set, including the parameters of the selected control strategy and the stopping conditions (the design load and allowable range for each bearing). Then, the load measurement unit is activated to measure the bearing loads and transmit the measured bearing loads to the controller for checking the stopping conditions. If any bearing load does not meet the stopping condition, the control strategy will calculate the required adjustment height for each bearing based on the currently measured bearing loads and the adjustment targets. The controller will transmit this height as a control signal to the hydraulic station. Upon receiving the control signal from the controller, the hydraulic station will sequentially adjust the height of each bearing. After the adjustment, the measurement unit will again measure the bearing loads. This process repeats until the bearing loads meet the stopping conditions, at which point the system will stop. Finally, after the bearings are fixed in place with bolts, the double-acting hydraulic cylinders are lowered, the auxiliary fixtures are disassembled, and subsequent operations such as epoxy pouring are carried out.
In response to the power requirements of the shaft alignment system, the hydraulic station simultaneously controls the double-acting hydraulic cylinders (2n double-acting hydraulic cylinders) beneath each intermediate bearing during a single adjustment. The power of a single hydraulic cylinder can be calculated using Equation (2). After selecting the appropriate double-acting hydraulic cylinders based on the bearing design load, the total power demand of the hydraulic station should at least meet the requirement for all 2n double-acting hydraulic cylinders to operate at their maximum load simultaneously. When using a measurement unit based on the jacking method, only one hydraulic jack is controlled for lifting at a time. In this case, the dual-acting hydraulic cylinder used to adjust the bearing height remains inactive, and the total power demand of the hydraulic station is much greater than the power required by the lifting hydraulic jack.
In the equation, represents the load on the hydraulic cylinder, and represents the piston velocity.
2.2. Mathematical Models
2.2.1. Shafting Model
For the shaft alignment problem studied in this paper, when adjusting the bearing height, only the result, i.e., the bearing load after the adjustment of the bearing height, is considered, and the adjustment process itself is not the focus. Considering the coupling relationship between the intermediate bearings of the multi-support shafting system, the shaft alignment control system for multi-support shafting should be a multi-input multi-output discrete control system.
In the actual shaft alignment process, after the ship is launched, the actual state of the shafting changes due to various errors [15,16,17,18]. Moreover, many nonlinear factors exist during the alignment process. For example, the equivalent support point position of the stern bearing changes with the adjustment of the intermediate bearing height [19], and the main engine or stern bearing height may not be at the zero-reference line. Clearly, an accurate dynamic model needs to account for various nonlinear factors and undergo extensive testing. Additionally, the disturbance rejection capability of the control strategy means that the precision of the controlled object model does not need to be high. Therefore, a simplified model of the shafting is established based on the three-moment method [20], with the following three assumptions: the shafting is considered as an equivalent simply supported beam, the equivalent support point of the stern bearing remains unchanged, and the bearings are treated as rigid bodies. The shafting is fixed at the ship’s bow end. In this case, the relationship between the adjustment height of the intermediate bearings and the bearing load variation is linear, as shown in Equation (3).
In the equation, represents the bearing load variation for each bearing; is the load influence matrix; is the load variation in bearing when the unit height of bearing is adjusted; and represents the adjustment height of bearings.
In the shaft alignment process, the total adjustment height of each bearing can represent the shafting state after each adjustment. By selecting the total adjustment amount of the bearings as the state variable, the relationship can be expressed as Equation (4), where the state variable is the cumulative sum of the bearing adjustment heights after each adjustment.
In this equation, represents the number of adjustments, is the total adjustment height of the bearings after the k-th adjustment, ; and are unit matrices; is the state matrix, is the output matrix, and represents the adjustment height of each bearing during the k-th adjustment.
Based on Equation (5), the relationship between the bearing load after the k-th adjustment and the state variable is:
In this equation, represents the bearing loads of n bearings after the k-th adjustment; ; is the bearing load initially measured, obtained from the sensor.
After obtaining the baseline load , the required adjustment amount for the bearing load is calculated by subtracting the baseline load from the design load. The goal of the shaft alignment process is to adjust multiple times until the total change in bearing load equals the difference between the design load and the initial load. In the control strategy, the system output becomes the total change in bearing load , as shown in Equation (6).
In this equation, represents the total change in bearing load for n bearings.
Combining Equation (5) and (6), the relationship between the bearing load variation after the k-th adjustment and the state variable c is given by Equation (7).
The state equation of the controlled object is given by Equations (4) and (7). Based on the state-space equations, the controllability of the system is verified. For an n-dimensional discrete-time linear time-invariant system, the controllability matrix is:
Since is a non-singular matrix, the necessary and sufficient condition for the system to be fully controllable is . As both matrices and are identity matrices, it is clear that the rank of is n, and the system satisfies the condition for full controllability.
To determine the observability of the system, based on the observability rank criterion, its observability matrix is given by Equation (9). When , the system is fully observable.
In this equation, is the bearing load influence matrix, which is generally a non-singular matrix. Since matrix is the identity matrix, it follows that , and the system is fully observable.
It should be noted that this study focuses solely on the alignment of the intermediate bearings. Therefore, during the model simplification process, only the relationship between the height adjustments of the intermediate bearings and the corresponding load variations is considered. Typically, before the adjustment of the intermediate bearings, the main engine is already fixed. When there are load adjustment requirements for the thrust bearings, the following prerequisite must be satisfied: the connection between the intermediate shaft and the main engine must be rigid. Under this condition, the load influence matrix can be derived based on the designed shafting system using the three-moment method. In this case, the load influence matrix is augmented by an additional row, which represents the effect of the adjustments of the intermediate bearings on the thrust bearing load. Since only the intermediate bearings are adjusted in this scenario, the adjustment quantities of the intermediate bearings remain as , and the state variables are still represented by . Therefore, the matrices and remain unchanged. As indicated by Equation (8), the system is controllable. Given that the load influence relationships between the bearings are independent, it can be concluded that the rank of matrix is n, implying that the system is observable. Consequently, even when considering the thrust bearing loads, the shafting system can still undergo controller design and regulation.
2.2.2. Actuator Model
The hydraulic actuator can be controlled by the controller. The displacement before and after control is measured by the displacement sensor and fed back to the controller in the hydraulic station. The action stops when the stroke of the hydraulic cylinder equals the input displacement of the actuator. The control principle of the actuator is shown in Figure 7. Since the focus of this paper is on the design of the shaft system automatic alignment system, detailed control aspects of the actuator are not elaborated upon. The dynamic equation of the actuator in this paper can be simplified as follows:
Figure 7.
Actuator control principal diagram.
In this equation, is the diagonal matrix of the actuator time constants; is the actuator state vector; and is the actuator control input vector.
For a multi-input multi-output discrete control system, there are no specific requirements for the bearing adjustment process. The only requirement is to achieve the adjustment values given by the controller. After the actuator control reaches stability, subsequent steps, such as pressure sensor signal measurement and feedback, are performed. Therefore, when the precision of the adjustment value provided by the controller is the same as the precision of the actuator control, the actuator dynamics in Equation (10) can be neglected, and thus .
2.3. Control Strategies
The shafting system is a multi-input multi-output system, and in the actual shaft alignment process, model mismatches are caused by factors such as manufacturing and processing errors and hull deformation. Given the characteristics of the shafting system, full-state feedback control can achieve decoupling control for multi-input multi-output systems. State feedback fully reflects the system information, and the feedback loop improves the stability and robustness of the control system, reducing the impact of model mismatches [21]. Model predictive control, as a type of intelligent control, has strong robustness against uncertain factors such as model mismatches, due to its unique rolling optimization and feedback correction control strategies [22,23]. Therefore, the above two control strategies are chosen for regulating the shafting system.
2.3.1. Full-State Feedback Control Strategy
The full-state feedback (FSFB) controller operates as follows: The required changes in the bearing loads for all n bearings are set as reference values. The controller measures and feeds back the system state of the shafting system. At the beginning of the next adjustment, the controller input is the system state, and these state variables are multiplied by a preset gain matrix to generate the control input, which is the bearing height adjustment. This adjusts the behavior of the shafting system to achieve the set target values.
The full-state feedback control system with a state observer is shown in Figure 8, and the state observer model is shown in Figure 9. The system feedback gain matrix and the state observer gain matrix can be calculated based on the shafting system’s state equations, along with the desired closed-loop system poles and observer poles [24]. The pre-input shaping filter controller V is calculated using Equation (11).
Figure 8.
Block diagram of the state feedback control system with a full-state observer.
Figure 9.
State observer model.
The full-state observer state feedback allows for arbitrary pole placement, provided that the system is fully controllable.
2.3.2. Model Predictive Control Strategy
The working mechanism of the Model Predictive Control Strategy (MPC) is shown in Figure 10. At each time step, an optimization problem is repeatedly predicted and solved, and the first element of the obtained control sequence is applied to the controlled object. This process is repeated at the next sampling time, when the optimization problem is refreshed with new measurement information and re-solved [25,26]. A Kalman filter is chosen as the state estimator, which estimates the shaft system’s state based on the inputs and outputs and uses the estimated state as the initial state for the predictive model, thereby reducing the impact of state errors.
Figure 10.
Working principle of MPC.
In the shafting alignment process, the total adjustment required for bearing loads remains constant. The goal is to adjust the height of each bearing such that the deviation between the actual change in bearing load and the required adjustment is zero. The alignment control problem to be solved at each time step of the control sequence is presented as follows [27]:
In this equation, , where p is the prediction horizon, and the control horizon is .
To meet the requirements of keeping the control output close to the reference input and minimizing the variation in the control action, the objective function is selected as shown in Equation (14). By differentiating the objective function, the optimal control sequence at time k is calculated. The first element of the open-loop control sequence is then applied to the controlled system to obtain the closed-loop solution of the predictive control.
where , is the predicted output at step i after the k-th adjustment, is the corresponding expected value at that time, , and . is the weighting factor for the predictive control output error, and is the weighting factor for the control increment. The larger is, the closer the expected output is to the given reference input; the larger is, the smaller the variation in the control action of the expected output.
3. Numerical Demonstration
3.1. Controlled Object
The shafting system of a ship is taken as the object of study. The total length of the shafting system is 43.8 m, and it has four intermediate bearings. The constructed model is shown in Figure 11.
Figure 11.
Simulation shafting model.
The shafting system is fully defined, and modeling and analysis are performed using ANSYS. The parameters from the shafting design calculation book are applied to constrain, load, and displace the shafting model. Considering that in the actual shafting alignment process, the equivalent bearing support point of the stern bearing moves as the intermediate bearings are adjusted, three stern bearings are modeled as solid components based on the clearance provided in the calculation book to simulate the actual stern bearings. The displacement constraint is applied according to the design height. The tail end of the shafting, which is located outside the ship body, is treated as a free end. A concentrated force equivalent to the weight of the propeller and the buoyancy acting on the propeller is applied at the installation position. Additionally, the overall shafting weight is applied, and lateral and axial degrees of freedom are restricted. At the centers of the contact surfaces between each intermediate bearing and the two main engine bearings, one axial and one radial spring are added to represent the bearing support system stiffness using spring stiffness values [28]. The radial spring simulates the actual support, and only the radial displacement of the intermediate bearings is considered during shafting alignment. The spring length is adjusted to simulate the bearing height adjustment. During the solving process, the deflection of the shafting system itself is considered, and the large deformation option (Large Deflection) is enabled.
Taking into account the positioning errors, manufacturing errors, and assembly errors that exist between the actual shafting and the design shafting, which result in model mismatch, four model mismatch cases are proposed based on the three model mismatch factors, as shown in Table 1. Among these, the positioning error is reflected in a randomly given set of initial bearing heights; manufacturing errors are considered by moving the main engine unit axially, thereby lengthening the shafting; assembly errors are taken into account by adjusting the main engine and stern bearing heights. The bearing displacement refers to the displacement of the bearing’s centerline relative to the theoretical shaft centerline, with positive values indicating upward displacement and negative values downward displacement; the axial displacement of the main engine is positive toward the bow.
Table 1.
Different model mismatch scenarios.
3.2. Simulation Parameter Settings
The load influence number matrix F is calculated using the three-bending moment method based on the design shafting structure. The equivalent bearing support points for each bearing are determined according to the shafting calculation book. It is important to note that, when calculating the load influence number matrix, the bearing support points are considered in their design state. The system state-space equations are derived from Equations (4) and (7).
Since the disturbances in the shafting model are indeterminate, random disturbances are applied when testing the system’s step response under the influence of the two controllers. Based on the error generation principle, and combined with the shafting design model, it can be inferred that the absolute value of the error should vary proportionally with the previous adjustment amount. Therefore, during the unit step test phase, disturbances are applied as random values with an absolute value smaller than 0.25, which change proportionally based on the adjustment amount.
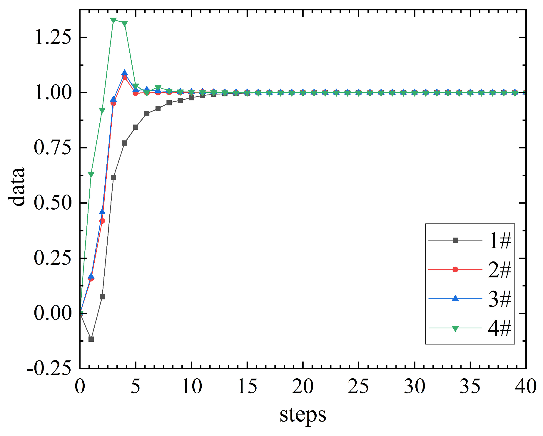
Considering that the system needs to exhibit strong robustness, and based on the desired pole selection rule, after testing several sets of desired poles, the final chosen closed-loop system poles are set as [0.6065, 0.5769, 0.5488, 0.4966]. The desired poles for the state observer error equation are set as [0.2231, 0.192, 0.1652, 0.1225]. The unit step response of the designed control system under these parameters is shown in Figure 12. It can be observed that under these settings, the system reaches a stable state in approximately 15 steps. The overshoot for the first configuration is 0%; for the second configuration it is 7%, for the third it is 8.7%, and for the fourth, it is 33%.
Figure 12.
Unit step response of the full-state feedback control system.
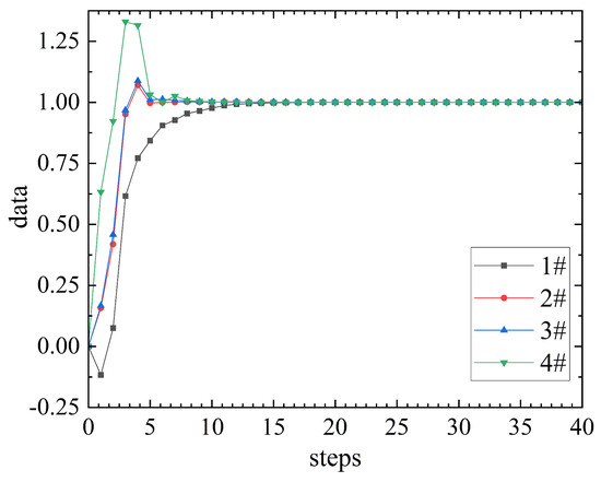
For the model predictive controller, the prediction horizon determines how far in advance the controller can perform optimization and forecasting, while the control horizon determines how many control inputs the controller can adjust at each time step. Based on the characteristics of the controlled object and multiple tests, the prediction horizon was set to 2 and the control horizon to 1. To prevent large adjustments that could damage the shafting system, constraints were applied to the input variables, limiting each adjustment to the range of [−3 mm, 3 mm]. Taking into account the prediction control range, constraints, and the objective function (13), the input weight growth rate and output weight were both set to 0.1. The FMINCON function [29] was used to optimize the controller parameters, resulting in an input weight growth rate of 0.26 and an output weight of 0.38. The unit step response of the control system is shown in Figure 13. It can be seen that, under this set of parameters, the system reaches a steady state after approximately 10 steps. The overshoot for each case was as follows: 1# is 15.5%, 2# is 20.6%, 3# is 14.5%, and 4# is 4%.
Figure 13.
Unit step response of the model predictive control system.
3.3. Simulation Results
Based on the above parameter settings, simulations were conducted to perform shafting alignment under the four model mismatch scenarios listed in Table 1. The system halts when the deviation between the actual bearing loads and the design loads is within 1%. The alignment results are shown in Figure 14, Figure 15, Figure 16 and Figure 17. In each set of figures, (a) and (b) represent the percentage change in the measurement load error for each intermediate bearing as the number of adjustments increases, under the two control strategies (the deviation between the bearing load and the design load as a percentage of the design load). It should be noted that, in all four cases, the initial height of the bearings is the same, and none of the bearing loads meet the stop condition. Considering Equation (9), the control strategy adjustment output precision is 0.01 mm.
Figure 14.
Application of two control strategies in Case 1. (a) FSFB; (b) MPC.
Figure 15.
Application of two control strategies in Case 2. (a) FSFB; (b) MPC.
Figure 16.
Application of two control strategies in Case 3. (a) FSFB; (b) MPC.
Figure 17.
Application of two control strategies in Case 4. (a) FSFB; (b) MPC.
(1) State Feedback Control Strategy
As illustrated in Figure 14a, Figure 15a, Figure 16a and Figure 17a, in the first three cases, bearing loads show a gradual decrease as the number of adjustments increases. In contrast, in the fourth case, significant fluctuations are observed during the early stages of adjustment. In Case 1, the bearing loads meet the stop condition after the 7th adjustment, with bearing load errors of 0.4%, 0.58%, 0.08%, and 0.84%, respectively, for Bearings 1 through 4. In Case 2, the bearing loads reach the stop condition after the 8th adjustment, with bearing load errors of 0.94%, 0.50%, 0.31%, and 0.27% for Bearings 1 through 4. In Case 3, the average bearing load errors remain within 1% following the 6th, 9th, 12th, 15th, and 17th adjustments. However, the stop condition is not reached until after the 17th adjustment, with bearing load errors of 0.51%, 0.30%, 0.06%, and 1.00%, respectively, for Bearings 1 through 4. In Case 4, the average bearing load error exhibits considerable fluctuation prior to the 5th adjustment. Subsequently, although minor fluctuations persist, a downward trend is observed, and the stop condition is achieved after the 14th adjustment, with bearing load errors of 0.42%, 0.24%, 0.28%, and 0.15% for Bearings 1 through 4, respectively.
(2) Model Predictive Control Strategy
As shown in Figure 14b, Figure 15b, Figure 16b and Figure 17b, in the first three cases, bearing loads exhibit a gradual decrease as the number of adjustments increases. In Case 1, the stop condition is met after the 4th adjustment, with bearing load errors of 0.15%, 0.39%, 0.62%, and 0.67% for Bearings 1 through 4. In Case 2, the stop condition is reached after the 5th adjustment, with bearing load errors of 0.12%, 0.22%, 0.05%, and 0.10% for Bearings 1 through 4. In Case 3, the stop condition is achieved after the 6th adjustment, with bearing load errors of 0.22%, 0.12%, 0.14%, and 0.38% for Bearings 1 through 4. As indicated in Figure 18b, in Case 4, throughout the entire adjustment process, bearing load errors fluctuate significantly. The average bearing load errors after the 2nd, 7th, and 10th adjustments are greater than those before the adjustments. Ultimately, the stop condition is met after the 12th adjustment, with bearing load errors of 0.53%, 0.64%, 0.10%, and 0.32% for Bearings 1 through 4, respectively.
Figure 18.
Comparison of regulation results among three methods in case 4. (a) Mean error; (b) mean error reduction rate.
4. Discussion
In comparison with an optimal manual tuning method (MTM) [9], the average errors and the average error reduction rate curves for the two control strategies and the manual tuning method are presented in Case 4, where the model mismatch is most significant. As shown in Figure 18, the error reduction rate is defined as the ratio of the change in average error at each adjustment relative to the initial average error.
(1) Analysis of the Effectiveness of the State Feedback Control Strategy
Overall, the state feedback control strategy demonstrates satisfactory performance in shaft alignment, achieving high precision and exhibiting strong robustness. It effectively handles all four cases of model mismatch. From the step response results and the regulation outcomes in the four cases, it can be observed that, except for the most severe mismatch case (Case 4), the number of adjustments required to reach a steady state in the other three cases is fewer than what the step response performance suggests. This is attributed to the presence of nonlinear effects in the actual shafting system, where the state feedback controller performs better in managing these effects.
As shown in Figure 16a, in Case 3, the system enters small-scale oscillations after the 6th adjustment, resulting in a steady-state error greater than that in Cases 1 and 2. Consequently, more adjustments are required to reach the stop condition. This is because adjustments to the stern bearing shift the equivalent support point, causing a larger deviation between the actual shafting model and the simplified model used in this study. In Case 4, noticeable oscillations occur during the early stages of adjustment due to the greater degree of model mismatch. The controller, designed based on the theoretical model, struggles to accurately regulate bearing loads with limited feedback information, resulting in unstable fluctuations.
(2) Analysis of the Effectiveness of the Model Predictive Control Strategy
Under all four cases of model mismatch, the MPC strategy demonstrates its ability to reduce bearing load errors to within 1%. The regulation results indicate that, as the deviation between the actual shafting system and the simplified mathematical model increases, the number of adjustments required to meet the stop condition also increases. In Case 4, characterized by the most severe model mismatch, significant oscillations are observed during the early stages of adjustment. This phenomenon arises from the greater mismatch, which limits the theoretical model-based control strategy’s ability to achieve precise system regulation with the available feedback information.
(3) Comparison of Regulation Results Between the Two Control Strategies
The MPC strategy outperforms the state feedback control strategy in the first three cases, requiring fewer adjustments to reach the stop condition and achieving a lower average load error after the final adjustment. In Case 4, where the model mismatch is most significant, the MPC strategy also reaches the stop condition with fewer adjustments; however, the load error percentage exhibits more pronounced oscillations during the initial stages.
Compared to the state feedback control strategy, the MPC strategy demonstrates higher efficiency in the shaft alignment system. This is because the MPC strategy incorporates rolling optimization based on state feedback, continuously refining the predictive model, and achieving the stop condition with fewer adjustments. While the state feedback control strategy could increase the control step size by tuning parameters to enhance speed, this would result in larger steady-state errors, reduced robustness, and potentially failing to reach the stop condition in Case 4.
It is evident that as the deviation between the actual shafting model and the design model increases, the time required for the system to reach a stable state also increases, necessitating more adjustments to achieve the stop condition.
(4) Comparison Between Control Strategies and the Manual Tuning Method
As shown in Figure 18a, a comparison of the average errors reveals that the final average error, ranked from smallest to largest, follows this order: state feedback control, model predictive control, and the manual tuning method. Referring to Figure 18b, the average error reduction rate demonstrates that the manual tuning method achieves better performance during the first adjustment compared to the two control strategies. However, a reverse adjustment occurs during the second adjustment for the manual method. Similarly, the model predictive control strategy exhibits significant reverse adjustments during the 2nd and 7th iterations. In contrast, the state feedback control strategy is the most stable, with no prominent large-scale reverse adjustments observed. In terms of regulation efficiency, the model predictive control strategy is clearly the most efficient, whereas the manual tuning method performs even worse than the state feedback control strategy.
A comparative analysis of the three shaft alignment methods reveals that, in terms of final control precision, the state feedback control strategy outperforms both the model predictive control strategy and the manual tuning method. However, it requires more adjustments compared to the model predictive control strategy. For control systems where rapid achievement of the stop condition is prioritized, the speed of the control strategy becomes more critical. Under such circumstances, the model predictive control strategy is evidently better suited for shaft alignment tasks.
5. Conclusions
This study designs an automatic alignment system for multi-support shafting and evaluates its performance using two control strategies through simulation. The following conclusions are drawn:
1. The proposed automatic alignment system for multi-support shafting is feasible. Future research can build upon this work to develop high-precision automatic shaft alignment systems and their physical implementation.
2. Compared with the manual tuning method, the two control strategies selected in this study demonstrate superior performance in shaft alignment, achieving higher alignment accuracy with fewer adjustments.
3. The proposed automatic alignment control system eliminates the need to establish a complex and highly accurate mathematical model of the shafting system. Instead, it utilizes control theory methods for alignment, reducing human error and significantly improving both the accuracy and efficiency of the shaft alignment process.
Author Contributions
J.Z.: conceptualization, methodology, writing—original draft. Y.D.: formal analysis, project administration, writing—review and editing. G.G.: project administration, writing—review and editing. H.Z.: project administration, writing—review and editing. All authors have read and agreed to the published version of the manuscript.
Funding
This research was supported by the National Natural Science Foundation of China (NSFC) under grant number U2341284.
Institutional Review Board Statement
Not applicable.
Informed Consent Statement
Not applicable.
Data Availability Statement
The data are available upon request from the corresponding author.
Acknowledgments
The authors would like to extend their sincere appreciation to the Researchers Supporting Project Number (U2341284). The authors thank all the participants for their help and friendship.
Conflicts of Interest
The authors declare no conflicts of interest.
References
- Li, P.; Li, J.; Shi, Z.; Zhang, H.; Xiao, S.; Li, X.; Gu, F. Effects of manufacturing errors and micro-groove surfaces on the static and dynamic characteristics of water-lubricated bearings. Phys. Scr. 2023, 98, 095903. [Google Scholar] [CrossRef]
- Shi, L.; Xue, D.X.; Song, X.G. Research on shafting alignment considering ship hull deformations. Mar. Struct. 2010, 23, 103–114. [Google Scholar] [CrossRef]
- Kim, Y.-G.; Kim, U.-K. Design and analysis of the propulsion shafting system in a ship with single stern tube bearing. J. Mar. Sci. Technol. 2020, 25, 536–548. [Google Scholar] [CrossRef]
- Magalhães, D.L.; Martins, D.H.C.d.S.S.; Castro, B.M.; Vaz, L.A.; Monteiro, U.A.; Gutiérrez, R.H.R. Machine learning performance comparison for main propulsive shafting systems alignment. Ocean Eng. 2023, 280, 114556. [Google Scholar] [CrossRef]
- Zou, D.L.; Jiao, C.X.; Ta, N.; Rao, Z.S. Forced vibrations of a marine propulsion shafting with geometrical nonlinearity (primary and internal resonances). Mech. Mach. Theory 2016, 105, 304–319. [Google Scholar] [CrossRef]
- Huang, Y.M.; Chen, T.C.; Shieh, P.S. Analytical estimation of the noise due to a rotating shaft. Appl. Acoust. 2014, 76, 187–196. [Google Scholar] [CrossRef]
- Zhou, R.P.; Yao, S.W.; Zhang, S.P.; Li, B.R. Theoretic studies of the three-moment equation and its application in the vessel’s propulsion shafting alignment. J. Wuhan Univ. Technol. 2005, 27, 76–79. [Google Scholar] [CrossRef]
- Deng, Y.; Yang, X.; Fan, S.; Jin, H.; Su, T.; Zhu, H. Research on the installation and alignment method of ship multi-support bearings based on different confidence-level training samples. J. Ship Res. 2022, 66, 326–334. [Google Scholar] [CrossRef]
- Deng, Y.; Li, Y.; Zhu, H.; Fan, S. Displacement values calculation method for ship multi-support shafting based on transfer learning. J. Mar. Sci. Eng. 2024, 12, 36. [Google Scholar] [CrossRef]
- Shi, M.; Li, Y.; Pan, Y.; Lu, L.; Wei, J. Design of an adaptive height control system for sugarcane harvester header. Agronomy 2024, 14, 1644. [Google Scholar] [CrossRef]
- Bali, A.; Singh, U.P.; Kumar, R.; Jain, S. Neural networks based-adaptive control of nonlinear ship manoeuvring system. J. Control Autom. Electr. Syst. 2024, 35, 314–325. [Google Scholar] [CrossRef]
- Mohmmed, J.H.; Hassan, A.K.; Ali, M.; Kokz, S.A.; Mosa, M.H.; Kareem, A.K.; Zainulabdeen, A.A.; Feng, Z.C. Design of uncertain displacement controlled velocity control system for hydraulic actuator. Heliyon 2024, 10, e26223. [Google Scholar] [CrossRef]
- Nozdrzykowski, K.; Chybowski, L. A Force-Sensor-Based Method to Eliminate Deformation of Large Crankshafts during Measurements of Their Geometric Condition. Sensors 2019, 19, 3507. [Google Scholar] [CrossRef]
- Wei, L.J.; Gu, Q.Q.; Xin, Y.L.; Lu, L.F. Design on hydraulic control system for multi-cylinder synchronous lifting of jack-up formwork system. Mach. Tool Hydraul. 2021, 49, 65–69. [Google Scholar] [CrossRef]
- Zhao, X.F. Automatic detection system of hull deformation under different loads. Ship Sci. Technol. 2023, 45, 137–140. [Google Scholar] [CrossRef]
- Liu, J.T.; Ji, F.; Zhang, Y.Z.; Guo, X. Analysis of influence of hull deformation on vibration characteristics of ship shafting at different stages. Ship Sci. Technol. 2021, 43, 13–17. [Google Scholar] [CrossRef]
- Seo, C.-O.; Jeong, B.; Kim, J.-R.; Song, M.; Noh, J.-H.; Lee, J.-U. Determining the influence of ship hull deformations caused by draught change on shaft alignment application using FE analysis. Ocean Eng. 2020, 210, 107488. [Google Scholar] [CrossRef]
- Cheng, J.-W.; Bu, W.-J.; Shi, L.; Fu, J.-Q. A real-time shaft alignment monitoring method adapting to ship hull deformation for marine propulsion system. Mech. Syst. Signal Process. 2023, 197, 110366. [Google Scholar] [CrossRef]
- Yu, Y.F. Research on Dynamic Alignment Method of Ship Propulsion Shafting Considering Hull Deformation. Ph.D. Thesis, Dalian University of Technology, Dalian, China, 2020. [Google Scholar]
- Chang, M.H.; Juang, S.H. Theoretical design study on shafting alignment calculation for high speed craft. Brodogradnja 2014, 65, 31–47. [Google Scholar]
- Pourmohammad, M.; Toulabi, M. Designing a central MIMO state feedback controller for a microgrid with multi-parallel VSGs to damp active power oscillations. Int. J. Electr. Power Energy Syst. 2021, 133, 106984. [Google Scholar] [CrossRef]
- Pang, S.; Jafari, S.; Nikolaidis, T.; Li, Q. Reduced-dimensional MPC controller for direct thrust control. Chin. J. Aeronaut. 2022, 35, 66–81. [Google Scholar] [CrossRef]
- Berger, T.; Dennstädt, D. Funnel MPC for nonlinear systems with arbitrary relative degree. Automatica 2024, 167, 111759. [Google Scholar] [CrossRef]
- Wang, J.H.; Wei, M.X.; Du, Y.L.; Li, Y.F. Pole assignment of multi-steering vehicle based on state feedback with full-order observer. Chin. J. Mech. Eng. 2013, 24, 1246–1251, 1257. [Google Scholar] [CrossRef]
- Wang, X.H.; Meng, X.Y.; Li, C.X. Design of trajectory tracking controller for UAV based on MPC. Syst. Eng. Electron. 2021, 43, 191–198. [Google Scholar] [CrossRef]
- Rowell, S.; Popov, A.A.; Meijaard, J.P. Predictive control to modelling motorcycle rider steering. Int. J. Veh. Syst. Model. Test. 2010, 5, 124–160. [Google Scholar] [CrossRef]
- Ji, D.D.; Chen, H.; Xu, Y.T.; Xu, F. Implementation of model predictive controller based on FPGA and application in electronic throttle. J. Jilin Univ. (Inf. Sci. Ed.) 2014, 4, 361–368. [Google Scholar] [CrossRef]
- Cui, L.L.; Lei, J.S.; Lin, C.M.; Zhou, R.P. Optimization of bearing displacement in ship shafting alignment based on workbench. J. Phys. Conf. Ser. 2021, 1939, 012099. [Google Scholar] [CrossRef]
- Albaghdadi, A.M.; Bin Baharom, M.; Anwar bin Sulaiman, S. Parameter design optimization of the crank-rocker engine using the FMINCON function in MATLAB. IOP Conf. Ser. Mater. Sci. Eng. 2021, 1088, 012072. [Google Scholar] [CrossRef]
Disclaimer/Publisher’s Note: The statements, opinions and data contained in all publications are solely those of the individual author(s) and contributor(s) and not of MDPI and/or the editor(s). MDPI and/or the editor(s) disclaim responsibility for any injury to people or property resulting from any ideas, methods, instructions or products referred to in the content. |
© 2025 by the authors. Licensee MDPI, Basel, Switzerland. This article is an open access article distributed under the terms and conditions of the Creative Commons Attribution (CC BY) license (https://creativecommons.org/licenses/by/4.0/).

















