State of Charge Estimation for Lithium Battery in Shipboard DC Power Grid Based on Differential Evolutionary Algorithm
Abstract
1. Introduction
2. Description of SOC Estimation
2.1. First-Order RC Model of Battery
2.2. Structure of SOC Estimation
3. Math Model of the Optimization Problem
4. The Adopted Optimization Method
4.1. Initialization
4.2. Mutation
4.3. Crossover
4.4. Selection
| Algorithm 1. Procedural Description of jDE. |
| 1 Initialize each individual uniformly and randomly within the defined search range [Xmin, Xmax]; 2 Evaluate the fitness values for the initial population; 3 ; 4 Fset = zeros(NP, 1) + 0.5, Crset = zeros(NP, 1) + 0.9; 5 while FES ≤ Max_FES 6 for i = 1 to NP 7 Fi = Fset(i); 8 ; 9 Cri = Crset(i); 10 for j = 1 to D 11 if rand ≤ Cri || j = jrand 12 uji,G = vji,G; 13 else 14 uji,G = xji,G; 15 end 16 end 17 Compute the fitness value of Ui,G; 18 FES = FES + 1; 19 if f(Ui,G) ≤ f(Xi,G) 20 Xi,G+1 = Ui,G; 21 end 22 if rand < τ1 23 Fset(i) = Fl + rand‧(Fu − Fl); 24 end 25 if rand < τ2 26 Crset(i) = rand; 27 end 28 end 29 G = G + 1; 30 end |
4.5. jDE Applied for the Problem
5. Experiments and Analysis
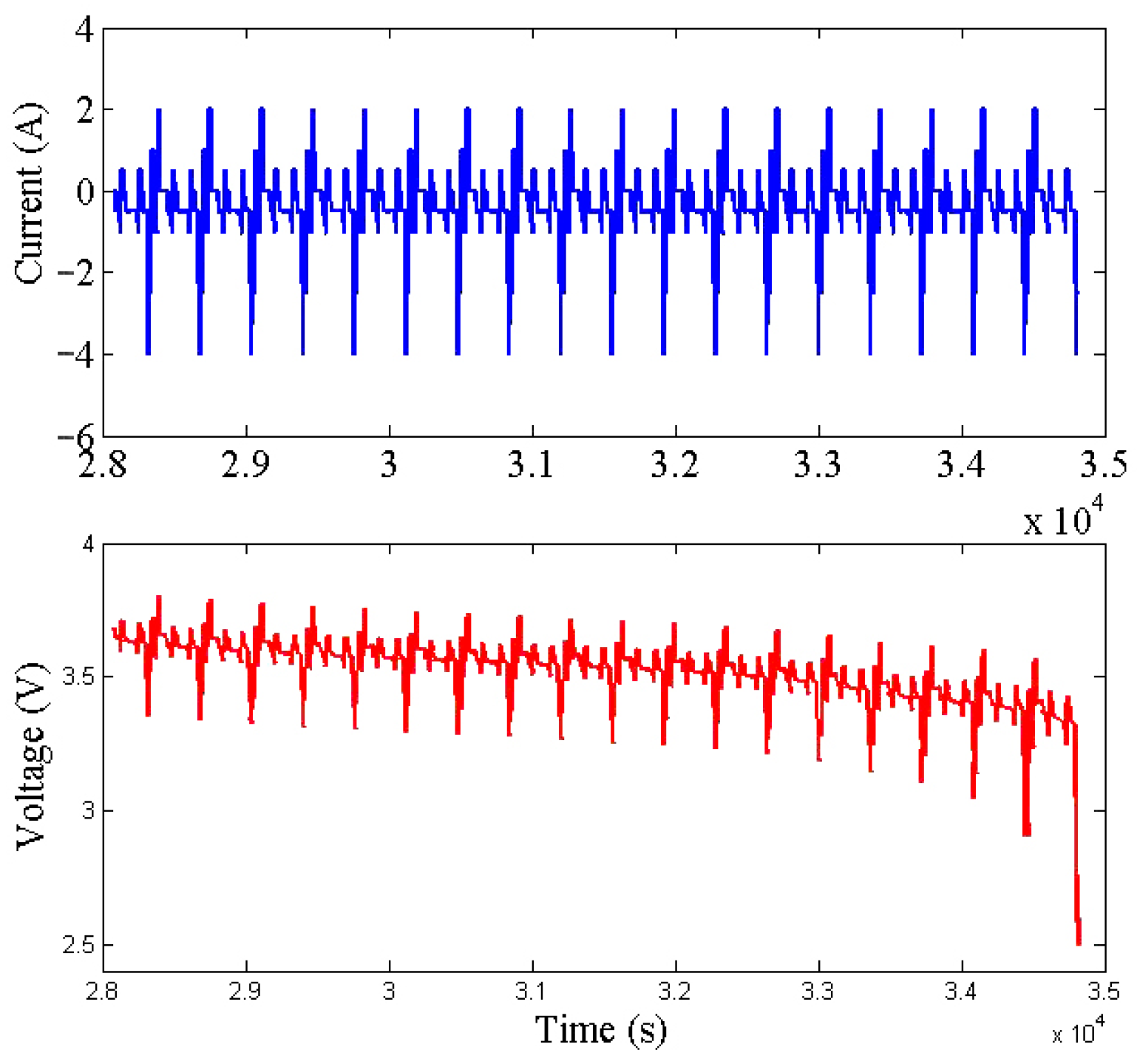
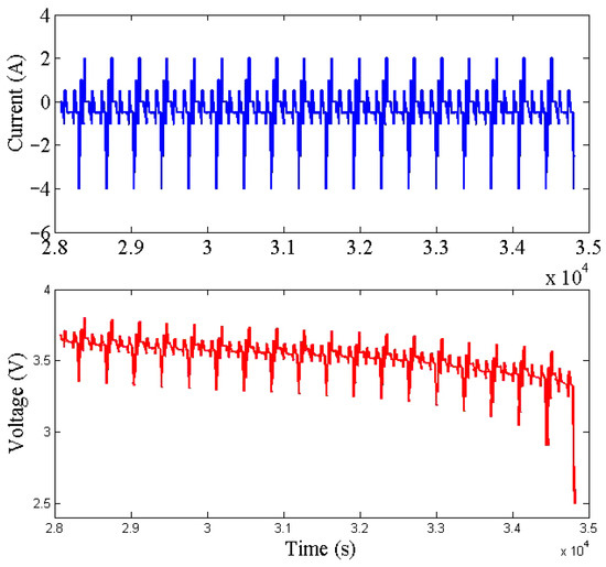
5.1. Experimental Settings
5.2. Experiments and Analysis
5.2.1. Analysis of DST Experimental Results Under 50% SOC Level
5.2.2. Analysis of DST Experimental Results Under 80% SOC Level
6. Conclusions
Author Contributions
Funding
Institutional Review Board Statement
Informed Consent Statement
Data Availability Statement
Conflicts of Interest
Nomenclature
| DE | Differential Evolution algorithm. |
| SOC | State of Charge. |
| DST | Dynamic Stress Test. |
| ECM | Equivalent Circuit Model. |
| BMS | Battery Management System |
| OCV | Open-Circuit Voltage (V). |
| CP | Polarization capacitance (F) characterizing the battery’s polarization behavior. |
| Cr | Crossover rate, a control parameter of DE. |
| D | Length of a single row vector to be optimized in DE. |
| F | Scale factor, a control parameter of DE. |
| FES | Functional Evaluations, the max number of iterations for DE. |
| G | Index of generations. |
| Gmax | Maximum of generations. |
| Max_FES | The max number of FES. |
| NP | Population size, a control parameter of DE. |
| RP | Resistance, which is used to represent polarization characteristic of a battery (Ω). |
| , | Estimated SOC and terminal voltage, respectively. |
| Xi,G | Target vector, ith individual at Gth generation. |
| iL | Load current (A), measured by a battery test system. |
| k | Sampling time step. |
| kmax | Maximum length of the time series in the dataset. |
| vC | Capacitor voltage (V) representing the polarization effect. |
| vOCV | Open-circuit voltage (V) correlated with SOC. |
| vterm | Terminal voltage (V), measured by a battery test system. |
References
- Ivanova, G. Analysis of the Specifics in Calculating the Index of Existing Marine Energy Efficiency EEXI in Force since 2023. In Proceedings of the 2021 13th Electrical Engineering Faculty Conference (BulEF), Varna, Bulgaria, 8–11 September 2021; pp. 1–4. [Google Scholar]
- Mutarraf, M.U.; Terriche, Y.; Niazi, K.A.; Vasquez, J.C.; Guerrero, J.M. Energy Storage Systems for Shipboard Microgrids—A Review. Energies 2018, 11, 3492. [Google Scholar] [CrossRef]
- Xu, L.; Guerrero, J.; Lashab, A.; Wei, B.; Bazmohammadi, N.; Vasquez, J.; Abusorrah, A. A Review of DC Shipboard Microgrids—Part I: Power Architectures, Energy Storage, and Power Converters. IEEE Trans. Power Electron. 2022, 37, 5155–5172. [Google Scholar] [CrossRef]
- Kong, L.; Luo, Y.; Fang, S.; Niu, T.; Chen, G.; Yang, L.; Liao, R. State Estimation of Lithium-ion Battery for Shipboard Applications: Key Challenges and Future Trends. Green Energy Intell. Transp. 2024, 100192. [Google Scholar] [CrossRef]
- Shang, C.; Srinivasan, D.; Reindl, T. Economic and Environmental Generation and Voyage Scheduling of All-Electric Ships. IEEE Trans. Power Syst. 2016, 31, 4087–4096. [Google Scholar] [CrossRef]
- Luo, Y.; Fang, S.; Kong, L.; Niu, T.; Liao, R. Dynamic Power Management of Shipboard Hybrid Energy Storage System Under Uncertain Navigation Conditions. IEEE Trans. Transp. Electrif. 2024, 10, 3138–3152. [Google Scholar] [CrossRef]
- Argyrou, M.C.; Christodoulides, P.; Kalogirou, S.A. Energy storage for electricity generation and related processes: Technologies appraisal and grid scale applications. Renew. Sustain. Energy Rev. 2018, 94, 804–821. [Google Scholar] [CrossRef]
- Li, P.; Jiang, M.; Zhang, Y.; Zhang, Y. Cooperative Optimization of Bus Service and Charging Schedules for a Fast-Charging Battery Electric Bus Network. IEEE Trans. Intell. Transp. Syst. 2023, 24, 5362–5375. [Google Scholar] [CrossRef]
- Zhou, L.; Li, S.; Jain, A.; Chen, G.; Guo, D.; Kang, J.; Zhao, Y. Lithium Battery Thermal Management Based on Lightweight Stepped-Channel Liquid Cooling. J. Electrochem. Energy Convers. Storage 2024, 21, 031012. [Google Scholar] [CrossRef]
- Zhou, L.; Li, S.; Jain, A.; Sun, G.; Chen, G.; Guo, D.; Kang, J.; Zhao, Y. Optimization of Thermal Non-Uniformity Challenges in Liquid-Cooled Lithium-Ion Battery Packs Using NSGA-II. J. Electrochem. Energy Convers. Storage 2025, 22, 041002. [Google Scholar] [CrossRef]
- Demirci, O.; Taskin, S.; Schaltz, E.; Acar Demirci, B. Review of battery state estimation methods for electric vehicles—Part I: SOC estimation. J. Energy Storage 2024, 87, 111435. [Google Scholar] [CrossRef]
- Roselyn, J.P.; Ravi, A.; Devaraj, D.; Venkatesan, R. Optimal SoC estimation considering hysteresis effect for effective battery management in shipboard batteries. IEEE J. Emerg. Sel. Top. Power Electron. 2020, 9, 5533–5541. [Google Scholar] [CrossRef]
- De Angelis, A.; Carbone, P.; Santoni, F.; Vitelli, M.; Ruscitti, L. On the Usage of Battery Equivalent Series Resistance for Shuntless Coulomb Counting and SOC Estimation. Batteries 2023, 9, 286. [Google Scholar] [CrossRef]
- Fahmy, H.M.; Swief, R.A.; Hasanien, H.M.; Alharbi, M.; Maldonado, J.L.; Jurado, F. Hybrid State of Charge Estimation of Lithium-Ion Battery Using the Coulomb Counting Method and an Adaptive Unscented Kalman Filter. Energies 2023, 16, 5558. [Google Scholar] [CrossRef]
- Lee, J.; Won, J. Enhanced Coulomb Counting Method for SoC and SoH Estimation Based on Coulombic Efficiency. IEEE Access 2023, 11, 15449–15459. [Google Scholar] [CrossRef]
- Zhu, Y.; Xiong, Y.; Xiao, J.; Yi, T.; Li, C.; Sun, Y. An improved coulomb counting method based on non-destructive charge and discharge differentiation for the SOC estimation of NCM lithium-ion battery. J. Energy Storage 2023, 73, 108917. [Google Scholar] [CrossRef]
- Espedal, I.B.; Jinasena, A.; Burheim, O.S.; Lamb, J.J. Current Trends for State-of-Charge (SoC) Estimation in Lithium-Ion Battery Electric Vehicles. Energies 2021, 14, 3284. [Google Scholar] [CrossRef]
- Li, W.; Ren, R.; Ma, H.; Wang, Y.; Wang, J.; Yang, W. Online SoC Estimation for Lithium-Ion Batteries Based on the OCV Online Calculation and Coulomb Counting Method. In Proceedings of the 2023 IEEE/IAS Industrial and Commercial Power System Asia (IEEE I&CPS Asia), Chongqing, China, 7–9 July 2023; pp. 1824–1830. [Google Scholar]
- Ali, M.U.; Zafar, A.; Nengroo, S.H.; Hussain, S.; Junaid Alvi, M.; Kim, H. Towards a Smarter Battery Management System for Electric Vehicle Applications: A Critical Review of Lithium-Ion Battery State of Charge Estimation. Energies 2019, 12, 446. [Google Scholar] [CrossRef]
- Pop, V.; Bergveld, H.J.; Op Het Veld, J.H.G.; Regtien, P.P.L.; Danilov, D.; Notten, P.H.L. Modeling Battery Behavior for Accurate State-of-Charge Indication. J. Electrochem. Soc. 2006, 153, A2013. [Google Scholar] [CrossRef]
- Windarko, N.A.; Choi, J. SOC Estimation Based on OCV for NiMH Batteries Using an Improved Takacs Model. J. Power Electron. 2010, 10, 181–186. [Google Scholar] [CrossRef]
- Zhang, K.; Xiong, R.; Li, Q.; Chen, C.; Tian, J.; Shen, W. A novel pseudo-open-circuit voltage modeling method for accurate state-of-charge estimation of LiFePO4 batteries. Appl. Energy 2023, 347, 121406. [Google Scholar] [CrossRef]
- Klintberg, A.; Zou, C.; Fridholm, B.; Wik, T. Kalman filter for adaptive learning of two-dimensional look-up tables applied to OCV-curves for aged battery cells. Control Eng. Pract. 2019, 84, 230–237. [Google Scholar] [CrossRef]
- Mastali, M.; Vazquez-Arenas, J.; Fraser, R.; Fowler, M.; Afshar, S.; Stevens, M. Battery state of the charge estimation using Kalman filtering. J. Power Sources 2013, 239, 294–307. [Google Scholar] [CrossRef]
- Lee, K.; Dai, M.; Chuang, C. Temperature-Compensated Model for Lithium-Ion Polymer Batteries with Extended Kalman Filter State-of-Charge Estimation for an Implantable Charger. IEEE Trans. Ind. Electron. 2018, 65, 589–596. [Google Scholar] [CrossRef]
- Sepasi, S.; Ghorbani, R.; Liaw, B.Y. A novel on-board state-of-charge estimation method for aged Li-ion batteries based on model adaptive extended Kalman filter. J. Power Sources 2014, 245, 337–344. [Google Scholar] [CrossRef]
- Zhu, Q.; Xu, M.; Liu, W.; Zheng, M. A state of charge estimation method for lithium-ion batteries based on fractional order adaptive extended kalman filter. Energy 2019, 187, 115880. [Google Scholar] [CrossRef]
- Chen, Z.; Yang, L.; Zhao, X.; Wang, Y.; He, Z. Online state of charge estimation of Li-ion battery based on an improved unscented Kalman filter approach. Appl. Math. Model. 2019, 70, 532–544. [Google Scholar] [CrossRef]
- Zeng, M.; Zhang, P.; Yang, Y.; Xie, C.; Shi, Y. SOC and SOH Joint Estimation of the Power Batteries Based on Fuzzy Unscented Kalman Filtering Algorithm. Energies 2019, 12, 3122. [Google Scholar] [CrossRef]
- Xuan, D.; Shi, Z.; Chen, J.; Zhang, C.; Wang, Y. Real-time estimation of state-of-charge in lithium-ion batteries using improved central difference transform method. J. Clean. Prod. 2020, 252, 119787. [Google Scholar] [CrossRef]
- Peng, J.; Luo, J.; He, H.; Lu, B. An improved state of charge estimation method based on cubature Kalman filter for lithium-ion batteries. Appl. Energy 2019, 253, 113520. [Google Scholar] [CrossRef]
- Zheng, F.; Xing, Y.; Jiang, J.; Sun, B.; Kim, J.; Pecht, M. Influence of different open circuit voltage tests on state of charge online estimation for lithium-ion batteries. Appl. Energy 2016, 183, 513–525. [Google Scholar] [CrossRef]
- Wang, C.; Xu, M.; Zhang, Q.; Feng, J.; Jiang, R.; Wei, Y.; Liu, Y. Parameters identification of Thevenin model for lithium-ion batteries using self-adaptive Particle Swarm Optimization Differential Evolution algorithm to estimate state of charge. J. Energy Storage 2021, 44, 103244. [Google Scholar] [CrossRef]
- Tulsyan, A.; Tsai, Y.; Gopaluni, R.B.; Braatz, R.D. State-of-charge estimation in lithium-ion batteries: A particle filter approach. J. Power Sources 2016, 331, 208–223. [Google Scholar] [CrossRef]
- Chen, Z.; Sun, H.; Dong, G.; Wei, J.; Wu, J. Particle filter-based state-of-charge estimation and remaining-dischargeable-time prediction method for lithium-ion batteries. J. Power Sources 2019, 414, 158–166. [Google Scholar] [CrossRef]
- Wang, Y.; Zhang, C.; Chen, Z. A method for state-of-charge estimation of LiFePO4 batteries at dynamic currents and temperatures using particle filter. J. Power Sources 2015, 279, 306–311. [Google Scholar] [CrossRef]
- Chen, Y.; Li, C.; Chen, S.; Ren, H.; Gao, Z. A combined robust approach based onauto-regressive longshort-term memory network and moving horizon estimation for state-of-charge estimation of lithium-ion batteries. Int. J. Energy Res. 2021, 45, 12838–12853. [Google Scholar] [CrossRef]
- Manoharan, A.; Sooriamoorthy, D.; Begam, K.M.; Aparow, V.R. Electric vehicle battery pack state of charge estimation using parallel artificial neural networks. J. Energy Storage 2023, 72, 108333. [Google Scholar] [CrossRef]
- Mondal, P.; Bhavsar, D.; Mittal, K.; Mittal, M. Estimating State-of-Charge in Lithium-Ion Batteries Through Deep Learning Techniques: A Comparative Evaluation. IEEE Access 2024, 12, 78773–78786. [Google Scholar] [CrossRef]
- Sulaiman, M.H.; Mustaffa, Z.; Mohamed, A.I.; Samsudin, A.S.; Mohd Rashid, M.I. Battery state of charge estimation for electric vehicle using Kolmogorov-Arnold networks. Energy 2024, 311, 133417. [Google Scholar] [CrossRef]
- Meng, J.; Luo, G.; Gao, F. Lithium Polymer Battery State-of-Charge Estimation Based on Adaptive Unscented Kalman Filter and Support Vector Machine. IEEE Trans. Power Electron. 2016, 31, 2226–2238. [Google Scholar] [CrossRef]
- Zheng, M.; Luo, X. Joint estimation of State of Charge (SOC) and State of Health (SOH) for lithium ion batteries using Support Vector Machine (SVM), Convolutional Neural Network (CNN) and Long Sort Term Memory Network (LSTM) models. Int. J. Electrochem. Sci. 2024, 19, 100747. [Google Scholar] [CrossRef]
- Wang, B.; Liu, Z.; Li, S.E.; Moura, S.J.; Peng, H. State-of-Charge Estimation for Lithium-Ion Batteries Based on a Nonlinear Fractional Model. IEEE Trans. Control Syst. Technol. 2017, 25, 3–11. [Google Scholar] [CrossRef]
- Huangfu, Y.; Xu, J.; Zhao, D.; Liu, Y.; Gao, F. A Novel Battery State of Charge Estimation Method Based on a Super-Twisting Sliding Mode Observer. Energies 2018, 11, 1211. [Google Scholar] [CrossRef]
- Tang, X.; Wang, Y.; Chen, Z. A method for state-of-charge estimation of LiFePO4 batteries based on a dual-circuit state observer. J. Power Sources 2015, 296, 23–29. [Google Scholar] [CrossRef]
- Zhu, Q.; Li, L.; Hu, X.; Xiong, N.; Hu, G. H∞-Based Nonlinear Observer Design for State of Charge Estimation of Lithium-Ion Battery with Polynomial Parameters. IEEE Trans. Veh. Technol. 2017, 66, 10853–10865. [Google Scholar] [CrossRef]
- Das, S.; Mullick, S.S.; Suganthan, P.N. Recent advances in differential evolution—An updated survey. Swarm Evol. Comput. 2016, 27, 1–30. [Google Scholar] [CrossRef]
- Das, S.; Suganthan, P.N. Differential Evolution: A Survey of the State-of-the-Art. IEEE Trans. Evol. Comput. 2011, 15, 4–31. [Google Scholar] [CrossRef]
- Brest, J.; Greiner, S.; Boskovic, B.; Mernik, M.; Zumer, V. Self-Adapting Control Parameters in Differential Evolution: A Comparative Study on Numerical Benchmark Problems. IEEE Trans. Evol. Comput. 2006, 10, 646–657. [Google Scholar] [CrossRef]
- Qin, A.K.; Huang, V.L.; Suganthan, P.N. Differential Evolution Algorithm with Strategy Adaptation for Global Numerical Optimization. IEEE Trans. Evol. Comput. 2009, 13, 398–417. [Google Scholar] [CrossRef]
- Zhang, J.; Sanderson, A.C. JADE: Adaptive Differential Evolution with Optional External Archive. IEEE Trans. Evol. Comput. 2009, 13, 945–958. [Google Scholar] [CrossRef]
- Wang, Y.; Cai, Z.; Zhang, Q. Differential Evolution with Composite Trial Vector Generation Strategies and Control Parameters. IEEE Trans. Evol. Comput. 2011, 15, 55–66. [Google Scholar] [CrossRef]
- Mallipeddi, R.; Suganthan, P.N.; Pan, Q.K.; Tasgetiren, M.F. Differential evolution algorithm with ensemble of parameters and mutation strategies. Appl. Soft Comput. 2011, 11, 1679–1696. [Google Scholar] [CrossRef]
- Wu, G.; Mallipeddi, R.; Suganthan, P.N.; Wang, R.; Chen, H. Differential evolution with multi-population based ensemble of mutation strategies. Inf. Sci. 2016, 329, 329–345. [Google Scholar] [CrossRef]
- Duong, T.Q. USABC and PNGV test procedures. J. Power Sources 2000, 89, 244–248. [Google Scholar] [CrossRef]
- He, W.; Williard, N.; Chen, C.; Pecht, M. State of charge estimation for Li-ion batteries using neural network modeling and unscented Kalman filter-based error cancellation. Int. J. Electr. Power Energy Syst. 2014, 62, 783–791. [Google Scholar] [CrossRef]
- Zhang, C.; Wang, L.Y.; Li, X.; Chen, W.; Yin, G.G.; Jiang, J. Robust and Adaptive Estimation of State of Charge for Lithium-Ion Batteries. IEEE Trans. Ind. Electron. 2015, 62, 4948–4957. [Google Scholar] [CrossRef]











| Algorithms | jDE | SaDE | JADE | CoDE | EPSDE | MPEDE |
|---|---|---|---|---|---|---|
| Min | 3.04 × 10−3 | 6.26 × 10−3 | 4.56 × 10−3 | 3.31 × 10−3 | 2.43 × 10−3 | 6.82 × 10−3 |
| Med | 2.00 × 10−2 | 2.86 × 10−2 | 2.71 × 10−2 | 3.79 × 10−2 | 5.65 × 10−2 | 2.90 × 10−2 |
| Max | 6.12 × 10−2 | 5.93 × 10−2 | 7.93 × 10−2 | 1.33 × 10−1 | 1.80 × 10−1 | 9.14 × 10−2 |
| Mean | 2.67 × 10−2 | 2.74 × 10−2 | 2.09 × 10−2 | 2.25 × 10−2 | 4.17 × 10−2 | 2.93 × 10−2 |
| Std | 3.25 × 10−2 | 1.21 × 10−2 | 1.37 × 10−2 | 3.77 × 10−2 | 5.21 × 10−2 | 2.37 × 10−2 |
| Algorithms | jDE | SaDE | JADE | CoDE | EPSDE | MPEDE |
|---|---|---|---|---|---|---|
| R0 (Ω) | 0.0655 | 0.0728 | 0.0685 | 0.0748 | 0.0643 | 0.0618 |
| RP (Ω) | 0.0215 | 0.0217 | 0.0218 | 0.023 | 0.0222 | 0.0192 |
| CP (F) | 1255.4 | 1184.6896 | 1231.2736 | 1226.1489 | 1063.6738 | 1207.049 |
| vOCV (1) V | 3.723 | 3.8716 | 3.8419 | 3.8773 | 3.7137 | 3.9217 |
| vOCV (61) V | 3.6349 | 3.7487 | 3.6661 | 3.7314 | 3.6576 | 3.9198 |
| vOCV (121) V | 3.5274 | 3.7923 | 3.6295 | 3.4439 | 3.6228 | 3.6883 |
| vOCV (3001) V | 3.4932 | 3.8984 | 3.5467 | 3.4191 | 3.6574 | 3.6063 |
| vOCV (5001) V | 3.4209 | 3.5781 | 3.4818 | 3.3999 | 3.5719 | 3.5569 |
| vOCV (6001) V | 3.4009 | 3.4801 | 3.3558 | 3.3454 | 3.3775 | 3.427 |
| Algorithms | jDE | SaDE | JADE | CoDE | EPSDE | MPEDE |
|---|---|---|---|---|---|---|
| Min | 1.64 × 10−3 | 3.29E × 10−3 | 3.80 × 10−3 | 5.59 × 10−3 | 7.16 × 10−3 | 1.64 × 10−2 |
| Med | 3.07 × 10−2 | 3.42 × 10−2 | 3.87 × 10−2 | 5.66 × 10−2 | 5.97 × 10−2 | 4.07 × 10−2 |
| Max | 6.54 × 10−2 | 8.29 × 10−2 | 1.03 × 10−1 | 1.20 × 10−1 | 1.37 × 10−1 | 6.54 × 10−2 |
| Mean | 2.74 × 10−2 | 3.04 × 10−2 | 4.11 × 10−2 | 4.35 × 10−2 | 5.03 × 10−2 | 3.64 × 10−2 |
| Std | 1.41 × 10−2 | 1.57 × 10−2 | 2.45 × 10−2 | 3.96 × 10−2 | 4.81 × 10−2 | 1.41 × 10−2 |
| Algorithms | jDE | SaDE | JADE | CoDE | EPSDE | MPEDE |
|---|---|---|---|---|---|---|
| R0 (Ω) | 0.0769 | 0.0732 | 0.0826 | 0.0697 | 0.0724 | 0.0709 |
| RP (Ω) | 0.0371 | 0.0379 | 0.0315 | 0.0348 | 0.0327 | 0.0339 |
| CP (F) | 1211.6202 | 1019.0472 | 1385.0025 | 1120.7756 | 1269.9279 | 1218.593 |
| vOCV (1) V | 3.8726 | 3.9539 | 3.9221 | 3.96 | 3.8954 | 3.9076 |
| vOCV (61) V | 3.8635 | 3.921 | 3.9024 | 3.8807 | 3.8833 | 3.8945 |
| vOCV (121) V | 3.8505 | 3.8391 | 3.8982 | 3.7945 | 3.8764 | 3.8721 |
| vOCV (3001) V | 3.745 | 3.7475 | 3.6964 | 3.667 | 3.7087 | 3.6569 |
| vOCV (5001) V | 3.612 | 3.6657 | 3.5671 | 3.571 | 3.6594 | 3.5367 |
| vOCV (6001) V | 3.6004 | 3.5796 | 3.4554 | 3.4449 | 3.5771 | 3.4266 |
Disclaimer/Publisher’s Note: The statements, opinions and data contained in all publications are solely those of the individual author(s) and contributor(s) and not of MDPI and/or the editor(s). MDPI and/or the editor(s) disclaim responsibility for any injury to people or property resulting from any ideas, methods, instructions or products referred to in the content. |
© 2025 by the authors. Licensee MDPI, Basel, Switzerland. This article is an open access article distributed under the terms and conditions of the Creative Commons Attribution (CC BY) license (https://creativecommons.org/licenses/by/4.0/).
Share and Cite
Li, Y.; Zhang, J.; Duan, Z.; Wang, C. State of Charge Estimation for Lithium Battery in Shipboard DC Power Grid Based on Differential Evolutionary Algorithm. J. Mar. Sci. Eng. 2025, 13, 126. https://doi.org/10.3390/jmse13010126
Li Y, Zhang J, Duan Z, Wang C. State of Charge Estimation for Lithium Battery in Shipboard DC Power Grid Based on Differential Evolutionary Algorithm. Journal of Marine Science and Engineering. 2025; 13(1):126. https://doi.org/10.3390/jmse13010126
Chicago/Turabian StyleLi, Yanbiao, Jundong Zhang, Zunlei Duan, and Chuan Wang. 2025. "State of Charge Estimation for Lithium Battery in Shipboard DC Power Grid Based on Differential Evolutionary Algorithm" Journal of Marine Science and Engineering 13, no. 1: 126. https://doi.org/10.3390/jmse13010126
APA StyleLi, Y., Zhang, J., Duan, Z., & Wang, C. (2025). State of Charge Estimation for Lithium Battery in Shipboard DC Power Grid Based on Differential Evolutionary Algorithm. Journal of Marine Science and Engineering, 13(1), 126. https://doi.org/10.3390/jmse13010126

