Abstract
Marine litter is a critical environmental issue, with beach litter being its most visible indicator. Despite severe pollution on Mediterranean beaches, Tunisia currently lacks a national beach litter monitoring program. To address this gap and support the development of such a program, particularly at pollution hotspots like urban beaches, we conducted a one-year study on six Tunisian beaches. We employed an innovative, accelerated multiple 10 m transect method tailored to highly polluted beaches, focusing on macro-litter (>2.5 cm). This method significantly reduces survey time compared to the standard 100 m approach while maintaining comparable pollution metrics, offering a practical and efficient solution for areas with high litter density. Our findings reveal an average litter density of 1.01 ± 1.08 pieces/m2, with higher pollution in urban areas. Based on the Clean Coast Index (CCI), two beaches were classified as extremely dirty, one as dirty, two as moderately clean, and one as clean. Plastics (59.2%) and cigarette butts (21.1%) were the most prevalent pollutants, with single-use plastics comprising 52.5% ± 5.3% of total litter. Most of the litter (60.6%) originated from shoreline activities and poor waste management. These findings underscore the urgent need for a long-term national beach litter monitoring program. The integration of our accelerated transect method would enable efficient, effective surveys on highly polluted beaches, providing critical data to address litter sources and support targeted strategies for mitigating pollution and protecting Tunisia’s coastal ecosystems.
Keywords:
Mediterranean Sea; replicate survey; macro-litter; marine litter; plastic; survey method; Tunisia 1. Introduction
Marine litter is one of the most critical environmental problems of our time [1,2,3], affecting marine environments globally [4]. It is defined as any anthropogenic, persistent, manufactured, or processed solid material that has been deliberately or accidentally introduced into the marine and coastal environment [5]. While it encompasses a wide range of materials such as metal, glass, and rubber, plastics account for the vast majority [6,7]. Marine litter poses serious threats to marine life, coastal ecosystems, human health, and coastal economic activities [8,9]. The associated issues include marine animals becoming entangled in ghost nets [10], the ingestion of plastic fragments by marine organisms [11], injuries to beach visitors from broken glass [12], losses to fishing and aquaculture enterprises due to damage or entanglement [13], and revenue loss in coastal tourism [14]. Global plastic production surpassed 400 million tons in 2022 [15]; with accelerating climate change, rising sea levels, increased rainfall, and stronger winds, plastic pollution in marine environments is expected to further increase [16,17].
Beach litter is one of the most visible signs of marine pollution [18], serving as an indicator of both local littering and beached litter from the sea [19], which accumulates along coastlines worldwide [20]. As a result, beach litter monitoring is widely used to track trends in environmental pollution. It provides critical information on the composition and quantity of litter, enabling the identification of pollution sources and the evaluation of the effectiveness of mitigation measures [21]. Compared to the monitoring of litter in other marine environments, such as floating debris or seabed litter, beach litter monitoring is significantly less labor-intensive and costly [22]. It is therefore recommended in several international guidelines and frameworks, including the Mediterranean Action Plan (MAP) [23] for the protection of the Mediterranean Sea and the European Union’s Marine Strategy Framework Directive (MSFD) [24]. Consequently, numerous countries have implemented long-term beach litter monitoring programs to address this pervasive issue.
However, long-term data on beach litter are geographically limited to the northern Mediterranean Sea [25]. While some information from beach clean-up efforts in the southern Mediterranean Sea exists, it is seldom reported [9]. Tunisia lacks a comprehensive long-term beach litter monitoring program, with only a few short-term surveys conducted thus far. This is particularly concerning given that the Mediterranean Sea is among the most polluted regions globally [8,26,27]. Beach tourism is a critical economic driver for nearly all Mediterranean countries [28], with approximately 80% of tourism concentrated in coastal areas [29]. Tourists prioritize clean sand and water free from litter [30,31,32], making polluted beaches a significant deterrent that can result in revenue and job losses for the local tourism sector [33]. In Tunisia, tourism has contributed an average of 7.25% to the Gross Domestic Product (GDP) between 1995 and 2020 [34], with projections indicating that it will account for 14% of the economy by 2024. Employment in this sector is expected to grow by 3.9% annually, reaching nearly 418,000 jobs—approximately 1 in every 9 positions [35]. Beach pollution poses a substantial economic threat, as studies show that 85–97% of beach users would avoid heavily polluted beaches with 10–15 litter pieces/m2, potentially reducing local tourism revenue by up to 39.1% [36,37].
A short-term study on three Tunisian beaches reported an average of 2.57 ± 1.71 macro-plastic pieces (>25 mm) and 36.26 ± 49.67 meso-plastic pieces (5–25 mm) per m2 [38]. Another study in Tunisia documented macro-litter pollution ranging from 0.53 to 8.49 pieces/m2, with litter counts along 100 m stretches varying between 6842 and 13,540 pieces [39]. These high pollution levels, including significant quantities of partially toxic waste such as cigarette butts [39], can deter tourists. Beach litter is widely perceived as a barrier to recreation and tourism, posing both aesthetic and health concerns, particularly among international visitors [40], which negatively impacts the tourism industry [41]. Tunisia contributes over 80% of its own coastal pollution, a “boomerang effect” where inadequately managed land-based litter returns to its beaches through currents and waves [42], making most of the beach litter a homegrown problem.
This highlights the importance of a long-term beach litter monitoring program in Tunisia to gather information on the trends, quantities, spatial distribution, sources, and top items of beach litter [23] with the further objective of implementing effective mitigation measures. Several guidelines for macro-litter surveys are available for various continents, mostly recommending that practitioners survey beach sections ranging from 100 m to 500 m, and in some cases up to 1 km [43,44]. However, the characteristics of beach litter should be assessed in alignment with the Marine Strategy Framework Directive (MSFD), as outlined in the ‘Integrated Monitoring and Assessment Guidance’ for the Mediterranean [23]. This approach supports the development of a harmonized national monitoring program and database [45] to deliver pollution metrics that are comparable with those of other Mediterranean countries. This suggests that the standard 100 m monitoring method used by EU countries should be applied consistently. However, while this method is effective on EU beaches—where pollution levels are relatively low (mean: 505 litter items/100 m; median: 133 items/100 m) [46]—its implementation on North African beaches presents challenges.
Haseler et al. (2024) reported that full 100 m standard surveys were feasible on North African beaches only 11% of the time (4 out of 37 surveys) due to high litter densities [47]. To complete each survey within an 8–9 h day, survey lengths frequently had to be reduced to an average of 50 m or less, despite the efforts of an experienced team of 5–10 people [47]. Large amounts of litter present on beaches can reduce data quality as observers miss (smaller) pieces, leading to a varied reliability of results [7]. In general, observation detail tends to decline as survey length increases [19]. Our experience with trained staff and volunteers supports this observation; on highly polluted beaches, the motivation to collect every piece of litter diminishes. Beach litter monitoring relies heavily on volunteer support, with surveyors playing a crucial role in accurate pollution assessments. However, even the most dedicated volunteers may experience fatigue, reducing their motivation to remove litter over time [48]. These insights are consistent with the UNEP’s finding of a 50% decline in volunteer participation in beach clean-ups from 2002 to 2015 [8].
Establishing a robust baseline for beach pollution requires consistent monitoring over several years [49], including surveys of pollution hotspots such as urban and tourist areas [50,51,52]. Volunteer involvement remains critical for sustaining long-term monitoring programs. To address these challenges, accelerated survey methods are vital, as they reduce surveyor workload while maintaining data quality and ensuring consistent pollution metrics.
Methods for investigating smaller areas to save time have been employed in numerous studies. However, these approaches often produce results that are not directly comparable to the standard 100 m monitoring method. For instance, a Tunisian study surveyed only the first 10 m closest to the waterline rather than the entire beach depth [38]. Therefore, (lighter) litter that is often carried inland by winds [53,54] or stokes and longshore drift [55] and is trapped at the back of the beach was neglected. Other long-term monitoring methods have focused on collecting smaller litter items, such as cigarette butts, only within specific beach areas [56], while some methods exclusively examined beach wrack [57]. Velander et al. (1999) tested ten methods on different beach areas (e.g., strandline, vegetation line, or random transects) and concluded that focusing only on specific areas, such as near dunes or on freshly accumulated material at the main strandline, can introduce bias. This makes the comparison of study results difficult and hinders the standardization of results [58]. Ryan et al. (2020) concluded that the most comprehensive methods are those that sample the full depth of the beach [54], integrating all litter items from the waterline to the back of the beach [55].
The methodology used in this study builds on recommendations to survey the entire depth of the beach and leverages the authors’ experience from North African beach litter surveys conducted between 2021 and 2023 [47]. Additionally, it aligns with Tunisia’s plans to conduct field surveys in pollution hotspots, offering a practical and efficient approach for such initiatives [45].
The methodology presented here is designed to integrate seamlessly with existing macro-litter monitoring efforts that use the standard 100 m monitoring method. It serves as a foundation for newly designed monitoring initiatives and streamlines the process by determining the optimal beach length needed to obtain reliable pollution data. This approach provides consistent pollution metrics while remaining practical for implementation by volunteers.
The aim of this study is to employ an adapted transect-based macro-litter monitoring method over the course of one year across six Tunisian beaches. It seeks to quantify beach pollution by analyzing litter categories, identifying the most common litter items, and determining the sources of macro-litter across different beach types and seasons using the transect-based monitoring method. This study also evaluates the applicability of the transect-based method for long-term monitoring efforts. Furthermore, it provides recommendations for the implementation of an adapted transect-based long-term beach litter monitoring approach for heavily polluted beaches, ensuring comparability with the standard 100 m monitoring methodology.
2. Materials and Methods
2.1. Study Area
The coastline of the Tunisian mainland, facing the Mediterranean Sea, measures 1270 km in length [45], with 575 km of sandy beaches [59]. The focus of this study is sandy beaches in north-eastern Tunisia (Figure 1). A total of six Tunisian beaches, distributed across three different regions (Bizerte, Hammamet, and Sousse) are part of this study.
Figure 1.
On the left is an overview map of the Mediterranean Sea showing the location of Tunisia. The map on the right shows the study area in north-eastern Tunisia. The six beaches studied are located around the cities of Bizerte, Hammamet, and Sousse. The beaches are as follows: 1. Cap Angela; 2. Sidi Salem; 3. Dar Sebastian; Resident Jannet; 5. El Menchia; and 6. Dar Chahed.
Cap Angela is a semi-rural beach located about 10 km to the north-west of Bizerte. It is characterized by a few permanently inhabited houses and seasonal establishments such as restaurants and holiday accommodations, primarily active during the summer months. During the high season, sun loungers and parasols are available for hire, catering to seasonal visitors. Sidi Salem, in contrast, is an easily accessible urban beach located in front of the town of Bizerte. Bizerte, with a population of approximately 162,000, provides a wide array of tourist accommodations, activities, and beach services. Dar Sebastian is a semi-urban beach located in front of a cultural center. It lies between the city of Hammamet, which has a population of around 106,000, and the tourist resort of Yasmine Hammamet, a 4 km stretch of coastline featuring approximately 50 hotels and over 2000 residential units. The urban beach of Resident Jannet, situated in the northern part of Hammamet’s beaches, is surrounded by hotels, rental units, and residential houses. It offers many facilities including several car parking areas, beach bars, parasol hire, and various beach and water activities. El Menchia is an urban beach located about 400 m to the south of the mouth of the river Oued El Hammam, which flows into the Gulf of Hammamet. This beach is surrounded by the cities of Sousse, which has a population of around 270,000, and Hammam Sousse, which has a population of around 47,000. There is a wide range of hotels, residences, cafes, and restaurants and two water parks nearby. Dar Chahed, an urban beach, is located about 200 m north of the mouth of the Oued El Hammam, in Hammam Sousse, just south of Hammamet and north of Sousse. This area, with a population of around 47,000, is surrounded by hotels, apartment blocks, and several car parking areas. About 1 km to the north is Port El-Kantaoui, a marina with around 300 moorings, complemented by restaurants and souvenir shops, adding to the area’s tourist appeal.
2.2. Site Selection of Surveyed Beaches
The selection of the six beaches was based on a combination of strategic and opportunistic considerations. The chosen beaches were expected to meet the criteria for survey sites as outlined in the ‘Integrated Monitoring and Assessment Guidance’ (UNEP) [23]. Specifically, the beaches needed to have a minimum length of 100 m; provide clear access to the sea; be accessible year-round; and ideally, remain free from cleaning activities. Additionally, the beaches were to be distributed across different regions of Tunisia. However, due to limited resources, the surveys were restricted to a maximum of six beaches located within a 1.5 h drive from the starting point in the city of Tunis. Moreover, obtaining permission from the relevant authorities to conduct surveys at these beaches was essential. The remaining beaches in the selection were further chosen to represent varying levels of litter exposure. Therefore, beaches were classified as urban, semi-urban, and semi-rural according to their environment, accessibility, population, and the services provided to beach users, as proposed by Semeoshenkova et al. (2017) [60]. However, this ‘stratified randomized sampling strategy’ [23] was deliberately skewed toward urban beaches that are highly frequented by tourists and beach users, as these locations are generally recognized as pollution hotspots [51,52]. Therefore, four urban beaches were chosen. To evaluate the use of the accelerated multiple 10 m transect method on beaches presumed to be less polluted, one semi-urban and one semi-rural beach were also included in the one-year monitoring effort.
2.3. Initial Beach Cleaning
Following an initial beach cleaning to restore the beaches to a non-polluted state, five surveys were conducted at each beach. The initial cleanings took place in November and December 2022, during which all macro-litter pieces were collected from the area between the waterline and the back of the beach. This process ensured a clean survey area for the subsequent one-year monitoring period, allowing only newly accumulated litter after the initial beach cleaning to be collected during the first survey. This approach avoided the inclusion of litter that had accumulated over an undefined period prior to the initial cleaning.
2.4. Field Sampling
The monitoring of the six beaches was conducted between January 2023 and December 2023. The first surveys were conducted in January and February, followed by subsequent surveys in April/May, mid-June, mid-October, and late December 2023. The larger gap between the summer and autumn surveys was planned to avoid overlapping with professional beach clean-ups in Tunisia during the high season. There were approximately 11 weeks between the initial cleaning and the first sampling event, 13 weeks between January–February and April–May, 6 weeks between April–May and mid-June, 17 weeks between June and October, and 10 weeks between October and December.
The method used, like the standard 100 m monitoring method for macro-litter on beaches [23], focuses specifically on sandy beaches that occasionally contain small amounts of pebbles and stones. In contrast to the standard 100 m monitoring method for macro-litter, where a single continuous 100 m strip (no transects) is surveyed across the width of the beach, our method targets a maximum of 50 m, divided into five 10 m transects (Figure 2). This adaptation means that a single survey takes at most half the time of a standard 100 m macro-litter survey, while providing results comparable to the standard 100 m method by extrapolation. These time-efficiencies are particularly valuable when surveying pollution hotspots, where implementing the full 100 m method would be impractical due to time constraints.
Figure 2.
The macro-litter survey approach on the beach uses adjacent 10 m transects (T1–T5) that span the entire beach depth, from the waterline to the back of the beach. The dashed lines show the measuring tapes used to measure the lengths on the beach, and the solid lines show the ropes used to mark the 10 m transects. In the middle of the transects, the average beach depth was measured. At Cap Angela, Dar Sebastian, El Menchia, Resident Jannet, and Dar Chahed, surveys covered 5 transects of 10 m each (50 m total), while at Sidi Salem, 2 transects were surveyed (20 m total).
The beaches of Cap Angela, Dar Sebastian, El Menchia, Resident Jannet, and Dar Chahed were surveyed using 5 transects of 10 m each, covering a total of 50 m. In contrast, Sidi Salem was surveyed with 2 transects (2 × 10 m), covering a total of 20 m. During each survey, the transects were examined from the waterline to the back of the beach (the bottom of the dunes) (Figure 2). Examiners walked up and down each transect, manually collecting all visible macro-litter pieces on the beach surface by hand. The collected litter from each transect was placed into correspondingly labeled plastic bags.
For each survey, two measuring tapes were laid out in a straight line to define the survey area—one near the waterline and the other at the base of the dunes. Ropes were then placed between the two measuring tapes to mark the 10 m transects. The beach depth was measured once at the start of each survey at the center of the transects. This value was used as the average beach depth to calculate the total survey area as well as the area of each individual 10 m transect for the survey.
2.5. Laboratory Procedure
After each survey, the litter collected from the different transects was taken to the laboratory in appropriately labeled plastic bags. The litter was then spread out on tables and sorted, with litter pieces from each transect quantified and categorized separately. Therefore, the ‘Joint List of Litter (J-List)’ [61] was used to ensure harmonized litter analysis. The J-List is structured as a hierarchical system, allowing litter pieces found to be recorded and analyzed at varying levels of detail. At the most basic level, all litter pieces are categorized by the material they are made of. Accordingly, each litter piece was classified into one of the following categories: plastics, cigarette butts, rubber, cloth/textile, paper/cardboard, processed/worked wood, metal, glass/ceramics, chemicals, food waste, and others. Wherever possible, efforts were made to define each litter piece found at the highest level of detail and as one of the 231 litter items in the used J-List. This included assigning size classes for specific items, such as distinguishing between plastic bottles smaller or larger than 0.5 L or differentiating small plastic bags from larger shopping bags. This was achieved with the help of the corresponding online photo catalog [62], which provides multiple images and detailed descriptions of each litter item, as well as an assessment of whether the items belong to the category of single-use plastics (SUPs) or fishing gear [63]. In our study, eight new litter items were added to the J-List, as they were found regularly. Those items were medical masks; broom bristles; plastic strings from carpets; clothes pegs; sand bags and pieces; shisha tips and related items (plastics); ‘paper tissues’ (paper/cardboard); and ‘cotton candy sticks’ (processed/worked wood). Each piece of litter identified and categorized was recorded in a corresponding Excel spreadsheet, enabling the determination and comparison of litter quantities for each survey and transect. Once the litter was analyzed and documented, it was properly disposed of.
2.6. Data and Statistical Analysis
To determine the number of transects needed to detect each of the top 30 litter items with 95% probability, we calculated the detection probability. This was carried out for the top 30 litter items on individual beaches and across all beaches by applying the formula below. This formula, based on cumulative probability, estimates the minimum number of transects (P) required to reliably detect each of the top 30 litter items.
To examine the spatial heterogeneity of litter, we calculated the coefficient of variation (CV) for neighboring transects at the six beaches based on the number of litter pieces/m2. For each survey at a beach, the CV was calculated for pairs of consecutive transects (1 and 2; 2 and 3; 3 and 4; and 4 and 5). At Sidi Salem, however, only transects 1 and 2 were used as only two transects were investigated in each survey.
In order to identify the sources of litter, the ‘Matrix Scoring Technique’ (MST) system E [64], as recommended by the Joint Research Centre (JRC) [65] of the EU, was employed. A potential source analysis was conducted in accordance with the methodology proposed by Haseler et al. (2024) [47], which was previously applied in studies conducted in the Mediterranean Sea [66,67]. These studies identified eight potential major sources of litter: shoreline, including poor waste management practices, tourism, and recreational activities; fisheries and aquaculture; shipping; fly-tipping; sanitary- and sewage-related; medical-related; agriculture; and non-sourced. Each litter item within the top 30 was assigned a score indicating its potential source. Local experts, well acquainted with the surroundings and beach activities, assisted in this process. The likelihood scores were as follows: not considered/impossible (0); very unlikely (0.25); unlikely (1); possible (2); likely (4); and very likely (16). The MST is designed to allow each litter item to be associated with multiple potential sources, based on a percentage allocation.
The Clean Coast Index (CCI) [68] was used to identify the cleanliness of the surveyed beaches. The CCI scale grades the cleanliness of a beach from 0 to 2 = very clean; 2 to 5 = clean; 5 to 10 = moderately clean; 10 to 20 = dirty; and >20 = extremely dirty, based on the quantity of litter pieces/m2 multiplied by a coefficient (K = 20). The mean pollution level across all transects surveyed at each beach was used as the basis for calculating the pollution in litter pieces/m2.
To assess the risk posed by hazardous litter on the beaches, the Hazardous Items Index (HII) was used. Hazardous litter consists of sharp objects (e.g., metal, glass, and bricks) and toxic items (e.g., cigarette butts and medical and sanitary waste). The HII rates beach quality based on the quantity of hazardous litter present and classifies beaches into five types using the HHI (number of hazardous items per m2). In this study, the average HII was calculated for each beach. The five HHI types are as follows: I (no hazardous litter is seen; HHI 0); II (some hazardous litter is seen over a large area; HHI 0.1–1); III (a considerable amount of hazardous litter is seen; HHI 1.1–4); IV (a lot of hazardous litter is seen on the beach; HHI 4.1–8); and V (most of the area is covered by hazardous litter; HHI +8).
3. Results
In all 30 surveys, a total of 31,719 litter pieces, composed of 124 different litter items, were collected in a total area of 38,988.5 m2. In regard to total beach litter, focusing on litter per m2, it ranged from 0.04 to 5.95 pieces/m2 (mean: 1.01 pieces/m2 ± 1.08; median: 0.70 pieces/m2). When the findings were extrapolated to 100 m, litter piece counts ranged from 152 to 11,280 (mean: 2965 ± 2938 pieces per 100 m; median: 2039).
3.1. Litter Categories
Across all beaches and surveys, plastic (18,778 pieces/59.2%) was the dominant litter category, followed by cigarette butts (6705 pieces/21.1%), with lesser amounts of other categories (Figure 3). The categories of litter found were similar across the six beaches.
Figure 3.
Litter categories’ mean values in percentages for the 6 different beaches and in total.
3.2. Litter Pollution per Beach
The amount of litter accumulation was highly variable across the different beaches, with significant fluctuations observed both within individual sites and between locations. December exhibited the highest pollution levels across multiple beaches, particularly at El Menchia and Sidi Salem. While pollution levels remained relatively stable at Resident Jannet, more pronounced seasonal fluctuations were observed at Dar Chahed and El Menchia. In contrast, Cap Angela maintained consistently low pollution across all seasons, reflecting its generally cleaner conditions. Urban beaches generally exhibited the highest levels of pollution.
The semi-rural beach of Cap Angela had the lowest pollution values (mean: 0.23 pieces/m2 ± 0.19; median: 0.11 pieces/m2) and a median CCI of 2.16 (clean). The pollution value ranged from 152 to 1998 pieces per 100 m (mean: 828 pieces per 100 m ± 686; median: 514). The pollution was low throughout the year, with a slight increase in the April/May and October surveys. The most commonly found pollutants were plastic pieces, and SUPs like cigarette butts and sweet wrappers (a total of 44.9%). Higher amounts of ‘slack and coal’ (15.6%) contributed to a higher proportion in the ‘others’ category (Figure 3). In each of the five surveys, some hazardous litter was found, and the median HHI was 0.16 (Type II).
The beach of Dar Chahed (urban beach) had the second-highest pollution values (mean: 1.40 pieces/m2 ± 0.58; median: 1.81 pieces/m2) and a median CCI of 36.17 (extremely dirty). The pollution value averaged 2215 pieces per 100 m ± 1116; the median was 1916 pieces. The highest pollution density was in January–February, with another significant peak in October and December. Cigarette butts, sweet wrappers, and plastic/polystyrene pieces were responsible for 46.6% of the total pollution. The median HHI value was 2.27 (Type III).
Pollution levels were high at the semi-urban beach of Dar Sebastian (mean: 0.71 pieces/m2 ± 0.52; median: 0.45 pieces/m2). The pollution value averaged 750 pieces per 100 m ± 517; the median was 632 pieces per 100 m. The median CCI was 8.96 (moderate). Pollution levels remained steady for most of the year but experienced a notable increase in December. Cigarette butts, plastic and polystyrene pieces, plastic caps from drink bottles, and sweet wrappers made up 50.1% of the total pollution. Some hazardous litter was identified on two occasions, and a considerable amount of hazardous litter was observed three times (the median HHI of all five surveys was 1.51; Type III).
El Menchia (urban beach) had the highest pollution values (mean: 1.67 pieces/m2 ± 2.16; median: 0.64 pieces/m2). The median CCI was 12.78 (moderate). Extrapolated to 100 m, the pollution value was 2946 pieces per 100 m ± 2090, with a median of 2358. The pollution in the first three surveys was low to moderate, with a sharp increase in October, reaching a very high peak in December. Cigarette butts were the most common litter item (37.1%), followed by plastic pieces (12.0%) and sweet wrappers (7.14%). The median HHI value was 1.51 (Type III), with the HHI value ranging between 0.31 and 18.09.
At the urban beach Resident Jannet, the pollution values were high (mean: 0.73 pieces/m2 ± 0.11; median: 0.74 pieces/m2), with a median CCI of 14.86 (dirty). The mean pollution value was 2548 pieces per 100 m ± 473; the median was 2304 pieces. The pollution value was relatively stable, with the highest pollution value found in December. The most common litter item was cigarette butts (24.6%), followed by ‘slack and coal’ (17.7%), which was consistently found in every survey. In each survey, considerable amounts of hazardous litter were found (median HHI of 1.76; Type III).
In Sidi Salem (urban beach), the third-highest pollution values were observed (mean: 1.34 pieces/m2 ± 0.41; median: 1.10 pieces/m2) (Figure 4). Over 100 m, pollution levels averaged 8503 pieces per 100 m (±2083), with a median of 9200 (Figure 5). The median CCI was 21.90 (extremely dirty). The pollution was relatively stable, with peaks observed in April–May and December. Macro-plastic pieces and plastic caps from drink bottles made up more than 40% of the total litter. In four of the five surveys, considerable amounts of hazardous litter were found, and the median HHI was 1.34 (Type III), while in one survey, some hazardous litter was observed.
Figure 4.
Pollution levels per m2 for each beach across the various survey months.
Figure 5.
Pollution levels per 100 m for each beach across the various survey months.
3.3. Top Litter Items and SUP
The top 30 litter items comprised 91.10% of the total litter, amounting to 28,895 pieces (Table 1). Each of the other 94 litter items (not in the top 30) was responsible for less than 0.53% of the total pollution (mean: 0.09% ± 0.001%; median: 0.03%). Of these, 38 litter items were recorded in double digits, while 47 were only found in single digits, highlighting that beach pollution is dominated by a few litter items, particularly SUP and unidentifiable plastic and polystyrene pieces, which are a significant pollution problem (Table 1). A total of 16,654 SUP pieces were collected, representing 52.50%. SUP densities ranged from 0.02 to 4.26 items/m2, with a mean of 0.54 items/m2 (±0.76) and a median of 0.34 items/m2. Of the SUPs, cigarette butts were the most prevalent item, constituting 40.3% (6705 pieces) of all SUPs, followed by plastic caps/lids for drinks (2845 items; 17.1%), crisp packets/sweet wrappers (2161 items; 12.9%), and small plastic bags, including freezer bags incl. pieces (1057 items; 6.4%).
Table 1.
Top 30 litter items of all surveys with litter category, quantity, percentage, and cumulative percentage. In gray, SUPs are shown.
3.4. Probability of Litter Detection
As the top 30 litter items are responsible for most of the pollution, the rest of this paragraph will focus on these 30 litter items and how many 10 m transects are needed to reliably find them. The results for the top 30 litter items based on combined data from the six different beaches highlight the variability in litter item distribution along the 10 m transects, ranging from plastic pieces (2.5–50 cm) found in 132 of the 135 transects down to construction material (e.g., bricks, cement, pipes) found in 41 of the 135 transects. On average, each of the top 30 litter items was found in 81 transects (±25), with a median occurrence of 83 transects. Therefore, there is a range in the number of transects required to achieve a 95% probability of detection. On average, for all beaches, 3.7 transects ± 1.9 and a median of 3.2 are needed to detect these top 30 litter items with 95% probability (Figure 6). The top ten litter items have a higher probability of being detected (mean: 1.9 transects ± 0.9; median: 1.8). In contrast, items ranked 21–30 have a lower detection probability (4.8 transects ± 1.3; median 4.5).
Figure 6.
The number of transects required across all six beaches to detect the top 30 litter items with 95% probability. On average, 3.7 transects (±1.9; median 3.2) are needed to achieve this detection level, with the range spanning from 0.79 to 8.3 transects.
Since pollution levels vary across beaches not only in quantity but also in composition, we calculated the number of transects required on each beach to detect their individual top 30 litter items (Figure 7). For Cap Angela, an average of 6.8 transects (±3.7; median: 6.7) was needed, primarily because the pollution was, in general, low. The top 5 litter items comprised 66.5% of all litter, and the remaining 25 items were found only sporadically, with many occurring only in double-digit counts and some in single-digit counts. Similarly, at Dar Sebastian, the low pollution levels resulted in a requirement of 5.9 transects (±3.4; median: 4.9) to detect the top 30 litter items. The relatively consistent pollution at Resident Jannet resulted in a requirement of 3.4 transects (±2.3; median: 2.8). At Dar Chahed and El Menchia, a similar number of transects was needed, with 2.5 transects (±1.5; median: 2.3) and 2.5 transects (±1.3; median: 2.2), respectively. Due to the high pollution and the long depth of the beach, only two transects were investigated per survey at Sidi Salem. On average, 1.4 transects (±0.6; median: 1.3) were needed to achieve reliable detection of the top litter items.
Figure 7.
Median and mean number of transects required for each beach to detect their individual top 30 litter items with 95% probability. The detection range is indicated in gray. Note that the x-axis values differ, showing the varying number of transects needed for each beach.
The litter detection probability, both across all beaches (Figure 6) and for individual beaches (Figure 7), indicates that a standard 100 m monitoring approach is generally unnecessary for obtaining sufficient information about the top litter items on highly polluted beaches such as Resident Jannet, Dar Chahed, El Menchia, and Sidi Salem. Instead, a 50 m stretch consisting of five transects is sufficient to collect reliable data while reducing the survey time by approximately half compared to a standard 100 m survey. These 50 m data can then be extrapolated to a 100 m scale to provide comparable metrics, ensuring consistency across studies while maintaining time-efficiency.
3.5. Variability of Litter per Transect
Although the top litter items are present on almost every other transect on most of our beaches, the amount of litter per m2 per transect varies by a mean of 18.1% ± 14.0 (median: 14.7%). This suggests that while litter is widespread across the beach, the density of litter pieces varies considerably between transects, reflecting areas of high and low litter accumulation.
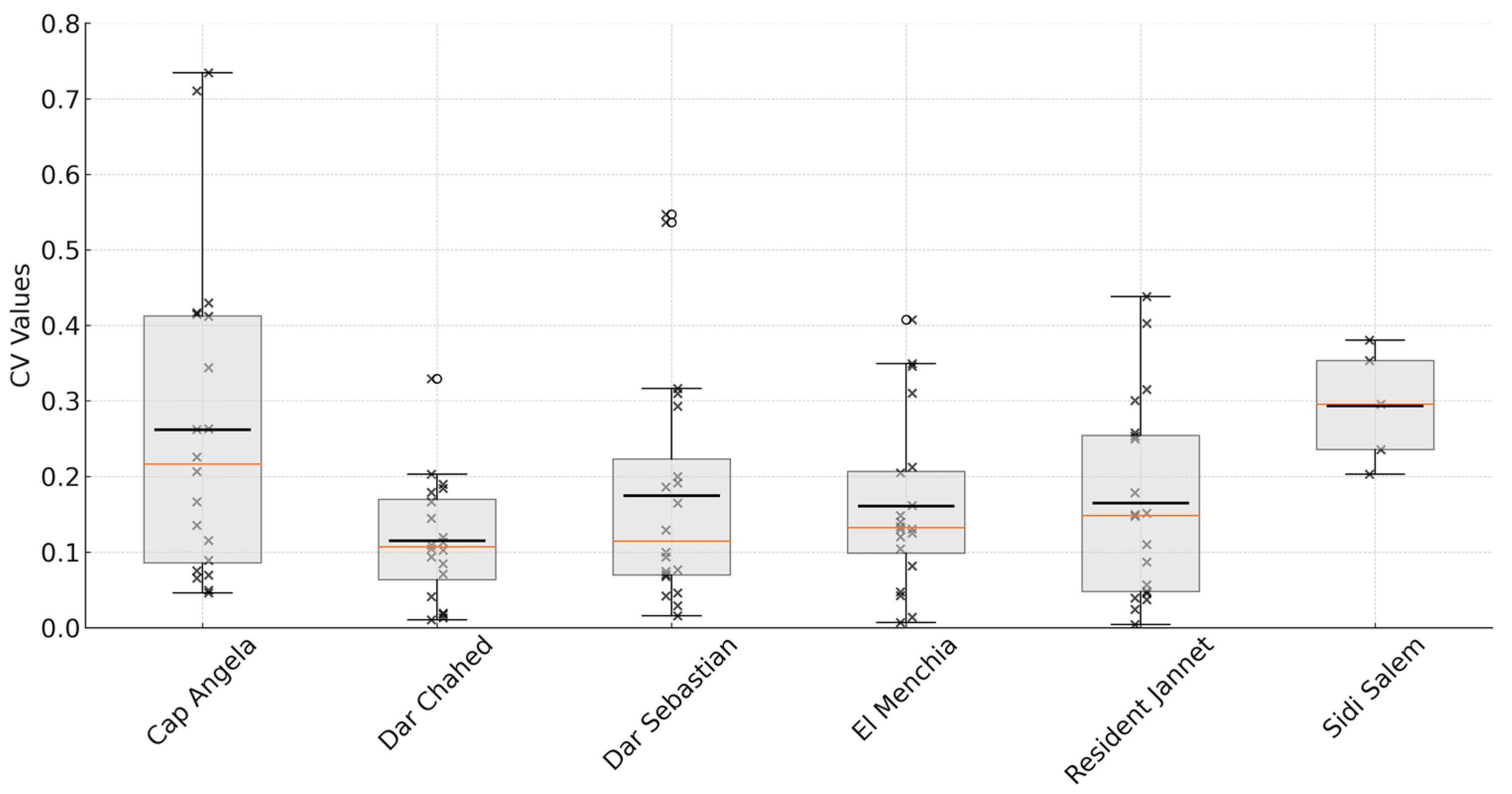
To examine the spatial heterogeneity of litter, we calculated the CV of litter pieces/m2 for neighboring transects across the six beaches (Figure 8). The results reveal distinct patterns in the spatial distribution of litter. Cap Angela shows a wide range of CV values, with a mean of 0.26 ± 0.21 and a median of 0.22, indicating moderate to high variability in litter distribution. The wide interquartile range and the upper whisker of 0.73 indicate areas of high litter density located next to relatively clean zones, suggesting an uneven distribution pattern. At Dar Sebastian, CV values are lower, with a mean of 0.17 ± 0.16; the median is 0.11. This reflects a slightly more uniform distribution of litter along the transects; still, there are two outliers with higher CV values. The CV values for Dar Chahed are mostly low and clustered around a mean of 0.11 ± 0.07, with a median of 0.11, with only one slight increase in variability among the mostly evenly distributed CV values. Resident Jannet has a mean CV of 0.16 ± 0.12, a median of 0.15, and a wider distribution, suggesting greater variability, with some data points noticeably above and below the median value. For El Menchia, the mean CV is 0.16 ± 0.12 and the median is 0.13, with moderate variability and with four higher CV values between 0.31 and 0.41. The CV values for Sidi Salem beach, ranging from 0.20 to 0.38 with a mean of 0.29 ± 0.02 and a median of 0.30, indicate moderate to high variability and an overall tendency toward uneven litter distribution across the two transects surveyed at each time point.
Figure 8.
CVs of litter pieces per m2 in neighboring transects calculated per survey comparing transect 1 and 2; 2 and 3; 3 and 4; and 4 and 5. For Sidi Salem, only transects 1 and 2 were compared as only 2 transects were investigated per survey. Orange lines indicate the median, and the gray line represents the mean value. The crosses indicate the individual CV values, and circles the outlier values.
The variability in litter distribution in neighboring transects, as reflected in the CV values across the six beaches, highlights the spatial heterogeneity of litter accumulation. While the top 30 litter items are widespread, their density per m2 varies considerably, with CV values ranging from low to high depending on the beach. This uneven distribution shows that it is reasonable to extrapolate data from, for example, a 50 m survey to a 100 m stretch, as the variability within shorter stretches is representative of the wider beach area. This approach allows for efficient data collection while maintaining reliable and comparable results.
3.6. Sources of Litter
To identify the sources of litter, the top 30 litter items found across all surveys and on each individual beach were analyzed (Figure 9). On average, these top 30 items accounted for 91.1% ± 1.8% of the total litter per beach. The large quantities of cigarette butts and other SUP items, which could be directly linked to beach users, indicated that most of the litter originated from land-based sources. Specifically, ‘shoreline sources, including poor waste management, tourism, and recreational activities’ were the predominant contributors, accounting for 48.8% to 67.2% of the litter, with an average of 60.6%. Dar Sebastian, as a semi-urban beach, had the highest amount of unidentifiable plastic and polystyrene pieces found and therefore the lowest land-based pollution. In general, a significant percentage of litter, such as pieces of plastic, polystyrene, and paper fragments, could not be attributed to specific sources and was classified as ‘unidentified’ (average: 24.4%).
Figure 9.
Sources of litter per beach and in total for the top 30 litter items.
Overall, land-based litter (average: 70.0%) was much more abundant than sea-based litter (average: 5.6%). Sea-based litter contributed 0.97–1.79% (average: 1.35%) to the pollution and was divided between two sources, namely, ‘fisheries and aquaculture’ with a range from 0.61 to 1.09% (average: 0.88%) and ‘shipping’ with an average of 0.48% (range from 0.36 to 0.73%). In total, only 124 pieces of collected litter could be clearly defined as fishing gear according to the J-List definition. This suggests that beach pollution in Tunisia is predominantly self-inflicted, mainly due to littering by beach users and poor waste management, rather than an external problem brought by the Mediterranean Sea.
3.7. Clean Coast Index and Hazardous Litter
In more than half of the 30 surveys, beaches were classified (CCI) as either dirty (11 times) or extremely dirty (9 times). Moderate pollution was found seven times, a clean beach once, and very clean beaches twice. Additional details per survey can be found in the Supplementary Materials.
A total of 9484 hazardous litter items were found (mean: 0.32 pieces/m2 ± 0.56; median: 0.23 pieces/m2). Hazardous litter was found in each survey, ranging from 8.2% to 53.5% of the total litter per survey, with a mean of 29.9% (±12.7%) and a median of 27.1%. The most common hazardous items included cigarette butts (6705 items; 70.7%), construction material pieces (517 items; 5.5%), and glass items (404 items; 4.3%). In regard to all surveys, in 11 cases, some hazardous litter was found (0.1–1; Type II); in 18 surveys, a considerable amount of hazardous litter was found (1.1–4: Type III); and in 1 survey, most of the area was covered by hazardous litter (+8; Type V). These hazardous litter items pose an even greater threat to human safety than non-hazardous litter, particularly for children, who are more vulnerable. These items can lead to physical injuries, such as cuts from glass or metal fragments, and carry toxic risks, such as poisoning from the ingestion of cigarette butts.
4. Discussion
4.1. Litter Categories and Top Litter Items
This study identified plastic as the most common category of litter, aligning with global research that recognizes plastics as the primary contributor to marine and beach pollution [7,69,70]. When cigarette butts were included in the plastic category, as is customary in studies employing comparable beach litter methods to ours, plastics accounted for 80.3% of all observed litter. This proportion is closely comparable to the 84% plastic content reported in macro-litter studies on European beaches [7]. Over half (52.5%) of the litter we found consisted of SUP. This is in line with other macro-litter studies on Tunisian beaches, where 46.5% and 40.5% of litter consisted of SUP [47]. Similar levels have also been observed using the standard 100 m method on Mediterranean beaches in Europe, where SUP items similar to those in our top ten—such as plastic bags, sweet wrappers, and food containers—accounted for almost half of the litter [71,72]. Cigarette butts, identified in our study as the main litter item and the most common SUP and hazardous litter item, are recognized as a significant environmental problem [65] and as one of the most common beach litter items worldwide [73,74], in the Mediterranean [8,75,76,77], and in Tunisia [39]. As the top litter item, cigarette butts contributed significantly to the high levels of hazardous litter observed on beaches, ranging from 8.2% to 53.5% (mean: 29.9%). This is comparable to findings from a study on Mediterranean beaches in Tunisia, Morocco, and Egypt, where hazardous litter ranged from 2.3% to 49.2% (mean: 17.5%) [47].
4.2. Litter Sources
Overall, land-based litter (average: 70.0%) was significantly more prevalent than sea-based litter (average: 5.6%). These findings align with other research conducted around the Mediterranean Sea [8,39,66]. Shoreline sources, including poor waste management, tourism, and recreational activities, accounted for 60.6% of the litter identified in our study. A total of 24.4% of the litter could not be assigned to specific sources; these items were often small, fragmented plastic pieces whose original product was no longer identifiable. But given that most of the litter pointed to shoreline sources, including poor waste management, tourism, and recreational activities, it can be assumed that a large proportion of the unidentified fragments were likely from these same sources [64,78]. Furthermore, the most common identifiable litter item, cigarette butts, was frequently found in good condition, with intact filters showing no signs of shredding or weathering. This indicates that they were likely discarded directly on the beach and had probably never been in the sea. Similar observations were made for other items such as plastic caps and lids from drinks, as well as sweet wrappers.
Trends in Tunisia indicate that the average daily inflow of plastic to coastal beaches is estimated at 9.5 kg per km [45], with the country accounting for over 80% of the pollution along its own coastline [42]. The high concentration of Tunisia’s population along the coast, where 72% of the total population resides, is a significant contributor to this issue [79]. In urban regions, each person generates approximately 0.8 kg of municipal solid waste per day [80], while in rural areas, the per capita waste generation is about 0.15 kg per day [81], reflecting stark differences in consumption and waste production patterns. A substantial portion of plastic originates from land-based commercial activities, such as stores, markets, and large supermarkets, reflecting the widespread use of SUP products among the population [38]. The extensive reliance on SUPs, combined with low recycling rates, poorly managed waste in open or uncontrolled landfills, and littering, is a major driver of plastic pollution along Tunisia’s coast [82].
The pollution problem is significantly intensified during the summer months, when tourists along the Mediterranean generate an additional 40% of waste that ends up in the marine environment [82]. In Tunisia, 95% of tourists annually stay in coastal areas, producing an average of 2.6 kg of waste per person per day [79]. Plastic waste from recreational activities is estimated to contribute 60% to 70% of the total litter found on beaches [45]. Despite the significant role of tourism in exacerbating this problem, Tunisian tourist communities have not implemented comprehensive or specific integrated waste management systems, particularly for hotels and restaurants [45]. However, pilot activities are currently underway in at least two coastal municipalities, aiming to reduce plastic consumption in hotels and other tourism facilities [45]. These initiatives mark a step forward but remain limited in scope.
4.3. Marine Litter Mitigation Measures in Tunisia
On a national level, Tunisia has undertaken several initiatives to address marine and beach pollution, reflecting its commitment to combating specific SUP litter along its coastlines. On 16 January 2020, the government issued Decree No. 32, banning the production, import, distribution, and possession of single-use plastic bags, with exceptions for biodegradable and reusable alternatives. To complement this, a nationwide communication campaign titled “Let’s Be Responsible” was launched in May 2022 to raise awareness of the plastic bag ban and promote sustainable alternatives [83]. With support from the World Bank, Tunisia developed a “Plastic-Free Coastline” strategy aimed at reducing marine plastic pollution and promoting circular economy approaches [79]. The country has also joined international efforts to combat marine plastic pollution, participating in initiatives such as Marine Litter Med, which supports the implementation of the Regional Plan on Marine Litter Management in the Mediterranean. These efforts collectively highlight Tunisia’s proactive approach to tackling plastic pollution in its coastal and marine environments.
4.4. Litter Pollution Comparison to Other Tunisian Studies
The amount of litter accumulation is highly variable across the different beaches, with significant fluctuations observed both within individual sites and between locations. Although the top litter categories and items are similar to those identified in other studies, comparing pollution metrics like litter pieces/m2 across beach litter studies remains challenging, as many rely solely on standing-stock surveys. While such studies are valuable, the litter collected often represents accumulation over an unknown time period, resulting in highly variable pollution levels potentially influenced by past events, such as storms, prior clean-ups, or other environmental factors. In a 2020 standing-stock analysis of three Tunisian beaches near our study areas, pollution levels were found to be 2.57 ± 1.71 pieces/m2 [38]. In 2021 and 2022, standing-stock surveys were conducted on eight and seven beaches in Tunisia, respectively, revealing pollution levels with a mean of 2.73 pieces/m2 (±4.19; median: 1.20 pieces/m2) in 2021 and a mean of 1.16 pieces/m2 (±0.92; median: 0.99 pieces/m2) in 2022 [47].
Only one spatially limited, year-long study was identified, which monitored pollution levels across three beaches in Monastir, Tunisia, throughout all four seasons of 2021. The results showed a mean pollution value of 3.09 pieces/m2 (±2.29) and a median of 2.19 pieces/m2 [39]. The study reported that most of the litter (43%) was found during the first sampling period in the spring, although no initial beach cleaning was carried out to establish a clean baseline, which may have contributed to the higher pollution levels observed in the spring. Our average pollution levels (1.01 pieces/m2) are relatively low compared to findings from other primarily standing-stock studies. Nonetheless, pollution remains substantially high, as reflected by the CCI values. According to the EU’s definition of a clean beach, a Good Environmental Status requires no more than 20 litter pieces per 100 m, though no specific standard for pollution per m2 has been established by the EU [46]. With a median of 2039 pieces per 100 m, our beaches are far above this threshold.
4.5. Seasonal Litter Variations
When litter data were analyzed by season, no clear trends were observed regarding the pollution levels on our beaches. This lack of a distinct pattern is unsurprising, given that the surveys were conducted over the course of only one year. Litter abundances are known to exhibit significant spatial and temporal heterogeneity, even in studies spanning several years or decades [84,85]. Despite the absence of a seasonal trend, the overall pollution levels on the surveyed beaches were consistently high. Cigarette butts, sweet wrappers, and plastic lids from drink bottles were found in high quantities during each survey independent of the season, highlighting the significant contribution of pollution from beach users. Not a single survey recorded pollution levels below the MSFD Good Environmental Status threshold of 20 litter items per 100 m. This consistently high pollution underscores the persistent nature of the pollution problem, stressing the urgent need for effective and targeted interventions to mitigate beach pollution, particularly on heavily impacted urban beaches. Beach cleaning activities alone appear to have limited effectiveness.
4.6. Beach Cleaning and Pollution’s Impact on Tourism
Beach cleaning activities in Tunisia are primarily conducted manually by workers during the high season, focusing on visible macro-litter such as bottles, large paper pieces, and cigarette boxes. However, smaller litter—such as cigarette butts, plastic caps and lids, sweet wrappers, and smaller plastic pieces—remains on the beach due to its smaller size (around 2.5), making it harder to spot and remove. Over time, this uncollected litter accumulates as beaches are visited throughout the year, while cleaning efforts are limited to the peak tourist season.
As a result, litter is subjected to weathering, UV radiation, wind, and mechanical forces, leading to fragmentation and the creation of smaller particles, including meso- and micro-litter. This persistent litter, which was not the focus of this study, was visibly present at all the surveyed beaches. Its accumulation poses significant environmental challenges and underscores the limitations of beach cleaning as a standalone solution.
In addition to environmental concerns, beach pollution directly impacts the tourism industry. Macro-, meso-, and micro-litter, often appearing in various colors, are visible to beach users and can deter tourists and residents alike. Studies have shown that pollution levels exceeding two pieces of macro-litter per m2 significantly reduce beach attractiveness [37], leading to a decline in visitor numbers and subsequent losses in income and employment within the local tourism sector [33]. Hazardous items further exacerbate this problem, deterring beachgoers and damaging the area’s reputation as a tourist destination [31,37]. Pollution negatively affects visitor satisfaction, reducing the likelihood of their return and causing financial strain on the tourism-dependent economy [33,86].
Although Tunisia has steadily increased funding and efforts for beach cleaning in recent years [87,88], these “end-of-pipe” solutions are insufficient to address the root causes of pollution. Despite these increased efforts, our findings indicate that many beaches still fall within the “moderately” to “heavily” polluted categories based on CCI standards. To maintain the appeal of beaches for tourists, it is essential not only to intensify cleaning efforts but also to develop a comprehensive understanding of pollution trends, sources, and mitigation strategies.
5. Recommendations
5.1. Beach Litter Monitoring
Long-term monitoring in Tunisia is urgently needed to provide reliable data on litter trends and quantities, and to enable the implementation of effective and targeted marine litter prevention measures. In general, we recommend following standardized guidelines for litter monitoring such as those of the UNEP, OSPAR, or the EU [21,23,89]. But if beaches are heavily polluted and/or workforce is low, our accelerated transect approach can be used to determine the number of 10 m transects required to identify the top 30 litter items with 95% confidence. Beaches with lower pollution, like Cap Angela and Dar Sebastian, required more transects to achieve a 95% detection probability due to the scattered presence of less common litter items. Therefore, we suggest that due to the lower pollution levels at Cap Angela and Dar Sebastian, 10 transects should be surveyed.
5.2. Pollution Hotspots, Time-Efficiency, and Volunteer Engagement
On heavily polluted beaches such as Resident Jannet, Dar Chahed, and El Menchia, four to five transects are sufficient to capture representative pollution data. For the pollution hotspot of Sidi Salem, just two transects are adequate, as the top litter items were found to be highly abundant. This demonstrates the efficiency of the accelerated method, which can be tailored to varying pollution levels. The findings suggest that our adaptive 10 m transect-based macro-litter monitoring method is well suited to local pollution conditions, providing enhanced efficiency, particularly in terms of time, for beach litter assessments.
Collecting beach pollution data requires substantial human resources, typically provided by NGOs, which play a central role in beach surveys. Since these surveys rely on volunteers, time-efficiency is critical; our 5-transect survey takes only half the time of a standard 100 m survey (10 transects), with a reduction per transect resulting in corresponding time-saving of about 10%. Ensuring data quality is also essential. Our experience suggests that recruiting volunteers for regular 100 m monitoring on (heavily) polluted beaches is challenging, as a single survey with litter analysis can easily extend to a full 8 h workday or more. This often leads to reduced motivation, inconsistent litter collection, and even volunteer withdrawal due to the time commitment. These findings align with the UNEP’s report of a 50% decline in volunteer participation in beach clean-ups from 2002 to 2015 [8].
Therefore, our approach can support Tunisia’s planned efforts, particularly in conducting field surveys of marine plastic pollution in selected hotspots [45], strengthening a national monitoring program of marine litter and aiding in the development of a national database to track and analyze litter trends [45]. By streamlining and accelerating these processes, our method could play a vital role in advancing Tunisia’s marine litter management initiatives.
5.3. Determining the Number of 10 m Transects Required
In part, the CCI can be used to calculate the number of transects required. Here, the median value should be used. The median is less affected by extreme pollution values, which often occur in beach litter studies [46]. A global review of beach litter found that only 16% of studies carried out an initial clean-up prior to data collection. It is strongly recommended that first-survey data should be discarded in studies that track litter density over time to ensure consistent intervals for subsequent surveys [90]. This is important, as our initial clean-up data showed pollution levels (mean: 2.15 litter pieces/m2 ± 1.69; median: 1.68) twice as high as those observed in later surveys. Including this initial clean-up data in our calculations would have inflated the initial values and potentially led to a misinterpretation of the results. Therefore, for long-term monitoring, data from an initial clean-up—if collected in 10 m transects—should be used cautiously and are of limited value as a starting point for determining the number of transects needed. Regardless of the expected pollution levels, we recommend conducting an initial clean-up (10 transects) first, followed by a regular first survey of another 10 transects. The data from this first survey can then be used to calculate the number of transects required to detect the top litter items (covering > 90%) with 95% probability.
5.4. Data Accuracy and Extrapolation of Results
It could be argued that a shorter survey, such as of five transects, might result in information loss compared to the standard 100 m monitoring method. However, our study indicates that litter density per m2 per transect has an average CV of 18.1% ± 14.0 (median: 14.7%). Similarly, Haseler et al. (2024), who analyzed the CV across five adjacent transects, reported an average CV of 28.3% ± 13.2 (median: 25.6%) [47]. Schulz et al. (2021) applied a similar 5 × 100 m transect approach on a low-pollution German coastline and observed an increased CV value of up to 113% [91]. Such levels of variability are likely present in most studies using standard 100 m surveys, though it may not be reflected in the summarized results per survey (litter pieces per 100 m). Despite this variability, Schulz et al. (2021) concluded that a transect approach could improve data accuracy and reliability, as well as the statistical power of beach litter studies, making it easier to detect significant patterns or changes in litter levels over time [91]. We therefore argue that extrapolating results to the standard 100 m length is both appropriate and justified, especially considering the time-savings and reduced workload for volunteers. Our study shows that the transect-based survey approach provides results directly comparable to standard 100 m monitoring surveys. In addition to the litter pieces per 100 m, the pollution level should also always be reported in litter pieces/m2 as it makes comparison between studies easier. Vlachogianni et al. (2018) suggest that litter pieces/m2 is the most appropriate unit to use when land-based sources of marine litter are dominant, whereas litter per 100 m is more suitable when sea-based sources prevail, as it better reflects the influx of floating litter washed ashore [66]. Therefore, we advocate for the reporting of both metrics—litter per 100 m and litter per m2—to enhance comparability across studies. Ensuring that surveys produce comparable results is essential, as standardizing reporting metrics remains a key challenge in global beach litter research, where findings are often presented in inconsistent formats [90].
5.5. Long-Term Beach Litter Monitoring
An accelerated transect-based macro-litter monitoring method allows for the inclusion of more beaches in a long-term monitoring program, resulting in more comprehensive data collection. This is important, as capturing an accurate picture of pollution requires a representative mix of beach types that is able to reflect the different kinds of pollution sources [46]. Therefore, we recommend investigating different types of beaches including remote, rural, semi-rural (village), semi-urban, urban, and tourist (resort) beaches, as suggested by previous studies [47,92]. To provide a comprehensive spatial overview of pollution, four to five representative beaches of each type should be studied in different subregions of the area of interest. Approximately 40 surveys per beach type are recommended, which could be structured as follows: 3 different remote beaches, each surveyed 4 times per year over 3 years (3 beaches × 4 surveys/year × 3 years = 36 surveys) [46]. A similar approach should be applied to urban beaches and other beach types. Even with limited initial resources for beach litter monitoring, the data collected can still be valuable for subsequent trend analysis and statistical power calculations [23]. This information can play a crucial role in enhancing and optimizing long-term monitoring efforts.
5.6. Future Studies
Future studies should address aspects that were not covered in this study. The high variability in the pollution data suggests that different beaches may have unique litter sources and accumulation patterns, influenced by factors such as location, human activity, and seasonal variations. Besides the human factor, beach dynamics play a crucial role in determining litter accumulation patterns [93] and should be further considered in future monitoring efforts. Meso-litter (5–25 mm) was widely distributed across the beaches and should be included in future studies. Due to its small size, it often escapes standard beach cleaning efforts, making it a valuable indicator of litter distribution that is less influenced by cleaning activities. Large amounts of litter were frequently observed but not examined in the dunes. Winds tend to blow litter up the beach toward dunes [53] and can also transport litter over considerable distances along the coast or from urban areas to less-frequented beaches [94]. Therefore, it is crucial to include hard-to-access beaches in monitoring efforts, as these areas can accumulate significant amounts of pollution due to currents, watersheds, and river discharge, and are often not subjected to regular beach cleaning [92,95]. Research suggests that beaches exposed to stronger winds and currents often accumulate more litter than sheltered areas. Additionally, the upper sections of wider, gently sloping beaches appear to act as traps for litter, as waves can push litter higher up the shoreline, leading to increased accumulation [96,97,98,99]. To achieve a more comprehensive assessment of the spatial distribution of litter, it may be beneficial to include transects along the depth of the beach in addition to those along its width. This approach would be particularly valuable on beaches with a long distance between the waterline and the back of the beach, where litter distribution patterns may vary significantly.
6. Conclusions
The aim of this study was to tackle the growing problem of marine litter by developing and testing an accelerated monitoring method for beach litter on Tunisian beaches. Our results revealed consistently high litter densities, with plastics and cigarette butts dominating pollution, alongside significant seasonal and spatial variations. These findings emphasize the importance of tailored monitoring methods to better understand pollution dynamics and inform targeted mitigation efforts.
The accelerated 10 m transect method used in this study proved to be both time-efficient and adaptable, especially for heavily polluted beaches, making it a promising tool for the establishment of a national beach litter monitoring program. However, the study was limited to one year and six beaches, which may have prevented us from fully capturing long-term trends and variations in litter densities and sources. Future studies should expand monitoring efforts to include additional beaches and meso-litter surveys, offering a more comprehensive understanding of litter pollution on Tunisian coasts.
By delivering an efficient and adaptable monitoring method that produces harmonized pollution data, this study provides a valuable tool for marine litter monitoring and contributes to the protection of Tunisia’s coastal ecosystems.
Supplementary Materials
The following supporting information can be downloaded at https://www.mdpi.com/article/10.3390/jmse13010071/s1, Table S1: Macro-litter data.
Author Contributions
Conceptualization, M.H., G.S., F.M. and E.B.S.; methodology, M.H. and G.S.; data collection: E.B.S., F.M., L.B.A. and M.H.; formal analysis, M.H.; writing—original draft, M.H.; writing—review and editing, all authors; visualization, M.H.; supervision, G.S., A.N. and F.M.; project administration, A.N.; funding acquisition: A.N., F.M. and G.S.; All authors have read and agreed to the published version of the manuscript.
Funding
This research was funded by the BMU/ZUG project TouMaLi (Beitrag der nachhaltigen Abfallwirtschaft im Tourismus zum Schutz der Meeresökosysteme), under grant number 65MM0001.
Institutional Review Board Statement
Not applicable.
Informed Consent Statement
Not applicable.
Data Availability Statement
The original contributions presented in the study are included in the article and Supplementary Materials, and further inquiries can be directed to the corresponding author.
Acknowledgments
The authors would like to thank all the volunteers who helped us with beach litter monitoring. The authors would also like to thank the Commune of Hammam Sousse: Tarak BEN AMOR; the Commune of Bizerte: Mohamed BEN HATTAB; and the Commune of Hammamet: Oussama LOUATI.
Conflicts of Interest
The authors declare no conflicts of interest. The funders had no role in the design of the study; in the collection, analyses, or interpretation of data; in the writing of the manuscript; or in the decision to publish the results.
References
- Declerck, A.; Delpey, M.; Rubio, A.; Ferrer, L.; Basurko, O.C.; Mader, J.; Louzao, M. Transport of floating marine litter in the coastal area of the south-eastern Bay of Biscay: A Lagrangian approach using modelling and observations. J. Oper. Oceanogr. 2019, 12, S111–S125. [Google Scholar] [CrossRef]
- Fallati, L.; Polidori, A.; Salvatore, C.; Saponari, L.; Savini, A.; Galli, P. Anthropogenic Marine Debris assessment with Unmanned Aerial Vehicle imagery and deep learning: A case study along the beaches of the Republic of Maldives. Sci. Total Environ. 2019, 693, 133581. [Google Scholar] [CrossRef]
- Urban-Malinga, B.; Zalewski, M.; Jakubowska, A.; Wodzinowski, T.; Malinga, M.; Pałys, B.; Dąbrowska, A. Microplastics on sandy beaches of the southern Baltic Sea. Mar. Pollut. Bull. 2020, 155, 111170. [Google Scholar] [CrossRef] [PubMed]
- Pham, C.K.; Ramirez-Llodra, E.; Alt, C.H.; Amaro, T.; Bergmann, M.; Canals, M.; Company, J.B.; Davies, J.; Duineveld, G.; Galgani, F.; et al. Marine litter distribution and density in European seas, from the shelves to deep basins. PLoS ONE 2014, 9, e95839. [Google Scholar] [CrossRef] [PubMed]
- UNEP. United Nations Environment Programme: Marine Litter. An Analytical Overview; UNEP: Athens, Greece, 2005. [Google Scholar]
- Reisser, J.; Shaw, J.; Wilcox, C.; Hardesty, B.D.; Proietti, M.; Thums, M.; Pattiaratchi, C. Marine plastic pollution in waters around Australia: Characteristics, concentrations, and pathways. PLoS ONE 2013, 8, e80466. [Google Scholar] [CrossRef] [PubMed]
- Addamo, A.M.; Perrine, L.; Hanke, G. Top Marine Beach Litter Items in Europe: A Review and Synthesis Based on Beach Litter Data; JRC Technical Report EUR 29249 EN; European Commission: Brussels, Belgium, 2017.
- UNEP. Marine Litter Assessment in the Mediterranean; UNEP: Athens, Greece, 2015. [Google Scholar]
- Cesarano, C.; Aulicino, G.; Cerrano, C.; Ponti, M.; Puce, S. Marine beach litter monitoring strategies along Mediterranean coasts. A methodological review. Mar. Pollut. Bull. 2023, 186, 114401. [Google Scholar] [CrossRef] [PubMed]
- Mghili, B.; Keznine, M.; Analla, M.; Aksissou, M. The impacts of abandoned, discarded and lost fishing gear on marine biodiversity in Morocco. Ocean Coast. Manag. 2023, 239, 106593. [Google Scholar] [CrossRef]
- Law, K.L. Plastics in the Marine Environment. Ann. Rev. Mar. Sci. 2017, 9, 205–229. [Google Scholar] [CrossRef]
- Campbell, M.L.; Slavin, C.; Grage, A.; Kinslow, A. Human health impacts from litter on beaches and associated perceptions: A case study of ‘clean’ Tasmanian beaches. Ocean Coast. Manag. 2016, 126, 22–30. [Google Scholar] [CrossRef]
- Sherrington, C.; Darrah, C. Towards a Method for Monitoring Litter Pathways to the Aquatic Environment: Clean Europe Network. Available online: https://cleaneuropenetwork.eu/pdf/2014-Eunomia-Feasibility%20Study.pdf (accessed on 13 November 2024).
- Zielinski, S.; Botero, C.M.; Yanes, A. To clean or not to clean? A critical review of beach cleaning methods and impacts. Mar. Pollut. Bull. 2019, 139, 390–401. [Google Scholar] [CrossRef]
- Plastics Europe. Plastics—The Fast Facts 2023. Available online: https://plasticseurope.org/knowledge-hub/plastics-the-fast-facts-2023/ (accessed on 23 November 2024).
- Galgani, F.; Brien, A.S.; Weis, J.; Ioakeimidis, C.; Schuyler, Q.; Makarenko, I.; Griffiths, H.; Bondareff, J.; Vethaak, D.; Deidun, A.; et al. Are litter, plastic and microplastic quantities increasing in the ocean? Micropl. Nanopl. 2021, 1, 2. [Google Scholar] [CrossRef]
- Lincoln, S.; Andrews, B.; Birchenough, S.N.R.; Chowdhury, P.; Engelhard, G.H.; Harrod, O.; Pinnegar, J.K.; Townhill, B.L. Marine litter and climate change: Inextricably connected threats to the world’s oceans. Sci. Total Environ. 2022, 837, 155709. [Google Scholar] [CrossRef]
- JRC. Marine Litter: Technical Recommendations for the Implementation of MSFD Requirements; MSFD GES Technical Subgroup on Marine Litter; Joint Research Centre: Luxembourg, 2011; ISBN 978-92-79-21802-6. [Google Scholar]
- Hanke, G.; Waalvort, D.; Van Loon, W.; Addamo, A.M.; Broisch, A.; del Mar Chaves Montero, M.; Molina Jack, M.E.; Vinci, M.; Giorgetti, A. EU Marine Beach Litter Baselines: Analysis of a Pan-European 2012–2016 Beach Litter Dataset; EUR 30022 EN; Publications Office of the European Union: Brussels, Belgium, 2019. [Google Scholar]
- Lebreton, L.C.; Greer, S.D.; Borrero, J.C. Numerical modelling of floating debris in the world’s oceans. Mar. Pollut. Bull. 2012, 64, 653–661. [Google Scholar] [CrossRef] [PubMed]
- MSFD Technical Subgroup on Marine Litter. Guidance on Monitoring of Marine Litter in European Seas: A Guidance Document Within the Common Implementation Strategy for the Marine Strategy Framework Directive; JRC Scientific and Policy Reports EUR 26113 EN; European Commission: Brussels, Belgium, 2013.
- MSFD Technical Subgroup on Marine Litter. Guidance on the Monitoring of Marine Litter in European Seas: An Update to Improve the Harmonised Monitoring of Marine Litter Under the Marine Strategy Framework Directive; Publications Office of the European Union: Brussels, Belgium, 2023. [Google Scholar] [CrossRef]
- UNEP/MAP. Integrated Monitoring and Assessment Guidance: United Nations Environment Programme Mediterranean Action Plan. In Proceedings of the 19th Ordinary Meeting of the Contracting Parties to the Convention for the Protection of the Marine Environment and the Coastal Region of the Mediterranean and Its Protocols, Athens, Greece, 9–12 February 2016. [Google Scholar]
- MSFD Technical Subgroup on Marine Litter. 2008/56/EC: Commission Decision of 1 September 2010 on criteria and methodological standards on good environmental status of marine waters: (notified under document C(2010) 5956). Off. J. Eur. Union 2010, 232, L.232/14. [Google Scholar]
- UNEP. 2017 Mediterranean Quality Status Report; UNEP: Athens, Greece, 2017. [Google Scholar]
- Galgani, F.; Claro, F.; Depledge, M.; Fossi, C. Monitoring the impact of litter in large vertebrates in the Mediterranean Sea within the European Marine Strategy Framework Directive (MSFD): Constraints, specificities and recommendations. Mar. Environ. Res. 2014, 100, 3–9. [Google Scholar] [CrossRef]
- Suaria, G.; Avio, C.G.; Mineo, A.; Lattin, G.L.; Magaldi, M.G.; Belmonte, G.; Moore, C.J.; Regoli, F.; Aliani, S. The Mediterranean Plastic Soup: Synthetic polymers in Mediterranean surface waters. Sci. Rep. 2016, 6, 37551. [Google Scholar] [CrossRef]
- Mejjad, N.; Rossi, A.; Pavel, A.B. The coastal tourism industry in the Mediterranean: A critical review of the socio-economic and environmental pressures & impacts. Tour. Manag. Perspect. 2022, 44, 101007. [Google Scholar] [CrossRef]
- UN. 14 Life Below Water: Sustainable Development Goal. Available online: https://www.un.org/sustainabledevelopment/wp-content/uploads/2019/07/14_Why-It-Matters-2020.pdf (accessed on 12 November 2024).
- Ariza, E.; Leatherman, S.P. No-Smoking Policies and Their Outcomes on U.S. Beaches. J. Coast. Res. 2012, 278, 143–147. [Google Scholar] [CrossRef]
- NOAA. FINAL REPORT Assessing the Economic Benefits of Reductions in Marine Debris: A Pilot Study of Beach Recreation in Orange County, California; Industrial Economics Incorporated: Cambridge, MA, USA, 2014. [Google Scholar]
- Giorgio, A.; Hernando Jose, B.A.; Moreno Hernando, S.; Diego Andres, V.D.; Daza Olga Lucia, L. Coastal Tourism Importance and Beach Users’ Preferences: The “Big Fives” Criterions and Related Management Aspects. J. Tour. Hosp. 2018, 7, 1000347. [Google Scholar] [CrossRef]
- UNEP; GRID-Arendal. Marine Litter Vital Graphics: United Nations Environment Programme and GRID-Arendal. Available online: https://www.grida.no/resources/6933 (accessed on 10 November 2024).
- The Global Economy. Tunisia: International Tourism Revenue, Percent of GDP. Available online: https://www.theglobaleconomy.com/Tunisia/international_tourism_revenue_to_GDP/ (accessed on 10 July 2024).
- WTTC. Travel & Tourism Set to Inject TND 23BN into Tunisia’s Economy this Year. Available online: https://wttc.org/news-article/travel-and-tourism-set-to-inject-tnd-23bn-into-tunisias-economy-this-year (accessed on 1 November 2024).
- Krelling, A.P.; Williams, A.T.; Turra, A. Differences in perception and reaction of tourist groups to beach marine debris that can influence a loss of tourism revenue in coastal areas. Mar. Policy 2017, 85, 87–99. [Google Scholar] [CrossRef]
- Ballance, A.; Ryan, P.G.; Turpie, J.K. How much is a clean beach worth? The impact of litter on beach users in the Cape Peninsula, South Africa. S. Afr. J. Sci. 2000, 96, 210–213. [Google Scholar]
- Abdelkader, N.; Ben Ismail, S.; Zakhama-Sraieb, R. Macro-, meso- and microplastic debris in three sandy beaches of north-eastern Tunisian coasts. Reg. Stud. Mar. Sci. 2023, 67, 103229. [Google Scholar] [CrossRef]
- Rym, B.D.; Challouf, R.; Derouiche, E.; Boubaker, H.B.; Wael, K.; Attouchi, M.; Jaziri, H.; Ismail, S.B. Beach macro-litter monitoring on monastir coastal sea (Tunisia): First findings. In Ninth International Symposium “Monitoring of Mediterranean Coastal Areas: Problems and Measurement Techniques”; Firenze University Press: Florence, Italy, 2022. [Google Scholar]
- Robbe, E.; Abdallah, L.B.; El Fels, L.; Chaher, N.E.H.; Haseler, M.; Mhiri, F.; Schernewski, G. Towards Solving the Beach Litter Problem: Ecosystem Service Assessments at North African Coasts. Sustainability 2024, 16, 5911. [Google Scholar] [CrossRef]
- Inocente, S.A.T.; Gutierrez, C.S.; Sison, M.P.M.; Madarcos, J.R.V.; Requiron, J.C.M.; Pacilan, C.J.M.; Gaboy, S.M.M.; Segovia, J.L.M.; Bacosa, H.P. Perception and Awareness of Marine Plastic Pollution in Selected Tourism Beaches of Barobo, Surigao del Sur, Philippines. J. Environ. Manag. Tour. 2023, 14, 2367. [Google Scholar] [CrossRef]
- Liubartseva, S.; Coppini, G.; Lecci, R.; Clementi, E. Tracking plastics in the Mediterranean: 2D Lagrangian model. Mar. Pollut. Bull. 2018, 129, 151–162. [Google Scholar] [CrossRef] [PubMed]
- Opfer, S.; Courtney, A.; Lippiatt, S. NOAA Marine Debris Shoreline Survey Field Guide; NOAA Marine Debris Program: Montgomery, MD, USA, 2012. [Google Scholar]
- Barnardo, T.; Marlin, D.; Ribbink, A.; Pichegru, L. African Litter Monitoring Manual, 2nd ed.; African Marine Network, Sustainable Seas Trust: Gqeberha, South Africa, 2023. [Google Scholar]
- World Bank. Plastic-Free Coastlines: A Contribution from the Maghreb to Address Marine Plastic Pollution; World Bank: Washington, DC, USA, 2022. [Google Scholar]
- JRC. A European Beach Litter Threshold Value and Assessment Method: Proposal Within the Common Implementation Strategy for the Marine Strategy Framework Directive; JRC: Brussels, Belgium, 2020. [Google Scholar]
- Haseler, M.; Ben Abdallah, L.; El Fels, L.; El Hayany, B.; Hassan, G.; Escobar-Sánchez, G.; Robbe, E.; von Thenen, M.; Loukili, A.; Abd El-Raouf, M.; et al. Assessment of Beach Litter Pollution in Egypt, Tunisia, and Morocco: A Study of Macro and Meso-litter 1 on Mediterranean Beaches. Environ. Monit. Assess 2024. [Google Scholar]
- Smith, S.D.A.; Markic, A. Estimates of marine debris accumulation on beaches are strongly affected by the temporal scale of sampling. PLoS ONE 2013, 8, e83694. [Google Scholar] [CrossRef] [PubMed]
- Schulz, M.; Walvoort, D.J.J.; Barry, J.; Fleet, D.M.; van Loon, W.M.G.M. Baseline and power analyses for the assessment of beach litter reductions in the European OSPAR region. Environ. Pollut. 2019, 248, 555–564. [Google Scholar] [CrossRef]
- Schernewski, G.; Balciunas, A.; Gräwe, D.; Gräwe, U.; Klesse, K.; Schulz, M.; Wesnigk, S.; Fleet, D.; Haseler, M.; Möllman, N.; et al. Beach macro-litter monitoring on southern Baltic beaches: Results, experiences and recommendations. J. Coast Conserv. 2018, 22, 5–25. [Google Scholar] [CrossRef]
- Leite, A.S.; Santos, L.L.; Costa, Y.; Hatje, V. Influence of proximity to an urban center in the pattern of contamination by marine debris. Mar. Pollut. Bull. 2014, 81, 242–247. [Google Scholar] [CrossRef]
- Poeta, G.; Conti, L.; Malavasi, M.; Battisti, C.; Acosta, A.T.R. Beach litter occurrence in sandy littorals: The potential role of urban areas, rivers and beach users in central Italy. Estuar. Coast. Shelf Sci. 2016, 181, 231–237. [Google Scholar] [CrossRef]
- Okuku, E.O.; Kiteresi, L.I.; Owato, G.; Mwalugha, C.; Omire, J.; Mbuche, M.; Chepkemboi, P.; Ndwiga, J.; Nelson, A.; Kenneth, O.; et al. Baseline meso-litter pollution in selected coastal beaches of Kenya: Where do we concentrate our intervention efforts? Mar. Pollut. Bull. 2020, 158, 111420. [Google Scholar] [CrossRef]
- Ryan, P.G.; Weideman, E.A.; Perold, V.; Moloney, C.L. Toward Balancing the Budget: Surface Macro-Plastics Dominate the Mass of Particulate Pollution Stranded on Beaches. Front. Mar. Sci. 2020, 7, 575395. [Google Scholar] [CrossRef]
- Olivelli, A.; Hardesty, B.D.; Wilcox, C. Coastal margins and backshores represent a major sink for marine debris: Insights from a continental-scale analysis. Environ. Res. Lett. 2020, 15, 74037. [Google Scholar] [CrossRef]
- Marlin Baltic Marine Litter. Beach Litter Measurement Method Description; European Union: Brussels, Belgium, 2011. [Google Scholar]
- Haseler, M.; Weder, C.; Buschbeck, L.; Wesnigk, S.; Schernewski, G. Cost-effective monitoring of large micro- and meso-litter in tidal and flood accumulation zones at south-western Baltic Sea beaches. Mar. Pollut. Bull. 2019, 149, 110544. [Google Scholar] [CrossRef]
- Velander, K.; Mocogni, M. Beach Litter Sampling Strategies: Is there a ‘Best’Method? Mar. Pollut. Bull. 1999, 38, 1134–1140. [Google Scholar] [CrossRef]
- Paskoff, R. Tunisia. In Artificial Structures and Shorelines; Walker, H.J., Ed.; Springer: Dordrecht, The Netherlands, 1988; pp. 269–271. ISBN 978-94-010-7847-4. [Google Scholar]
- Semeoshenkova, V.; Newton, A.; Contin, A.; Greggio, N. Development and application of an Integrated Beach Quality Index (BQI). Ocean Coast. Manag. 2017, 143, 74–86. [Google Scholar] [CrossRef]
- Fleet, D.; Vlachogianni, T.; Hanke, G. A Joint List of Litter Categories for Marine Macrolitter Monitoring: Manual for the Application of the Classification System; EUR 30348 EN; Publications Office of the European Union: Luxembourg, 2021. [Google Scholar] [CrossRef]
- EU. Online Photo Catalogue of the Joint List of Litter Categories: Example Images to Support the Monitoring of Macro Litter in Different Environmental Matrices. Available online: https://mcc.jrc.ec.europa.eu/main/photocatalogue.py?N=41&O=457&cat=pl (accessed on 12 October 2024).
- EU. Directive (EU) 2019/904 of the European Parliament and of the Council of 5 June 2019 on the reduction of the impact of certain plastic products on the environment: (Text with EEA relevance). Off. J. Eur. Union 2019, 155, 1–19. [Google Scholar]
- Tudor, D.T.; Williams, A.T. Development of a ‘Matrix Scoring Technique’ to determine litter sources at a Bristol Channel beach. J. Coast. Conserv. 2004, 10, 119–127. [Google Scholar] [CrossRef]
- Veiga, J.M.; Fleet, D.; Kinsey, S.; Nilsson, P.; Vlachogianni, T.; Werner, S.; Galgani, F.; Thompson, R.C.; Dagevos, J.; Gago, J.; et al. Identifying Sources of Marine Litter: MSFD GES TG Marine Litter—Thematic Report; European Union: Brussels, Belgium, 2016. [Google Scholar]
- Vlachogianni, T.; Fortibuoni, T.; Ronchi, F.; Zeri, C.; Mazziotti, C.; Tutman, P.; Varezić, D.B.; Palatinus, A.; Trdan, Š.; Peterlin, M.; et al. Marine litter on the beaches of the Adriatic and Ionian Seas: An assessment of their abundance, composition and sources. Mar. Pollut. Bull. 2018, 131, 745–756. [Google Scholar] [CrossRef] [PubMed]
- Vlachogianni, T. Marine Litter in Mediterranean Coastal and Marine Protected Areas How Bad Is It?: A Snapshot Assessment Report on the Amount, Composition and Sources of Marine Litter Found on Beaches; European Union: Brussels, Belgium, 2019. [Google Scholar]
- Alkalay, R.; Pasternak, G.; Zask, A. Clean-coast index—A new approach for beach cleanliness assessment. Ocean Coast. Manag. 2007, 50, 352–362. [Google Scholar] [CrossRef]
- UN. Regional Plan on Marine Litter Management in the Mediterranean to Prevent and Eliminate Pollution Enters into Force. Available online: https://www.unep.org/unepmap/news/news/regional-plan-marine-litter-management-mediterranean-prevent-and-eliminate-pollution (accessed on 23 October 2024).
- Lee, J.; Hong, S.; Song, Y.K.; Hong, S.H.; Jang, Y.C.; Jang, M.; Heo, N.W.; Han, G.M.; Lee, M.J.; Kang, D.; et al. Relationships among the abundances of plastic debris in different size classes on beaches in South Korea. Mar. Pollut. Bull. 2013, 77, 349–354. [Google Scholar] [CrossRef] [PubMed]
- Vlachogianni, T.; Skocir, M.; Constantin, P.; Labbe, C.; Orthodoxou, D.; Pesmatzoglou, I.; Scannella, D.; Spika, M.; Zissimopoulos, V.; Scoullos, M. Plastic pollution on the Mediterranean coastline: Generating fit-for-purpose data to support decision-making via a participatory-science initiative. Sci. Total Environ. 2020, 711, 135058. [Google Scholar] [CrossRef] [PubMed]
- European Commission. Proposal for a Directive of the European Parliament and of the Council on the Reduction of the Impact of Certain Plastic Products on the Environment; European Union: Brussels, Belgium, 2018.
- Wright, S.L.; Rowe, D.; Reid, M.J.; Thomas, K.V.; Galloway, T.S. Bioaccumulation and biological effects of cigarette litter in marine worms. Sci. Rep. 2015, 5, 14119. [Google Scholar] [CrossRef]
- Araújo, M.C.B.; Costa, M.F. A critical review of the issue of cigarette butt pollution in coastal environments. Environ. Res. 2019, 172, 137–149. [Google Scholar] [CrossRef]
- Mghili, B.; Lamine, I.; Bouzekry, A.; Gunasekaran, K.; Aksissou, M. Cigarette butt pollution in popular beaches of Morocco: Abundance, distribution, and mitigation measures. Mar. Pollut. Bull. 2023, 195, 115530. [Google Scholar] [CrossRef] [PubMed]
- Asensio-Montesinos, F.; Oliva Ramírez, M.; Aguilar-Torrelo, M.T.; Anfuso, G. Abundance and Distribution of Cigarette Butts on Coastal Environments: Examples from Southern Spain. JMSE 2021, 9, 129. [Google Scholar] [CrossRef]
- Grelaud, M.; Ziveri, P. The generation of marine litter in Mediterranean island beaches as an effect of tourism and its mitigation. Sci. Rep. 2020, 10, 20326. [Google Scholar] [CrossRef] [PubMed]
- Earll, R.C.; Williams, A.T.; Tudor, D.T. Pilot Project to Establish Methodologies and Guidelines to Identify Marine Litter from Shipping; Maritime and Coastguard Agency Research Project No 470; Coastal Management for Sustainability: Gloucestershire, UK, 2000; 137p. [Google Scholar]
- World Bank. Stratégie de la Tunisie «Littoral Sans Plastiques—LISP»: Diagnostic de la Situation et Ébauche de Plan D’Action; Report 171703; World Bank: Washington, DC, USA, 2022. [Google Scholar]
- EcoMENA. Solid Waste Management in Tunisia: Africa, Middle East, Waste Management. Available online: https://www.ecomena.org/solid-waste-management-tunisia/ (accessed on 19 December 2024).
- Sweepnet. Report on the Solid Waste Management in TUNISIA; Deutsche Gesellschaft für Internationale Zusammenarbeit: Bonn, Germany, 2014. [Google Scholar]
- Heger, M.; Vashold, L.; Palacios, A.; Alahmadi, M.; Bromhead, M.-A.; Acerbi, M. Blue Skies, Blue Seas: Air Pollution, Marine Plastics, and Coastal Erosion in the Middle East and North Africa; The World Bank: Washington, DC, USA, 2022; ISBN 978-1-4648-1812-7. [Google Scholar]
- Ministre des Affaires Locales et de L’environnement. Décret Gouvernemental n° 2020-32 du 16 Janvier 2020, Fixant les Types de Sacs en Plastique dont la Production, L’importation, la Distribution et la Détention sont Interdites sur le Marché Intérieur. Available online: https://faolex.fao.org/docs/pdf/tun195579.pdf (accessed on 18 December 2024).
- Schulz, M.; Clemens, T.; Förster, H.; Harder, T.; Fleet, D.; Gaus, S.; Grave, C.; Flegel, I.; Schrey, E.; Hartwig, E. Statistical analyses of the results of 25 years of beach litter surveys on the south-eastern North Sea coast. Mar. Environ. Res. 2015, 109, 21–27. [Google Scholar] [CrossRef] [PubMed]
- Schulz, M.; Krone, R.; Dederer, G.; Wätjen, K.; Matthies, M. Comparative analysis of time series of marine litter surveyed on beaches and the seafloor in the southeastern North Sea. Mar. Environ. Res. 2015, 106, 61–67. [Google Scholar] [CrossRef]
- Jarvis, D.; Stoeckl, N.; Liu, H.-B. The impact of economic, social and environmental factors on trip satisfaction and the likelihood of visitors returning. Tour. Manag. 2016, 52, 1–18. [Google Scholar] [CrossRef]
- Jeuneafrique. Tunisie: Gouvernement, Société Civile et Célébrités se Mobilisent pour la Propreté des Plages. Available online: https://www.jeuneafrique.com/443914/politique/tunisie-gouvernement-societe-civile-celebrites-se-mobilisent-proprete-plages/ (accessed on 11 October 2024).
- Tourismeinfo. APAL: Programme de Nettoyage de Plages et D’Enlevement D’Algues. Available online: https://tourisminfo.com.tn/2023/06/apal-programme-de-nettoyage-de-plages-et-denlevement-dalgues/ (accessed on 11 October 2024).
- OSPAR Commission. CEMP Guidelines for Marine Monitoring and Assessment of Beach Litter; OSPAR Commission: London, UK, 2020. [Google Scholar]
- Serra-Gonçalves, C.; Lavers, J.L.; Bond, A.L. Global Review of Beach Debris Monitoring and Future Recommendations. Environ. Sci. Technol. 2019, 53, 12158–12167. [Google Scholar] [CrossRef]
- Schulz, M.; Unger, B.; Philipp, C.; Fleet, D.M. Replicate analyses of OSPAR beach litter data. Environ. Monit. Assess. 2021, 193, 662. [Google Scholar] [CrossRef]
- Rangel-Buitrago, N.; Williams, A.; Anfuso, G. Killing the goose with the golden eggs: Litter effects on scenic quality of the Caribbean coast of Colombia. Mar. Pollut. Bull. 2018, 127, 22–38. [Google Scholar] [CrossRef] [PubMed]
- Ryan, P.G.; Moore, C.J.; van Franeker, J.A.; Moloney, C.L. Monitoring the abundance of plastic debris in the marine environment. Philos. Trans. R. Soc. Lond. B Biol. Sci. 2009, 364, 1999–2012. [Google Scholar] [CrossRef] [PubMed]
- Esiukova, E. Plastic pollution on the Baltic beaches of Kaliningrad region, Russia. Mar. Pollut. Bull. 2016, 114, 1072–1080. [Google Scholar] [CrossRef]
- Rangel-Buitrago, N.; Gracia, C.A.; Vélez-Mendoza, A.; Mantilla-Barbosa, E.; Arana, V.A.; Trilleras, J.; Arroyo-Olarte, H. Abundance and distribution of beach litter along the Atlantico Department, Caribbean coast of Colombia. Mar. Pollut. Bull. 2018, 136, 435–447. [Google Scholar] [CrossRef]
- Camedda, A.; Coppa, S.; Palazzo, L.; Marra, S.; Massaro, G.; Serrentino, F.; Vencato, S.; Brundu, R.; de Lucia, G.A. Characterization and Assessment of Micro and Macroscopic Litter in Sardinian Beaches (Western Mediterranean Sea). Water Air Soil Pollut. 2021, 232, 41. [Google Scholar] [CrossRef]
- Kataoka, T.; Hinata, H.; Kato, S. Analysis of a beach as a time-invariant linear input/output system of marine litter. Mar. Pollut. Bull. 2013, 77, 266–273. [Google Scholar] [CrossRef]
- Turrell, W.R. A simple model of wind-blown tidal strandlines: How marine litter is deposited on a mid-latitude, macro-tidal shelf sea beach. Mar. Pollut. Bull. 2018, 137, 315–330. [Google Scholar] [CrossRef] [PubMed]
- Bowman, D.; Manor-Samsonov, N.; Golik, A. Dynamics of Litter Pollution on Israeli Mediterranean Beaches: A Budgetary, Litter Flux Approach. J. Coast. Res. 1998, 14, 418–432. [Google Scholar]
Disclaimer/Publisher’s Note: The statements, opinions and data contained in all publications are solely those of the individual author(s) and contributor(s) and not of MDPI and/or the editor(s). MDPI and/or the editor(s) disclaim responsibility for any injury to people or property resulting from any ideas, methods, instructions or products referred to in the content. |
© 2025 by the authors. Licensee MDPI, Basel, Switzerland. This article is an open access article distributed under the terms and conditions of the Creative Commons Attribution (CC BY) license (https://creativecommons.org/licenses/by/4.0/).








