Next Article in Journal
Three-Dimensional Path Planning of UAVs for Offshore Rescue Based on a Modified Coati Optimization Algorithm
Next Article in Special Issue
A Model-Free Adaptive Positioning Control Method for Underactuated Unmanned Surface Vessels in Unknown Ocean Currents
Previous Article in Journal
Extreme Wave-Induced Pressure Distribution and Wave Forces on Tandem Pile Groups: An Experimental Study
Previous Article in Special Issue
Research on Precise Feeding Strategies for Large-Scale Marine Aquafarms
 
 
Font Type:
Arial Georgia Verdana
Font Size:
Aa Aa Aa
Line Spacing:
Column Width:
Background:
Article

A Study on the Impact of Vertical Grid Parameter Perturbations in the Regional Ocean Modeling System

1
College of Mathematics and Statistics, Sichuan University of Science & Engineering, Yibin 644000, China
2
Fuzhou Institute of Oceanography, Minjiang University, Fuzhou 350108, China
3
Department of Navigation, Dalian Naval Academy, Chinese People’s Liberation Army, Dalian 116000, China
4
College of Ocean and Earth Science, Xiamen University, Xiamen 361005, China
5
College of Humanities, Sichuan Agricultural University, Yaan 625000, China
*
Authors to whom correspondence should be addressed.
J. Mar. Sci. Eng. 2024, 12(9), 1675; https://doi.org/10.3390/jmse12091675
Submission received: 25 June 2024 / Revised: 29 July 2024 / Accepted: 4 September 2024 / Published: 19 September 2024

Abstract

In this study, the Regional Ocean Modeling System (ROMS) is employed to construct a three-dimensional barotropic ocean model with a monodirectional upper boundary and homogeneous and steady wind covering the entire computation area. Eight perturbation experiments are designed to determine the vertical grid distribution difference with high resolution at the surface and bottom. Two types are considered in the model, including removing the Coriolis force (type 1) and employing a different Coriolis force (type 2). According to the experiments, the velocity of the current in type 1 yields uncertainty, and wind energy could penetrate the upper ocean and reach the abyss. The surface velocity in type 2 is fundamentally compatible with the empirical relationship constructed by Ekman, and the curved lines of the vertical distribution of horizontal currents nearly match. For type 1, the velocity is very strong from the sea surface to the bottom. When comparing type 1 and type 2 cases, the Coriolis force obstructs the wind energy transfer into the deep ocean. In addition, the European Centre for Medium-Range Weather Forecasts (ECMWF)’s global surface wind distribution indicates that the realistic ocean upper wind boundary is similar to the numerical experiment in the Pacific and Atlantic oceans, where the wind direction is along the latitude line at the equator. In order to make the experimental situation as close as possible to the real ocean, validation experiments are conducted in this study to consider the uncertainty in the current profile at the equator. The simulation results of type 1 differ significantly from the data obtained from the real ocean. This uncertainty may transfer the signal to higher latitudes, causing incorrect simulation results, especially in the critical region. Overall, this research not only makes discoveries in physical ocean theory but also guides predictive and forecasting techniques for ocean modeling.

1. Introduction

ROMS, as a free-surface, three-dimensional, terrain-following, primitive equation ocean model, can solve the Reynolds-averaged Navier–Stokes equations based on hydrostatic and Boussinesq assumptions [1]. Researchers have extensively utilized ROMS for various applications around the world’s oceans [2,3,4,5,6,7,8,9,10,11,12,13]. A generalized version of the SCRUM model [14] can be considered with different characteristics, such as high-order schemes; subgrid-scale parameterization; pre- and post-processing software; and various coupled models for biogeochemical, bio-optical, sediment, and sea ice applications.
Given the popularity of ROMS in the literature, accuracy and reliability should be emphasized significantly, although some problems will be encountered during the simulation process. A team of developers evaluated this model in the North Atlantic Basin [15] and North Pacific [16], with its predictive ability being improved during those seven years. In the first study, most aspects of the model, including the domain, topography, horizontal and vertical resolution, number of layers, surface boundary conditions, and advection scheme, were evaluated. In contrast, the second study verified the Root Mean Square (RMS) error between ROMS and satellite altimetry. Both results indicate that numerical simulations have a long way to go, especially in the low-latitude domain, where there is still a considerable difference between simulations and observations [17]. According to the simulated western boundary current in the North Pacific, the fundamental framework and variability of the Kuroshio Current transport can be simulated by current numerical models. Nevertheless, the current velocity is not satisfactory. There are various arguments regarding the reasons that lead to simulation deviation. Fujii et al. [18] demonstrated that the initial perturbation has an essential impact on the simulated Kuroshio Current. Hu et al. [19] showed that the simulation performance can be influenced by a low topographic resolution and the deficiency of observations related to the Kuroshio Current. According to Zhang et al. [20], the initial error growth has a stronger effect on the simulated western boundary current than the initial condition. Zhang et al. [21] emphasized that the adaptive observation of sensitive areas can significantly improve prediction accuracy. Zhang et al. [22] indicated that the simulation uncertainties might be due to the wind stress forcing errors, especially zonal ones. The mentioned studies illustrated that the simulation deviation was primarily caused by modeling errors, the initial conditions, the topographic resolution, a lack of observational data, and wind stress forcing errors. According to previous studies, the ocean model is critical in the simulation, exploration, and forecasting of the three-dimensional real ocean. Simultaneously, the simulation accuracy and reliability can be influenced by several elements. Strengthening research starts with related aspects that may be caused by errors in the simulation process, leading to increasing simulation and forecast requirements. Prior investigations have shown that ocean modeling is crucial in the simulation, exploration, and prediction of real 3D oceans. Preceding works have indicated several factors for us. However, these refer to issues in the modeling process, and at present, no scholar has considered the problem from the perspective of whether the model itself is deficient or not. This study fills that gap by discussing the flaws in the model by constructing a three-dimensional barotropic ocean model and designing perturbation experiments. Based on our experimental results, model uncertainty at the equator is a non-negligible contributor to the simulation bias.
This uncertainty can seriously influence the equatorial stream and cause errors in the downflow area, leading to irreversible signal transmission. The conclusions of this paper can be summarized as follows: First, it can be concluded that the model results seriously deviate from the actual ocean while removing the Coriolis force, which may be caused by a deficiency in the model. Second, the model uncertainty results are provided under Coriolis force deficiency, and various vertical velocity lines may be caused by the fact that the model is not closed. Third, the model experiments demonstrate that the Coriolis force obstructs wind energy transfer into the deep ocean. To present the experimental design concept and purpose more clearly, a flowchart (Figure 1) is included at the end of the introduction. The remainder of this paper is organized as follows: The model setup and experimental parameters are presented in Section 2, while the analysis of results and discussion are given in Section 3. The validation process and conclusions, with a summary and discussion, are presented in Section 4 and Section 5, respectively.

2. Model Setup

ROMS employs stretched terrain-following and orthogonal curvilinear coordinates vertically and horizontally on a staggered Arakawa C-grid. Accordingly, some options can be provided for horizontal diffusion and vertical mixing parameterization schemes [23,24,25]. In this research, horizontal harmonic mixing [26] and Generic Length Scale (GLS) parameterization [27] are employed for horizontal and vertical mixing, respectively.
To simplify the research procedure, a three-dimensional barotropic ocean is constructed to respond to the constant wind of the upper atmosphere boundary. The model domain includes 2200 km in the horizontal direction and 1320 km in width with a 1/8° × 1/8° resolution and 40 vertical levels to attain a total of 160 × 96 × 40 grids. The water depth is 5000 m for the whole grid without initial free-surface elevation and velocity and with quadratic bottom friction. The initial temperature and salinity are homogeneous in the horizontal and vertical directions, while the Coriolis force is zero (type 1). Gradient conditions are selected for all four boundaries to cause a free current to enter and flow out. Adopting the SWAN model and the results of Wu [28], the drag coefficient is expressed as
C d ( U 10 ) = 1.2875 × 10 3                                                                   U 10 < 7.5   m / s ( 0.8 + 0.065 × U 10 ) × 10 3                         U 10 7.5   m / s
ROMS employs the Sigma coordinate system in the vertical direction, which allows for inhomogeneous stratification and effective encryption of the focus study area. The model provides two transformation functions and five stretching functions for the vertical coordinate system. From a physical perspective, the division of the vertical grid is not connected to compute results, whereas it causes some uncertainties observed in the simulation results without the Coriolis force. Consequently, eight experiments are performed to explore the model uncertainties by choosing various transform and stretching schemes. Several vertical coordinate systems have been provided by ROMS. Here, two popular schemes were selected for the investigation, including the ROMS team-recommended values corresponding to Vtransform = 2 and Vstretching = 4.
The transformation equations of the vertical coordinate developed by Shchepetkin and McWilliams [1] are as follows:
Z ( x , y , σ ) = S ( x , y , σ ) + ζ ( x , y , t ) [ 1 + S ( x , y , σ ) h ( x , y ) ]
S ( x , y , σ ) = h c σ + [ h ( x , y ) h c ] C ( σ ) ,
or
Z ( x , y , σ , t ) = ζ ( x , y , t ) + [ ζ ( x , y , t ) + h ( x , y ) ] S ( x , y , σ )
S ( x , y , σ ) = h c σ + h ( x , y ) C ( σ ) h c + h ( x , y )
Equations (2)–(5) correspond to Vtransform = 1 and Vtransform = 2, respectively. Theta_s and theta_b indicate the surface and bottom stretching parameters, respectively. Here, Z(x,y,σ,t) describes the depths of RHO-points or W-points; S(x,y,σ) denotes a nonlinear vertical transformation function; ζ(x,y,t) describes the time-varying free-surface; hc is a positive thickness-controlling stretching; h(x,y) indicates the water column thickness; σ represents a fractional vertical stretching coordinate, with the range [−1,0]; C(σ) denotes a monotonic, nondimensional vertical stretching function, with the range [−1,0]; and hc denotes a positive thickness determining the stretching with the desired resolution.
Accordingly, five vertical stretching schemes can be provided by ROMS [1,14,15,25,29], and C(σ), as a function of σ, theta_s, and theta_b, is specified in the standard input file. Theta_s and theta_b are utilized to enhance the surface and bottom layer resolutions. The values of theta_s and theta_b are chosen within the reasonable limits, corresponding to 0 ≤ theta_s ≤ 8, 0 ≤ theta_b ≤ 1 for Vtransform = 1 and Vstretching = 1, and 0 ≤ theta_s ≤ 10, 0 ≤ theta_b ≤ 4 for Vtransform = 2 and Vstretching = 4. Higher values of theta_s and theta_b indicate that more resolution is retained above hc. Experiment 1 is suitable for comparison due to its uniform resolution from the surface to the bottom. From the perspective of the deterministic result, the vertical S-coordinate setup is not related to the model simulation. However, in this research, the simulation results appeared to have enormous uncertainties. With the terrain employing a full depth, the vertical grid is identical at different sections along the X- or Y-directions throughout the entire 5000 m. Figure 2 illustrates the vertical grid along the Y-direction for the eight experiments. In E1(a), a uniform depth in the vertical direction is utilized for comparison purposes. E2(b) and E3(c) adhere to the intensive resolution principle at both the surface and bottom layers. By slightly varying theta_s and theta_b in different groups, E4–E8 (d–h) are designed as separate sensitive experiments to vividly illustrate the ambiguity of the wind-induced flow field.

3. Results

Figure 3a–c display the simulation results from Experiment 2, with a high grid resolution at the surface and bottom layers. Figure 3d presents the overall results of the eight experiments for type 1, achieved by removing the Coriolis force. As shown in Figure 3b, it takes approximately 90 days for the model to reach its steady state. The solid blue, red, and green lines depict the variations in velocity over time for the surface, medium, and bottom layers, respectively. First, all the current directions are arranged east to west from the surface to the bottom, guaranteed by the water boundary condition. Second, the fluid can reach balance subject to force–wind stress and eddy friction while the Coriolis force is removed. Indeed, the fluid element in the medium is balanced by two frictions in opposite directions. Third, the current velocity is nonlinear from the surface to the bottom, with the initial and final velocities being 2.4 m/s and 0.9 m/s at the surface and the bottom, respectively. The current field is homogeneous horizontally. Figure 3c presents four sections, with one plumbing the others. The response time of the ocean current velocity in the surface layer, middle layer, and bottom layer is basically consistent. Without the influence of the Coriolis force, the energy in the upper layer can be quickly transferred to the bottom layer of the ocean. This implies that the Coriolis force plays a crucial role in limiting the transfer of wind energy throughout the ocean’s full depth. The reason for this is that in the actual ocean, flow velocities in the deep sea are extremely low, approaching zero.
When the Coriolis force is removed (type 1), the ocean bottom velocity can rapidly increase depending on the eddy friction by acquiring kinetic energy in the model, which requires only 25 days to arrive at its initial level at the surface. This may contrast with actual ocean results, accounting for the open ocean, including the boundaries that guarantee seawater flows in and out freely and eliminate the land boundary influence. However, this model laterally illustrated that the Coriolis force could return wind energy into the deep ocean. According to the measurement, the velocity can quickly decay in the surface layer. It is unclear why wind energy cannot penetrate the upper ocean to reach the ocean abyss while the wind field continuously acts on the ocean surface for thousands of years. As solar radiation heats the thin layer of the ocean surface consistently, the average temperature of the deep ocean remains in a deficient state. In addition, the thermic energy of the Sun is trapped in the thin layer of the upper ocean. However, regarding the vertical transfer of thermic energy, the light water is mainly due to relatively high-temperature water that will float upon the cold water, only depending on heat transmission instead of heat mixing, refraining from warming the cold bottom water of the ocean. Accordingly, the thermodynamic process can be reproduced in the laboratory. Nevertheless, most of the open ocean exhibits Coriolis force, except at the equator. The dynamic process cannot be repeated, as supported by experiments. Thus, the three-dimensional, barotropic model is constructed by ROMS through numerical simulations, while the Coriolis force is removed. In analyzing the results in Figure 3, the Coriolis force obstructs the wind energy transfer into the deep ocean, trapping it in the upper ocean. With regard to wind energy entering the ocean, the kinetic energy distribution to waves, currents, and wastage will be studied in the following step.
This mechanism is entirely reasonable. As the wind acts on the ocean surface, the current is generated. Then, the flow direction changes gradually due to the Coriolis force until the current direction reaches a certain degree of angle relative to the wind direction in the Northern Hemisphere. During this process, the current gradually reduces from its maximum value in the beginning to its minimum value when the wind and current direction form a certain angle. Furthermore, with Coriolis force deficiency, the diversity of vertical grid generation or different Vtransform and Vstretching schemes leads to non-unique simulation results under the high-grid-resolution principle in the surface and bottom layers. Figure 3d shows the vertical velocities of eight experiments to reveal the simulation uncertainty, especially in the intermediate layer. The current decreases quickly in the velocity spring layer but is less than the velocity decay due to the existence of Coriolis force. The eight lines indicate that the vertical velocity variations are different, even though they are close enough in the velocity spring layer and at the bottom. Usually, only one grid transforms, and the stretching scheme is selected during the model simulation process for the tolerable error resulting from mesh generation. However, the ROMS model’s simulation uncertainty under Coriolis force deficiency is enough to attract our attention, while the velocity difference reaches 0.3 m/s at a depth of 2500 m.
The above analysis and discussion raise three questions: (1) Which line in Figure 3d is the right computation result for the velocity vertical distribution? (2) Will the model results be impacted in the regional ROMS simulation by including the equator? (3) Can different design schemes of vertical grid generation influence the model results while adding the Coriolis force?
For contrast, the Coriolis force is added, and a moderate 18° N is selected for computation in the experiments while the other conditions are kept unchanged. Figure 4a presents the velocity vertical variation with a spiral form, while Figure 4b shows the spatial velocity distribution for the upper 400 m with four sections, horizontally homogeneous. First, the velocity magnitude shows a decreasing tendency while its direction rotates continuously to the right. Second, the surface velocity is obtained as 0.64 m/s through model simulations. The empirical relationship between current velocity and wind speed was extracted by Ekman [30] based on large quantities of observational data.
V 0 / W = 0.0127 /   s i n φ
The surface velocity at 18° N is obtained as 0.68 m/s according to the empirical relationship. The simulation result is incredibly close to statistical data. Third, the upper 400 m is mainly influenced by wind speeds of typhoon magnitude in the model, under which the current velocity is so tiny that it can be neglected. This result is compatible with buoy data capturing Typhoon Kalmaegi in the South China Sea, published by Zhang et al. [31]. Since the default values of the horizontal and vertical turbulent viscosity coefficients are different in the ROMS model and the classical theory of Ekman draft, some of these results, such as the intersection angle between the surface current and the wind direction, are not identical.
To answer the third question, experiments E2, E4, and E5 are deliberately selected to explore the deterministic problem of model simulation results under the presence of Coriolis force (type 2) for different latitudes. As shown in Figure 5b, the three lines of the velocity vertical distribution are nearly identical, except for the subtle difference in the surface layer and the depth range from 500 m to 1000 m, which is imperceptible and acceptable. Furthermore, the velocity attenuation is fast in the upper 200 m. A comparison of the curved lines in Figure 3d and Figure 5b shows that the Coriolis force obstructs the mechanical energy transfer into the deep ocean. At the same time, the computation results are unique in the presence of the Coriolis force and cannot be affected by the vertical grid scheme. All the other experiments in Table 1 are computed to determine the presence of Coriolis force. After careful comparison, the velocity results are approximately identical. Even more perturbations for the parameters of Vtransform and Vstretching are simulated in the model to evaluate the results, which show that the curved velocity lines are strictly consistent. Finally, we continuously apply the conditions to the low latitude at 5° N and the high latitude at 60° N. As presented in Figure 5a,c, the results are similar. The surface velocities in the model at 18° N and 60° N closely match the empirical relationship constructed by Ekman, with a little difference at 5° N. It should be noted that the surface velocity still has a discrepancy with the diversity of the vertical grid parameter scheme at different latitudes. However, the almost identical results in Figure 5 convinced us that the model results are reliable and identified in the presence of the Coriolis force.
A comparison between Figure 3d and Figure 5 shows that the significant difference in the velocity curved line is dispersive and uniform. The simulation results are distorted when the Coriolis force is removed. The discreteness in Figure 3d illustrates that the ocean current dynamic at the equator in the model may show deficiency concerning reasonable and diversified vertical Vtransform and Vstretching schemes, even after two model evaluations. In future work, the imperfection of model uncertainty will be resolved. These experiments evaluated the impact of the Coriolis force in the model and most places possessing Coriolis force on Earth, except for the equator. However, the complicated equatorial stream has a notable impact on other regions. As shown in Figure 6, a vast ocean still exists where the wind direction is aligned with the latitude line at the equator. The global ocean sea surface wind is obtained from the European Centre for Medium-Range Weather Forecasts (ECMWF) (https://apps.ecmwf.int/datasets/, accessed on 26 June 2023). The Global Reanalysis ERA-Interim Datasets are selected for a ten-year average. The wind speed reaches a maximum of 10 m/s in the Pacific and Atlantic Oceans at the equator, with the wind direction along the latitude line, in addition to the wind stride over the equator in the Indian Ocean.
As presented in Figure 3b, regardless of whether the surface or bottom reaches a steady state, it takes about 70 days less than the seasonal time, indicating a significant deviation of the ROMS model simulation results from the actual ocean. In the simulated area, including the equator, the error caused by model uncertainty can influence the current and other streaming systems at all times. Some critical regions can be influenced, even by transforming the signal into a high-latitude domain. For example, Wen et al. [32] reported some current velocity errors in the low-latitude North Pacific resulting from the ROMS.
Some factors, such as low topographic resolution, a lack of observations, the initial boundary, the forcing fields employed in the simulations, and wind errors, can degrade the simulation precision of the Kuroshio Current, making critical contributions to the ocean environment in the South China Sea and oceanic circulation. Finally, this research indicates that different Vtransform and Vstretching schemes, which generate a diversified vertical grid distribution, can increase the model simulation uncertainty for the current velocity at the equator and shift that signal to a relatively higher-latitude area.

4. Validation

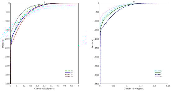
To obtain results closer to the real ocean, the area of the dotted red wireframe in Figure 5 is selected as a computation domain because the wind direction is parallel to the latitude line. The calculation range varies in the range of 5° S~5° N, 170° E~170° W. As shown in the solid pink wireframe in Figure 5, the horizontal resolution is kept at 1/8°, while the resolution of the broad direction is decreased to 8 km to investigate the current field variation in the equatorial region. The depth set up regionally averaged 4500 m, as extracted from ETOPO1. Four boundaries are also adopted as gradient conditions to guarantee free seawater entrance and departure, while the vertical turbulence closure scheme maintains the Generic Length Scale (GLS) parameterization program. Eight experiments in Table 2 are performed to explore the question of model uncertainty and wind energy transfer to the deep ocean. A wind speed of 10 m/s is employed to determine the actual wind speed of the computation area and 30 m/s for contrast, and vertical grid schemes E2, E3, E7, and E8 are chosen for simulation to generate a little perturbation for validation, as close to the real ocean as possible.
Figure 7 presents the simulation results of experiment a1 after the steady state is reached in the model. Figure 7a represents the flow field of the first layer in the model at a depth of 4 m, while Figure 7b shows the vertical variation in the horizontal current velocity owing to the horizontal uniformity along the latitude direction. The solid pink line stands for the station point in the middle of the computation area. Due to the Coriolis force’s linear growth concerning the latitude change from south to north, the current field is symmetrical about the equator. The upper boundary’s wind field is homogeneous, with the same direction and completely covered, resulting in the current direction at the equator being along the latitude line without any deflection over a scope of 50 km. The entire area velocity varies from 0.83 m/s to 0.71 m/s, which turns right and left with the current direction in the Northern and Southern Hemispheres, respectively. Accompanying the Coriolis force’s increase from the equator to the two poles, the deflection amplitude of the current direction also gradually increases. The descending velocity magnitude from the equator to the lateral sides indicates that the Coriolis force can obstruct part of the wind energy input into the ocean. Figure 7b presents the vertical variations in the current velocity at a single point. The velocity rapidly decays in the subsurface layer from 0.83 m/s to 0.5 m/s, then gradually decreases to 0.01 m/s at 2000 m, approximately equal to zero. First, from the surface current field perspective, the velocity at the equator would not grow to the velocity magnitude, only reaching one-third of the surface velocity in Figure 3d. As seen in types 1 to 3, a lack of lateral friction to consume current energy at the equator leads to a rapid velocity growth to high speeds, which defies common sense. Moreover, the velocity magnitude at 5° N coincides with Figure 5a in type 2, followed by a little difference canceled out by the pressure gradient force obtained from the water level accumulation. Second, compared to Figure 3d in type 1, Figure 7b indicates that the velocity falls to 0.06 m/s at 1500 m, close to a negligible level, which has a much lesser effect than the depth of wind energy shown in Figure 3d.
This study demonstrates that lateral friction also plays an essential role in obstructing wind energy transfer into the deep ocean. Most importantly, the influence depth caused by the upper boundary’s wind field at the equator is more significant than other places containing Coriolis force. Overall, the Coriolis force and lateral friction hinder wind energy transfer into the deep ocean. Third, although other turbulence closure schemes, including K-Profile Parameterization (KPP) and Mellor–Yamada Level 2.5 closure, are considered in the simulation, all of them failed after calculations.
Regardless of whether the wind speed is 30 m/s or 10 m/s, the primary current field structures resemble each other, except for the velocity magnitude. Figure 8 presents the three-dimensional current structure using slices for different layers from the surface to 1500 m. Due to the uniform wind field, the current along the latitude direction is identical. The current direction is parallel to the equator’s latitude line; additionally, the maximum speed can be found in the upper 500 m. The color gradually becomes weaker from the surface to 1500 m, indicating that speed is a decreasing function of depth. This may be due to the movement of the underlayer fluid relying on the frictional force provided by the upper-layer fluid. The current speed decreases from the equator to the two poles in the upper 500 m but exceeds 1000 m, with the velocity at the equator being a little less than on both sides, which may be due to nonlocal transport. Due to the exclusion of the land boundary impact, seawater does not accumulate at the western border. Accordingly, the equatorial counter-current does not appear in the model results. From the perspective south of the equator, as the velocity decreases with increasing depth, the current continuously rotates to the left from the surface to 1500 m, accordingly, the current rotates to the right north of the equator.
The validation experiments a1–a8 are divided into two groups of wind speeds (30 m/s and 10 m/s). Due to the exclusion of the land boundary impact, the model results differ from the real ocean at the equator and the surrounding area. Figure 9 displays the four non-overlapping curved lines, illustrating the real existing uncertainty for various vertical grid schemes in the model simulation. The velocity coincides with the surface layer around the upper 100 m. When the wind speed is equal to 30 m/s, significant differences can be observed from 500 m to 1500 m, reaching 0.1 m/s, about a 50% discrepancy, confirming that velocity is a decreasing function of depth. When the depth reaches 2000 m, the wind energy can penetrate the ocean to reach the abyss while the Coriolis force is removed. When the wind speed equals 10 m/s, the overall velocity and influence depth are smaller than the velocity under 30 m/s; a tremendous difference reaches 0.06 m/s at 700 m, about a 75% discrepancy. Although a magnitude of difference on the centimeter scale can be observed when the wind speed is equal to 10 m/s, which is relatively close to the actual ocean, the cumulative effect can be neglected in the model simulation. Otherwise, this model difference may affect the deep circulation and simulation results. The specific effects will be evaluated in a simulated model in the future with an actual wind field and topography. The validation experiments demonstrated that the model uncertainty at the equator coincides with the ideal numerical experiments. In this research, the theoretical aspect indicates that, due to the existence of the Coriolis force, there is a significant discrepancy in the upper ocean velocities computed by different vertical grid schemes. It is experimentally demonstrated that the Coriolis force is the most crucial factor obstructing wind energy transfer to the deep ocean. Additionally, this study has practical guidance and constructive reference for developing the ROMS model’s actual prediction and forecasting techniques.

5. Summary and Discussion

The scientific community has extensively employed ROMS to simulate the region and nearshore area. It is an indispensable tool for exploring oceans with diverse parameter selection, including various advection schemes, several subgrid-scale parameterizations, vertical mixing closure schemes, and multiple vertical Vtransform and Vstretching schemes. In this research, different experiments were performed to determine simulation uncertainty. The model employs Vtransform and Vstretching schemes to generate a reasonable distribution of the vertical grid to attain the discrete curved line of the vertical distribution of the horizontal current and impractical velocity at the ocean bottom (see Figure 3d) while removing the Coriolis force via appropriate adjustment of the initial and boundary conditions. The random results may cause calculation deviation in the regional simulation. Then, the moderate latitude is selected to calculate the Coriolis force during the model simulation process. The obtained results substantially coincide—except for some imperceptible differences between 500 m and 1000 m and at the surface layer—with the surface velocity, which is fundamentally compatible with the empirical relationship developed by Ekman. After simulating low and high latitudes, further perturbation vertical grid schemes are employed in the model simulation, leading to compatible results. Comparing the results of these two types shows that the Coriolis force obstructs the wind energy transfer into the deep ocean. Finally, the global ocean surface seasonal average wind obtained from the ECWMF indicates that the realistic ocean domain is similar to that of the numerical experiment in the Pacific and Atlantic oceans, where the wind direction is along the latitude line at the equator. Moreover, the model uncertainty in the actual ocean simulation is verified through validation experiments. Since some errors were found in the current velocity in the low-latitude North Pacific results obtained from the ROMS, the uncertainty factor should be considered in the model. However, the following questions are raised: What percentage of each factor accounts for the errors? How can we perform useful research to solve these problems and conduct more accurate model simulations? Should we expand the investigation to the equatorial current to show the signal influence at this high-latitude domain? According to the two evaluations of ROMS performed by the research and development team, the equator’s model results have uncertainty and deviate from the actual ocean results, affecting the high-latitude area. In this study, it is theoretically concluded that, in the absence of Coriolis force, the upper ocean velocities calculated from different vertical grid schemes are significantly different. It is experimentally demonstrated that the Coriolis force is the most important factor obstructing the transfer of wind energy to the deep ocean. Additionally, this has practical guidance and is used to construct references for the actual prediction and forecasting techniques of the ROMS model in this work. In future research, the correct curved line in Figure 3d and its cause will be determined through theoretical analysis and sensitive numerical tests, as well as its actual influence in real ocean simulations.

Author Contributions

Conceptualization, L.W. and F.Z.; methodology, L.W.; software, Y.Z. and W.L.; validation, C.Z., T.L. and S.S.; formal analysis, S.P.; investigation, L.W.; resources, S.S.; data curation, G.X.; writing—original draft preparation, L.W.; writing—review and editing, L.W. and F.Z.; visualization, L.W., Y.Z. and H.C.; supervision, S.S.; project administration, L.W.; funding acquisition, WL. All authors have read and agreed to the published version of the manuscript.

Funding

This study was supported by the Fujian Province Natural Science Foundation (Nos. 2023J011573 and 2023J011402), the Fujian Science and Technology Major Special Project (No. 2022NZ033023), the Fujian Marine Economic Development Special Fund Project (No. FJHJF-L-2022-17), the Fujian Province Key Science and Technology Innovation Project (2022G02009), and the MJU Scientific Research Foundation for Talents (Nos. MJY22033 and MJY23014). This work was supported by the Opening Project (No. 2023QZJ01 and 2024QZJ02) of the Sichuan Province University Key Laboratory of Bridge Non-Destruction Detecting and by the Scientific Research and Innovation Team Program of the Sichuan University of Science and Engineering (SUSE652B002).

Institutional Review Board Statement

Not applicable.

Informed Consent Statement

Not applicable.

Data Availability Statement

Data set available on request from the authors.

Conflicts of Interest

The authors declare that they have no known competing financial interests or personal relationships that could have appeared to influence the work reported in this paper.

References

  1. Shchepetkin, A.F.; McWilliams, J.C. The Regional Ocean Modeling System: A split-explicit, free-surface, topography following coordinates ocean model. Ocean Model. 2005, 9, 347–404. [Google Scholar] [CrossRef]
  2. Malanotte-Rizzoli, P.; Hedstrom, K.; Arango, H.; Haidvogel, D.B. Water mass pathways between the subtropical and tropical ocean in a climatological simulation of the North Atlantic ocean circulation. Dyn. Atmos. Oceans 2000, 32, 331–371. [Google Scholar] [CrossRef]
  3. Penven, P.; LutjeharmsI, J.R.E.; Marchesiel, P.; Roy, C.; Weeks, S.J. Generation of cyclonic eddies by the Agulhas Current in the lee of the Agulhas Bank. Geophys. Res. Lett. 2001, 28, 1055–1058. [Google Scholar] [CrossRef]
  4. Robertson, R.; Beckmana, A.; Hellmer, H. M2 tidal dynamics in the Ross Sea. Antarct. Sci. 2003, 15, 41–46. [Google Scholar] [CrossRef][Green Version]
  5. Warner, J.C.; Geyer, W.R.; Lerczak, J.A. Numerical modeling of an estuary: A comprehensive skill assessment. J. Geophys. Res. 2005, 110, C05001. [Google Scholar] [CrossRef]
  6. Penven, P.; Debreu, L.; Marchesiello, P.; McWilliams, J.C. Evaluation and application of the ROMS 1-way embedding procedure to the central california upwelling system. Ocean Model. 2006, 12, 157–187. [Google Scholar] [CrossRef]
  7. Blaas, M.; Dong, C.; Marchesiello, P.; McWilliams, J.C. Sediment-transport modeling on Southern Californian shelves: A ROMS case study. Cont. Shelf Res. 2007, 27, 832–853. [Google Scholar] [CrossRef]
  8. Powell, B.S.; Arango, H.G.; Moore, A.M.; Di Lorenzo, E.; Milliff, R.F.; Foley, D. 4DVAR data assimilation in the Intra-AmericasSea with the Regional Ocean Modeling System (ROMS). Ocean Model. 2008, 23, 130–145. [Google Scholar] [CrossRef]
  9. Melsom, A.; Lien, V.S.; Budgell, W.P. Using the Regional Ocean Modeling System (ROMS) to improve the ocean circulationfrom a GCM 20th century simulation. Ocean Dyn. 2009, 59, 969–981. [Google Scholar] [CrossRef]
  10. Moore, A.M.; Arango, H.G.; Broquet, G.; Edwards, C.; Veneziani, M.; Powell, B.; Foley, D.; Doyle, J.D.; Costa, D.; Robinson, P. The Regional Ocean Modeling System (ROMS) 4-dimensional variational dataassimilation systems, Part III—Observation impact and observation sensitivity in the California Current System. Prog. Oceanogr. 2010, 91, 74–94. [Google Scholar] [CrossRef]
  11. Zambon, J.B.; He, R.; Warner, J.C. Investigation of hurricane Ivan using the coupled ocean–atmosphere–wave–sediment transport (COAWST) model. Ocean Dyn. 2014, 64, 1535–1554. [Google Scholar] [CrossRef]
  12. Glenn, S.M.; Miles, T.N.; Seroka, G.N.; Xu, Y.; Forney, R.K.; Schofield, O.; Kohut, J. Stratified coastal ocean interactions with tropical cyclones. Nat. Commun. 2016, 7, 10887. [Google Scholar] [CrossRef] [PubMed]
  13. Bento, A.R.; Coelho, H.; Yang, C. Evaluation of the ocean circulation for the solomon sea using the regional ocean modeling system(ROMS). In Proceedings of the ASME 2019 38th International Conference on Ocean, Offshore and Arctic Engineering, Scotland, UK, 9–14 June 2019. [Google Scholar] [CrossRef]
  14. Song, Y.; Haidvogel, D. A Semi-implicit Ocean Circulation Model Using a Generalized Topography-Following Coordinate System. J. Comput. Phys. 1994, 115, 228–244. [Google Scholar] [CrossRef]
  15. Haidvogel, D.B.; Arango, H.G.; Hedstrom, K.; Beckmann, A.; Malanotte-Rizzoli, P.; Shchepetkin, A.F. Model evaluation experiments in the North Atlantic Basin: Simulations in nonlinear terrain-following coordinates. Dyn. Atmos. Oceans 2000, 32, 239–281. [Google Scholar] [CrossRef]
  16. Haidvogel, D.B.; Arango, H.; Budgell, W.P.; Cornuelle, B.D.; Curchitser, E.; Di Lorenzo, E.; Fennel, K.; Geyer, W.R.; Hermann, A.J.; Lanerolle, L.; et al. Ocean forecasting in terrain-following coordinates:Formulation and skill assessment of the Regional Ocean Modeling System. J. Comput. Phys. 2007, 227, 3595–3624. [Google Scholar] [CrossRef]
  17. Lien, R.C.; Ma, B.; Lee, C.M.; Sanford, T.B.; Mensah, V.; Centurioni, L.R.; Cornuelle, B.D.; Gopalakrishnan, G.; Gordon, A.L.; Chang, M.H.; et al. The Kuroshio and Luzon undercurrent east of Luzon Island. Oceanography 2015, 28, 54–63. [Google Scholar] [CrossRef]
  18. Fujii; Tsujino, H.; Usui, N.; Nakano, H.; Kamachi, M. Application of singular vector analysis to the Kuroshio large meander. J. Geophys. Res. 2008, 113, C07026. [Google Scholar] [CrossRef]
  19. Hu, D.; Wu, L.; Cai, W.; Gupta, A.S.; Ganachaud, A.; Qiu, B.; Gordon, A.L.; Lin, X.; Chen, Z.; Hu, S.; et al. Pacific western boundary currents and their roles in climate. Nature 2015, 522, 299–308. [Google Scholar] [CrossRef]
  20. Zhang, H.; Chen, D.; Zhou, L.; Liu, X.; Zhou, B. Upper ocean response to typhoon Kalmaegi(2014). J. Geophys. Res. Oceans 2016, 121, 6520–6535. [Google Scholar] [CrossRef]
  21. Zhang, K.; Mu, M.; Wang, Q. Identifying the sensitivearea in adaptive observation for predicting the upstream Kuroshio transport variation in a 3-D ocean model. Sci. China Earth Sci. 2017, 60, 866–875. [Google Scholar] [CrossRef]
  22. Zhang, K.; Wang, Q.; Mu, M.; Liang, P. Effects of optimal initial errors on predicting the seasonal reduction of the upstream Kuroshio transport. Deep. Sea Res. Part I Oceanogr. Res. Pap. 2016, 116, 220–235. [Google Scholar] [CrossRef]
  23. Shchepetkin, A.F.; McWilliams, J.C. Quasi-monotone advection schemes based on explicit locally adaptive dissipation. Mon. Weather Rev. 1998, 126, 1541–1580. [Google Scholar] [CrossRef]
  24. Shchepetkin, A.F.; McWilliams, J.C. A method for computing horizontal pressure-gradient force in an oceanic model with a nonaligned vertical coordinate. J. Geophys. Res. 2003, 108, 3090. [Google Scholar] [CrossRef]
  25. Shchepetkin, A.F.; McWilliams, J.C. An Accurate Boussinesq oceanic model with a practical, “Stiffened” equation of state. Ocean Model. 2011, 38, 41–70. [Google Scholar] [CrossRef]
  26. Wajsowicz, R.C. A consistent formulation of the anisotropic stress tensor for use in models of the large-scale ocean circulation. J. Comp. Phys. 1993, 105, 333–338. [Google Scholar] [CrossRef]
  27. Umlauf, L.; Burchard, H. A generic length-scale equation for geophysical turbulence models. J. Marine Res. 2003, 61, 235–265. [Google Scholar] [CrossRef]
  28. Wu, J. Wind-stress coefficients over sea surface from breeze to hurricane. J. Geophys. Res. Ocean. 1982, 87, 9704–9706. [Google Scholar] [CrossRef]
  29. Souza, J.M.; Powell, B.; Castillo-Trujillo, A.C.; Flament, P. The Vorticity Balance of the Ocean Surface in Hawaii fron a Regional Reanalysis. J. Phys. Oceanogr. 2015, 45, 424–440. [Google Scholar] [CrossRef]
  30. Ekman, V.W. On the Influence of the Earth’s Rotation on Ocean-Currents; Gc237.E4; The Eisenhower Library. 1905. Available online: https://jscholarship.library.jhu.edu/server/api/core/bitstreams/e261f29d-8b93-4831-95f9-6ba2eb2316dc/content (accessed on 16 June 2022).
  31. Zhang, W.Z.; Hong, H.S.; Shang, S.P.; Chen, D.W.; Chai, F. A two-way nested coupled tide-surge model for the Taiwan Strait. Cont. Shelf Res. 2007, 27, 1548–1567. [Google Scholar] [CrossRef]
  32. Wen, X.X.; Duan, W.S. Errors in current velocity in the low-latitude North Pacific: Results from the Regional Ocean Modeling System. Adv. Atmos. Sci. 2019, 36, 397–416. [Google Scholar] [CrossRef]
Figure 1. The flowchart of the experimental setup.
Figure 1. The flowchart of the experimental setup.
Jmse 12 01675 g001
Figure 2. A vertical grid corresponding to the eight experiments (E1–E8) for type 1. (ad) The scheme of Vtransform = 1 and Vstretching = 1. (eh) The scheme of Vtransform = 2 and Vstretching = 4. The values of theta_s and theta_b are selected according to the corresponding numbers in Table 1.
Figure 2. A vertical grid corresponding to the eight experiments (E1–E8) for type 1. (ad) The scheme of Vtransform = 1 and Vstretching = 1. (eh) The scheme of Vtransform = 2 and Vstretching = 4. The values of theta_s and theta_b are selected according to the corresponding numbers in Table 1.
Jmse 12 01675 g002
Figure 3. (a) The current velocity distribution along the X-direction and water depth. The color represents the absolute value of the velocity; (b) the velocity versus time; (c) the spatial distribution of the current velocity, well-distributed horizontally; (d) the depth versus the current velocity for the eight experiments.
Figure 3. (a) The current velocity distribution along the X-direction and water depth. The color represents the absolute value of the velocity; (b) the velocity versus time; (c) the spatial distribution of the current velocity, well-distributed horizontally; (d) the depth versus the current velocity for the eight experiments.
Jmse 12 01675 g003
Figure 4. (a) The velocity spiral of the upper 2000 m. The dotted green line indicates the projection. (b) Four sections of the spatial distribution for the upper 400 m.
Figure 4. (a) The velocity spiral of the upper 2000 m. The dotted green line indicates the projection. (b) Four sections of the spatial distribution for the upper 400 m.
Jmse 12 01675 g004
Figure 5. A comparison of the vertical lines of current velocities for different vertical grid schemes (5° N, 18° N, and 60° N). The almost overlapping dotted line, solid line, and dot–dashed line are chosen for illustration. (a) A comparison of the streamflow at 5°N. (b) The streamflow at 18°N. (c) The streamflow at 60°N.
Figure 5. A comparison of the vertical lines of current velocities for different vertical grid schemes (5° N, 18° N, and 60° N). The almost overlapping dotted line, solid line, and dot–dashed line are chosen for illustration. (a) A comparison of the streamflow at 5°N. (b) The streamflow at 18°N. (c) The streamflow at 60°N.
Jmse 12 01675 g005
Figure 6. The ECWMF 2009–2018 ten-year seasonal mean of the sea surface wind derived from monthly average data. The summer average is for months 6 to 8. The color represents the wind speed magnitude.
Figure 6. The ECWMF 2009–2018 ten-year seasonal mean of the sea surface wind derived from monthly average data. The summer average is for months 6 to 8. The color represents the wind speed magnitude.
Jmse 12 01675 g006
Figure 7. (a) The surface current field in the model after the steady state; the color represents the velocity magnitude. (b) The vertical distribution of the horizontal current velocity at the equator, which is homogeneous along the latitude line. The station point is chosen at (180, 0).
Figure 7. (a) The surface current field in the model after the steady state; the color represents the velocity magnitude. (b) The vertical distribution of the horizontal current velocity at the equator, which is homogeneous along the latitude line. The station point is chosen at (180, 0).
Jmse 12 01675 g007
Figure 8. The three-dimensional flow field structure of experiment a1 for seven layers, including 5 m, 20 m, 50 m, 100 m, 500 m, 1000 m, and 1500 m. The color represents the current velocity magnitude, while the arrow indicates the direction.
Figure 8. The three-dimensional flow field structure of experiment a1 for seven layers, including 5 m, 20 m, 50 m, 100 m, 500 m, 1000 m, and 1500 m. The color represents the current velocity magnitude, while the arrow indicates the direction.
Jmse 12 01675 g008
Figure 9. The four experimental results contrast the vertical distribution of the equator’s horizontal velocity for the upper boundary’s wind speeds of 30 m/s and 10 m/s in (a) and (b), respectively.
Figure 9. The four experimental results contrast the vertical distribution of the equator’s horizontal velocity for the upper boundary’s wind speeds of 30 m/s and 10 m/s in (a) and (b), respectively.
Jmse 12 01675 g009
Table 1. The experimental list and parameters (the experiments are similar to E1, except for the noted ones).
Table 1. The experimental list and parameters (the experiments are similar to E1, except for the noted ones).
ExperimentVtransformVstretchingTheta_sTheta_b
E11100
E21160.9
E31170.98
E41180.8
E52453.9
E62464
E72473.9
E82484
Table 2. The wind speeds and vertical grid schemes for different experiments.
Table 2. The wind speeds and vertical grid schemes for different experiments.
ExperimentsWind (m/s)Vertical Grid Scheme
a130E2
a230E3
a330E7
a430E8
a510E2
a610E3
a710E7
a810E8
Disclaimer/Publisher’s Note: The statements, opinions and data contained in all publications are solely those of the individual author(s) and contributor(s) and not of MDPI and/or the editor(s). MDPI and/or the editor(s) disclaim responsibility for any injury to people or property resulting from any ideas, methods, instructions or products referred to in the content.

Share and Cite

MDPI and ACS Style

Wang, L.; Zhang, F.; Zheng, C.; Zhong, Y.; Lu, T.; Shang, S.; Pu, S.; Xia, G.; Chen, H.; Leng, W. A Study on the Impact of Vertical Grid Parameter Perturbations in the Regional Ocean Modeling System. J. Mar. Sci. Eng. 2024, 12, 1675. https://doi.org/10.3390/jmse12091675

AMA Style

Wang L, Zhang F, Zheng C, Zhong Y, Lu T, Shang S, Pu S, Xia G, Chen H, Leng W. A Study on the Impact of Vertical Grid Parameter Perturbations in the Regional Ocean Modeling System. Journal of Marine Science and Engineering. 2024; 12(9):1675. https://doi.org/10.3390/jmse12091675

Chicago/Turabian Style

Wang, Lei, Feng Zhang, Chongwei Zheng, Yaozhao Zhong, Tianxiu Lu, Shaoping Shang, Siyu Pu, Guodong Xia, Huafei Chen, and Wei Leng. 2024. "A Study on the Impact of Vertical Grid Parameter Perturbations in the Regional Ocean Modeling System" Journal of Marine Science and Engineering 12, no. 9: 1675. https://doi.org/10.3390/jmse12091675

APA Style

Wang, L., Zhang, F., Zheng, C., Zhong, Y., Lu, T., Shang, S., Pu, S., Xia, G., Chen, H., & Leng, W. (2024). A Study on the Impact of Vertical Grid Parameter Perturbations in the Regional Ocean Modeling System. Journal of Marine Science and Engineering, 12(9), 1675. https://doi.org/10.3390/jmse12091675

Note that from the first issue of 2016, this journal uses article numbers instead of page numbers. See further details here.

Article Metrics

Back to TopTop