Nonlinear Dynamic Response Analysis of Cable–Buoy Structure Under Marine Environment
Abstract
1. Introduction
2. Problem Formulation
2.1. Dynamic Equation
2.2. Modal Approach
3. Multiple-Time-Scale Analysis
3.1. Coupled System
3.2. Decoupled System
4. Numerical Results and Discussion
4.1. Comparison of Drag Force Models
4.2. Comparison of Coupled and Decoupled Systems
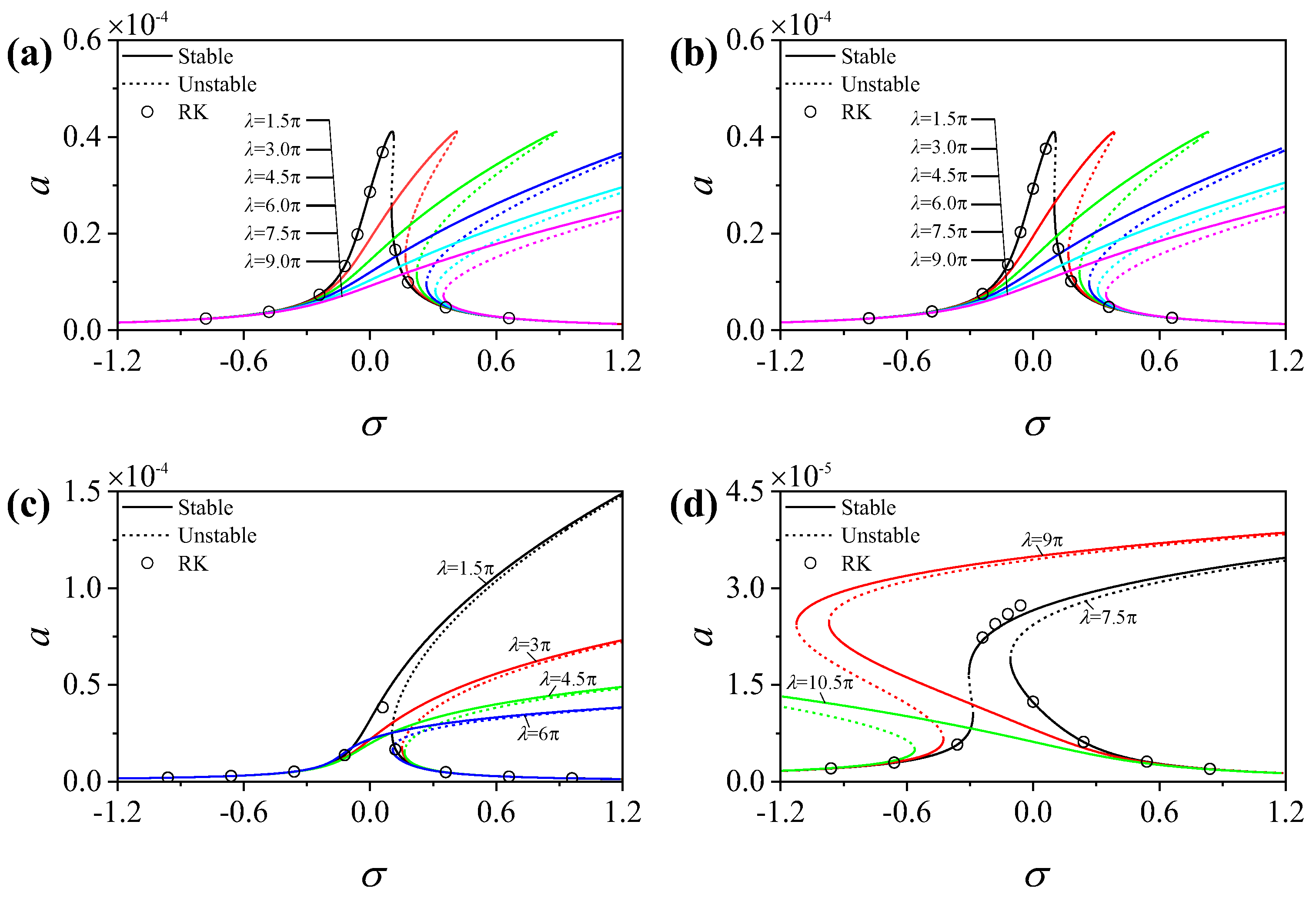
4.3. Primary Resonance Response
5. Conclusions
Author Contributions
Funding
Institutional Review Board Statement
Informed Consent Statement
Data Availability Statement
Conflicts of Interest
Nomenclature
| A | Cable cross-sectional area | P | Cable tension |
| Ak, Bk | Mode complex-valued amplitudes | qn(t) | Modal coordinate of the cable as a time-dependent function |
| a, ak | Amplitude of A, Ak | u(s,t), v(s,t) | Cable displacements in local tangential and normal directions |
| C1 | Modal normalization constant | V | Uniform fluid velocity |
| CaB | Buoy added-mass coefficient | VB | Buoy volume |
| Cac | Cable added-mass coefficient | x, y | Horizontal, vertical global coordinate system |
| cu, cv | System damping coefficients | z1 | Buoy-to-cable mass ratio (with added fluid mass) |
| cc | Complex conjugate | β | Phase angle of A |
| D | Cable diameter | βk | Phase angle of Ak |
| DM | Buoy diameter | ηn | Eigenvalue parameter for solving system frequencies |
| Dk, | Differential operators | θ | Angle between the cable tangent and the horizontal axis |
| E | Cable Young’s modulus | θ1 | The angle value at s = 1 |
| Fv(s,t) | External excitation | κ | Cable curvature |
| FDN | Cable drag force along normal direction | λ | Irvine parameter (cable parameter) |
| Fluid force along cable normal direction in static equilibrium | ξn | Buoy’s eigenshape function amplitude constant for the n-th mode | |
| HDT, HDN | Drag forces acting on the buoy in the tangential and normal directions | ρc | Cable density |
| , | Buoy drag forces in tangential and normal directions | ρf | Fluid density |
| L | Cable length | σ1, σ2 | Detuning parameters |
| M | Buoy mass | ϕn(s) | Cable’s eigenshape function corresponding to the n-th mode |
| Ma | Buoy mass with added fluid mass | ω1 | Vibration frequency of the buoy |
| ma | Cable mass per unit length with added fluid mass | ωk | Vibration frequency of the cable’s k-th mode |
| n, t | Tangential, normal local coordinate system | Ω | Vibration frequency of the external excitation |
References
- Amaechi, C.V.; Wang, F.; Ye, J. Mathematical modelling of bonded marine hoses for single point mooring (SPM) systems, with catenary anchor leg mooring (CALM) buoy application—A review. JMSE 2021, 9, 1179. [Google Scholar] [CrossRef]
- Cai, C.; Rong, Z.; Chen, Z.; Xu, B.; Wang, Z.; Hu, S.; Wang, Y.; Dong, M.; Quan, X.; Si, Y.; et al. A resident subsea docking system with a real-time communication buoy moored by an electro-optical-mechanical cable. Ocean Eng. 2023, 271, 113729. [Google Scholar] [CrossRef]
- Pan, Y.; Yang, F.; Tong, H.; Zuo, X.; Shen, L.; Xue, D.; Liu, C. Experimental and numerical simulation of a symmetrical three-cylinder buoy. Symmetry 2022, 14, 1057. [Google Scholar] [CrossRef]
- Yu, J.; Zhang, S.; Yang, W.; Xin, Y.; Gao, H. Design and application of buoy single point mooring system with electro-optical-mechanical (EOM) cable. JMSE 2020, 8, 672. [Google Scholar] [CrossRef]
- Wu, Z.; Ni, P.; Mei, G. Vibration response of cable for submerged floating tunnel under simultaneous hydrodynamic force and earthquake excitations. Adv. Struct. Eng. 2018, 21, 1761–1773. [Google Scholar] [CrossRef]
- Chen, L.; Basu, B.; Nielsen, S.R.K. Nonlinear periodic response analysis of mooring cables using harmonic balance method. J. Sound Vib. 2019, 438, 402–418. [Google Scholar] [CrossRef]
- Muhammad, N.; Ullah, Z.; Choi, D.-H. Performance evaluation of submerged floating tunnel subjected to hydrodynamic and seismic excitations. Appl. Sci. 2017, 7, 1122. [Google Scholar] [CrossRef]
- Yan, J.; Su, Q.; Li, R.; Xu, J.; Lu, Q.; Yang, Z. Optimization design method of the umbilical cable global configuration based on representative fatigue conditions. IEEE J. Ocean. Eng. 2023, 48, 188–198. [Google Scholar] [CrossRef]
- Ćatipović, I.; Alujević, N.; Rudan, S.; Slapničar, V. Numerical modelling for synthetic fibre mooring lines taking elongation and contraction into account. JMSE 2021, 9, 417. [Google Scholar] [CrossRef]
- Kim, W.; Perkins, N. Coupled slow and fast dynamics of flow excited elastic cable systems. J. Vib. Acoust. 2003, 125, 155–161. [Google Scholar] [CrossRef]
- Zhang, S.; Shi, R.; Chen, S.; Liu, X. The snap tension analysis of taut-slack mooring line with tanh method. Math. Probl. Eng. 2017, 2017, 8519523. [Google Scholar] [CrossRef]
- Wang, K.; Er, G.-K.; Iu, V.P. Nonlinear dynamical analysis of moored floating structures. Int. J. Non-Linear Mech. 2018, 98, 189–197. [Google Scholar] [CrossRef]
- Qu, Y.; Metrikine, A.V. A single van der pol wake oscillator model for coupled cross-flow and in-line vortex-induced vibrations. Ocean Eng. 2020, 196, 106732. [Google Scholar] [CrossRef]
- He, W.; Zhang, S. Vibration response analysis of a tethered unmanned aerial vehicle system under transient wind field. Int. J. Aerosp. Eng. 2024, 2024, 1–17. [Google Scholar] [CrossRef]
- Terro, M.J.; Abdel-Rohman, M. Wave induced forces in offshore structures using linear and nonlinear forms of morison’s equation. J. Vib. Control 2007, 13, 139–157. [Google Scholar] [CrossRef]
- Kim, H.-J.; Lee, K.; Jang, B.-S. A linearization coefficient for morison force considering the intermittent effect due to free surface fluctuation. Ocean Eng. 2018, 159, 139–149. [Google Scholar] [CrossRef]
- Lubarda, M.V.; Lubarda, V.A. A review of the analysis of wind-influenced projectile motion in the presence of linear and nonlinear drag force. Arch. Appl. Mech. 2022, 92, 1997–2017. [Google Scholar] [CrossRef]
- Julca Avila, J.; Nishimoto, K.; Mueller Sampaio, C.; Adamowski, J.C. Experimental investigation of the hydrodynamic coefficients of a remotely operated vehicle using a planar motion mechanism. J. Offshore Mech. Arct. Eng. 2012, 134, 021601. [Google Scholar] [CrossRef]
- Yiqiang, X.; Chunfeng, C. Vortex-induced dynamic response analysis for the submerged floating tunnel system under the effect of currents. J. Waterw. Port Coast. Ocean. Eng. 2013, 139, 183–189. [Google Scholar] [CrossRef]
- Yun, G.; Liu, C. Dynamic analysis of bridge structures under combined earthquakes and wave loadings based on a simplified nonlinear morison equation considering limit wave steepness. Ocean Eng. 2022, 265, 112690. [Google Scholar] [CrossRef]
- Shi, R.; Zhang, S.; Liu, X.; Tian, C. Modeling and numerical simulation of semitensioned mooring line under taut-slack state. Shock Vib. 2023, 2023, 7665880. [Google Scholar] [CrossRef]
- Fei, H.; Long, H.; Zichen, D.; Lin, C. An analytical method for nonlinear vibration analysis of submerged tensioned anchors. Nonlinear Dyn. 2023, 111, 11001–11022. [Google Scholar] [CrossRef]
- Umar, A.; Datta, T.K. Nonlinear response of a moored buoy. Ocean Eng. 2003, 30, 1625–1646. [Google Scholar] [CrossRef]
- Wang, K.; Er, G.-K.; Iu, V.P. Nonlinear random vibrations of 3D cable-moored floating structures under seismic and wave excitations. J. Sound Vib. 2019, 452, 58–81. [Google Scholar] [CrossRef]
- Su, O.; Li, Y.; Li, G.; Cui, Y.; Li, H.; Wang, B.; Meng, H.; Li, Y.; Liang, J. Nonlinear harmonic resonant behaviors and bifurcation in a two degree-of-freedom duffing oscillator coupled system of tension leg platform type floating offshore wind turbine. Chaos Solitons Fractals 2024, 189, 115656. [Google Scholar] [CrossRef]
- Lee, J.-F.; Tu, L.-F. Finite element modeling of a single-point multi-segment mooring in water waves. Ocean Eng. 2018, 160, 461–470. [Google Scholar] [CrossRef]
- Jin, Y.; Xie, K.; Liu, G.; Peng, Y.; Wan, B. Nonlinear dynamics modeling and analysis of a marine buoy single-point mooring system. Ocean Eng. 2022, 262, 112031. [Google Scholar] [CrossRef]
- Patel, M.H.; Park, H.I. Combined axial and lateral responses of tensioned buoyant platform tethers. Eng. Struct. 1995, 17, 687–695. [Google Scholar] [CrossRef]
- Cantero, D.; Rønnquist, A.; Naess, A. Tension during parametric excitation in submerged vertical taut tethers. Appl. Ocean Res. 2017, 65, 279–289. [Google Scholar] [CrossRef]
- Chen, Z.; Xiang, Y.; Lin, H.; Yang, Y. Coupled vibration analysis of submerged floating tunnel system in wave and current. Appl. Sci. 2018, 8, 1311. [Google Scholar] [CrossRef]
- Srinil, N.; Rega, G.; Chucheepsakul, S. Two-to-one resonant multi-modal dynamics of horizontal/inclined cables. Part I Theor. Formul. Model Valid. Nonlinear Dyn. 2007, 48, 231–252. [Google Scholar] [CrossRef]
- Darula, R.; Sorokin, S. On non-linear dynamics of a coupled electro-mechanical system. Nonlinear Dyn. 2012, 70, 979–998. [Google Scholar] [CrossRef]
- Kim, W.-J.; Perkins, N.C. Linear vibration characteristics of cable–buoy systems. J. Sound Vib. 2002, 252, 443–456. [Google Scholar] [CrossRef]
- Cheng, S.-P.; Perkins, N.C. Closed-form vibration analysis of sagged cable/mass suspensions. J. Appl. Mech. 1992, 59, 923–928. [Google Scholar] [CrossRef]













| Object | Parameters | Value |
|---|---|---|
| Fluid | Velocity V | 1 m/s |
| Density ρf | 1025 kg/m3 | |
| Cable | Length L | 40 m |
| Diameter D | 0.0155 m | |
| Density ρc | 4104.52 kg/m3 | |
| Added-mass coefficient Cac | 1.0 | |
| Drag coefficient CD | 1.05 | |
| Buoy | Mass M | 170 kg |
| Diameter DM | 0.8 m | |
| Added-mass coefficient CaB | 0.5 | |
| Drag coefficient CDB | 0.4 |
Disclaimer/Publisher’s Note: The statements, opinions and data contained in all publications are solely those of the individual author(s) and contributor(s) and not of MDPI and/or the editor(s). MDPI and/or the editor(s) disclaim responsibility for any injury to people or property resulting from any ideas, methods, instructions or products referred to in the content. |
© 2025 by the authors. Licensee MDPI, Basel, Switzerland. This article is an open access article distributed under the terms and conditions of the Creative Commons Attribution (CC BY) license (https://creativecommons.org/licenses/by/4.0/).
Share and Cite
Xie, Q.; Liu, B.; Zhang, J.; Zhao, Y. Nonlinear Dynamic Response Analysis of Cable–Buoy Structure Under Marine Environment. J. Mar. Sci. Eng. 2025, 13, 176. https://doi.org/10.3390/jmse13010176
Xie Q, Liu B, Zhang J, Zhao Y. Nonlinear Dynamic Response Analysis of Cable–Buoy Structure Under Marine Environment. Journal of Marine Science and Engineering. 2025; 13(1):176. https://doi.org/10.3390/jmse13010176
Chicago/Turabian StyleXie, Qiufu, Binghan Liu, Junxian Zhang, and Yaobing Zhao. 2025. "Nonlinear Dynamic Response Analysis of Cable–Buoy Structure Under Marine Environment" Journal of Marine Science and Engineering 13, no. 1: 176. https://doi.org/10.3390/jmse13010176
APA StyleXie, Q., Liu, B., Zhang, J., & Zhao, Y. (2025). Nonlinear Dynamic Response Analysis of Cable–Buoy Structure Under Marine Environment. Journal of Marine Science and Engineering, 13(1), 176. https://doi.org/10.3390/jmse13010176

