A Normal Mode Model Based on the Spectral Element Method for Simulating Horizontally Layered Acoustic Waveguides
Abstract
1. Introduction
2. Theory and Model
2.1. Normal Mode Model
2.2. Perfectly Matched Layer Technique
3. Spectral Element Method and Numerical Discretization
3.1. Spectral Element Method
3.2. Numerical Discretization
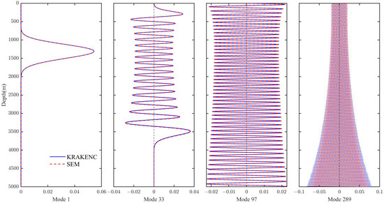
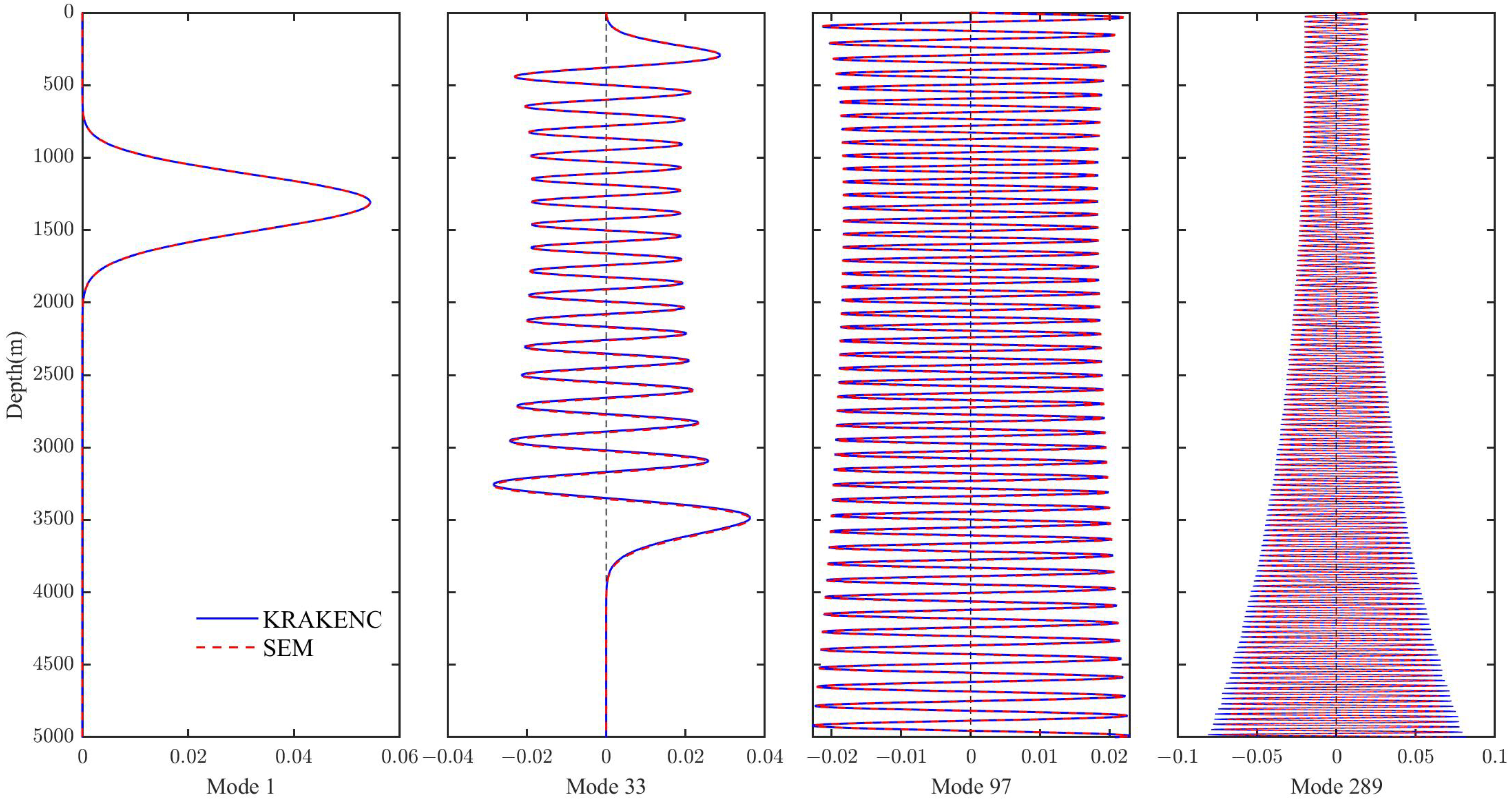
4. Numerical Simulation
4.1. Pseudolinear-Speed Waveguide
4.2. A Waveguide with Two-Layer Media
4.3. Munk Waveguide
5. Discussion
6. Conclusions
Author Contributions
Funding
Institutional Review Board Statement
Informed Consent Statement
Data Availability Statement
Conflicts of Interest
References
- Pekeris, C.L. Theory of propagation of explosive sound in shallow water. Geol. Soc. Am. Mem. 1948, 27, 1–117. [Google Scholar] [CrossRef]
- Pierce, J.R. Coupling of Modes of Propagation. J. Appl. Phys. 1954, 25, 179–183. [Google Scholar] [CrossRef]
- Miller, S.E. Coupled wave theory and waveguide applications. Bell Syst. Tech. J. 1954, 33, 661–719. [Google Scholar] [CrossRef]
- Evans, R.B. A coupled mode solution for acoustic propagation in a waveguide with stepwise depth variations of a penetrable bottom. J. Acoust. Soc. Am. 1983, 74, 188–195. [Google Scholar] [CrossRef]
- Evans, R.B. The decoupling of stepwise coupled modes. J. Acoust. Soc. Am. 1986, 80, 1414–1418. [Google Scholar] [CrossRef]
- Pierce, A.D. Extension of the Method of Normal Modes to Sound Propagation in an Almost-Stratified Medium. J. Acoust. Soc. Am. 1965, 37, 19–27. [Google Scholar] [CrossRef]
- Milder, D.M. Ray and Wave Invariants for SOFAR Channel Propagation. J. Acoust. Soc. Am. 1969, 46, 1259–1263. [Google Scholar] [CrossRef]
- Porter, M.B. The Kraken Normal Mode Program; SACLANT Undersea Research Centre: La Spezia, Italy, 2001. [Google Scholar]
- Tu, H.; Wang, Y.; Zhang, Y.; Wang, X.; Liu, W. A spectrally discretized wide-angle parabolic equation model for simulating acoustic propagation in laterally inhomogeneous oceans. J. Acoust. Soc. Am. 2023, 153, 3334–3349. [Google Scholar] [CrossRef]
- Tu, H.; Wang, Y.; Yang, C.; Liu, W.; Wang, X. A Chebyshev–Tau spectral method for coupled modes of underwater sound propagation in range-dependent ocean environments. Phys. Fluids 2023, 35, 037113. [Google Scholar] [CrossRef]
- Tu, H.; Wang, Y.; Liu, W.; Ma, S.; Wang, X. A spectral method for the depth-separated solution of a wavenumber integration model for horizontally stratified fluid acoustic waveguides. Phys. Fluids 2023, 35, 057127. [Google Scholar] [CrossRef]
- Patera, A.T. A spectral element method for fluid dynamics: Laminar flow in a channel expansion. J. Comput. Phys. 1984, 54, 468–488. [Google Scholar] [CrossRef]
- Seriani, G.; Carcione, J.M.; Priolo, E. Numerical simulation of interface waves by high-order spectral modeling techniques. J. Acoust. Soc. Am. 1992, 92, 2456. [Google Scholar] [CrossRef]
- Weijun, L. A Chebyshev spectral element method for elastic wave modeling. Acta Acust. 2007, 42, 525–533. [Google Scholar] [CrossRef]
- Lee-Wing, H.; Maday, Y.; Patera, A.T.; Rønquist, E.M. A high-order Lagrangian-decoupling method for the incompressible Navier-Stokes equations. Comput. Methods Appl. Mech. Eng. 1990, 80, 65–90. [Google Scholar] [CrossRef]
- Seriani, G. 3-D large-scale wave propagation modeling by spectral element method on Cray T3E multiprocessor. Comput. Methods Appl. Mech. Eng. 1998, 164, 235–247. [Google Scholar] [CrossRef]
- Deville, M.O.; Fischer, P.F.; Mund, E.H.; Gartling, D.K. High-Order Methods for Incompressible Fluid Flow. Appl. Mech. Rev. 2003, 56, B43. [Google Scholar] [CrossRef]
- De Basabe, J.D.; Sen, M.K. Grid dispersion and stability criteria of some common finite-element methods for acoustic and elastic wave equations. Geophysics 2007, 72, T81–T95. [Google Scholar] [CrossRef]
- Cohen, G.C.; Liu, Q.H. Higher-Order Numerical Methods for Transient Wave Equations. J. Acoust. Soc. Am. 2003, 114, 21. [Google Scholar] [CrossRef]
- Melvin, T.; Staniforth, A.; Thuburn, J. Dispersion analysis of the spectral element method. Q. J. R. Meteorol. Soc. 2012, 138, 1934–1947. [Google Scholar] [CrossRef]
- Peter, D.; Komatitsch, D.; Luo, Y.; Martin, R.; Le Goff, N.; Casarotti, E.; Le Loher, P.; Magnoni, F.; Liu, Q.; Blitz, C.; et al. Forward and adjoint simulations of seismic wave propagation on fully unstructured hexahedral meshes. Geophys. J. Int. 2011, 186, 721–739. [Google Scholar] [CrossRef]
- Porter, M.B. SCOOTER: A Finite Element FFP Code. 2001. Available online: https://oalib-acoustics.org/models-and-software/acoustics-toolbox/ (accessed on 26 August 2024).
- Cristini, P.; Komatitsch, D. Some illustrative examples of the use of a spectral-element method in ocean acoustics. J. Acoust. Soc. Am. 2012, 131, EL229–EL235. [Google Scholar] [CrossRef] [PubMed]
- Komatitsch, D.; Tromp, J. Spectral-element simulations of global seismic wave propagation—I. Validation. Geophys. J. Int. 2002, 149, 390–412. [Google Scholar] [CrossRef]
- Tongkui, W.; Ruihua, L.; Xiaofan, L.; Meigen, Z.; Guihua, L. Numerical spectra-l element modeling for seismic wave propagation in transversely isotropic medium. Prog. Geophys. 2007, 22, 778–784. [Google Scholar]
- Komatitsch, D.; Tromp, J.; Shi, L.; Zhou, Y.; Wang, J.; Zhuang, M.; Liu, N.; Liu, H. Spectral element method for elastic and acoustic waves in frequency domain. J. Comput. Phys. 2016, 327, 19–38. [Google Scholar] [CrossRef]
- Shi, L.; Zhuang, M.; Zhou, Y.; Liu, N.; Liu, Q. Domain decomposition based on the spectral element method for frequency-domain computational elastodynamics. Sci. China Earth Sci. 2021, 64, 388–403. [Google Scholar] [CrossRef]
- Berenger, J.P. A perfectly matched layer for the absorption of electromagnetic waves. J. Comput. Phys. 1994, 114, 185–200. [Google Scholar] [CrossRef]
- Chew, W.C.; Weedon, W.H. A 3D perfectly matched layer for the absorption of electromagnetic waves. Microw. Opt. Technol. Lett. 1994, 7, 599–604. [Google Scholar] [CrossRef]
- Lu, Y.Y.; Zhu, J. Perfectly matched layer for acoustic waveguide modeling — benchmark calculations and perturbation analysis. Comput. Model. Eng. Sci. 2007, 22, 235–248. [Google Scholar] [CrossRef]
- Singer, I.; Turkel, E. A perfectly matched layer for the Helmholtz equation in a semi-infinite strip. J. Comput. Phys. 2004, 201, 439–465. [Google Scholar] [CrossRef]
- Rabinovich1, D.; Givoli1, D.; Bécache, E. Comparison of high-order absorbing boundary conditions and perfectly matched layers in the frequency domain. Int. J. Numer. Methods Biomed. Eng. 2010, 26, 1351–1369. [Google Scholar] [CrossRef]
- He, T.; Mo, S.; Guo, W.; Fang, E. Modeling propagation in shallow water with the range-dependent sea surfaces and fluid seabeds using the equivalent source method. J. Acoust. Soc. Am. 2021, 149, 997–1011. [Google Scholar] [CrossRef] [PubMed]









| Numerical Models | ||
|---|---|---|
| KRAKEN | SEM | |
| Mode 1 | 0.204740419983864 | 0.204740427046646 |
| Mode 2 | 0.197111427783966 | 0.197111422377371 |
| Mode 3 | 0.184192657470703 | 0.184192655388577 |
| Mode 4 | 0.164389356970787 | 0.164389353828404 |
| Mode 5 | 0.134700521826744 | 0.134700528071927 |
| Mode 6 | 0.085378035902977 | 0.085378039545094 |
Disclaimer/Publisher’s Note: The statements, opinions and data contained in all publications are solely those of the individual author(s) and contributor(s) and not of MDPI and/or the editor(s). MDPI and/or the editor(s) disclaim responsibility for any injury to people or property resulting from any ideas, methods, instructions or products referred to in the content. |
© 2024 by the authors. Licensee MDPI, Basel, Switzerland. This article is an open access article distributed under the terms and conditions of the Creative Commons Attribution (CC BY) license (https://creativecommons.org/licenses/by/4.0/).
Share and Cite
Zhang, Y.; Tu, H.; Wang, Y.; Xu, G.; Gao, D. A Normal Mode Model Based on the Spectral Element Method for Simulating Horizontally Layered Acoustic Waveguides. J. Mar. Sci. Eng. 2024, 12, 1499. https://doi.org/10.3390/jmse12091499
Zhang Y, Tu H, Wang Y, Xu G, Gao D. A Normal Mode Model Based on the Spectral Element Method for Simulating Horizontally Layered Acoustic Waveguides. Journal of Marine Science and Engineering. 2024; 12(9):1499. https://doi.org/10.3390/jmse12091499
Chicago/Turabian StyleZhang, Yinuo, Houwang Tu, Yongxian Wang, Guojun Xu, and Dongbao Gao. 2024. "A Normal Mode Model Based on the Spectral Element Method for Simulating Horizontally Layered Acoustic Waveguides" Journal of Marine Science and Engineering 12, no. 9: 1499. https://doi.org/10.3390/jmse12091499
APA StyleZhang, Y., Tu, H., Wang, Y., Xu, G., & Gao, D. (2024). A Normal Mode Model Based on the Spectral Element Method for Simulating Horizontally Layered Acoustic Waveguides. Journal of Marine Science and Engineering, 12(9), 1499. https://doi.org/10.3390/jmse12091499

