Next Article in Journal
Assessing Critical Entities: Risk Management for IoT Devices in Ports
Previous Article in Journal
Real-Time Prediction of Multi-Degree-of-Freedom Ship Motion and Resting Periods Using LSTM Networks
 
 
Font Type:
Arial Georgia Verdana
Font Size:
Aa Aa Aa
Line Spacing:
Column Width:
Background:
Article

Numerical Investigation of Oblique Currents’ Effects on the Hydrodynamic Characteristics of Ships in Restricted Waters

by
Yilin Huang
,
Da Hui
,
Mingyu Xia
,
Guangyao Wang
and
Jinshan Zhu
*
College of Navigation, Dalian Maritime University, Dalian 116026, China
*
Author to whom correspondence should be addressed.
J. Mar. Sci. Eng. 2024, 12(9), 1592; https://doi.org/10.3390/jmse12091592
Submission received: 7 August 2024 / Revised: 6 September 2024 / Accepted: 7 September 2024 / Published: 9 September 2024
(This article belongs to the Section Ocean Engineering)

Abstract

The influence of oblique currents in narrow and shallow channels causes the fluid flow around ships to become complex. To analyze the hydrodynamic characteristics of a ship in such channels, it is essential to examine the influence of oblique currents on the ship’s hydrodynamic characteristics. In this study, current direction, ship speed, current speed, and water depth were identified as determinants affecting the hydrodynamic characteristics of a ship. Numerical simulations were conducted on a large oil tanker to investigate the effects of these factors on the ship’s hydrodynamic characteristics. The viscous fluid flow was modeled using the unsteady Reynolds-averaged Navier–Stokes (URANS) equations in conjunction with the k-ε turbulence model. The URANS equations were discretized using the finite volume method. The numerical results indicate substantial differences in the hydrodynamic characteristics of ships under oblique current conditions compared to still-water conditions. At a current direction of β = −45°, the direction of the sway force is consistent with that of still water’s sway force, which is an attractive force. The yaw moment at β = −45° changes from a bow-out moment under still-water conditions to a bow-in moment. Conversely, at a current direction of β = 45°, the sway force shifts from an attractive force under still-water conditions to a repulsive force. The yaw moment acts as a bow-out moment, which is consistent with that observed in still-water conditions. Furthermore, the influence of hydrodynamic characteristics on a ship varies significantly with changes in ship speed, current speed, and water depth. To ensure the safe navigation of ships, it is essential to develop and apply comprehensive strategies and countermeasures that account for practical conditions.

1. Introduction

To meet the demands required for the transportation of goods, ships are continuously increasing in size. Consequently, there has been a notable rise in the number of large ships entering and departing from harbors. The larger ships require deeper waterways, leading to the establishment of deep-water areas in numerous harbors. Deep-water areas enable efficient utilization of natural depths, leading to reduced costs in dredging and accommodating large vessels in ports. However, the navigational conditions in deep-water areas are complex: some channels are affected by tides with strong currents, and the direction of currents is usually at an angle to the channel. This occurs, for example, in the following ports: the Port of Rotterdam in the Netherlands (the maximum current speed is approximately 2.5 knots at 45° to the channel) [1], the Port of Zeebrugge in Belgium (the maximum cross-current speed is approximately 4 knots) [2], the Port of Milford Haven in UK (the maximum cross-current speed is approximately 3 knots) [3], and the Port of Shenzhen in China (the maximum current speed during flood periods reaches up to 6 knots) [4]. Ships navigating through these channels are influenced not only by the bank effect and shallow-water effect but also by the currents. The complex hydrodynamic variations on ships significantly increase the risk of maritime accidents such as groundings and collisions. Accordingly, it is crucial to conduct studies on the hydrodynamic characteristics of ships navigating in restricted waters.
Previously, Norrbin et al. [5] proposed empirical formulas for estimating the lateral forces and the yaw moments when ships are navigating along different shapes of shore walls. However, the empirical formulas were derived from experimental data using regression equations, thus limiting the prediction of ship hydrodynamics to the specific vessel types tested. In contrast, tank experiments conducted with specific ships enhance the credibility of research on the hydrodynamics of ships in restricted waters.
To date, numerous scholars have conducted model ship tank experiments in restricted waterways. Li, Vantorre, Yasukawa, and, Lataire et al. [6,7,8,9] examined ship–bank interactions through model tests. Zeraatgar et al. [10] conducted a parameter analysis of ship squat in shallow water through model experiments. Hoydonck et al. [11] conducted towing tank experiments on a KRISO Very Large Crude-oil Carrier 2 (KVLCC2) and compared the results with those obtained by the computational fluid dynamics (CFD) solver and the potential flow solver. Ismail et al. [12] evaluated wave patterns and their impact on riverbank erosion generated by a fast small boat through model tests and full-scale measurements and provided recommendations for reducing the wave wake height produced by the boat. Although experimental methods are widely used for hydrodynamic studies of ships in restricted waters, they incur high costs. Furthermore, experimental methods are unable to provide detailed information on the flow field, which is critical for elucidating the flow mechanisms underlying bank effects. In view of this, researchers began to use numerical methods to investigate ship hydrodynamics in restricted waters.
For the past few years, the potential flow method has been the most common numerical method used. Miao, Lee, and Huang et al. [13,14,15] analyzed ship–bank interactions based on the potential theory. These studies effectively predicted the hydrodynamic characteristics of ships navigating near the bank in most conditions. However, it was shown that the applied potential flow method could not predict reasonable hydrodynamic forces under extremely shallow-water conditions. Degrieck et al. [16] compared the potential flow method, experiments, and CFD results of hydrodynamic force when ships navigate near a bank. The comparison showed that hydrodynamic forces that match the experimental values can be calculated using the CFD method. The CFD method can consider wave-making and viscous effects, making the numerical calculations more credible.
In recent years, researchers have mostly used Reynolds averaged Navier–Stokes (RANS)-based CFD methods to study ships’ hydrodynamic characteristics in restricted waters. Based on the CFD method, Zou and Larsson [17] calculated the hydrodynamics of a KVLCC2 vessel sailing near a vertical bank and slope bank and analyzed the influence of bank shape on the bank effect. Lee et al. [18] analyzed the hydrodynamics of two different large vessels for near-shore navigation using the CFD method and investigated the impact of various factors on hydrodynamic interactions. Liu et al. [19] simulated the near-shore navigation of a ship under extreme conditions. Their results show that a force pulling toward a wall, such as a suction force, might in extremely shallow water become a repulsion force and push the ship away from the wall. Therefore, the effect of depth must be taken into account when analyzing the bank effect. Using the CFD method, Hong et al. [20] calculated the lateral force and yaw moment of barges with different shapes in confined waters and reported that considering the free surface effect is crucial for a comprehensive analysis of the bank effect when a ship is near a bank. Campbell et al. [21] investigated the effects of draft and trim variations on ship resistance in confined waters, while Hadi et al. [22] studied the impact of channel width and water depth on ship resistance. Samuel et al. [23] analyzed the influence of water depth on the total resistance of ships. The numerical simulation results from Campbell, Hadi, and Samuel et al. consistently indicate that the k-ε turbulence model can accurately predict the hydrodynamics of ships operating in confined waters. Furthermore, the k-ε model prove to be relatively cost-effective in terms of CPU time when compared to the SST turbulence model [22]. Martić et al. [24] evaluated the effect of shallow water on the total resistance of the solar catamaran SolarCat and analyzed the flow around the catamaran. Moreover, their numerical simulations indicate that mesh morphing effectively accommodates sinkage and trim values for limited depths. Martić et al. [25] analyzed the influence of trim on the resistance of a container ship in confined waters. Their findings demonstrate that adjusting the trim can achieve a reduction in total resistance in confined waters. Shi et al. [26] modeled a vessel passing a step bank and discovered that the impulse effect caused by the step bank had significant impacts on wave elevation, wake development, and vessel sinkage. Using viscous-flow calculations, Toxopeus et al. [27] investigated the effects of water depth and basin walls on a KVLCC2 during maneuvering.
Existing numerical studies utilizing the CFD method can accurately predict the hydrodynamic characteristics of ships navigating in constrained waters under still-water conditions. However, the studies mentioned above do not account for the effects of currents. To simplify the complexity of hydrodynamic forces on ships, researchers often simulate the flow field as still water. While these methods streamline calculation processes, they may not accurately represent real flow dynamics within channels. This is because they do not account for the influence of background currents when calculating the hydrodynamics of ships navigating within the channel. Recently, some studies on ship hydrodynamics have considered the effects of currents. Tang et al. [28] conducted a study on ships navigating in non-uniform currents and in shallow-water areas. Varying depth/draft ratios and current velocities for ship trajectories in shallow water were compared. Their results indicate that increasing current velocity leads to a deterioration in ship maneuverability. Utilizing the URANS solver, Terziev et al. [29] conducted a study on the impact of sheared currents on KRISO container ship performance in shallow waters. The results indicate reduced resistance and significant decreases in sinkage and trim when currents assist ship motions. Conversely, the resistance may increase by approximately 150%, the sinkage may increase by a maximum of approximately 170%, and the trim can increase by up to 238%.
Although numerous studies have explored the bank effect on ship hydrodynamics under no-current conditions and the effect of currents on ship hydrodynamics in shallow waters, to the best of the authors’ knowledge, few studies have conducted RANS-based assessments on the effects of oblique currents on ship performance during near-shore navigation. In our study, a ship navigating near the bank under different current directions is studied using the CFD method. The ship was free to move in three attitudes: roll (rotation about x axis), pitch (rotation about y axis), and heave (translation along z axis) motions. The effect of current directions on the ship’s hydrodynamics was analyzed.
This study is organized as follows: Section 2 details the numerical methodology, encompassing the computational domain and grid system; Section 3 assesses the method’s reliability through grid convergence analysis and compares CFD computations with experimental results. Subsequently, the effects of current direction, ship speed, current speed, and H/T (depth-to-draft ratio) on ship hydrodynamics are discussed; Section 4 provides a summary of the findings from this numerical study.

2. Numerical Analysis

2.1. Governing Equation and Numerical Analysis Method

In this study, numerical simulations were performed using STAR-CCM+ [30], a commercial CFD program based on the finite volume method. The continuity and momentum equations governing incompressible flow analysis were as follows [31].
( ρ u i ¯ ) x i = 0
( ρ u ¯ i ) t + x j ( ρ u ¯ i u ¯ j + ρ u i u j ¯ ) = p ¯ x i + τ ¯ i j x j
where ρ is density, u ¯ i is the averaged Cartesian components of the velocity vector, ρ u i u j ¯ is the Reynolds stresses, p ¯ is the mean pressure, and τ ¯ i j is the mean viscous stress tensor components.
The convective term is discretized using a second-order upwind scheme, while the diffusive term is discretized by employing a quadratic gradient. Time discretization is performed in the first-order Euler difference format. Coupled pressure–velocity simulations are conducted using the SIMPLE (Semi-implicit Method for Pressure Linked Equations) algorithm. The near-wall flow is simulated using the All-y+ wall treatment with a mixed wall function. The realizable k-ε model was used for the turbulence model due to its advantageous computational efficiency in terms of CPU time economy [22,32]. The k-ε model has recently been used to analyze the bank effect of the KRISO Container Ship (KCS), the KVLCC2, and the Duisburg Test Case container ship (DTC), yielding acceptable results [18,19].
The volume of fluid (VOF) method was employed to simulate the free liquid surface. The heave, pitch, and roll motions were considered in the numerical calculations, and other motion modes were constrained. The VOF wave damping function was used to prevent wave reflections from affecting the outlet boundary.
Due to the fact that the volume required for generating overset grids to accommodate the roll, heave, and pitch motions of the hull can easily exceed the bottom boundary, the overset grid technique was not employed for shallow-water scenarios. Instead, our study utilized the dynamic fluid body interaction (DFBI) morphing technique to simulate the roll, heave, and pitch motions. According to the study by Liu and Martić et al. [19,24], the mesh morphing technique accurately computed the hydrodynamic forces of a ship under shallow-water conditions.

2.2. Calculation Domain and Boundary Condition

To investigate the ship’s hydrodynamic force characteristics with oblique currents, a 1/75 scale model of the large oil tanker KVLCC2 was utilized in this study. Table 1 shows the main features of the KVLCC2 ship model.
The computational domain and coordinate system of the model established in this study are illustrated in Figure 1. The computational domain was set up as a similar submerged sloping bank wall, based on the Tonggu Channel in Shenzhen Harbor, China. The computational domain extends 1.5Lpp forward from the fore perpendicular in the bow direction and 2.5Lpp aft towards the stern. In the transverse direction, it consists of two submerged sloping bank walls with a slope of 1:5. Furthermore, to analyze the effect of water depth, simulations were conducted under three different water depth conditions (H/T = 1.2, 1.35, and 1.5). Here, H represents the water depth and T denotes the draft. The lateral position of the ship remains unchanged, with the distance from midship to the inner edge of the channel being B/2. The Cartesian coordinate system (O-XYZ) is defined with the intersection of the stern plumb line and the static water surface serving as its origin. The x-, y-, and z- axes point towards the bow, port, and upward directions, respectively. Velocity inlet conditions are applied at the top and inlet boundaries, and pressure outlet conditions are applied at the outlet boundaries. The side of the computational domain is set up as the velocity inlet or pressure outlet, depending on the direction of the current in the channel. As shown in Figure 2, when the angle β between the current and the course reaches 45°, the right side of the computational domain is set as the velocity inlet while the left side is set as the pressure outlet. The bottom of the inner channel, the sloping bank, and the bottom of the outer channel are set as the slip-wall. Numerous studies [17,18,19,33] have demonstrated successful calculation results achieved by applying the slip condition at the bottom and side wall boundaries, even under extreme conditions. Additionally, the no-slip condition was applied to the hull.

3. Numerical Results and Discussion

3.1. Verification

The verification procedure in this study, aimed at analyzing grid and time-step uncertainties, employed the grid convergence index (GCI) method as described by Celik et al. [34]. This method has been utilized in several studies [18,19,33,35] to assess numerical uncertainty in confined waters. The numerical convergence ratio R G is calculated as follows:
R G = ε G 21 ε G 32
Here, it is obtained by ε G 21 = φ 2 φ 1 and ε G 32 = φ 3 φ 2 , each of which represents the difference in the solution value between medium-fine and coarse-medium, respectively. φ1, φ2, or φ3 each represent the solution calculated for the fine, medium, or coarse mesh. The three grid sets are generated by using a refinement ratio r G = 2 , and the order of accuracy p can be obtained as follows:
p = ln ( ε G 32 / ε G 21 ) ln ( r G )
The extrapolated values are calculated as follows:
φ e x t 32 = r G P φ 2 φ 3 r G P 1
The approximate relative errors are obtained by the following equations:
e a 32 = φ 2 φ 3 φ 2
Finally, the medium-grid convergence index is computed as follows:
G C I m e d 32 = 1.25 e a 32 r G P 1
This method was also employed to define and compute the convergence index for fine time steps, denoted as T C I m e d 32 . To conduct the convergence study, calculations were performed on the 1/75 scale KVLCC2 model using the operating case 1(b) as defined in the literature [11]. The calculation conditions were as follows: lateral position = −2.1825 m, H/T = 1.35 and ship speed Vm = 0.356 m/s. In the grid convergence study, the time-step size was set to 0.015 s. The three grid sets used for the grid convergence study are depicted in Table 2 and the medium grid is shown in Figure 3. As indicated in Table 3, numerical uncertainties for the medium mesh are small for all parameters except the yaw moment. Other studies [11,18,19] on the bank effect similarly indicate that the uncertainty in yaw moment exceeds that of sway force, with a larger discrepancy from experimental values. The uncertainty of the yaw moment reported in study [18] is 75.20%. Our present calculations result in an uncertainty of 29.21% for the yaw moment, which is lower than the value reported in study [18]. This could be due to the higher number of grids employed in this study compared to those used in study [18]. In the time-step convergence study, a medium grid size was used, and the time steps were set to 0.01 s, 0.015 s, and 0.021 s. As shown in Table 4, the numerical uncertainties for the medium time step indicate that the uncertainty associated with the time-step size is relatively small. Therefore, in the subsequent numerical simulations of this study, a medium grid number will be used along with a time step of 0.15.
To validate the numerical calculation approach used in this study, we compared the current CFD results with experimental data and CFD results from other studies [11,18], as depicted in Figure 4. The calculations were conducted under the condition H/T = 1.35 and Fr = 0.055 for a 1/75 scale model of the KVLCC2 without propulsion. Forces and moments obtained from the numerical calculations are presented as non-dimensional values: Forces are divided by q L p p T m , where q is the dynamic pressure defined as 0.5 ρ V 2 . The roll moment is divided by q L p p T m 2 m and the yawing moment is divided by q L p p 2 T m .
As shown in Figure 4, the surge force X’ and the sway force Y’ closely align with the experimental data. The roll moment K’ at lateral position = 2.1134 exhibits a slight overestimation compared to the experimental data, and the trend of the yaw moment N’ with the lateral position shows a slight divergence from the experimental data. However, the literature [11] that provided the experimental data also used CFD methods for calculations under the same conditions, as shown in curve ReFRESCO. The K’ and N’ calculated by ReFRESCO demonstrate a trend that is similar to that in our present results. Furthermore, the K’ and N’ calculated by Lee et al. [18] using the CFD method under these conditions showed deviations from the experimental data. The discrepancy in K’ and N’ between CFD methods and the ship-model experiments may stem from a scale effect inherent in the ship model or inaccuracies in the experimental fluid dynamics (EFD) [11]. In general, the numerical simulations demonstrate a trend that aligns well with the experimental data. Based on the validation and verification analyses, it can be confirmed that the numerical methods used in this study are effective for calculating the hydrodynamics of the KVLCC2. In addition, the numerical simulation with the medium mesh and medium time step demonstrates efficiency. Therefore, the medium grid number and medium time step will be utilized in the subsequent hydrodynamic calculations.

3.2. Effects of Ship Speed

In this sub-section, the hydrodynamic characteristics of a ship under varying ship speeds were analyzed, accounting for oblique current directions of β = −45°, 45°, and still-water conditions. Three ship speeds were selected for the simulations: Vm = 0.356 m/s, 0.534 m/s, and 0.653 m/s (corresponding to actual ship speeds of 6 knots, 9 knots, and 11 knots) Additionally, two ship speeds, Vm = 0.356 m/s and 0.635 m/s, were selected to assess the ship’s hydrodynamic characteristics under identical water depths without the submerged bank in still water. This approach aimed to quantify the influence of the submerged bank on the ship’s hydrodynamic characteristics, as the effect of such a submerged bank with a gentle slope is often overlooked. The simulations in this sub-section were conducted with an H/T of 1.2 and a current speed V0 of 0.084 m/s (equivalent to an actual current speed of 2 knots). Figure 5 illustrates the influence of ship speeds on the ship’s hydrodynamic coefficients, which include the surge force (X’), sway force (Y’), yaw moment (N’), sinkage, trim, and the equilibrium position of rolling. Along the horizontal axis of the figure, β = 0° denotes the still-water condition, whereas β = −45° and 45° correspond to the oblique current directions. In this study, a negative sign of the sway force means the sway force acts as an attractive force and a positive sign of the yaw moment means the yaw moment acts as a bow-out motion. In addition, the ship’s rolling equilibrium position is positive when pushing starboard into the water.
Firstly, the influence of the submerged bank on the ship’s hydrodynamic characteristics under the still-water condition was analyzed. Under the still-water condition with submerged banks, the surge force, yaw moment, sinkage, and trim increase with increasing speed. The surge force acts as an attractive force, and the yaw moment acts as a bow-out motion. The trim acts as a trim by bow. The equilibrium position of rolling shows a tendency to shift towards the starboard side as the ship’s speed increases. However, under the still-water condition without submerged banks, the sway force and yaw moment are nearly zero. The surge force and sinkage are greater under conditions with submerged banks compared to those without. Additionally, at Vm = 0.356 m/s, the trim shifts from a trim by stern in the case without submerged banks to a trim by bow in the case with submerged banks. These results underscore the notable influence of the submerged bank on the ship’s hydrodynamic characteristics.
Next, the effects of oblique currents on the ship’s hydrodynamic characteristics at different ship speeds were analyzed. For all ship speeds, the surge force, sway force, yaw moment, sinkage, and trim under each oblique current condition is larger than that of still-water conditions and increase with increasing ship speed under each oblique current condition. Additionally, the surge force is greater when β = −45° compared to that at β = 45° at each ship speed. The sway force direction in β = −45° is consistent with the direction observed in still-water conditions, acting as an attractive force. Conversely, at β = 45°, the sway force shifts from an attractive force in still-water condition to a repulsive force. The yaw moment at β = −45° acts as a bow-in motion. In contrast, the yaw moment at β = 45° acts as a bow-out motion, which is consistent with the still-water conditions. The trim acts as a trim by bow in all conditions. As shown in Figure 6, the time history of rolling after convergence is illustrated for various ship speeds under different oblique current directions. The result indicates that the rolling amplitude decreases with increasing ship speed. Additionally, as shown in Figure 5f, under still-water conditions, the rolling equilibrium position tends to approach 0°. At β = −45°, the ship’s rolling equilibrium position tilts, causing the port to dip into the water, whereas at β = 45°, it causes the starboard to dip into the water. This requires preventing the ship’s bottom from contacting the seabed.
Moreover, to gain deeper insights into the variation in sway force, Figure 7 illustrates the non-dimensional sway force distribution along the hull at Vm = 0.356 m/s and 0.653 m/s. Several longitudinal slices along the model ship’s axis were selected for this study, dividing the model ship into 20 segments along the x-axis. Under still-water conditions, the attractive forces at Vm = 0.356 m/s and 0.653 m/s are primarily concentrated in the mid-ship (x/LPP = −0.2 to 0.4), while the repulsive forces are concentrated at the bow and stern (x/LPP = 0.4 to 0.5 and −0.5 to −0.2). Overall, the ship experiences a greater attractive force, with the attractive force in the mid-ship significantly increasing as the ship speed rises. The repulsive force concentrated near the bow contributes substantially to the yaw moment, as the yaw moments generated in the mid-ship (x/LPP = −0.2 to 0.2) tend to cancel each other out, whereas the repulsive force is greater at the bow compared to the stern. The attractive force at β = −45° is primarily concentrated at x/LPP = −0.2 to 0.5, and the attractive force increases significantly with increasing ship speed. The repulsive force only occurs from x/LPP = −0.5 to −0.2. Consequently, for β = −45°, the ship experiences increasing attractive forces compared to still-water conditions. Therefore, the increased attractive forces result in a bow-in moment that tends to bring the bow closer to the bank. Moreover, as the ship speed increases, both the attractive forces and the bow-in moment increase significantly. At β = 45°, the bow experiences a significant increase in repulsive force, whereas the forces near the stern exhibit minor variations. Consequently, the sway force at β = 45° acts as a repulsive force and the yaw moment acts as a bow-out moment that tends to move the bow away from the bank. Moreover, as the ship speed increases, both the repulsive force and the bow-out moment increase notably.
Furthermore, to gain a deeper understanding of the hydrodynamic characteristics of the hull at different ship speeds, the streamlines and pressure distributions along both sides of the hull for Vm = 0.356 m/s and Vm = 0.653 m/s are depicted in Figure 8. The result indicates that under still-water conditions, the pressure on the starboard side of the hull decreases more significantly due to the blocking effect of the bank on the water flow, which explains why the sway force acts as an attractive force. The pressure difference between the port and starboard sides of the hull increases with increasing ship speed, which leads to an increase in both the attractive force and the bow-out moment on the hull. At β = −45°, under the combined effect of an oblique current and a submerged bank, the freestream rapidly passes over the starboard shoulder, which leads to a significant decrease in pressure on the starboard shoulder, and the decreasing trend becomes more obvious as the ship speed increases. Additionally, the pressure difference between the port and starboard sides of the hull increases significantly as the ship speed increases. Consequently, the attractive force and bow-in moment increase as the ship speed increases. Conversely, at β = 45°, the bank effect is counteracted by the oblique current. Under the effect of oblique current, the freestream rapidly passes over the port shoulder, which leads to a significant decrease in pressure on the port shoulder. As the ship speed increases, the pressure difference on both sides of the hull increases significantly. Therefore, the repulsive force and bow-out moment increase as the ship speed increases.
Finally, wave behavior under the effect of oblique current and bank is analyzed. As shown in Figure 9 and Figure 10, wave contours and wave profiles along the straight lines y/B = +0.65 (port side) and y/B = −0.65 (starboard side) are shown, depicting the variation in wave height at different ship speeds. The origin of the wave profile curves is aligned perpendicular to the stern. As shown in Figure 9, when Vm = 0.356 m/s, ship-generated waves are not observed under any conditions. At Vm = 0.653 m/s, significant ship-generated waves appear on both sides of the ship under still-water conditions. Under conditions of β = −45° and 45°, ship-generated waves extend further aft compared to still-water conditions, with a greater extension observed at β = −45°. The energy of ship-generated waves originates from the ship, and more significant ship-generated waves lead to higher energy consumption by the ship. Therefore, more pronounced ship-generated waves lead to an increased surge force. Consequently, the surge force increases with increasing ship speed, and the surge force for β = −45° is greater than that for β = 45°.
As shown in Figure 10, in still-water conditions, when a ship navigates near the bank, the flow velocity on both sides of the hull increases, resulting in a reduction in pressure and consequently a decrease in wave height on either side of the hull. The flow field on the starboard side of the hull is compressed, resulting in a lower pressure on the starboard side compared to the port side. This results in a lower wave height on the starboard side compared to the port side. As the ship’s speed increases, the flow field becomes increasingly compressed, leading to a significant reduction in pressure on both sides of the hull and a decrease in wave height on both sides. For β = −45°, under the combined effect of oblique current and bank, the pressure on the starboard shoulder decreases, leading to a significant reduction in wave height on the starboard shoulder. As the ship speed increases, the wave height reduction on both sides of the hull becomes more pronounced. Conversely, for β = 45°, the oblique current induces a pressure decrease on the port shoulder, leading to a reduction in wave height on the port shoulder. In each current direction, as the ship speed increases, the wave height reduction on both sides of the hull becomes more significant. This study demonstrates that the wave pattern changes notably with varying current directions, thus significantly affecting the ship’s hydrodynamic characteristics.

3.3. Effects of Current Speed

In this sub-section, the hydrodynamic characteristics of a ship under varying current speeds were analyzed, taking into account oblique current directions of β = −45°, 45°, and still-water conditions. All the conditions in this sub-section were simulated in the tank with submerged banks. The simulations were conducted at the ship speed Vm of 0.356 m/s and the H/T of 1.2. The current speed was divided into three stages: V0 = 0.042 m/s, 0.084 m/s, and 0.126 m/s (corresponding to actual current speeds of 1 knot, 2 knots, and 3 knots). The ship’s hydrodynamic coefficients are shown in Figure 11.
The results indicate that the surge force, sway force, yaw moment, sinkage, and trim at β = −45° and 45° increase with increasing current speed. Additionally, the surge force at β = −45° increases markedly with increasing current speed, while the surge force at β = 45° shows relatively little variation with changes in current speed. The sway force at β = −45° is an attractive force consistent with the still-water condition, while the sway force is a repulsive force at β = 45°. The yaw moment at β = −45° acts as a bow-in motion, while the yaw moment at β = 45° acts as a bow-out motion consistent with the still-water condition. The trim acts as a trim by bow in all conditions. As shown in Figure 12, the time history of rolling after convergence is depicted for varying current speeds under different oblique current conditions. The results illustrate that the rolling amplitude at each current speed is significant, potentially due to simulations conducted at a lower ship speed of Vm = 0.356 m/s. As concluded in the previous sub-section, the rolling amplitudes are larger at lower ship speeds. As shown in Figure 11f, with increasing current speed, the ship’s rolling equilibrium position becomes increasingly tilted. At β = −45°, the port side is pushed further into the water. Conversely, at β = 45°, the starboard side is pushed further into the water.
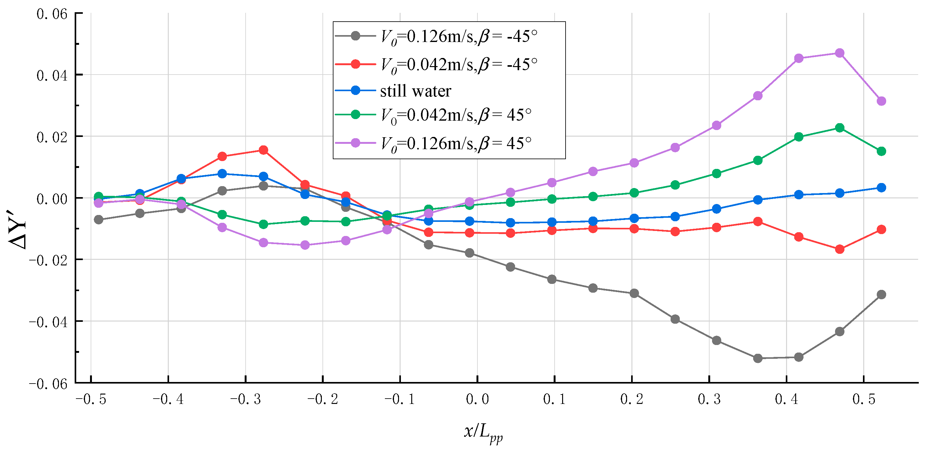
Figure 13 shows the non-dimensional sway force distribution along the hull for varying current speeds and still-water conditions. The attractive force at β = −45° concentrated at x/LPP = −0.2 to 0.5, and it increases significantly as current speed increases, while the sway force in x/LPP = −0.5 to −0.2 shows minimal variation. Consequently, both the attractive force and the bow-in moment increase with increasing current speed. The repulsive force at β = 45° concentrated at x/LPP = 0 to 0.5, and it increases significantly as current speed increases, while the sway force at the stern shows minimal variation. Therefore, both the repulsive force and the bow-out moment increase with increasing current speed.
Figure 14 indicates the streamlines and pressure distributions on the port and starboard of the hull at V0 = 0.042 m/s and 0.126 m/s. The result shows that as the current speed increases, significant changes occur in the flow field near the ship. Specifically, at β = −45°, as the current speed increases, the freestream passes more rapidly over the starboard shoulder, leading to a significant decrease in pressure on the starboard shoulder. Consequently, with increasing current speed, both the attractive force and the bow-in moment increase. Similarly, at β = 45°, with increasing current speed, the freestream moves more rapidly over the port shoulder, causing a significant decrease in pressure on the port shoulder. As a result, both the repulsive force and the bow-out moment increase with increasing current speed.
Figure 15 and Figure 16 show wave contours and the profiles of the free surface waves at y/B = +0.65 and −0.65. In addition, these figures depict the variation in wave height at different current speeds. According to Figure 15, it can be seen that ship-generated waves are only observed on the starboard side under the condition where β = −45° and V0 = 0.126 m/s. Under all other conditions, ship-generated waves are not observed. Consequently, the surge force increases significantly with increasing current speed at β = −45°, whereas the surge force at β = 45°shows little change with increasing current speed.
According to a mechanism that is similar to that described in Section 3.2, as shown in Figure 16, for β = −45°, the wave height on the starboard shoulder is lower than the port shoulder, and the wave height on both sides decreases notably with increasing current speed. Similarly, for β = 45°, the wave height on the port shoulder is lower than on the starboard side, and the wave height on both sides decreases notably with increasing current speed.

3.4. Effects of Water Depth

In this sub-section, a typical condition Vm = 0.534 m/s and V0 = 0.084 m/s was used to analyze the effects of water depth on the hydrodynamic characteristics of the ship. All the conditions in this sub-section were simulated in the tank with submerged banks.
Figure 17 shows the effects of varying H/T on the hydrodynamic coefficients of the ship. The results suggest that under still-water conditions, the surge force X’ increases with decreasing H/T from 1.5 to 1.2. The sway force Y’ is an attractive force. The yaw moment N’ is an outward motion of the bow. And the H/T has little influence on Y’ and N’. The sinkage and trim increase with decreasing H/T. For an oblique current at β = −45° and 45°, the surge force, sway force, yaw moment, sinkage, and trim at all water depths are larger than those of still water and increase with decreasing H/T. Additionally, for β = −45°, the direction of the sway force is consistent with that of still water’s sway force, while the sway force at β = 45° is a repulsive force. The yaw moment at β = −45° is a bow-in motion, while the yaw moment at β = 45° is a bow-out motion, and the trim acts as a trim by bow in all conditions. Figure 18 illustrates the time history of rolling after convergence, for varying H/T under different oblique current directions. The results illustrate that for β = −45° and 45°, the equilibrium position and amplitude of rolling vary irregularly with H/T. This may be attributed to the fact that the larger H/T is, the larger the wetted area of the hull affected by the oblique current is, and the lesser the influence of bank effect is, which leads to the nonlinear change in the rolling amplitude with H/T.
Figure 19 illustrates the non-dimensional sway force distribution along the hull for H/T = 1.5 and 1.2. For still-water conditions, the attractive force at H/T = 1.2 and 1.5 is mainly concentrated in the mid-ship (x/LPP = −0.3 to 0.4), and it increases with decreasing H/T. Repulsive force is mainly concentrated at the bow (x/LPP = 0.4 to 0.5) and stern (x/LPP = −0.5 to −0.3). Overall, the resultant force appears as an attractive force and increases with decreasing H/T. The repulsive force near the bow has a great influence on the yaw moment, and the yaw moment increases with decreasing H/T. The attractive force at β = −45° is primarily concentrated at x/LPP = −0.5 to −0.4 and −0.2 to 0.5, and the attractive force increases significantly with decreasing H/T. The repulsive force only occurs from x/LPP = −0.4 to −0.2 and does not vary significantly with H/T. Therefore, for β = −45°, the attractive force on the hull increases compared to the still-water condition. Under the influence of these attractive forces, the yaw moment causes the bow to move inward, and both the sway force and the yaw moment increase significantly with decreasing H/T. The repulsive force at β = 45° is concentrated at x/LPP = 0.1 to 0.5, and the repulsive force increases significantly with decreasing H/T. The attractive force is concentrated at x/LPP = −0.4 to 0.1 and is only slightly affected by water depth. In general, when β = 45°, the repulsive force on the hull is larger, the sway force acting on the hull is manifested as repulsive force, and the yaw moment is manifested as the outward movement of the bow. Both the repulsive force and the yaw moment increase significantly with the decreasing H/T.
Figure 20 indicates the streamlines and pressure distributions on the port and starboard of the hull when H/T = 1.5 and 1.2. The findings show that for still-water conditions, the pressure on the starboard side of the hull decreases more significantly due to the blocking effect of the bank on the water flow. As the water depth decreases, the pressure difference between the port and starboard sides of the hull increases, which leads to an increase in both the attractive force and the bow-out moment on the hull. When β = −45°, the freestream rapidly passes over the starboard shoulder, which leads to a significant decrease in pressure on the starboard shoulder. In addition, the pressure difference between the port and starboard sides of the hull increases significantly as the water depth decreases. Consequently, the attractive force and bow-in moment increase as the water depth decreases. Similarly, at β = 45°, the freestream rapidly passes over the port shoulder, which leads to a significant decrease in pressure on the port side. As the H/T decreases, the pressure difference on both sides of the hull increases significantly. Therefore, the repulsive force and bow-out moment increase as water depth decreases.
Figure 21 and Figure 22 show the wave contours and the profiles of the free surface waves at y/B = +0.65 and y/B = −0.65 and depict the variations in wave height at varying H/T. When H/T = 1.5, ship-generated waves are observed on the starboard side at β = −45°, and ship-generated waves on both sides of the ship gradually disappear at β = 45°. However, as the water depth decreases, ship-generated waves become more obvious. In addition, when H/T = 1.2, the tendency of ship-generated waves on the starboard side of the ship to extend backward weakens as the current direction changes from β = −45°to β = 45°. Furthermore, the tendency of ship-generated waves on the port side of the ship to extend slightly backward is strengthened as the current direction changes from β = −45° to β = 45°. The energy of ship-generated waves originates from the ship. In other words, more significant ship-generated waves result in greater energy consumption by the ship. Consequently, the surge force increases with decreasing water depth, and the surge force for β = −45° is greater than that for β = 45°.
According to the similar mechanism as described in Section 3.2. As shown in Figure 22, for β = −45°, the wave height on the starboard shoulder is lower than that on the port shoulder. As the H/T decreases, the wave height on both sides decreases significantly. Similarly, for β = 45°, the wave height on the port shoulder is lower than on the starboard side, and the wave height on both sides decreases notably with decreasing H/T.

4. Conclusions

This study uses CFD methods to investigate the hydrodynamic characteristics of the KVLCC2 under various conditions, emphasizing the combined effect of currents and submerged banks.
In order to guarantee the reliability of the numerical simulations in this study, a convergence analysis of the grid was conducted to estimate the numerical uncertainty on hydrodynamic forces and moments. The results indicate that the grid discretization error is within acceptable limits. Additionally, the present results were compared with experimental data and CFD results from other studies. The numerical simulations show a trend consistent with the experimental data and generally demonstrate a better agreement than the CFD results conducted by Lee [14] and Hoydonck [11].
The main research findings are summarized as follows:
When comparing the effects of a submerged bank with those of a non-submerged bank under still-water conditions, it is found that the submerged bank not only induces sway forces and yaw moments on the ship but also increases surge force, sinkage, trim, and rolling.
Under oblique current conditions, the surge force is greater compared to that under still-water conditions. Furthermore, the surge force is greater when β = −45° compared to when β = 45°. This is because the presence of oblique currents makes ship-generated waves more pronounced, which consumes more energy from the ship, and the ship-generated waves are more significant when β = −45° compared to when β = 45°. Additionally, the surge force at β = −45° significantly increases with increasing ship speed, current speed, and decreasing water depth, while the surge force at β = 45° increases with ship speed and decreasing water depth and changes little with current speed. Furthermore, at β = −45°, the attractive force near the fore increases significantly, while the repulsive force near the stern is relatively lower. Therefore, the sway force at β = −45° acts as an attractive force consistent with that in still-water conditions, while the yaw moment shifts from a bow-out motion in still-water conditions to a bow-in motion. Conversely, at β = 45°, the repulsive force near the fore increases notably, while the attractive force near the stern is relatively lower. Therefore, the sway force shifts from an attractive force in still-water conditions to a repulsive force, and the yaw moment acts as a bow-out motion consistent with that in still-water conditions. Under the influence of the oblique current, the sway force and yaw moment increase with increasing ship speed, current speed, and decreasing water depth, surpassing those observed under still-water conditions. In other words, the combined effect of currents and the submerged bank leads to a notable increase in the attractive force, making the ship highly susceptible to deviations from the course. Moreover, the sinkage and the trim also gradually increase with increasing ship speed, current speed, and decreasing water depth. The rolling equilibrium position progressively moves away from 0° with increasing ship speed and current speed, making the ship’s bottom more susceptible to contact with the seabed.
In conclusion, when a ship navigates close to a bank in a channel with oblique currents, its hydrodynamic characteristics differ from those in still water. Particularly under conditions of high ship speed, elevated current speed, and extremely shallow water, a ship’s hydrodynamic forces and squat increase significantly, and the risks of grounding and bank collision are significantly heightened. Therefore, it is crucial to control a ship’s speed and make effective decisions in advance to avoid maritime accidents when a ship is navigating in an oblique current.
This study investigates the impact of oblique currents on the hydrodynamic characteristics of ships in confined waterways, which is often overlooked in existing research. The conclusions drawn in this study highlight the importance of taking oblique currents into consideration in both maritime practices and research on ship hydrodynamics. However, the numerical simulations in this study considered only two oblique current directions, and the ship model employed did not include the propeller. Future research efforts could broaden this scope by exploring additional incoming current directions, investigating the influence of oblique currents on propeller performance, and conducting tank experiments.

Author Contributions

Conceptualization, Y.H., D.H. and J.Z; methodology, Y.H. and D.H.; validation, Y.H. and J.Z.; formal analysis, Y.H.; writing—original draft preparation, Y.H. and D.H.; writing—review and editing, Y.H. and D.H.; supervision, D.H., M.X. and G.W.; funding acquisition, J.Z. All authors have read and agreed to the published version of the manuscript.

Funding

This research was funded by National Natural Science Foundation of China, grant number 52178067.

Institutional Review Board Statement

Not applicable.

Informed Consent Statement

Not applicable.

Data Availability Statement

Data are contained within the article.

Conflicts of Interest

The authors declare no conflicts of interest.

References

  1. Weather & Tide. Available online: https://www.portofrotterdam.com (accessed on 1 July 2024).
  2. Oceanographic. Belgian Marine Data Centre|Royal Belgian Institute of Natural Sciences. Available online: https://bmdc.be (accessed on 1 July 2024).
  3. Live Information. Live Feeds for Vessels, Weather, Webcams and Tides. Available online: https://www.mhpa.co.uk (accessed on 1 July 2024).
  4. Western Shenzhen Port Area. Available online: https://www.chinaports.com (accessed on 1 July 2024).
  5. Norrbin, N.H. Bank effects on a ship moving through a short dredged channel. In Proceedings of the 10th Symposium on Naval Hydrodynamics, Cambridge, MA, USA, 24–28 June 1974; pp. 71–88. [Google Scholar]
  6. Li, D.Q.; Ottoson, P.; Tragardh, P. Prediction of bank effects by model tests and mathematical models. In Proceedings of the International Conference on Marine Simulation and Ship Maneuverability (MARSIM 2003), Kanazawa, Japan, 25–28 August 2003; pp. 803–814. [Google Scholar]
  7. Vantorre, M.; Delefortrie, G.; Eloot, K.; Laforce, E. Experimental investigation of Ship-Bank interaction forces. In Proceedings of the International Conference on Marine Simulation and Ship Maneuverability (MARSIM 2003), Kanazawa, Japan, 25–28 August 2003; pp. 815–823. [Google Scholar]
  8. Yasukawa, H. Maneuvering hydrodynamic derivatives and course stability of a ship close to a bank. Ocean Eng. 2019, 188, 106149. [Google Scholar] [CrossRef]
  9. Lataire, E.; Vantorre, M.; Delefortrie, G. The influence of the ship’s speed and distance to an arbitrarily shaped bank on bank effects. J. Offshore Mech. Arct. Eng. 2018, 140, 021304. [Google Scholar] [CrossRef]
  10. Zeraatgar, H.; Vakilabadi, K.A.; Yousefnejad, R. Parametric analysis of ship squat in shallow water by model test. Brodogradnja 2011, 62, 37–43. [Google Scholar]
  11. Van Hoydonck, W.; Toxopeus, S.; Eloot, K.; Bhawsinka, K.; Queutey, P.; Visonneau, M. Bank Effects for KVLCC2. J. Mar. Sci. Technol. 2019, 24, 174–199. [Google Scholar] [CrossRef]
  12. Ismail, M.A.; Shaharuddin, N.M.R.; Yaakob, O.; Jamal, M.H.; Adnan, F.A.; Rashidi, A.H.M.; Azhary, W.A.H.W.M.; Samion, M.K.H.; Bachok, A.; Ahmad, B.; et al. Wake wash of a fast small boat in restricted waters: Model tests and full-scale measurements. Brodogradnja 2022, 73, 93–119. [Google Scholar] [CrossRef]
  13. Miao, Q.; Xia, J.; Chwang, A.; Duffy, J. Numerical study of bank effects on a ship travelling in a channel. In Proceedings of the 8th International Conference on Numerical Ship Hydrodynamics, Busan, Republic of Korea, 22–25 September 2003. [Google Scholar]
  14. Lee, C.-K.; Lee, S.-G. Investigation of ship maneuvering with hydrodynamic effects between ship and bank. J. Mar. Sci. Technol. 2008, 22, 1230–1236. [Google Scholar] [CrossRef]
  15. Huang, J.; Xu, C.; Xin, P.; Zhou, X.; Sutulo, S.; Guedes Soares, C. A fast algorithm for the prediction of ship-bank interaction in shallow water. J. Mar. Sci. Eng. 2020, 8, 927. [Google Scholar] [CrossRef]
  16. Degrieck, A.; Uyttersprot, B.; Sutulo, S.; Guedes Soares, C.; Van Hoydonck, W.; Vantorre, M.; Lataire, E. Hydrodynamic Ship–Ship and Ship–Bank Interaction: A Comparative Numerical Study. Ocean Eng. 2021, 230, 108970. [Google Scholar] [CrossRef]
  17. Zou, L.; Larsson, L. Computational Fluid Dynamics (CFD) Prediction of Bank Effects Including Verification and Validation. J. Mar. Sci. Technol. 2013, 18, 310–323. [Google Scholar] [CrossRef]
  18. Lee, S. Hydrodynamic Interaction Forces on Different Ship Types under Various Operating Conditions in Restricted Waters. Ocean Eng. 2023, 267, 113325. [Google Scholar] [CrossRef]
  19. Liu, H.; Ma, N.; Gu, X. CFD Prediction of Ship-Bank Interaction for KCS under Extreme Conditions. J. Mar. Sci. Technol. 2021, 26, 1062–1077. [Google Scholar] [CrossRef]
  20. Hong, C.; Lee, S. A Study on Barge-Bank Interaction Forces Considering the Reflected Waves. J. Mar. Sci. Eng. 2020, 8, 451. [Google Scholar] [CrossRef]
  21. Campbell, R.; Terziev, M.; Tezdogan, T.; Incecik, A. Computational Fluid Dynamics Predictions of Draught and Trim Variations on Ship Resistance in Confined Waters. Appl. Ocean Res. 2022, 126, 103301. [Google Scholar] [CrossRef]
  22. Hadi, E.S.; Tuswan, T.; Azizah, G.; Ali, B.; Samuel, S.; Hakim, M.L.; Hadi, M.R.C.P.; Iqbal, M.; Sari, D.P.; Satrio, D. Influence of the Canal Width and Depth on the Resistance of 750 DWT Perintis Ship Using CFD Simulation. Brodogradnja 2023, 74, 117–144. [Google Scholar] [CrossRef]
  23. Samuel, S.; Simanjuntak, F.; Anik, P.M.; Hadi, E.S.; Iqbal, M.; Kurniawan, W.A.; Widhi, N.K.V.S.D.D.; Chaniago, M.A. Analyzing the Influence of Water Depth on Total Resistance in Ulstein X-Bow Configuration: A Numerical Study. E3S Web Conf. 2023, 465, 01020. [Google Scholar] [CrossRef]
  24. Martić, I.; Degiuli, N.; Borčić, K.; Grlj, C.G. Numerical Assessment of the Resistance of a Solar Catamaran in Shallow Water. J. Mar. Sci. Eng. 2023, 11, 1706. [Google Scholar] [CrossRef]
  25. Martić, I.; Anušić, B.; Degiuli, N.; Grlj, C.G. Numerically Investigating the Effect of Trim on the Resistance of a Container Ship in Confined and Shallow Water. Appl. Sci. 2024, 14, 6570. [Google Scholar] [CrossRef]
  26. Shi, W.; Li, M.; Yuan, Z. Investigation of the Ship–Seabed Interaction with a High-Fidelity CFD Approach. J. Mar. Sci. Technol. 2021, 26, 931–946. [Google Scholar] [CrossRef]
  27. Toxopeus, S.L.; Simonsen, C.D.; Guilmineau, E.; Visonneau, M.; Xing, T.; Stern, F. Investigation of water depth and basin wall effects on KVLCC2 in manoeuvring motion using Viscous-Flow calculations. J. Mar. Sci. Technol. 2013, 18, 471–496. [Google Scholar] [CrossRef]
  28. Tang, X.; Tong, S.; Huang, G.; Xu, G. Numerical Investigation of the Maneuverability of Ships Advancing in the Non-Uniform Flow and Shallow Water Areas. Ocean Eng. 2020, 195, 106679. [Google Scholar] [CrossRef]
  29. Terziev, M.; Tezdogan, T.; Demirel, Y.K.; De Marco Muscat-Fenech, C.; Incecik, A. Numerical Investigation of Depth-Varying Currents on Ship Hydrodynamics in Confined Water. Int. J. Nav. Archit. Ocean Eng. 2022, 14, 100461. [Google Scholar] [CrossRef]
  30. Siemens PLM Software. User Guide; Simcenter Star-CCM+ Version 18.02.010; Siemens PLM Software: Plano, TX, USA, 2022. [Google Scholar]
  31. Ferziger, J.H.; Peric, M. Computational Methods for Fluid Dynamics, 3rd ed.; Springer: Berlin, Germany, 2002. [Google Scholar]
  32. Quérard, A.; Temarel, P.; Turnock, S.T. Influence of viscous effects on the hydrodynamics of ship-like sections undergoing symmetric and anti-symmetric motions, using RANS. In Proceedings of the ASME 27th International Conference on Offshore Mechanics and Arctic Engineering (OMAE), Estoril, Portugal, 15–20 June 2008; pp. 1–10. [Google Scholar]
  33. Bechthold, J.; Kastens, M. Robustness and quality of squat predictions in extreme shallow water conditions based on RANS-calculations. Ocean Eng. 2020, 197, 106780. [Google Scholar] [CrossRef]
  34. Celik, I.B.; Ghia, U.; Roache, P.J.; Freitas, C.J.; Coleman, H.; Raad, P.E. Procedure for estimation and reporting of uncertainty due to discretization in CFD applications. J. Fluids Eng. 2008, 130, 078001. [Google Scholar]
  35. Tezdogan, T.; Incecik, A.; Turan, O. A numerical investigation of the squat and resistance of ships advancing through a canal using CFD. J. Mar. Sci. Technol. 2016, 21, 86–101. [Google Scholar] [CrossRef]
Figure 1. Computational domain and coordinate system.
Figure 1. Computational domain and coordinate system.
Jmse 12 01592 g001
Figure 2. Coordinate system.
Figure 2. Coordinate system.
Jmse 12 01592 g002
Figure 3. The medium grids.
Figure 3. The medium grids.
Jmse 12 01592 g003
Figure 4. Validation for the KVLCC2 with experimental data; (a) surge force X’, (b) sway force Y’, (c) roll moment K’, and (d) yaw moment N’.
Figure 4. Validation for the KVLCC2 with experimental data; (a) surge force X’, (b) sway force Y’, (c) roll moment K’, and (d) yaw moment N’.
Jmse 12 01592 g004
Figure 5. The influence of different ship speeds on the hydrodynamic coefficients of ship at H/T = 1.2 and V0 = 0.084 m/s; (a) surge force X’, (b) sway force Y’, (c) yaw moment N’, (d) sinkage, (e) trim, and (f) equilibrium position of rolling.
Figure 5. The influence of different ship speeds on the hydrodynamic coefficients of ship at H/T = 1.2 and V0 = 0.084 m/s; (a) surge force X’, (b) sway force Y’, (c) yaw moment N’, (d) sinkage, (e) trim, and (f) equilibrium position of rolling.
Jmse 12 01592 g005
Figure 6. The time history of rolling for varying ship speeds at different oblique currents; (a) β = −45°, and (b) β = 45°.
Figure 6. The time history of rolling for varying ship speeds at different oblique currents; (a) β = −45°, and (b) β = 45°.
Jmse 12 01592 g006
Figure 7. The non-dimensional sway force distribution on the hull at Vm = 0.356 m/s and Vm = 0.653 m/s.
Figure 7. The non-dimensional sway force distribution on the hull at Vm = 0.356 m/s and Vm = 0.653 m/s.
Jmse 12 01592 g007
Figure 8. The streamline patterns and pressure distributions on the port (first column) and starboard (second column) of the hull for Vm = 0.356 m/s and Vm = 0.653 m/s.
Figure 8. The streamline patterns and pressure distributions on the port (first column) and starboard (second column) of the hull for Vm = 0.356 m/s and Vm = 0.653 m/s.
Jmse 12 01592 g008
Figure 9. Wave contours at different oblique currents; (first row) Vm = 0.356 m/s, and (second row) Vm = 0.653 m/s.
Figure 9. Wave contours at different oblique currents; (first row) Vm = 0.356 m/s, and (second row) Vm = 0.653 m/s.
Jmse 12 01592 g009
Figure 10. Wave profiles at y/B = +0.65 and −0.65 for different oblique currents; (first row) Vm = 0.356 m/s, and (second row) Vm = 0.653 m/s.
Figure 10. Wave profiles at y/B = +0.65 and −0.65 for different oblique currents; (first row) Vm = 0.356 m/s, and (second row) Vm = 0.653 m/s.
Jmse 12 01592 g010
Figure 11. The influence of different current speeds on the hydrodynamic coefficients of the ship at H/T = 1.2 and Vm = 0.356 m/s; (a) surge force X’, (b) sway force Y’, (c) yaw moment N’, (d) sinkage, (e) trim, and (f) equilibrium position of rolling.
Figure 11. The influence of different current speeds on the hydrodynamic coefficients of the ship at H/T = 1.2 and Vm = 0.356 m/s; (a) surge force X’, (b) sway force Y’, (c) yaw moment N’, (d) sinkage, (e) trim, and (f) equilibrium position of rolling.
Jmse 12 01592 g011
Figure 12. The time history of rolling for varying current speeds at different oblique currents; (a) β = −45°, and (b) β = 45°.
Figure 12. The time history of rolling for varying current speeds at different oblique currents; (a) β = −45°, and (b) β = 45°.
Jmse 12 01592 g012aJmse 12 01592 g012b
Figure 13. The non-dimensional sway force distribution on the hull at V0 = 0.042 m/s and 0.126 m/s.
Figure 13. The non-dimensional sway force distribution on the hull at V0 = 0.042 m/s and 0.126 m/s.
Jmse 12 01592 g013
Figure 14. The streamline patterns and pressure distributions on the port (first column) and starboard (second column) of the hull for V0 = 0.042 m/s and V0 = 0.126 m/s.
Figure 14. The streamline patterns and pressure distributions on the port (first column) and starboard (second column) of the hull for V0 = 0.042 m/s and V0 = 0.126 m/s.
Jmse 12 01592 g014
Figure 15. Wave contours at different oblique currents; (first row) V0 = 0.042 m/s, and (second row) V0 = 0.126 m/s.
Figure 15. Wave contours at different oblique currents; (first row) V0 = 0.042 m/s, and (second row) V0 = 0.126 m/s.
Jmse 12 01592 g015
Figure 16. Wave profiles at y/B = +0.65 and −0.65 for different oblique currents; (first row) V0 = 0.042 m/s, and (second row) V0 = 0.126 m/s.
Figure 16. Wave profiles at y/B = +0.65 and −0.65 for different oblique currents; (first row) V0 = 0.042 m/s, and (second row) V0 = 0.126 m/s.
Jmse 12 01592 g016
Figure 17. The influence of varying H/T on the hydrodynamic coefficients of the ship at Vm = 0.534 m/s and V0 = 0.084 m/s; (a) surge force X’, (b) sway force Y’, (c) yaw moment N’, (d) sinkage, (e) trim, and (f) equilibrium position of rolling.
Figure 17. The influence of varying H/T on the hydrodynamic coefficients of the ship at Vm = 0.534 m/s and V0 = 0.084 m/s; (a) surge force X’, (b) sway force Y’, (c) yaw moment N’, (d) sinkage, (e) trim, and (f) equilibrium position of rolling.
Jmse 12 01592 g017
Figure 18. The time history of rolling for varying H/T at different oblique currents; (a) β = −45°, and (b) β = 45°.
Figure 18. The time history of rolling for varying H/T at different oblique currents; (a) β = −45°, and (b) β = 45°.
Jmse 12 01592 g018
Figure 19. The non-dimensional sway force distribution on the hull at H/T = 1.5 and 1.2.
Figure 19. The non-dimensional sway force distribution on the hull at H/T = 1.5 and 1.2.
Jmse 12 01592 g019
Figure 20. The streamlines and pressure distributions on the port (first column) and starboard (second column) of the hull when H/T = 1.5 and 1.2.
Figure 20. The streamlines and pressure distributions on the port (first column) and starboard (second column) of the hull when H/T = 1.5 and 1.2.
Jmse 12 01592 g020
Figure 21. Wave contours at different oblique currents; (first row) H/T = 1.5, and (second row) H/T = 1.2.
Figure 21. Wave contours at different oblique currents; (first row) H/T = 1.5, and (second row) H/T = 1.2.
Jmse 12 01592 g021
Figure 22. Wave profiles at y/B = +0.65 and −0.65 for different oblique currents; (first row) H/T = 1.5, and (second row) H/T = 1.2.
Figure 22. Wave profiles at y/B = +0.65 and −0.65 for different oblique currents; (first row) H/T = 1.5, and (second row) H/T = 1.2.
Jmse 12 01592 g022
Table 1. Main features of the KVLCC2.
Table 1. Main features of the KVLCC2.
ParameterUnitShipModel Scale (1:75)
Length (LPP)m320.04.2667
Breadth (B)m58.00.7733
Draft Amidships (Tm)m20.80.2776
Block coefficient-0.80980.8098
Table 2. Cell numbers for each grid configuration.
Table 2. Cell numbers for each grid configuration.
GridTotal Number of Cells
Coarse1,534,357
Medium3,334,743
Fine6,841,580
Table 3. Grid convergence study for the KVLCC2 at lateral position = −2.1825 m, H/T = 1.35, and Vm = 0.356 m/s.
Table 3. Grid convergence study for the KVLCC2 at lateral position = −2.1825 m, H/T = 1.35, and Vm = 0.356 m/s.
X [N]Y [N]K [Nm]N [Nm]
φ 1 (Fine)−3.722155.487630.56038−0.70975
φ 2 (Medium)−3.751125.719880.58151−0.81663
φ 3 (Fine)−3.850126.104260.71645−1.24359
R G 0.29260.60420.15660.2509
p 3.54601.45385.34993.9895
φ e x t 32 −3.710175.133110.55646−0.67362
e a 32 2.64%6.73%23.21%52.28%
G C I m e d 32 1.36%12.84%5.39%29.21%
Table 4. Time-step convergence study for the KVLCC2 at lateral position = −2.1825 m, H/T = 1.35, and Vm = 0.356 m/s.
Table 4. Time-step convergence study for the KVLCC2 at lateral position = −2.1825 m, H/T = 1.35, and Vm = 0.356 m/s.
X [N]Y [N]K [Nm]N [Nm]
φ 1 (0.01 s)−3.736625.693490.58981−0.83379
φ 2 (0.015 s)−3.751125.719880.58151−0.81663
φ 3 (0.021 s)−3.823465.803260.56059−0.76981
R G 0.20040.31650.39670.3665
p 4.63813.31942.66782.8962
φ e x t 32 −3.732995.681270.59527−0.84372
e a 32 1.93%1.46%3.60%5.73%
T C I m e d 32 0.60%0.85%2.96%4.14%
Disclaimer/Publisher’s Note: The statements, opinions and data contained in all publications are solely those of the individual author(s) and contributor(s) and not of MDPI and/or the editor(s). MDPI and/or the editor(s) disclaim responsibility for any injury to people or property resulting from any ideas, methods, instructions or products referred to in the content.

Share and Cite

MDPI and ACS Style

Huang, Y.; Hui, D.; Xia, M.; Wang, G.; Zhu, J. Numerical Investigation of Oblique Currents’ Effects on the Hydrodynamic Characteristics of Ships in Restricted Waters. J. Mar. Sci. Eng. 2024, 12, 1592. https://doi.org/10.3390/jmse12091592

AMA Style

Huang Y, Hui D, Xia M, Wang G, Zhu J. Numerical Investigation of Oblique Currents’ Effects on the Hydrodynamic Characteristics of Ships in Restricted Waters. Journal of Marine Science and Engineering. 2024; 12(9):1592. https://doi.org/10.3390/jmse12091592

Chicago/Turabian Style

Huang, Yilin, Da Hui, Mingyu Xia, Guangyao Wang, and Jinshan Zhu. 2024. "Numerical Investigation of Oblique Currents’ Effects on the Hydrodynamic Characteristics of Ships in Restricted Waters" Journal of Marine Science and Engineering 12, no. 9: 1592. https://doi.org/10.3390/jmse12091592

APA Style

Huang, Y., Hui, D., Xia, M., Wang, G., & Zhu, J. (2024). Numerical Investigation of Oblique Currents’ Effects on the Hydrodynamic Characteristics of Ships in Restricted Waters. Journal of Marine Science and Engineering, 12(9), 1592. https://doi.org/10.3390/jmse12091592

Note that from the first issue of 2016, this journal uses article numbers instead of page numbers. See further details here.

Article Metrics

Back to TopTop