Next Article in Journal
A Method for Recognition and Coordinate Reference of Autonomous Underwater Vehicles to Inspected Objects of Industrial Subsea Structures Using Stereo Images
Previous Article in Journal
Arctic Wind, Sea Ice, and the Corresponding Characteristic Relationship
 
 
Font Type:
Arial Georgia Verdana
Font Size:
Aa Aa Aa
Line Spacing:
Column Width:
Background:
Article

Numerical Investigation on Dynamic Response of Carbon Fiber Honeycomb Sandwich Panels Subject to Underwater Impact Load

1
Green & Smart River-Sea-Going Ship, Cruise and Yacht Research Center, Wuhan University of Technology, Wuhan 430063, China
2
School of Naval Architecture, Ocean and Energy Power Engineering, Wuhan University of Technology, Wuhan 430063, China
*
Author to whom correspondence should be addressed.
J. Mar. Sci. Eng. 2024, 12(9), 1513; https://doi.org/10.3390/jmse12091513
Submission received: 4 August 2024 / Revised: 26 August 2024 / Accepted: 29 August 2024 / Published: 2 September 2024

Abstract

This study investigates the dynamic response and failure mechanisms of carbon fiber honeycomb sandwich structures under underwater impact loads using finite element numerical simulation. The geometric modeling was performed using HyperMesh, and the dynamic response simulations were carried out in ABAQUS, focusing on honeycomb core configurations with varying edge lengths, heights, and gradient forms. The Hashin damage model was employed to describe the damage evolution of the composite materials. The simulation results revealed that the dynamic response was significantly influenced by the initial shock wave pressure and the geometrical parameters of the honeycomb cells. Larger cell-edge lengths and heights generally resulted in improved energy absorption and reduced rear panel displacement. Among the different configurations, interlayer gradient honeycomb structures demonstrated superior impact resistance compared to homogeneous and in-plane gradient structures, particularly under higher initial shock wave pressures. These findings contribute to optimizing the design of carbon fiber honeycomb sandwich structures for enhanced impact resistance in relevant applications.

1. Introduction

Naval surface ships were often threatened by submarine-borne attack weapons, such as mines and torpedoes, during their missions. The strong blast shockwaves triggered by these weapons can cause serious damage to the ship’s hull. To enhance the survivability of ships in such a fierce battlefield environment, sandwich structures were favored for their excellent impact resistance. These structures possess not only high specific strength but also excellent energy absorption efficiency, making them widely used in naval and aerospace designs [1,2]. Consequently, the core structure has been extensively applied in ship and aerospace design.
Composite sandwich structures, including honeycomb structures [3,4,5], foam structures [6,7], and dot matrix structures [8,9], have demonstrated higher strength, stiffness, and impact resistance compared to traditional metal-based sandwich structures. These composite configurations have shown superior cushioning and protection under high-impact loads [10,11] and blast impact loads [12,13,14]. Furthermore, composites have proven more effective in cushioning and protecting against strong impact loads. Among the various composite designs, the bionic honeycomb configuration has exhibited higher energy absorption efficiency, significantly enhancing structural performance in terms of local and overall reinforcement and impact resistance [15,16]. Consequently, the bionic honeycomb structure has received extensive attention.
In the study of composite grill structures, Rejab et al. [17] investigated the compressive strength and energy absorption characteristics of grille structures made from three different materials. They found that the carbon fiber reinforced core exhibited superior performance in terms of specific strength and specific energy absorption. In the work of Zhang et al. [18], metal fiber laminates were used as panels, and carbon fiber woven honeycombs were used as core materials. Quasi-static compression tests on the honeycomb sandwich structures were conducted to investigate their mechanical responses with various panel structures, honeycomb cell sizes, core wall thicknesses, and core heights. The honeycomb sandwich structures exhibited two different failure modes under quasi-static loading: local damage dominated by indentation and global damage due to overall bending deformation, determined by the combination of panel strength and honeycomb core strength. Menegozzo et al. [19] studied energy absorption in various honeycomb cores under static load, comparing them to standard hexagonal cores with identical mass and size. They found that energy absorption under transverse loading increased by an average of 46.8%. These studies suggest that unconventional composite honeycombs, such as hexagonal, negative Poisson’s ratio, or gradient-like designs, were more competitive in load-carrying characteristics and impact resistance. Zheng et al. [20] examined the impact damage behavior of honeycomb sandwich composite specimens through experiments and numerical simulations. They obtained the damage modes and contact force–time curves for three materials (T300, T700, and T800, which refer to different grades of carbon fiber materials, with each having varying tensile strengths and stiffness characteristics) at different impact energies and measured the deformation and strain of the lower panels using digital image correlation techniques. It was found that damage intensified with increased impact energy, and T800 showed higher damage resistance. Djellab et al. [21] investigated the performance of composite laminated glass and carbon-fiber-fabric-reinforced sandwich panels in terms of low-energy impact fatigue and the flexural behavior of a structure supported by a Nomex honeycomb core. They found that carbon fiber composite panels significantly improved impact resistance, with a 157.14% increase in crack depth and about a 45.72% increase in flexural strength compared to glass panels. Meanwhile, honeycomb sandwich panels were also employed in the construction of high-speed trains, aerospace components, and protective barriers in buildings that required enhanced blast resistance. In civil engineering, honeycomb panels were increasingly utilized in infrastructure projects that demanded both lightweight and high-impact resistance, such as in bridge decks and protective cladding systems [22].
In the context of strong dynamic loads such as blast responses, conventional sandwich structures were studied by Fleck et al. [23,24,25]. They classified the response to underwater explosive shock loads into three main phases: fluid–solid coupling, compression damage of the honeycomb core, and bending deformation of the overall structure. Kausar [26] and Guo [27] et al. summarized the energy absorption and dynamic response of different composite sandwich structures under various impact loads such as blast impact and ballistic impact. He et al. [28] evaluated the blast resistance of different configurations of three-period minimum surface (TPMS) honeycomb sandwich panels through experiments and numerical simulations. It was found that increasing the core thickness decreases the energy absorption efficiency, while the rhombic configuration sandwich panels showed the best performance in terms of blast resistance. An increase in explosive charge resulted in a significant increase in sandwich panel displacement, with the Gyroid configuration demonstrating superior energy absorption. Gargano et al. [29] explored the response of four composite sandwich structures commonly used in naval vessels, including the hull and superstructure, to blast impact. It was found through aerial blast tests that the glass-fiber-reinforced material exhibited better blast resistance than carbon fiber, while the balsa wood core showed less deformation at low shock waves. Nakisa et al. [30] used finite element analysis (FEA) and other numerical tools to predict the behavior of sandwich panels under different loading conditions and discussed in detail the various damage modes that may occur in sandwich panels under extreme loading conditions, such as underwater explosions or high-velocity impacts, including core crushing, interlaminar separation, matrix cracking, fiber fracture, and interfacial debonding. Zhang et al. [31] and Xue et al. [32] investigated the dynamic response of sandwich panels with different core configurations under underwater impact loads from several aspects, and the results show that sandwich panels exhibit higher deformation capacity than solid panels when subjected to large impact loads, and the performance advantage was more obvious in underwater environments, where the sandwich panels were subjected to significantly less momentum due to fluid–structure interactions. By optimizing the geometrical parameters of the core and the panels, sandwich panels can significantly increase their load-carrying capacity under blast impact. Mori et al. [33,34] and Latourte et al. [35,36] have analyzed the damage mechanisms and failure modes of homogeneous plate structures and sandwich structures under underwater blast loads by experimental and simulation methods, which further proves the superiority of sandwich structures in underwater blast protection.
Due to the traditional manufacturing process constraints, the designable space of composite honeycomb structural configurations is relatively small. However, with the emergence and rapid development of additive manufacturing process [37,38], manufacturing these composite sandwich structures is more feasible, so that the designers can carry out the structural design with a high degree of freedom, which makes the design more flexible and diversified [39]. Among which, the sandwich structures with complex honeycomb configurations have a bright future in load bearing and impact protection. Nevertheless, research on the mechanical properties of composite sandwich structures with complex configurations has primarily concentrated on static bending load-bearing capacity, compressive energy absorption, and low-speed impact resilience. However, there is a notable gap in the literature regarding the underwater explosion response of these structures. To date, the high-speed explosive behavior of composite honeycomb sandwiches with intricate configurations remains poorly understood.
Therefore, this study employs finite element numerical simulation to investigate the response of a carbon fiber honeycomb sandwich structure to underwater impact loads and verifies the structure’s reliability. Various configurations for the honeycomb core, including adjustments to edge length, height, and gradient forms, have been designed. Through the analysis of displacement, energy absorption, and other structural characterization metrics, the dynamic response and failure modes under varying impact conditions were examined. The research elucidates the dynamic response mechanisms of carbon fiber composites with different configurations under various initial conditions. Furthermore, the influence of these key design variables on the performance of the honeycomb sandwich structure were analyzed.

2. Infinity Model and Verification

2.1. Numerical Model

A finite element model for the dynamic response of a carbon fiber grille core structure under underwater explosion was established. The geometric model and meshing were created using HyperMesh2022 software. The dynamic response simulations were then performed using the explicit dynamics module in ABAQUS2023. The model consisted of two main parts: the water structure and the carbon fiber honeycomb sandwich structure. The water structure was a rectangular body with a central explosive source to simulate the impact of an underwater explosion. It used tetrahedral acoustic cell meshing, with the grid near the sandwich structure being more refined and the grid in distant areas having larger mesh sizes. The carbon fiber honeycomb sandwich structure included upper and lower panels and a honeycomb core. It was discretized using four-node shell cells. The front panel contacted the surface of the water structure, allowing acoustic–solid coupling for fluid/structural interactions. The rear panel’s boundary conditions were solidly supported by the mesh around its edges. The established finite element model was shown in Figure 1.
Based on the carbon fiber homogeneous honeycomb sandwich structure, two different structural forms of gradient honeycomb structures were designed, including the interlayer gradient honeycomb sandwich structure and the in-plane gradient honeycomb sandwich structure. Their specific structures were shown in Figure 2 and Figure 3.

2.2. Material

The Hashin damage model was used to describe the damage evolution law of carbon-fiber-reinforced composites. This model was chosen for its ability to predict multiple failure modes, including matrix cracking, fiber breakage, and delamination under dynamic loading conditions. Material parameters used in the model were derived from experimental data, ensuring that the numerical simulations accurately reflect the material’s response under high-strain rates. The upper and lower panels of the carbon fiber sandwich structure were made from five layers of unidirectional carbon fiber in orthogonal layups, each layer having a thickness of 0.4 mm. The core of the sandwich structure consisted of woven carbon fiber reinforced composites. The material parameters for both the panels and the entire sandwich structure were detailed in Table 1 and Table 2 [40].
The watershed structure was described through an acoustic medium. The density of the water was 1000 kg/m3, and the speed of sound within the water body was 1400 m/s, resulting in a bulk modulus Kw = c2 × ρ = 1.96 GPa. The cavitation pressure limit for the watershed structure was set to zero.
The pressure load from the blast wave in water, P(t), was described by an exponentially decaying time–course curve in Pa, as shown in Equation (1):
P ( t ) = P 0 e t θ
The initial shock wave pressure P0 was in Pa, and θ represented the shock wave attenuation coefficient in second.
Based on the Trinitrotoluene (TNT) charge W and the burst distance R between the center of the charge and the pressure measurement point, the initial shock wave pressure P0 and the shock wave attenuation coefficient θ were calculated, as shown in Equations (2) and (3):
P 0 = 4.41 × 10 7 W 1 / 3 R 1.5 , 6 R R 0 < 12 5.24 × 10 7 W 1 / 3 R 1.13 , 12 R R 0 < 240
θ = 0.45 R 0 R R 0 0.45 × 10 3 , R R 0 30 3.5 R 0 c lg R R 0 0.9 , R R 0 30
In the model, R was defined as the burst distance, specifically the distance from the burst point to the explosive, measured in meters. c represented the propagation speed of sound in the water, also in meters per second. R0 was the radius of the spherical charge, measured in meters, and was determined using the formula for the volume of a sphere, as shown in Equation (4):
R 0 = 3 W 4 π × ρ T N T 1 / 3
In this paper, ρTNT was the density of TNT and was set at 1600 kg/m3.

2.3. Model Verification

Initially, a mesh sensitivity analysis was conducted on the water model under the influence of an underwater shock wave to investigate the propagation law of the shock wave and the magnitude of its peak under varying mesh sizes. A cubic water model of 0.2 m × 0.2 m × 0.2 m was established, with the burst point located 0.05 m from the loading surface, where the incident wave had a pressure of 50 MPa and an attenuation coefficient of 0.02 ms. As shown in Figure 4, the shock wave pressure curve exhibited noticeable fluctuations when the mesh size was 20 mm; slight fluctuations were observed at mesh sizes of 10 mm and 5 mm; and there were no significant fluctuations at 2.5 mm and 1.25 mm. As the mesh size decreased, the peak shock wave pressure gradually reduced, with no significant difference in the peak value between mesh sizes of 2.5 mm and 1.25 mm. Thus, it was concluded that a mesh size of 2.5 mm could satisfy the accuracy requirements for modeling shock wave propagation in the water structure.
The mesh sensitivity of carbon fiber composites under shock waves was also analyzed. A 0.2 m × 0.2 m carbon fiber plate with a thickness of 2 mm was modeled, featuring fibers orthogonally layered in the 0° and 90° directions. A shock wave with a pressure of 10 MPa and an attenuation coefficient of 0.017 ms was applied to the plane of the plate. Figure 4 demonstrates that the deformation of the carbon fiber panel gradually stabilized as the mesh size decreased. When the mesh size reached 2.5 mm, further reduction in mesh size did not significantly alter the deformation, indicating that a structural mesh model with a mesh size of 2.5 mm could meet the simulation accuracy requirements.
This paper was based on the work cited in the literature [40], which involved simulations and comparisons of underwater explosion experiments on carbon-fiber-reinforced composite square grille sandwich structures. Using the acoustic–solid coupling method, a model corresponding to the experimental setup was established. Numerical simulations were conducted for two different charge weights, 8 g and 15 g, based on the experiments. The incident wave pressures were calculated using theoretical formulas, and the resulting structural deformations and surface pressure characteristics were analyzed. The peak values of the shock wave pressures obtained from the simulations and experiments, as shown in Table 3, were in close agreement, with the discrepancies within 10 percent.
The simulation results for the displacement of the rear panel of the grille structure were compared with the experimental outcomes, as illustrated Figure 5. The maximum displacements of the rear panel, calculated at 8 g and 15 g, were 9.98 mm and 12.30 mm, respectively. During the experiments, the displacement sensor detached from the grille core structure and failed to collect data in later stages. Additionally, the water tank experienced significant shaking during the 15 g experiment, causing fluctuations in the experimental data. Apart from these extreme conditions, the simulation results closely matched the experimental data in terms of displacement change rate and maximum displacement.
From the comparisons made, the simulation results for shock wave pressure and structural displacement in the carbon fiber grid sandwich structure were found to closely match the experimental data. Therefore, it was concluded that the simulation model established in this study effectively characterized the dynamic response of the carbon fiber structure during underwater explosions.

3. Results and Discussion

In this section, the dynamic response of carbon fiber honeycomb sandwich structures under underwater impact loading was investigated through numerical simulations. The study analyzed three key parameters that affect the dynamic response of the carbon fiber honeycomb: the edge length, height, and wall thickness of the honeycomb cell elements. The dynamic responses of carbon fiber honeycomb sandwich structures featuring two different gradient designs were examined under underwater impact loading and compared to a homogeneous honeycomb of the same mass.

3.1. Carbon Fiber Honeycomb Sandwich Structure Impact Resistance

To investigate the failure behaviors of carbon fiber honeycomb structures, a carbon fiber honeycomb sandwich structure was established. The honeycomb cell elements were shaped as regular hexagons, with a side length L of 20 mm, a plate thickness T of 2 mm, and a height H of 45 mm. Damage (shear damage) cloud diagrams depicting the responses of the carbon fiber honeycomb sandwich structure to shock waves of varying initial pressures were generated through simulations, as presented in Figure 6.
When the initial shock wave pressure was 20 MPa, the structure showed almost no damage: the front panel remained intact, and only minor damage occurred at the edges of the rear panel where it contacted the honeycomb. As the initial shock wave increased to 40 MPa, damage began to appear at the center and around the edges of the front panel, and slight damage was observed at the lower ends of the honeycomb core. This represented a more extensive range of damage compared to the 20 MPa condition, including shear damage at the center of the honeycomb core.
When the shock wave pressure reached 80 MPa, the structure sustained significant damage: the front panel exhibited large deformations at the center, the honeycomb structure showed extensive damage and depression in the center, and the honeycomb walls were severely distorted. Damage began to manifest on the rear panel during the core compression process, primarily displaying as overall bending due to boundary constraints. The most severe damage to the rear panel was concentrated along the edges.
Under a 40 MPa explosive load, the dynamic response of the carbon fiber honeycomb sandwich structure was illustrated in Figure 7. The front panel first encounters the impact wave pressure, leading to stress concentration in the central area of the front panel, which then propagates towards the center of the honeycomb structure. As the shock wave spreads, the stress distribution expands across the entire front panel and begins to gradually transmit towards the periphery of the honeycomb structure. At 0.12 ms, the stress in the central region of the front panel continues to increase, showing a trend of further concentration. By 0.5 ms, the deformation of the front panel reaches its peak, and the honeycomb structure begins to exhibit significant cell bending and damage, particularly in the central region where the stress was most concentrated.
As the shock wave continues to propagate, the stress gradually transfers to the deeper layers of the honeycomb structure, reaching peak levels between 0.5 ms and 2.0 ms and displaying clear nonlinear material responses. By 2.0 ms, the deformation and stress distribution stabilize, indicating that the energy from the shock wave has been effectively dissipated within the structure, with the primary damage concentrated in the central area of the honeycomb structure.
The time history curve of displacement at the center measurement point of the rear panel of the structure was depicted in Figure 8. As shown, with the increase in initial shock wave pressure, the peak deformation of the rear panel exhibited a rising trend, with maximum deformation values recorded at 6.39 mm, 9.15 mm, and 18.18 mm, respectively. Under a 20 MPa pressure, the displacement increased gradually over time, then decreased as the elastic strain energy was unloaded, eventually stabilizing near 2 mm. Under pressures of 40 MPa and 80 MPa, the displacement at the center of the rear panel of the honeycomb structure displayed a pattern of initial increase, followed by a decrease, and then another increase. This was attributed to significant damage at the center of the honeycomb structure, which led to twisted deformations. The honeycomb was progressively crushed from front to back during the shock wave impact, initially exhibiting dynamic buckling during compression. As the compression of the honeycomb increased, the wall surface began to curl and deform, with cracks forming at the connections. Subsequently, the panel rebounded due to its inherent stiffness, and the displacement finally stabilized at 4 mm under 40 MPa and 8 mm under 80 MPa.

3.2. Effect of Honeycomb Cell Element Edge Length on the Impact Resistance of Carbon Fiber Honeycomb Sandwich Structures

In this section, the dynamic response of the structure was investigated using cellular elements with side lengths ranging from 5 mm to 25 mm, a height of 15 mm, a wall thickness of 2 mm, and front-and-back panel thicknesses of 5 mm. The initial pressures considered varied from 30 MPa to 150 MPa, with an attenuation coefficient of 0.1 ms. Specifically, the sandwich structure featuring a honeycomb cell wall thickness T of 2 mm, cell height H of 15 mm, and cell side length L of 20 mm was analyzed. The study focused on the energy absorption process and structural damage of this sandwich structure under an initial pressure p0 of 120 MPa and an attenuation coefficient θ of 0.1 ms.
The distribution of total energy and the percentage of energy absorbed by each component of the carbon fiber honeycomb sandwich structure were depicted in Figure 9. During the stabilization phase, the honeycomb structure held the highest energy share at 45.4%, while the energy shares of the rear and front panels were 30.1% and 24.5%, respectively. The specific energy absorption of the structure eventually stabilized at 10,367 J/kg, as detailed in the plots for the specific energy absorption and structural damage of the honeycomb sandwich structure.
The failure of the honeycomb structure under an initial pressure of 120 MPa, categorized by different honeycomb cell side lengths, was detailed in Table 4. The severity of cellular damage increased with the length of the cell’s edge. At 0.5 ms, damage was confined to the center of the honeycomb sandwiches with cell side lengths L of 5 mm and 10 mm. The structure with a 15 mm side length exhibited some damage across all honeycomb walls, while significant damage failures were observed in the sandwiches with L of 20 mm and 25 mm. By 5 ms, the structures with cell side lengths of 5 mm and 10 mm still showed damage only at the center, but the honeycomb structures with side lengths of 15 mm, 20 mm, and 25 mm exhibited almost complete damage.
The specific energy absorption and center displacement of the rear panel of the carbon fiber honeycomb sandwich structure under various loads with initial shock wave pressures ranging from 30 MPa to 150 MPa and an attenuation coefficient of 0.1 ms were depicted in Figure 10. The specific energy absorption of the sandwich structure increased linearly for honeycomb cell elements with an edge length L of 5 mm. For an edge length L of 10 mm and pressures ranging from 30 MPa to 120 MPa, the growth trend in specific energy absorption closely resembled that of 5 mm. However, under a pressure of 150 MPa, there was a noticeable increase in specific energy absorption due to the larger edge length, resulting in a lighter sandwich structure with a lower overall density, making it more susceptible to damage and enhancing its capacity to absorb deformation energy. As the side length of the honeycomb cell increased, the pressure threshold at which the structure began to sustain damage decreased, and the pressure at which significant increases in energy absorption began also decreased. Across all conditions, the sandwich structure with a honeycomb cell edge length of 25 mm exhibited the highest specific energy absorption.
As the initial pressure of the shock wave increased, the displacement at the center position of the rear panel gradually became larger. For honeycomb cell elements with edge lengths L of 5 mm and 10 mm, the displacement of the rear panel was relatively large because the honeycomb absorbed less energy, transferring more energy to the rear panel and resulting in less damage deformation. Conversely, for larger edge lengths, the growth rate of the rear panel center displacement became more subdued with increasing initial pressure, as the honeycomb damage was insufficient to effectively transfer energy to the rear panel, thereby keeping the energy absorption relatively constant.
To some extent, both the specific energy absorption and structural deformation in the sandwich structure were related to its response. Consequently, the specific energy absorption efficiency η was defined as the ratio of the specific energy of the core to the maximum deformation at the center of the rear panel. High efficiency values imply that the honeycomb core was effectively absorbing the impact energy, thereby protecting the rear panel from excessive deformation.
The specific energy absorption efficiency of honeycomb structure with different initial pressures and different edge lengths of honeycomb cells was depicted in Figure 11. As shown, the variation in specific energy absorption of the honeycomb structure was more pronounced compared to the displacement of the rear panel, thus the pattern of specific energy absorption efficiency mirrored that of the specific energy absorption of the honeycomb structure itself. The highest specific energy absorption efficiency was observed in the honeycomb sandwich structure with a honeycomb cell element side length L of 25 mm. This configuration exhibited the most substantial increase in specific energy absorption efficiency, which was 963.7% at 90 MPa compared to the baseline condition with an L of 15 mm.

3.3. Effect of Honeycomb Cell Height on the Impact Resistance of Carbon Fiber Honeycomb Sandwich Structure

In this section, the dynamic response of the structure was investigated using honeycomb cell heights ranging from 5 mm to 25 mm, a constant side length of 15 mm, wall thicknesses of 2 mm, and front-and-back panel thicknesses of 5 mm. Initial pressures ranged from 30 MPa to 150 MPa, with an attenuation coefficient of 0.1 ms. A sandwich structure featuring a honeycomb wall thickness T of 2 mm, core height H of 20 mm, and cell side length L of 15 mm was specifically analyzed to assess the energy absorption process and structural damage under an initial pressure p0 of 120 MPa.
The total energy and the percentage of energy absorbed by each component of the carbon fiber honeycomb sandwich structure were depicted in Figure 12. As the structure approached a stable state, the honeycomb structure held the highest energy share at 51.0%, while the energy shares of the rear panel and front panel were 29.6% and 19.4%, respectively. The specific energy of the structure stabilized at 7955 J/kg. The failure of the honeycomb structure under an initial pressure of 120 MPa, categorized by different honeycomb cell heights, was detailed in Table 5. The severity of cellular damage increased with the height of the cell’s edge.
The specific energy absorption and center displacement of the rear panel of the carbon fiber honeycomb sandwich structure under a series of loads from 30 MPa to 150 MPa, with an attenuation coefficient of 0.1 ms, were depicted in Figure 13. Under initial pressures ranging from 30 MPa to 90 MPa, the specific energy absorption of the sandwich structure demonstrated a linear growth trend, with relatively small differences in specific energy absorption across the working conditions. The specific energy absorption was slightly higher when the honeycomb height H was 25 mm. However, under an initial shock wave load of 120 MPa, the growth trend in specific energy absorption began to change, showing a larger increase when the honeycomb height H was 20 mm, marking the highest energy absorption efficiency. Overall, the impact of honeycomb height on specific energy absorption was minimal at lower loads, but the most specific energy was absorbed when the initial pressure was high and the honeycomb height H was 20 mm.
As the initial pressure of the shock wave increased, the displacement at the center position of the rear panel grew larger. With a honeycomb height H of 5 mm, the center displacement of the rear panel increased linearly with the rising load. However, at greater honeycomb heights, the growth rate of the rear panel center displacement became larger but more gradual with the increase in initial pressure.
This trend was mainly due to enhanced energy absorption within the honeycomb structure following damage, which resulted in a less efficient energy transfer to the rear panel. Overall, the displacements under different loads were maximized with a honeycomb height H of 5 mm and minimized at the center of the rear panel with a honeycomb height H of 25 mm.
The specific energy absorption efficiency of honeycomb structure under different initial pressures and different heights of honeycomb cell elements was depicted in Figure 14. As shown, with the combined influence of rear panel displacement and the specific energy absorption of the honeycomb structure, the specific energy absorption efficiency for each honeycomb cell height increased as the initial pressure rose. The honeycomb cell height H of 20 mm exhibited the highest specific energy absorption efficiency under shock wave loads of 90–120 MPa, showing an increase of 50.11% compared to H of 15 mm at 120 MPa. At all other load levels, the highest specific energy absorption efficiency was observed when the cellular cell height H was 25 mm.

3.4. Effect of Honeycomb Cell Configuration on the Impact Resistance of Carbon Fiber Honeycomb Sandwich Structure

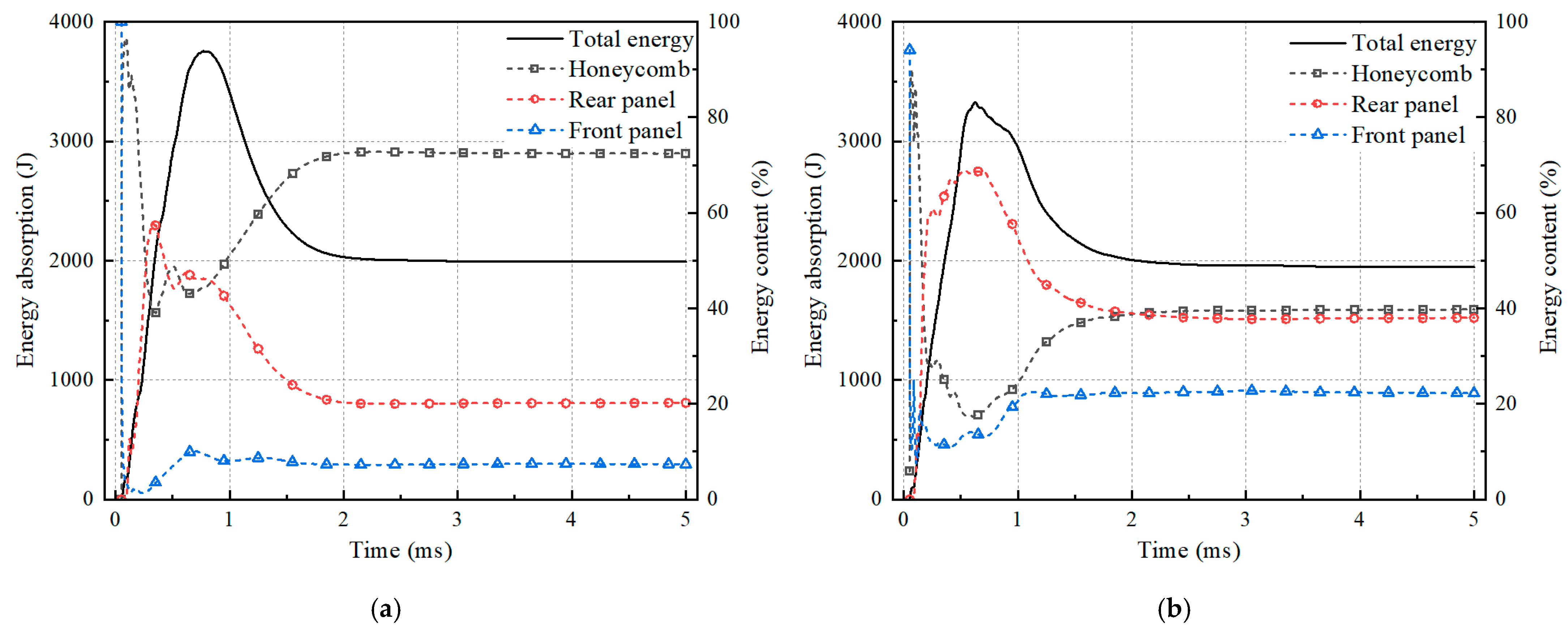
In Figure 15, the total energy and the percentage of energy absorbed by each component of the carbon fiber honeycomb sandwich structure were displayed for both the interlayer and in-plane gradients. The total energy absorption peaked at 3752.9 J and eventually stabilized at 1992.1 J. The honeycomb structure emerged as the primary energy-absorbing component, accounting for 72.4% of the energy absorbed, with 20.2% absorbed by the back panel structure and 7.4% by the front panel structure. The total energy absorption of the interlayer gradient carbon fiber honeycomb sandwich structure reached a peak of 3324.6 J and finally stabilized at 1946.7 J. Ultimately, the honeycomb structure absorbed 39.8% of the energy, while the back panel structure absorbed 38.0%, and the front panel structure absorbed 22.2%.
The failure of the gradient honeycomb sandwich structure under initial pressures ranging from 30 to 150 MPa was shown in Table 6.
At 30 MPa, neither gradient honeycomb exhibited significant failure, though some damage was present at the edges of the structures. By 60 MPa, the interlayer gradient began to show signs of central honeycomb breakage, while the in-plane gradient experienced damage throughout, with the outermost honeycomb cells breaking. At 90 MPa, the entire honeycomb structure of the interlayer gradient displayed obvious damage, with particularly severe damage at the center, and the outermost layer of the gradient honeycomb broke. Under 120 MPa, the interlayer gradient honeycomb showed significant peripheral damage, with the center tending to further break down, and the second layer of the in-plane gradient honeycomb was also completely destroyed. At 150 MPa, the damage to the structures was pronounced, with the interlayer honeycomb structure damaged extensively, while the in-plane gradient honeycomb was almost completely destroyed. Across all conditions, it was the in-plane gradient honeycomb that suffered more severe damage.
The specific energy absorption of various honeycomb sandwich structures under shock wave loading conditions in water, with initial pressures ranging from 30 to 150 MPa and an attenuation coefficient of 0.1 ms, was illustrated in Figure 16.
As shown in Figure 16, the specific absorption energy of all sandwich structures with different cores increased with the initial shock wave pressure. Generally, this increase was linear. However, there was a significant rise in the specific absorption energy of the gradient honeycomb structure at 120 MPa, primarily due to a change in the failure mode. Overall, the gradient honeycomb structure consistently demonstrated higher specific absorption energy than the homogeneous honeycomb under most conditions. At lower loads, the gradient honeycomb performed better than the homogeneous honeycomb, while at pressures between 120 and 150 MPa, the homogeneous honeycomb showed higher specific energy absorption.
The cellular energy absorption ratio of different honeycomb sandwich structures under water shock wave loading conditions, with initial pressures ranging from 30 to 150 MPa and an attenuation coefficient of 0.1 ms, was shown in Figure 17. The cellular energy absorption ratio refers to the percentage of the total energy absorbed by the honeycomb core in the sandwich structure, including the front-and-back panels and the honeycomb core. As the initial shock wave pressure increased, both the in-plane gradient and homogeneous honeycombs exhibited an increasing trend, with a slight decrease at 90 MPa. At 150 MPa, the energy absorption ratio of these two types of honeycomb sandwich structures reached their maximum values of 50.45% and 39.41%, respectively. For the interlayer gradient honeycomb, the energy absorption ratio fluctuated with increasing initial pressure but was generally much higher than that of the other two honeycombs. The highest absorption ratio for the interlayer gradient honeycomb was observed at 120 MPa, reaching 82.07%.
The center displacements of the rear panels of different honeycomb sandwich structures under water shock wave loading conditions, with initial pressures ranging from 30 to 150 MPa and attenuation coefficients of 0.1 ms, were shown in Figure 18.
As shown in Figure 18, with the increase in initial shock wave pressure, the deformation and damage to the honeycomb structure became more severe, leading to a greater center displacement of the rear panel. Under an initial shock wave pressure of 30 MPa, the differences in the peak center displacements of the rear panels were not significant. However, as the pressure increased, the interlayer gradient honeycomb exhibited significantly smaller displacements, while the rear panel displacement of the homogeneous honeycomb was the largest. Overall, the rear panel displacement of the honeycomb sandwich structures increased roughly linearly, with the interlayer gradient honeycomb consistently showing the smallest rear panel displacement under all conditions.
The displacements at the center of the rear panels for different honeycomb sandwich structures under water shock wave loading conditions, with initial pressures ranging from 30 to 150 MPa and attenuation coefficients of 0.1 ms, were shown in Figure 19.
As shown in Figure 19, with the increase in initial shock wave pressure, the specific energy absorption efficiencies of both the homogeneous honeycomb structure and the interlayer gradient honeycomb structure increased continuously. Under initial pressures of 30 and 60 MPa, the specific energy absorption efficiencies of these two structures were similar. However, at 90 MPa, the in-surface gradient honeycomb demonstrated significantly higher efficiency, and at 120 MPa, the homogeneous honeycomb exhibited a noticeably higher efficiency, reaching 218.64 J/kg/mm and 195.40 J/kg/mm, respectively.
For the interlayer gradient honeycomb, the specific energy absorption efficiency was much higher than that of the other two structures under initial pressures of 60–120 MPa. At 150 MPa, the specific energy absorption efficiency decreased, primarily due to a change in the failure mode of the honeycomb structure, which significantly increased the rear panel displacement. Overall, the interlayer gradient honeycomb consistently exhibited the highest specific energy absorption efficiency across all conditions, peaking at 120 MPa with a value of 437.37 J/kg/mm.

4. Conclusions

In this paper, the dynamic response of a carbon fiber composite honeycomb sandwich structure under underwater shock waves was investigated using numerical simulation methods. On this basis, three key parameters affecting the dynamic response of the carbon fiber honeycomb were analyzed: the edge length and height of the honeycomb cell elements and the form of the honeycomb gradient.
The main conclusions drawn from this study were as follows:
(1) When the initial pressure of the shock wave varied, the failure and deformation patterns of the honeycomb sandwich structure also differed. The failure of the front and rear panels primarily manifested as local bending. Initially, the deformation pattern of the honeycomb under varying shock wave pressures exhibited an elastic flexure state. As the pressure increased, the honeycomb showed a curling deformation of the walls, followed by a mixed pattern where both elastic flexure and wall curling deformation coexisted.
(2) For structures with different cellular cell side lengths, under initial shock wave pressures ranging from 30 MPa to 150 MPa with an attenuation coefficient of 0.1 ms, the specific absorption energy of structures with larger cellular cell side lengths increased more rapidly as the initial pressure increased. Additionally, the growth rate of the rear panel displacement became more gradual. Among the various cell side lengths, a side length L of 25 mm resulted in the highest specific absorption energy, maximum rear panel displacement, and specific absorption energy efficiency.
(3) For structures with different cellular element heights under initial shock wave pressures of 30 to 150 MPa and an attenuation coefficient of 0.1 ms, specific energy absorption was highest when the cellular element height H was 20 mm. The rear panel displacement was smallest when the height H was 25 mm. At 120 MPa, specific energy absorption efficiency was higher with a height H of 20 mm, while for other loads, the efficiency was higher with a height H of 25 mm. Therefore, a cellular element height H of 20 mm was more efficient at 120 MPa, and a height of 25 mm was more efficient at other loads.
(4) With the same mass, the interlayer honeycomb structure exhibited less damage. As the initial shock wave pressure increased, the structure’s energy absorption, percentage of energy absorption, rear panel center displacement, and specific energy absorption efficiency generally showed an increasing trend. Across different shock wave pressure loads, the interlayer gradient had a higher specific energy absorption and percentage of energy absorption, while its rear panel center displacement was significantly smaller compared to the other two structures. The in-plane gradient honeycomb generally had greater energy absorption and smaller displacement than the homogeneous honeycomb, but these values were still lower than those of the interlayer gradient honeycomb. Therefore, the interlayer honeycomb structure was considered to exhibit the best impact resistance performance.

Author Contributions

Methodology, C.Z.; Software, Y.L.; Formal analysis, X.K.; Resources, Y.W. and W.W.; Writing—original draft, M.W. All authors have read and agreed to the published version of the manuscript.

Funding

This research is supported by the National Natural Science Foundation of China (12202329, 52171318) and the Joint Foundation of Ministry of Education (8091B022105).

Institutional Review Board Statement

Not applicable.

Informed Consent Statement

Informed consent was obtained from all subjects involved in the study.

Data Availability Statement

The original contributions presented in the study are included in the article, further inquiries can be directed to the corresponding authors.

Acknowledgments

The authors wish to express gratitude to Hao Zhou for his valuable help in the materials used for experiments.

Conflicts of Interest

The authors declare that they have no known competing financial interests or personal relationships that could have appeared to influence the work reported in this paper.

References

  1. Murlidhar, P.; Shivdayal, P.; Suhail, A. Blast analysis of efficient honeycomb sandwich structures with CFRP/Steel FML skins. Int. J. Impact Eng. 2023, 178, 104609. [Google Scholar]
  2. Shirbhate, P.A.; Goel, M.D. Performance of honeycomb sandwich structure under combined blast and impact of fragments. Proc. Inst. Civ. Eng. Struct. Build. 2023, 177, 177–191. [Google Scholar] [CrossRef]
  3. Xue, Z.; Hutchinson, J.W. Preliminary assessment of sandwich plates subject to blast loads. Int. J. Mech. Sci. 2003, 45, 687–705. [Google Scholar] [CrossRef]
  4. Suresh, C.; Ramajeyathilagam, K. Large deformation behaviour of thin mild steel rectangular plates subjected to underwater explosion loading under air and water backed conditions. Appl. Ocean Res. 2021, 114, 102780. [Google Scholar] [CrossRef]
  5. Rolfe, E.; Quinn, R.; Irven, G.; Brick, D.; Dear, J.P.; Arora, H. Underwater blast loading of partially submerged sandwich composite materials in relation to air blast loading response. Int. J. Lightweight Mater. Manuf. 2020, 3, 387–402. [Google Scholar] [CrossRef]
  6. Bai, R.; Guo, J.; Lei, Z.; Liu, D.; Ma, Y.; Yan, C. Compression after impact behavior of composite foam-core sandwich panels. Compos. Struct. 2019, 225, 111181. [Google Scholar] [CrossRef]
  7. Ren, L.; Ma, H.; Shen, Z.; Wang, Y.; Zhao, K. Blast resistance of water-backed metallic sandwich panels subjected to underwater explosion. Int. J. Impact Eng. 2019, 15129, 1–11. [Google Scholar] [CrossRef]
  8. Xue, B.; Peng, Y.-X.; Ren, S.-F.; Liu, N.-N.; Zhang, Q. Investigation of Impact Resistance Performance of Pyramid Lattice Sandwich Structure Based on SPH-FEM. Compos. Struct. 2021, 261, 113561. [Google Scholar] [CrossRef]
  9. Gan, J.; Ji, E.; Li, B. Investigation on Impact Resistance of Hierarchical Lightweight Lattice Structure. J. Phys. Conf. Ser. 2022, 2252, 012028. [Google Scholar] [CrossRef]
  10. Karsandik, Y.; Sabuncuoglu, B.; Yildirim, B.; Silberschmidt, V.V. Impact behavior of sandwich composites for aviation applications: A review. Compos. Struct. 2023, 314, 116941. [Google Scholar] [CrossRef]
  11. Wang, J.; Waas, A.M.; Wang, H. Experimental and numerical study on the low-velocity impact behavior of foam-core sandwich panels. Compos. Struct. 2013, 96, 298–311. [Google Scholar] [CrossRef]
  12. Mouritz, A.P.; Saunders, D.S.; Buckley, S. The damage and failure of GFRP laminates by underwater explosion shock loading. Composites 1994, 25, 431–437. [Google Scholar] [CrossRef]
  13. Ansari, M.M.; Chakrabarti, A. Ballistic Performance of Unidirectional Glass Fiber Laminated Composite Plate under Normal and Oblique Impact. Procedia Eng. 2017, 173, 161–168. [Google Scholar] [CrossRef]
  14. Xin, S.H.; Wen, H.M. A progressive damage model for fiber reinforced plastic composites subjected to impact loading. Int. J. Impact Eng. 2015, 75, 40–52. [Google Scholar] [CrossRef]
  15. Paz, J.; Díaz, J.; Romera, L.; Costas, M. Size and shape optimization of aluminum tubes with GFRP honeycomb reinforcements for crashworthy aircraft structures. Compos. Struct. 2015, 133, 499–507. [Google Scholar] [CrossRef]
  16. Li, C.L.; Ma, N.F.; Deng, Q.T.; Han, Q. Deformation and energy absorption of the laminated reentrant honeycomb structures under static and dynamic loadings. Mech. Adv. Mater. Struct. 2024, 31, 2472–2482. [Google Scholar] [CrossRef]
  17. Rejab, M.R.M.; Hassan, W.; Siregar, J.P.; Bachtiar, D. Specific Properties of Novel Two-Dimensional Square Honeycomb Composite Structures. Appl. Mech. Mater. 2015, 695, 694–698. [Google Scholar] [CrossRef]
  18. Zhang, Y.-N.; Tian, Y.; Liu, X.-Y.; Zhou, H.; Zhou, J.; Hu, Y.-B. Quasi-static indentation responses of FMLs/2.5D woven carbon-fiber honeycomb sandwich structures under different structural parameters. Thin-Walled Struct. 2024, 198, 111702. [Google Scholar] [CrossRef]
  19. Menegozzo, M.; Cecchini, A.; Ogle, R.C.; Vaidya, U.K.; Acevedo-Figueroa, I.; Torres-Hernández, J.A. Scale Effect Assessment of Innovative 3D-Printed Honeycomb under Quasi-Static Compression. Aerospace 2023, 10, 242. [Google Scholar] [CrossRef]
  20. Zheng, X.; He, B.; Zou, Y.; Yang, Q.; Cao, Y.; Li, Z.; Han, Y. Experiment and Numerical Simulation on Damage Behavior of Honeycomb Sandwich Composites under Low-Energy Impact. Aerospace 2023, 10, 756. [Google Scholar] [CrossRef]
  21. Djellab, A.; Chellil, A.; Lecheb, S.; Safi, B.; Mechakra, H.; Houari, A.; Kebir, H.; Madani, K. Experimental and numerical investigation of impact behavior in honeycomb sandwich composites. Proc. Inst. Mech. Eng. Part L J. Mater. Des. Appl. 2024, 238, 1342–1357. [Google Scholar] [CrossRef]
  22. Nayak, S.K.; Singh, A.K.; Belegundu, A.D.; Yen, C.F. Process for design optimization of honeycomb core sandwich panels for blast load mitigation. Struct. Multidiscip. Optim. 2013, 47, 749–763. [Google Scholar] [CrossRef]
  23. Fleck, N.A.; Deshpande, V.S. The resistance of clamped sandwich beams to shock loading. J. Appl. Mech. 2004, 71, 386–401. [Google Scholar] [CrossRef]
  24. Qiu, X.; Deshpande, V.S.; Fleck, N.A. Dynamic response of a clamped circular sandwich plate subject to shock loading. J. Appl. Mech. 2004, 71, 637–645. [Google Scholar] [CrossRef]
  25. Radford, D.D.; Fleck, N.A.; Deshpande, V.S. The response of clamped sandwich beams subjected to shock loading. Int. J. Impact Eng. 2006, 32, 968–987. [Google Scholar] [CrossRef]
  26. Kausar, A.; Ahmad, I.; Rakha, S.A.; Eisa, M.H.; Diallo, A. State-of-the-Art of Sandwich Composite Structures: Manufacturing-to-High Performance Applications. J. Compos. Sci. 2023, 7, 102. [Google Scholar] [CrossRef]
  27. Guo, H.; Yuan, H.; Zhang, J.; Ruan, D. Review of sandwich structures under impact loadings: Experimental, numerical and theoretical analysis. Thin-Walled Struct. 2023, 196, 111541. [Google Scholar] [CrossRef]
  28. He, L.; Li, T.; Zhong, D.; Tao, H.; Peng, Y.; Chen, S. Blast Resistance in Sandwich Structures Based on TPMS. Buildings 2023, 13, 2835. [Google Scholar] [CrossRef]
  29. Gargano, A.; Das, R.; Mouritz, A.P. Explosive Blast Response of Marine Sandwich Composites. In Advances in Thick Section Composite and Sandwich Structures: An Anthology of ONR-Sponsored Research; Springer: Cham, Switzerland, 2020; pp. 121–144. [Google Scholar]
  30. Nakisa, M.; Behrouzi, F.; Amini, A.M. Different Failure Modes Assessment to Improve the Sandwich Composite Panel Stiffness with Honeycomb Core for Marine Structures Application. J. Teknol. 2016, 78, 183–189. [Google Scholar] [CrossRef][Green Version]
  31. Zhang, P.; Wang, K.; Cai, S.; Chen, G.; Zhou, T.; Liu, J.; Cheng, Y. Experimental investigations into the dynamic response of sandwich panels with multi-layered corrugated cores subjected to underwater impulsive load. Thin-Walled Struct. 2023, 191, 111021. [Google Scholar] [CrossRef]
  32. Xue, Z.; Hutchinson, J.W. A comparative study of impulse-resistant metal sandwich plates. Int. J. Impact Eng. 2004, 30, 1283–1305. [Google Scholar] [CrossRef]
  33. Mori, L.F.; Queheillalt, D.T.; Wadley, H.N.; Espinosa, H.D. Deformation and failure modes of I-core sandwich structures subjected to underwater impulsive loads. Exp. Mech. 2009, 49, 257–275. [Google Scholar] [CrossRef]
  34. Mori, L.; Lee, S.; Xue, Z.; Vaziri, A.; Queheillalt, D.; Dharmasena, K.; Wadley, H.; Hutchinson, J.; Espinosa, H. Deformation and fracture modes of sandwich structures subjected to underwater impulsive loads. J. Mech. Mater. Struct. 2007, 2, 1981–2006. [Google Scholar] [CrossRef]
  35. Latourte, F.; Wei, X.; Feinberg, Z.D.; de Vaucorbeil, A.; Tran, P.; Olson, G.B.; Espinosa, H.D. Design and identification of high performance steel alloys for structures subjected to underwater impulsive loading. Int. J. Solids Struct. 2012, 49, 1573–1587. [Google Scholar] [CrossRef]
  36. Latourte, F.; Grégoire, D.; Zenkert, D.; Wei, X.; Espinosa, H.D. Failure mechanisms in composite panels subjected to underwater impulsive loads. J. Mech. Phys. Solids 2011, 59, 1623–1646. [Google Scholar] [CrossRef]
  37. Tao, C.; Zhou, X.; Liu, Z.; Liang, X.; Zhou, W.; Li, H. Crashworthiness Study of 3D Printed Lattice Reinforced Thin-Walled Tube Hybrid Structures. Materials 2023, 16, 1871. [Google Scholar] [CrossRef]
  38. Karakurt, I.; Lin, L. 3D printing technologies: Techniques, materials, and post-processing. Curr. Opin. Chem. Eng. 2020, 28, 134–143. [Google Scholar] [CrossRef]
  39. Cui, Z.; Qi, J.; Tie, Y.; Zou, T.; Duan, Y. Research on the energy absorption properties of origami-based honeycombs. Thin-Walled Struct. 2023, 184, 110520. [Google Scholar] [CrossRef]
  40. Hao, Z. Dynamic Response of Carbon Fibre Reinforced Composite Sandwich Structures under the Action of Shock Wave in Water; Nanjing University of Science and Technology: Nanjing, China, 2020. [Google Scholar]
Figure 1. Schematic diagram of finite element model of carbon fiber honeycomb sandwich structure and watershed structure.
Figure 1. Schematic diagram of finite element model of carbon fiber honeycomb sandwich structure and watershed structure.
Jmse 12 01513 g001
Figure 2. Schematic diagram of interlayer gradient honeycomb sandwich structure.
Figure 2. Schematic diagram of interlayer gradient honeycomb sandwich structure.
Jmse 12 01513 g002
Figure 3. Schematic diagram of in-plane gradient honeycomb sandwich structure.
Figure 3. Schematic diagram of in-plane gradient honeycomb sandwich structure.
Jmse 12 01513 g003
Figure 4. Peak shock wave pressure in the water and the change rule of carbon fiber rear panel center deformation with different mesh sizes. (a) Variation law of peak pressure of shock wave in water under different mesh sizes. (b) Deformation law of carbon fiber structural panels under different mesh sizes.
Figure 4. Peak shock wave pressure in the water and the change rule of carbon fiber rear panel center deformation with different mesh sizes. (a) Variation law of peak pressure of shock wave in water under different mesh sizes. (b) Deformation law of carbon fiber structural panels under different mesh sizes.
Jmse 12 01513 g004
Figure 5. Comparison of simulation and test results of the center displacement of the rear panel of the structure at 8 g and 15 g conditions.
Figure 5. Comparison of simulation and test results of the center displacement of the rear panel of the structure at 8 g and 15 g conditions.
Jmse 12 01513 g005
Figure 6. Damage (shear damage) diagram of carbon fiber honeycomb sandwich structure.
Figure 6. Damage (shear damage) diagram of carbon fiber honeycomb sandwich structure.
Jmse 12 01513 g006
Figure 7. Stress distribution of carbon fiber honeycomb sandwich structure at different times.
Figure 7. Stress distribution of carbon fiber honeycomb sandwich structure at different times.
Jmse 12 01513 g007
Figure 8. Time history curve of displacement of rear panel of carbon fiber honeycomb sandwich structure.
Figure 8. Time history curve of displacement of rear panel of carbon fiber honeycomb sandwich structure.
Jmse 12 01513 g008
Figure 9. Total energy, percentage of energy absorbed by each component and damage absorption of the carbon fiber honeycomb sandwich structure for Case 4 (initial pressure 120 MPa, H = 15 mm, L = 20 mm, T = 2 mm). (a) Total energy of carbon fiber honeycomb sandwich structure and energy absorption ratio of each component. (b) Specific energy absorption of honeycomb structure under initial pressure of 120 MPa.
Figure 9. Total energy, percentage of energy absorbed by each component and damage absorption of the carbon fiber honeycomb sandwich structure for Case 4 (initial pressure 120 MPa, H = 15 mm, L = 20 mm, T = 2 mm). (a) Total energy of carbon fiber honeycomb sandwich structure and energy absorption ratio of each component. (b) Specific energy absorption of honeycomb structure under initial pressure of 120 MPa.
Jmse 12 01513 g009
Figure 10. Specific energy absorption of honeycomb structure and rear panel center displacement under different initial pressures and different edge lengths of honeycomb cells. (a) Specific energy absorption of honeycomb structure under different initial pressures. (b) Peak displacement of the rear panel center under different initial pressures.
Figure 10. Specific energy absorption of honeycomb structure and rear panel center displacement under different initial pressures and different edge lengths of honeycomb cells. (a) Specific energy absorption of honeycomb structure under different initial pressures. (b) Peak displacement of the rear panel center under different initial pressures.
Jmse 12 01513 g010
Figure 11. Specific energy absorption efficiency of honeycomb structure with different initial pressures and different edge lengths of honeycomb cells.
Figure 11. Specific energy absorption efficiency of honeycomb structure with different initial pressures and different edge lengths of honeycomb cells.
Jmse 12 01513 g011
Figure 12. Total energy, percentage of energy absorbed by each component, and damage absorption of carbon fiber honeycomb sandwich structure in Case VII. (a) Total energy of carbon fiber honeycomb sandwich structure and energy absorption ratio of each component. (b) Specific energy absorption of honeycomb structure under the initial pressure of 120 MPa.
Figure 12. Total energy, percentage of energy absorbed by each component, and damage absorption of carbon fiber honeycomb sandwich structure in Case VII. (a) Total energy of carbon fiber honeycomb sandwich structure and energy absorption ratio of each component. (b) Specific energy absorption of honeycomb structure under the initial pressure of 120 MPa.
Jmse 12 01513 g012
Figure 13. Specific energy absorption diagram of honeycomb structure and peak displacement of rear panel center at different initial pressures and different heights of honeycomb cells. (a) Specific energy absorption of honeycomb structure under different initial pressures. (b) Peak displacement of the rear panel center under different initial pressures.
Figure 13. Specific energy absorption diagram of honeycomb structure and peak displacement of rear panel center at different initial pressures and different heights of honeycomb cells. (a) Specific energy absorption of honeycomb structure under different initial pressures. (b) Peak displacement of the rear panel center under different initial pressures.
Jmse 12 01513 g013
Figure 14. Specific energy absorption efficiency of honeycomb structure under different initial pressures and different heights of honeycomb cell elements.
Figure 14. Specific energy absorption efficiency of honeycomb structure under different initial pressures and different heights of honeycomb cell elements.
Jmse 12 01513 g014
Figure 15. Gradient carbon fiber honeycomb sandwich structure total energy and the percentage of energy absorbed by each component. (a) Total energy of interlayer gradient carbon fiber honeycomb sandwich structure and energy absorption ratio of each component. (b) Total energy of in-plane gradient carbon fiber honeycomb sandwich structure and energy absorption ratio of each component.
Figure 15. Gradient carbon fiber honeycomb sandwich structure total energy and the percentage of energy absorbed by each component. (a) Total energy of interlayer gradient carbon fiber honeycomb sandwich structure and energy absorption ratio of each component. (b) Total energy of in-plane gradient carbon fiber honeycomb sandwich structure and energy absorption ratio of each component.
Jmse 12 01513 g015
Figure 16. Variation of specific absorption energy with initial pressure of shock wave in water for different honeycomb sandwich structures.
Figure 16. Variation of specific absorption energy with initial pressure of shock wave in water for different honeycomb sandwich structures.
Jmse 12 01513 g016
Figure 17. Variation of energy absorption percentage with initial pressure of shock wave in water for different honeycomb sandwich structures.
Figure 17. Variation of energy absorption percentage with initial pressure of shock wave in water for different honeycomb sandwich structures.
Jmse 12 01513 g017
Figure 18. Variation of rear panel center displacement with initial shock wave pressure in water for different honeycomb sandwich structures.
Figure 18. Variation of rear panel center displacement with initial shock wave pressure in water for different honeycomb sandwich structures.
Jmse 12 01513 g018
Figure 19. Variation of specific energy absorption efficiency with initial pressure of shock wave in water for different honeycomb sandwich structures.
Figure 19. Variation of specific energy absorption efficiency with initial pressure of shock wave in water for different honeycomb sandwich structures.
Jmse 12 01513 g019
Table 1. Unidirectional carbon fiber structure specific parameters.
Table 1. Unidirectional carbon fiber structure specific parameters.
Material Parameter SymbolsUnit (of Measure)Numerical ValueMaterial Parameter SymbolsUnit (of Measure)Numerical Value
Density ρKg/m31525Shear strength SMPa81
Modulus of elasticity E1GPa36.2Poisson’s ratio γ12-0.18
Modulus of elasticity E2GPa4.8Shear modulus G12GPa3.5
Transverse tensile strength XtMPa1420Fiber tensile breaking energy JtfMPa33.4
Transverse compression strength XcMPa514Fiber compression failure energy JcfMPa4.4
Longitudinal tensile strength YtMPa76Matrix tensile fracture energy JtmMPa1.75
Longitudinal compression strength YcMPa76Matrix compression failure energy JcmMPa1.75
Table 2. Specific parameters of braided carbon fiber structure.
Table 2. Specific parameters of braided carbon fiber structure.
Material Parameter SymbolsUnit (of Measure)Numerical ValueMaterial Parameter SymbolsUnit (of Measure)Numerical Value
Density ρKg/m31450Shear strength SMPa81
Modulus of elasticity E1GPa9.6Poisson’s ratio γ12-0.16
Modulus of elasticity E2GPa4.8Shear modulus G12GPa3.5
Transverse tensile strength XtMPa390Fiber tensile breaking energy JtfMPa9.5
Transverse compression strength XcMPa382Fiber compression failure energy JcfMPa9.12
Longitudinal tensile strength YtMPa76Matrix tensile fracture energy JtmMPa11.4
Longitudinal compression strength YcMPa76Matrix compression failure energy JcmMPa11.4
Table 3. Comparison of experimental and simulation results of peak shock wave pressure at 8 g and 15 g working conditions.
Table 3. Comparison of experimental and simulation results of peak shock wave pressure at 8 g and 15 g working conditions.
Peak Shock Wave PressureExperimental DataSimulation DataInaccuracies
8 g34.4 MPa34.967 MPa1.65%
15 g41.9 MPa45.327 MPa8.17%
Table 4. Failure of honeycomb cells with different cellular cell element lengths under 120 MPa initial pressure.
Table 4. Failure of honeycomb cells with different cellular cell element lengths under 120 MPa initial pressure.
Working Condition SettingCellular Failure at 0.5 ms Cellular Failure at 5 ms
L = 5 mmJmse 12 01513 i001Jmse 12 01513 i002
L = 10 mmJmse 12 01513 i003Jmse 12 01513 i004
L = 15 mmJmse 12 01513 i005Jmse 12 01513 i006
L = 20 mmJmse 12 01513 i007Jmse 12 01513 i008
L = 25 mmJmse 12 01513 i009Jmse 12 01513 i010
Jmse 12 01513 i011
Table 5. Failure of honeycombs with different honeycomb heights at 120 MPa initial pressure.
Table 5. Failure of honeycombs with different honeycomb heights at 120 MPa initial pressure.
Working Condition SettingCellular Failure at the 0.5 ms Moment5 ms Moment of Cellular Failure
H = 5 mmJmse 12 01513 i012Jmse 12 01513 i013
H = 10 mmJmse 12 01513 i014Jmse 12 01513 i015
H = 15 mmJmse 12 01513 i016Jmse 12 01513 i017
H = 20 mmJmse 12 01513 i018Jmse 12 01513 i019
H = 25 mmJmse 12 01513 i020Jmse 12 01513 i021
Jmse 12 01513 i022
Table 6. Failure of gradient honeycomb sandwich structures.
Table 6. Failure of gradient honeycomb sandwich structures.
Working Condition SettingInterlayer Gradient Honeycomb FailureIn-Plane Gradient Honeycomb Failure
30 MPaJmse 12 01513 i023Jmse 12 01513 i024
60 MPaJmse 12 01513 i025Jmse 12 01513 i026
90 MPaJmse 12 01513 i027Jmse 12 01513 i028
120 MPaJmse 12 01513 i029Jmse 12 01513 i030
150 MPaJmse 12 01513 i031Jmse 12 01513 i032
Jmse 12 01513 i033
Disclaimer/Publisher’s Note: The statements, opinions and data contained in all publications are solely those of the individual author(s) and contributor(s) and not of MDPI and/or the editor(s). MDPI and/or the editor(s) disclaim responsibility for any injury to people or property resulting from any ideas, methods, instructions or products referred to in the content.

Share and Cite

MDPI and ACS Style

Zheng, C.; Wang, M.; Wang, Y.; Liao, Y.; Kong, X.; Wu, W. Numerical Investigation on Dynamic Response of Carbon Fiber Honeycomb Sandwich Panels Subject to Underwater Impact Load. J. Mar. Sci. Eng. 2024, 12, 1513. https://doi.org/10.3390/jmse12091513

AMA Style

Zheng C, Wang M, Wang Y, Liao Y, Kong X, Wu W. Numerical Investigation on Dynamic Response of Carbon Fiber Honeycomb Sandwich Panels Subject to Underwater Impact Load. Journal of Marine Science and Engineering. 2024; 12(9):1513. https://doi.org/10.3390/jmse12091513

Chicago/Turabian Style

Zheng, Cheng, Mingfei Wang, Yiwen Wang, Yawen Liao, Xiangshao Kong, and Weiguo Wu. 2024. "Numerical Investigation on Dynamic Response of Carbon Fiber Honeycomb Sandwich Panels Subject to Underwater Impact Load" Journal of Marine Science and Engineering 12, no. 9: 1513. https://doi.org/10.3390/jmse12091513

APA Style

Zheng, C., Wang, M., Wang, Y., Liao, Y., Kong, X., & Wu, W. (2024). Numerical Investigation on Dynamic Response of Carbon Fiber Honeycomb Sandwich Panels Subject to Underwater Impact Load. Journal of Marine Science and Engineering, 12(9), 1513. https://doi.org/10.3390/jmse12091513

Note that from the first issue of 2016, this journal uses article numbers instead of page numbers. See further details here.

Article Metrics

Back to TopTop