Abstract
Some very useful methods for suppressing the flow-induced vibration (FIV) of a single cylinder are known to potentially have a limited efficiency for tandem-arrangement cylinders. In this paper, three splitter plates uniformly attached around a cylinder with an angle of 120° are proposed to suppress the FIVs of both a single cylinder and two tandem-arrangement cylinders in a wind tunnel at Re = 4000–45,200. The splitter plates’ length to diameter ratios, L/Ds (where L is the length of the splitter plate and D is the cylinder diameter), are set from 0.1 to 0.8. The results show that the proposed method not only effectively suppresses the vortex-induced vibration (VIV) for a single cylinder, but also successfully mitigates the wake-induced galloping (WIG) for two tandem-arrangement cylinders. The vibrations of the single cylinders are effectively suppressed, consistently achieving suppression efficiencies over 95% for L/Ds = 0.2–0.8, with a notable peak efficiency of 98.4% at L/D = 0.2. For the two tandem-arrangement cylinders at S/D = 4.0 (where S is the center-to-center spacing between the two cylinders), the suppression efficiencies of the upstream cylinder exceed 96% for L/D = 0.2–0.8, with an optimal efficiency of 97.4% at L/D = 0.6. The downstream cylinder exhibits vibration only at L/Ds = 0.1, 0.2, and 0.4, resulting in suppression efficiencies of 80.3%, 67.1%, and 91.0%. The vibrations remain fully suppressed throughout the entire reduced velocity range for L/Ds = 0.6–0.8, reaching an optimal efficiency of 98.7% at L/D = 0.6. Three regimes of fs/fn characteristics can be classified for the single cylinder, and the wake structures show that shear layers develop along the front plate before attaching on the cylinder and are then offset to either side of the cylinder by the two rear splitter plates, contributing to the absence of periodic vortex shedding.
1. Introduction
In various engineering scenarios involving circular cylinder structures, such as risers, heat exchangers, bridge cables, etc., flow-induced vibration (FIV) remains a prevalent concern. Over the past few decades, investigations into the vortex-induced vibration (VIV) responses of single cylinders, as the fundamental cylindrical system configuration, have been extensively conducted, yielding notable progress. Detailed overviews on this subject are accessible in the publications of Blevins [1], Sarpkaya [2], Williamson et al. [3], and Wang et al. [4].
In contrast to the relatively limited amplitude response observed in VIV with the lock-in phenomenon, the interaction between two cylinders in a tandem arrangement may lead to more intricate FIV responses, such as the wake-induced vibration (WIV) [5,6] or wake-induced galloping (WIG) [7,8] of downstream cylinders, with violent vibrations due to unsteady vortex–structure interactions. Sustained severe vibrations may pose hazards to these cylindrical structures, such as collision, fatigue damage, etc., affecting the safety and service life of these structures [9]. Therefore, studying FIV suppression methods for multiple cylinders has an important practical significance. In recent years, many methods have been proposed to suppress the FIVs of single and tandem-arrangement cylinders. Therefore, here, we first present the existing research on suppression methods for single cylinders, then, those for two tandem-arrangement cylinders, and finally, we introduce the motivation behind the present method.
1.1. Suppression for Single Cylinders
VIV is known to occur due to the vortex shedding frequency from a structure synchronizing with its natural frequency. Hence, attempting to disrupt the vortex shedding from single cylinders becomes a significant solution for suppressing VIV. Generally, suppression methods can mainly be divided into active control and passive control based on whether external energy intake is required. Though active control methods have shown a good, effective suppression of vibrations [10,11,12], passive control methods do not require external energy and are easily installed, which make them favored by many researchers [13,14,15]. Passive control methods can be classified into three distinct categories: surface protrusions (helical strakes and surface bumps), shrouds, and near-wake stabilizers (fairings and splitter plates) [16].
Among these methods, splitter plates are able to suppress the interactions of shear layers efficiently and are simple in structure, thus attracting extensive attention. As early as 1954, Roshko [17] used this method to stabilize the layer shedding from a stationary bluff body. Following that, numerous researchers, including Apelt et al. [18], Adachi et al. [19], Gu et al. [20], and Bao et al. [21], conducted extensive investigations into this method to manipulate vortex shedding. The results revealed that the drag force can be significantly decreased and that vortex shedding can be simultaneously remarkably inhibited once the plate lengths are within an appropriate range.
Due to its good performance, this method was applied by Stappenbelt [22] to control VIVs. In their experiments, splitter plates were attached to the rear of elastically mounted cylinders with a length ratio (L/D) ranging from 0.0 to 4.0 (where L is the length of the splitter plate and D is the cylinder diameter). However, the results indicated that a galloping response was shown for 0.34 ≤ L/D < 2.8 and that VIV or galloping could only be suppressed by the splitter plates when L/D ≥ 2.8. Subsequently, Assi et al. demonstrated a low-frequency galloping response at L/D = 0.5 and 1.0 in a water tunnel [23]. Other investigators, for example, Liang et al. [24] and Sahu et al. [25], have also conducted studies on this topic using wind tunnel experiments and numerical methods, respectively. According to the characteristics of the dynamic responses, their research found that both VIVs and galloping responses still occurred.
In order to reduce or eliminate the unwanted galloping response with violent vibration, cylinders attached with front splitter plates were numerically investigated by Zhu et al. [26]. Due to the existence of an individual front splitter plate, the VIV was weakened due to the delayed vortex shedding compared with a plain cylinder. Additionally, the aforementioned galloping response could be eliminated when both the front and rear plates were simultaneously attached. These findings are consistent with the results from Sun et al. [27], who showed that the mitigation of VIV can be enhanced by front and rear plates for L/Ds = 0.2–3.2. Furthermore, the complete suppression of VIVs can be observed when L/D ≥ 3.2. Inspired by the free-to-rotate double splitter plates used by Assi et al. [28], the double-tail splitter plates fixedly attached on the rear of the cylinders were systematically investigated by Sun et al. [29] and Hu et al. [30] for their suppression of VIV in water and wind tunnels, respectively. The results indicated that increases in the values of L/D and θ (angles between splitter plates) lead to easier vibration suppression. This suggests that the method demonstrated an excellent performance in systems with both high and low mass ratios. In addition to the aforementioned methods, Guan et al. [31] also investigated detached dual splitter plates for mitigating VIV by comparison with a single plate. More detailed information on recent studies on controlling VIVs using splitter plates can be observed in the article by Zhao [32].
1.2. Suppression for Cylinders in a Tandem Arrangement
On account of the more significant and intricate FIV responses, including WIV or WIG, for two cylinders in a tandem arrangement, an increasing number of researchers are focusing on suppressing these phenomena. However, the number of studies is still relatively less than the tremendous amount of works on VIV suppression for single cylinders. Among these methods, helical strakes have been investigated by many studies for their good flow direction adaptability, such as those by Korkischko et al. [33], Assi et al. [34], Xu et al. [35], and Sukarnoor et al. [36]. However, results have shown that the effectiveness of downstream cylinders equipped with helical strakes is significantly reduced when they are immersed in the wake of fixed upstream ones, compared with that for single cylinders. In addition to two tandem flexible cylinders at S/D = 8.0, the effectiveness of a downstream structure with helical strakes was also reduced, and the vibration amplitude could even be increased via the use of this method under certain conditions [35]. The above findings suggest that helical strakes may have limited efficiency in suppressing WIG for tandem-arrangement cylinders.
Therefore, other studies have attempted to take advantage of splitter plates to suppress the vibrations of tandem-arrangement cylinders. For example, Assi et al. [34] observed that a single free-to-rotate splitter plate is no longer able to achieve a stable angle to suppress WIV. However, they demonstrated that plates configured in parallel could effectively suppress both VIV and WIV. According to the high efficiency of double-tail splitter plates in suppressing a single cylinder, Hu et al. [30] continued to investigate a downstream cylinder with the device behind one fixed upstream. The results showed that this method had a better applicability and that all of the downstream cylinders presented a fully suppressed regime, except for the cases of L/D = 0.4 at θ = 0° and L/D = 1.5 at θ = 90°. Recently, the FIVs of two tandem elastically mounted circular cylinders attached with flexible splitter plates were numerically studied by Yasser et al. [37] The vibration characteristics were found to be significantly influenced by the non-dimensional flexural rigidity of the plate (Ks). For Ks ≥ 0.25, both the upstream and downstream cylinders exhibited galloping responses, whereas their vibrations were suppressed for 0.04 ≤ Ks ≤ 0.1. As with the results from the above literature, splitter plates may have the potential to suppress WIG.
1.3. Present Method
As can be seen from the above discussion, some methods used to suppress the VIV of a single cylinder may have a limited efficiency for the WIG of tandem-arrangement cylinders. Therefore, exploring new methods that not only have functions in suppressing the VIV for a single cylinder, but also work successfully on the WIG for two tandem elastically mounted circular cylinders becomes necessary. Combining the advantages of the single front splitter plate used by Zhu et al. [26] and the double-tail splitter plates used by Hu et al. [30], this paper proposes a method of three splitter plates evenly attached around a cylinder (with an angle of 120° between each plate, as shown in Figure 1) to suppress the VIV and WIG simultaneously. The influence of the L/Ds of the three splitter plates on the characteristics of the FIV response combined with the suppression efficiency and underlying mechanism of the suppression of the cylinders are significant issues to be clarified.
Figure 1.
Experimental set-up for single cylinders with three splitter plates: (a) top view and (b) side view.
This paper is organized as follows: the experimental details are illustrated in Section 2. The preliminary vibration results for a single plain cylinder and two tandem elastically mounted circular cylinders are given in Section 3. Section 4 presents the results and discussions for the cylinders with the three splitter plates attached. The conclusions of this work are summarized in Section 5.
2. Details of the Experimental Procedure
Experiments studying FIVs involving a single and two tandem-arrangement elastically mounted cylinders evenly with three splitter plates attached were conducted in a low-speed wind tunnel. The test section spanned 2.0 m in length and featured a cross-section of 0.6 m × 0.6 m. Further equipment details can be found in previous works by Hu et al. [8,30]. The nomenclature used in the present study is listed in Table 1 for convenience.
Table 1.
Nomenclature used in the present study.
Structural installation and schematic diagrams of the models are illustrated in Figure 1 and Figure 2, respectively. The models can be observed to horizontally exhibit elastic alignment with the sidewalls of the test section. Four coil springs were symmetrically mounted at each side of the cylinder to allow them to vibrate in cross-flow directions. Similar set-ups were also utilized by Hu et al. [8,30] and Liang et al. [24,38]. The circular cylinders were made by hollow plexiglass tubes to keep a low mass, rigidity, and a superb smoothness. They had a diameter (D) of 50 mm, a thickness of 2 mm, and a length of 530 mm, giving a length-to-diameter ratio of 10.6. Five characteristic non-dimensional lengths of the splitter plates, L/D = 0.1, 0.2, 0.4, 0.6, and 0.8, were chosen for the current study. The three splitter plates, made of aluminum alloy and with a thickness of 0.4 mm, were evenly attached to the cylinders at intervals of 120°. With flow velocities in the region from 1.21 m/s to 13.43 m/s, the corresponding Re roughly varied from 4000 to 45,200. It should be noted that the S/D for tandem-arrangement cylinders was set to be 4.0. In this situation, a fully developed vortex street can always be formed in the gap. Furthermore, according to Hu et al. [8], it can give a representative WIG response which is qualitatively consistent with other separations (S/D = 2.0–6.0).
Figure 2.
Experimental arrangement for tandem arrangement cylinders: (a) top view and (b) side view.
The mass of the plain cylinders was 449.1 g, yielding a corresponding mass ratio (m*) of 359.8. The significant structural parameters in terms of ζ and fn of the mode were estimated through a series of free decay experiments in still air (see Figure 3). The damping ratio was 0.078%, resulting in a mass–damping ratio (m*ξ) of 0.28. Another significant structural parameter, the natural frequency (fn) of the model, was 9.05 Hz, determined through a Fast Fourier Transform (FFT) analysis of displacements during the free decay experiments. To minimize the influence of mass on the vibration results, counterweights were added to both the plain cylinder and the cylinders with splitter plates, ensuring uniform mass levels for all models. The main parameters of the experimental models are summarized in Table 2.
Figure 3.
(a) Free decay curve of displacement signal and (b) frequency domain information.
Table 2.
Structural parameters of the models.
The displacement data y of the plain cylinders and those with the three splitter plates were measured using a laser sensor (IL-300, Keyence, Osaka, Japan) in stable vibration states. The FFT method was used to determine the oscillation frequencies from the measured displacement data y. The vortex shedding frequencies were also obtained by measuring the streamwise fluctuating velocities u′ using a hot wire probe (HW, Dantec 55p11, Dantec Dynamics A/S, Copenhagen, Denmark). The HW was positioned behind the cylinder at horizontal and vertical distances of 4D and 1D, respectively, as shown in Figure 1. The sampling rate was set to 1024 Hz, sufficient for capturing data fluctuations. Notably, the dimensionless harmonic amplitude A/D was calculated by multiplying the root-mean-square value of the stable displacement signal y.
An investigation of flow characteristics is crucial for a comprehensive understanding of the fluid–structure interaction mechanism. Therefore, flow visualization experiments were conducted in a water tunnel to reveal the characteristics of the flow characteristics when the cylinders were suppressed by the three splitter plates. Hollow glass spheres (trace particles) with a diameter of 10 μm were employed as the seeding material for flow-tracing purposes. The flow was lightened using a laser (MGL-W-532 nm/8 W, Changchun new industry photoelectric technology Co., Ltd., Changchun, China), while particle images were captured using a high-speed camera (Revealer, M220, Hefei Zhongke Junda Vision Technology Co., Ltd., Hefei, China).
The flow images were captured at well-chosen flow velocities, with a total of 2000 images obtained for each velocity. Image processing involved the use of an interrogation window measuring 64 × 64 pixels, with a 50% overlap in both directions. The water tunnel utilized a cylinder with a diameter of 25 mm, while the range of studied flow velocities was approximately 0.06–0.30 m/s, corresponding to an Re ranging from 1500 to 7500.
3. Experimental Method Validation
Preliminary experiments were conducted on plain cylinders, including single and two tandem-arranged cylinders, to validate the experimental methodology and provide a reference for discussing the suppression efficiency. The vibration experimental results obtained in this study, along with relevant findings from prior studies, are summarized separately in Figure 4.
Figure 4.
Comparison of vibration amplitude response for (a) a single cylinder and (b) two elastically mounted tandem-arranged cylinders at S/D = 4.0; Hu et al. 2020a—[8]; Liang et al. 2018—[24]; Feng 1968—[39]; Hu et al. 2020b—[40].
The plain model exhibited a representative VIV characteristic: an initial branch and a lower branch, as shown in Figure 4a. This observation is consistent with the findings of previous researchers, regarding large m*ζ values. In the initial branch, the vibration gradually increased until it reaches a peak amplitude of A/D = 0.46 when Ur = 6.14; then, it decreased almost to zero when Ur ≈ 9.12, indicating a lock-in region from 4.64 to 9.61. The results of the two elastically mounted tandem-arranged cylinders at S/D = 4.0 are presented in Figure 4b. From the curve, the obtained results are evidently in good agreement with those reported from Hu et al. [40]. Both studies demonstrate a distinct response characterized by a separated VR and WIG for the downstream cylinder and VIV for the upstream cylinder.
4. Results and Discussion
The dynamic responses of a single and two tandem-arrangement cylinders with three splitter plates attached were systematically investigated, and a comprehensive analysis was conducted to investigate the influence of the non-dimensional splitter plate length (L/D) on the dynamic response, consisting of A/D, fo, fs, and flow structures.
4.1. Dynamic Characteristics of Single Cylinders with Three Splitter Plates
4.1.1. Vibration Amplitude and Suppression Efficiency
In Figure 5, the variations in A/D and the suppression efficiency η with the changes in L/D (from 0.1 to 0.8) are illustrated for the single cylinder with three splitter plates attached, alongside the results for the plain cylinder. The suppression efficiency η is defined as (A/Dmax,plain − A/Dmax,tsp)/(A/Dmax,plain), where A/Dmax,plain is the maximum amplitude response of the plain cylinders and A/Dmax,tsp is the maximum for the cylinders with the three splitter plates attached.
Figure 5.
Amplitude for individual circulars cylinder suppressed by three splitter plates and their corresponding suppression efficiencies.
The vibration amplitudes exhibit a remarkable reduction with the three splitter plates attached in Figure 5. Even for the smallest non-dimensional splitter plate length (L/D = 0.1), the maximum A/D is only equal 0.08 at Ur = 7.6, with an impressive suppression efficiency of 81.7%. In this scenario, although the vibration amplitude is small, it exhibits similar characteristics to the VIV response shown in single plain cylinders. Specifically, the vibration responses present a resonance response in the lock-in range of 6.1 ≤ Ur ≤ 8.6. Furthermore, the cylinders exhibit nearly no vibrations and consistently remain in a suppressed state, with suppression efficiencies that generally exceed 95% throughout the range of reduced velocity investigated when the L/Ds = 0.2–0.8. Additionally, the optimal suppression efficiency is 98.4% at L/D = 0.2. This indicates that the three splitter plates can effectively suppress the VIV of the single cylinder, even though the splitter plate length is very small.
The effective suppression of the VIV response may be attributed to two factors: Firstly, as indicated by previous investigations of a free-to-rotate splitter plate by Assi et al. [28] and double-tail splitter plates by Sun et al. [29] and Hu et al. [30], the relationship between L/D and θ/2 suggests that the larger the angle, the shorter the splitter plate when VIV is fully suppressed. The dashed line in Figure 6 represents the hypothesized correlation between L/D and θ by Assi et al. [28], indicating the effective suppression of vibrations. According to the assumed dashed line, L/D nearly equals 0.1 when θ = 120°, which is evidently consistent with the present experimental result (red square). Secondly, attaching a splitter plate to the front of a cylinder enhances the suppression effect. The research conducted by Zhu et al. [26] and Sun et al. [27] indicates that the presence of a splitter plate at the leading edge of the cylinder effectively delays vortex shedding and that the flow wake is narrowed as compared with a plain cylinder. It further attenuates vortex shedding when combined with the rear splitter plate, resulting in a substantial reduction in model vibrations.
Figure 6.
Relationship between L/D and θ when the VIV is excellently suppressed; Assi et al.—[28]; Hu et al.—[30].
In summary, a single cylinder with three splitter plates can achieve excellent suppression effects even when the L/D is very small. This enhances the applicability of this method in practical engineering applications.
4.1.2. Characteristics of Vortex Shedding
In order to gain further insights into the characteristics of the vibration amplitude response discussed in the preceding section, the non-dimensional vortex shedding frequencies fs/fn for various L/Ds were discussed. For clarity, three L/Ds, 0.1, 0.2, and 0.8, are illustrated, respectively, in Figure 7. The left side of the graph displays a transition from blue to red, which indicates the prominent peaks of the normalized power spectral density (PSD) for the vortex shedding frequency. A more intense shade of red signifies a higher PSD peak. Additionally, offset stack diagrams of the specifically corresponding variations in fs/fn in PSD at each Ur are shown alongside the vibration characteristics.

Figure 7.
Vibration amplitudes and the corresponding normalized PSD of vortex shedding frequency for (a) L/D = 0.1; (b) L/D = 0.2; and (c) L/D = 0.8.
In Figure 7a (L/D = 0.1), it can be observed that the dominant value of fs/fn is equal to 1 within the range of 6.1 < Ur < 8.6, indicating a primary feature of lock-in phenomenon. Furthermore, A/D presents a local peak, while, beyond the range, fs/fn linearly changes along the St ≈ 0.18 line, with an increasingly reduced velocity and nearly no vibration, just like a stationary cylinder. Additionally, at Ur = 8.6, two distinct peaks in the cloud and offset stack diagram of fs/fn can be observed: one corresponding to the natural frequency (fn) and another aligned with the St ≈ 0.18 line. This can be attributed to the weak vibration in a period of transition from the VIV (lock-in) to no vibration (non-lock-in) response.
The variations in fs/fn as a function of Ur at L/D = 0.2 are presented in Figure 7b. It is distinct that fs/fn always linearly follows the St ≈ 0.18 line without the lock-in phenomenon for all examined Ur. At this time, the vibration of the cylinder is significantly attenuated, indicating that the three splitter plates possess sufficient lengths to effectively alter the vortex shedding to detune fs from fn. As the L/D increases to 0.8 (Figure 7c), throughout the entire range of reduced velocities, fs/fn does not exhibit dominant frequencies with irregular responses. The lock-in phenomenon does not occur and there is no linear relationship between fs/fn and Ur. Compared with the results for L/D = 0.2 in Figure 7b, despite being in the same suppressed state, fs/fn evidently presents two different characteristics. One displays a linear relationship with Ur and a branch following the St line (L/D = 0.2), while the other fails to capture dominant peaks, with a very irregular broad-frequency spectrum (L/D = 0.8, Figure 7c). Different responses of fs/fn represent different vortex shedding modes. When the L/D is relatively short, although vortex shedding still occurs in the wake, the shedding frequency is not locked-in to the natural frequency due to the effect of the splitter plates. Therefore, resonance does not occur, and the vibration of the cylinder is suppressed. However, when the L/D is relatively long, the interaction between the shear layers is weakened and the periodic vortex shedding nearly disappears. As a result, the vibrations in the cylinder are also suppressed.
The flow characteristics in Figure 8 were shown at Re = 1917, Ur = 4.6, and Re = 4217, Ur = 10.2 in order to understand the vibration characteristics of the single cylinders and the models attached with the three splitter plates. Two representative configurations of the splitter plates, L/D = 0.1 and 0.8, are selected to be shown, including the results of the plain cylinder as a reference. As can be seen in Figure 8 (plain cylinder), a regular Karman vortex street with typical “2S” vortex shedding pattern (Figure 8a) and a “2P” vortex shedding pattern (Figure 8b) are obviously shown behind the cylinders when the cylinder is in the initial and lower branches, respectively. This is consistent with the previous results. However, in Figure 8c,d, the shear layers are offset to either side of the cylinder by the two rear splitter plates and the interaction between them is weakened. However, periodic vortex shedding, though not too obvious, still can be shown downstream, because the L/D is too short to have enough influence on the cylinders. As a result, the cylinders present a VIV response with fs ≈ fn in Figure 5a and Figure 7a, with lower amplitudes and a narrower lock-in region. When the L/D increases to 0.8 in Figure 8e,f, the longest length in the present study, the shear layers clearly develop along the front plate before attaching onto the cylinder and are then offset to either side of the cylinder by the two rear splitter plates. The wake is very wide, and the periodic vortex shedding is approximately invisible, which is consistent with the irregular broad-frequency spectrum of fs/fn in Figure 7c.
Figure 8.
Instantaneous vorticity contours of single and the cylinders attached with three splitter plates: (a) plain cylinder at Re = 1917, Ur = 4.6; (b) plain cylinder at Re = 4217, Ur = 10.2; (c) L/D = 0.1 at Re = 1917, Ur = 4.6; (d) L/D = 0.1 at Re = 4217, Ur = 10.2; (e) L/D =0.8 at Re = 1917, Ur = 4.6; and (f) L/D = 0.8 at Re = 4217, Ur = 10.2 in the water tunnel.
In summary, variations in fs/fn with different L/D configurations are strongly linked to dynamic responses, as discussed above. Based on the salient characteristics of fs/fn, as elucidated in this section, three distinct flow regimes can be comprehensively categorized with the change in L/D: (I) the vortex-induced vibration vortex shedding pattern (VIV–VSP), wherein the cylinder exhibits a VIV response characterized by an fs predominantly equal to fn within the lock-in region, and, once beyond the region, it linearly changes along the St line; (II) suppressed vortex shedding pattern I (Suppressed-VSP-I), marked by a suppression of vibrations accompanied by a discernible increase or approximate adherence to an St line in fs/fn across the entire investigated Ur range; and (III) suppressed vortex shedding pattern II (Suppressed-VSP-II), distinguished by the absence of vibrations and a nearly undetectable prevalence of frequencies, featuring irregular fluctuations in the fs/fn responses.
4.1.3. Characteristics of Oscillation Frequency
The oscillation frequencies of the cylinders with the three splitter plates were discussed. The oscillation frequencies at L/D = 0.1 are chosen to represent the occurrence of a VIV response in this configuration.
The oscillation frequencies are estimated using the FFT method based on measured displacement signals, similar to the plain cylinder. In Figure 9, all data from the present study evidently collapse over the fo/fn ≈ 1 line when the A/D is approximately bigger than a certain value, while no dominant frequency can be detected when the vibration is very weak. In conjunction with the value of fs/fn depicted in Figure 7a, it demonstrates that fo ≈ fs ≈ fn within the lock-in region. To clearly illustrate the characteristics of fo in and outside the lock-in region, three representative cases, Ur = 5.12 (outside the lock-in region), Ur = 7.62 (in the lock-in region), and Ur = 8.61 (in the lock-in region) are presented, respectively. In Figure 9, 10 s time histories when the vibrations displacements are in stable situations are shown in the upper row and their corresponding oscillation frequencies are in the lower row. As can be observed from Figure 9, the dominant value of fo is 8.98 Hz, which is very close to the corresponding natural frequency fn (see Table 2) at Ur = 7.62 and 8.61. No dominant frequency can be detected at Ur = 5.12 when the vibration is very weak.
Figure 9.
Dominant oscillation frequencies at L/D = 0.1 with the results of the representative Ur = 5.12, Ur = 7.62, and Ur = 8.61.
4.2. Dynamics Response of Two Elastically Mounted Cylinders in Tandem-Arrangement Attached with Three Splitter Plates
The vibration responses of two elastically mounted plain cylinders in a tandem arrangement are known to be more complicated and violent compared with those of single cylinders. Based on the experimental results in Figure 4b, when both cylinders are elastically supported in a tandem configuration at S/D = 4.0, the upstream cylinder exhibits a VIV response similar to that of a plain single cylinder. The results in Section 4.1 demonstrated that the three splitter plates were effective in suppressing VIV. Hence, it is intriguing to ascertain whether the method is effective in suppressing the vibrations of the two elastically mounted cylinders in a tandem arrangement if both have the three splitter plates attached. The objective of this section is to examine these pertinent issues. It should be noted that the S/D is specially selected to be 4.0, as a fully developed vortex street can be formed in the gap in this spacing ratio.
4.2.1. Vibration Amplitude Response and Suppression Efficiency
The variations in A/D with Ur and L/D for both upstream and downstream cylinders in a tandem arrangement with splitter plates attached are shown in Figure 10a,b. As can be seen in Figure 10a, the vibration amplitude response of the upstream cylinder resembles that of the single cylinder with splitter plates attached that is depicted in Figure 5. Namely, a VIV response, vibrating in a limited region, can be found when L/D = 0.1, while the vibrations are suppressed for other conditions. A suppression efficiency of 79.3% can be achieved at L/D = 0.1. For an L/D ranging from 0.2 to 0.8, the suppression efficiency generally exceeds 96%, with an impressive optimal suppression efficiency reaching as high as 97.4% at L/D = 0.6.
Figure 10.
Vibration amplitude responses and suppression efficiencies of the two tandem cylinders with three splitter plates: (a) upstream cylinder and (b) downstream cylinder.
In Figure 10b, within the range of L/Ds = 0.1–0.4, the VR responses of the downstream cylinders decrease, though they still exhibit a limited range when Ur is small (the maximum amplitude A/D = 0.35 at Ur = 7.14, L/D = 0.2). However, it is evident that the intensity of the WIG responses for the downstream cylinders with the three splitter plates attached are significantly weakened compared with the plain one when Ur exceeds a certain value. The corresponding suppression efficiencies are 80.3%, 67.1%, and 91.0%, respectively. For L/Ds = 0.6–0.8, nearly no vibrations occur throughout the entire range of Ur, implying that the models are fully in a suppressed state. Furthermore, the suppression efficiencies consistently remain above 96%, with the optimal suppression efficiency reaching 98.7% at L/D = 0.6.
In conclusion, on the basis of the response characteristics for both upstream and downstream cylinders using the three splitter plates, the proposed method can effectively suppress not only VIV in single cylinders, but also WIG in tandem-arrangement elastically mounted cylinders. The subsequent section will provide further elucidation of the vibration characteristics of both the upstream and downstream cylinders with the three splitter plates attached, focusing on the shedding frequency response.
4.2.2. Characteristics of Vortex Shedding Frequency
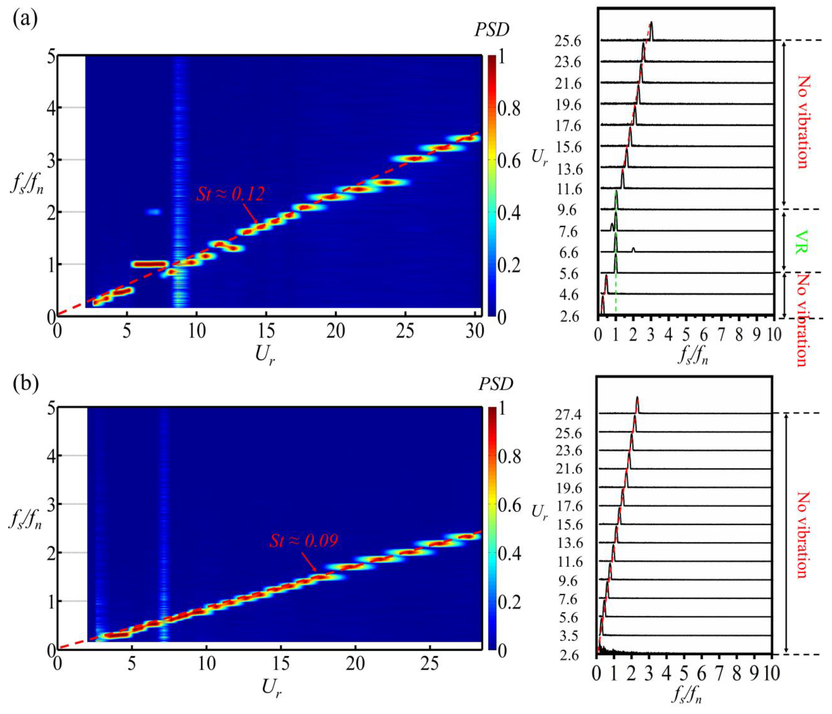
According to the feature of the vibration responses depicted in Figure 10b, two splitter plate lengths are selected to discuss the characteristics of fs/fn behind the downstream cylinder. One is L/D = 0.2, wherein the downstream cylinder exhibits a limited vibration response, and the other is L/D = 0.6, when the downstream cylinder experiences a suppressed state with very weak vibrations. The shedding frequency response characteristics of these two representative conditions are analyzed to further explain the features observed in the vibration amplitude response.
Figure 11a presents the characteristics of the non-dimensional shedding frequency fs/fn for the case of L/D = 0.2. As can be observed in Figure 11a, fs is significantly locked to fn in the region of 5.1 < Ur < 7.1. Therefore, the downstream cylinder exhibits a VR response with a noticeable vibration because of the occurrence of the lock-in phenomenon. Beyond this range, fs/fn approximately follows the trend along St ≈ 0.12, with the increasing reduced velocity and the vibration of the downstream cylinder being very weak, resembling a fixed cylinder. The variation in fs/fn when the WIG of the downstream cylinder is suppressed with a minute vibration at L/D = 0.6 is shown in Figure 11b. It is evident that, throughout the entire range of Ur, fs/fn approximately follows the trend along St ≈ 0.09, showing no clear indications of lock-in. This behavior is similar to the shedding frequency characteristics of a fixed cylinder. However, the change in fs/fn versus Ur for the downstream cylinders in a tandem arrangement, presenting a suppressed regime (St ≈ 0.12 at L/D = 0.2 and St ≈ 0.09 at L/D = 0.6), is far less than that of the single plain cylinder (St ≈ 0.2) or that with the three splitter plates attached (St ≈ 0.18). Unlike the single cylinder, the downstream cylinder experiences the wake of the upstream one instead of a uniform flow. This means that the vortex shedding frequencies may be restrained away from the natural frequencies of the cylinders by the three splitter plates from the upstream and downstream cylinders themselves. As a result, the VR and WIG responses are suppressed with an increase in L/D.
Figure 11.
Characteristic of vortex shedding frequency at (a) L/D = 0.2 and (b) L/D = 0.6.
The oscillation frequency characteristics of the elastically mounted tandem cylinders with three splitter plates are similar to those of the single one in Section 4.1.3. For the sake of conciseness, detailed explanations are not provided here.
5. Conclusions
The FIVs of a single and two tandem-arrangement cylinders evenly attached with three splitter plates are experimentally investigated. The Reynolds numbers vary from 4000 to 45200 and the splitter plates length ratios, L/Ds, are set as 0.1, 0.2, 0.4, 0.6, and 0.8, respectively. The results are presented in the form of amplitude responses, vortex shedding frequencies fs, oscillation frequencies fo, and qualitative flow structures. The conclusions can be summarized as follows:
- (1)
- The proposed method of even attachment with three splitter plates not only effectively suppresses the VIV for the single cylinder, but also successfully mitigates the VR and WIG for the two elastically mounted tandem-arrangement cylinders.
- (2)
- For the single cylinders, the three splitter plates exhibit an excellent suppression of VIV. Even at L/D = 0.1, although the model still shows a VIV response, the suppression efficiency is remarkably as high as 81.7%. This enhances the applicability of this method in practical engineering applications. With increasing the L/D, the vibrations of the cylinders become extremely suppressed, consistently exceeding suppression efficiencies of 95% and obtaining an optimal efficiency of 98.4% at L/D = 0.2.
- (3)
- For the two elastically mounted tandem-arrangement cylinders at S/D = 4.0, the suppression efficiencies of the upstream cylinder with the three splitter plates attached reach 79.3% and generally exceed 96% for L/Ds = 0.2–0.8, with an optimal efficiency of 97.4% at L/D = 0.6. The downstream cylinders also show a significant reduction in vibration amplitudes. At L/Ds = 0.1, 0.2, and 0.4, the downstream cylinder exhibits only a VR response, resulting in suppression efficiencies of 80.3%, 67.1%, and 91.0%. For L/Ds = 0.6–0.8, the downstream cylinder remains suppressed throughout the entire reduced velocity range, with the suppression efficiencies exceeding 96%, reaching an optimal efficiency of 98.7% at L/D = 0.6.
- (4)
- Three regimes of fs/fn characteristics can be classified for the single cylinder: (I) the VIV vortex shedding pattern; (II) suppressed vortex shedding pattern I, where fs increases evidently with an St line in the whole examined region of Ur; and (III) suppressed vortex shedding pattern II, where nearly no predominant frequencies can be detected. The wake structures show that the shear layers develop along the front plate before attaching onto the cylinder and are then offset to either side of the cylinder by the two rear splitter plates, which contributes to the absence of periodic vortex shedding. However, the change in fs/fn versus Ur for the suppressed downstream cylinders in the tandem arrangement is far less than those of the single cylinders, meaning that the fs may be restrained away from the fn of the cylinders by the splitter plates of the upstream and downstream cylinders themselves.
In the future, we will further investigate the effectiveness of the vibration suppression method proposed in this article on structures with low mass ratios and flexible cylindrical structures.
Author Contributions
Methodology, Z.H., J.W. and Y.S.; Validation, Z.H., Y.S. and K.L.; Investigation, Z.H., J.W. and Y.S.; Writing—original draft, Z.H.; Writing—review & editing, J.W. and K.L.; Visualization, Y.S. and K.L.; Supervision, J.W.; Funding acquisition, Z.H. and J.W. All authors have read and agreed to the published version of the manuscript.
Funding
The authors are grateful to the financial supports from the National Natural Science Foundation of China (Grant No. 12172218), Key scientific research project of Henan Province (Grant No. 23A130002), Science and Technology Project of Henan Province (Grant No. 242102321169).
Institutional Review Board Statement
Not applicable.
Informed Consent Statement
Not applicable.
Data Availability Statement
The raw data supporting the conclusions of this article will be made available by the authors on request.
Conflicts of Interest
The authors declare no conflict of interest.
References
- Blevins, R.D. Flow-Induced Vibration, 2nd ed.; Van Nostrand, Reinhold: New York, NY, USA, 1990. [Google Scholar]
- Sarpkaya, T. A critical review of the intrinsic nature of vortex-induced vibrations. J. Fluids Struct. 2004, 19, 389–447. [Google Scholar] [CrossRef]
- Williamson, C.H.K.; Govardhan, R. Vortex-induced vibrations. Annu. Rev. Fluid Mech. 2004, 36, 413–455. [Google Scholar] [CrossRef]
- Wang, J.S.; Fan, D.X.; Lin, K. A review on flow-induced vibration of offshore circular cylinders. J. Hydrodyn. 2020, 32, 415–440. [Google Scholar] [CrossRef]
- Assi, G.R.S.; Bearman, P.W.; Meneghini, J.R. On the wake-induced vibration of tandem circular cylinders: The vortex interaction excitation mechanism. J. Fluid Mech. 2010, 661, 365–401. [Google Scholar] [CrossRef]
- Lin, K.; Wang, J.S.; Fan, D.X.; Triantafyllou, M.S. Flow-induced cross-flow vibrations of long flexible cylinder with an upstream wake interference. Phys. Fluids 2021, 33, 065104. [Google Scholar] [CrossRef]
- Bokaian, A.; Geoola, F. Wake-induced galloping of two interfering circular cylinders. J. Fluid Mech. 1984, 146, 383–415. [Google Scholar] [CrossRef]
- Hu, Z.M.; Wang, J.S.; Sun, Y.K. Flow-induced vibration of one-fixed-one-free tandem arrangement cylinders with different mass-damping ratio using wind tunnel experiment. J. Fluids Struct. 2020, 96, 103019. [Google Scholar] [CrossRef]
- Zou, X.; Xie, B.T.; Zang, Z.P.; Chen, E.B.; Hou, J. Vortex-induced vibration and fatigue damage assessment for a submarine pipeline on a sand wave seabed. J. Mar. Sci. Eng. 2023, 11, 2031. [Google Scholar] [CrossRef]
- Zhang, C.W. The active rotary inertia driver system for flutter vibration control of bridges and various promising applications. Sci. China Technol. Sci. 2023, 66, 390–405. [Google Scholar] [CrossRef]
- Song, J.X.; Du, J.J.; Yao, Y. Applying LQR to control cross vortex-induced vibration of cylinders based on wake oscillators. Ocean Eng. 2023, 286, 115631. [Google Scholar] [CrossRef]
- Zhang, S.; Liu, L.; Zhang, X.M.; Zhou, Y.K.; Yang, Q. Active vibration control for ship pipeline system based on PI-LQR state feedback. Ocean Eng. 2024, 310, 118559. [Google Scholar] [CrossRef]
- Hu, Z.Y.; Chen, J.Q.; Qu, S.; Wang, X.K. Numerical investigation of vortex-induced vibration of a circular cylinder with control rods and its multi-objective optimization. J. Mar. Sci. Eng. 2022, 10, 1659. [Google Scholar] [CrossRef]
- Xu, H.Y.; Wang, J.; Li, Z.Q.; Liu, K.H.; Yu, J.W.; Zhou, B. A study on the vortex induced vibration of a cylindrical structure with surface bulges. J. Mar. Sci. Eng. 2022, 10, 1785. [Google Scholar] [CrossRef]
- Zhao, H.W.; Lee, Y.W. Visualization and parametric study on vortex shedding suppression of cylindrical structures in offshore engineering using large eddy simulation. J. Mar. Sci. Eng. 2023, 11, 1090. [Google Scholar] [CrossRef]
- Zdravkovich, M.M. Review and classification of various aerodynamic and hydrodynamic means for suppressing vortex shedding. J. Wind Eng. Ind. Aerod. 1981, 7, 45–189. [Google Scholar] [CrossRef]
- Roshko, A. On the Development of Turbulent Wakes from Vortex Sheets; National Advisory Committee for Aeronautics: Washington, DC, USA, 1954; pp. 1–26. [Google Scholar]
- Apelt, C.J.; West, G.S.; Szewczyk, A.A. Effects of wake splitter plates on flow past a circular cylinder in range 104 < Re < 5 × 104. J. Fluid Mech. 1973, 61, 187–198. [Google Scholar]
- Adachi, T.; Cho, T.; Matsuuchi, K.; Kawai, T.; Maeda, H. The effect of a wake splitter plate on the flow around a circular cylinder. Trans. Jpn. Soc. Mech. 1990, 56, 2225–2232. [Google Scholar] [CrossRef]
- Gu, F.; Wang, J.S.; Qiao, X.Q.; Huang, Z. Pressure distribution, fluctuating forces and vortex shedding behavior of circular cylinder with rotatable splitter plates. J. Fluids Struct. 2012, 28, 263–278. [Google Scholar] [CrossRef]
- Bao, Y.; Tao, J. The passive control of wake flow behind a circular cylinder by parallel dual plates. J. Fluids Struct. 2013, 37, 201–219. [Google Scholar] [CrossRef]
- Stappenbelt, B. Splitter-plate wake stabilization and low aspect ratio cylinder flow-induced vibration mitigation. Int. J. Offshore Polar Eng. 2010, 20, 1053–5381. [Google Scholar]
- Assi, G.R.S.; Bearman, P.W.; Tognarelli, M.A. On the stability of a free-to-rotate short-tail fairing and a splitter plate as suppressors of vortex-induced vibration. Ocean Eng. 2014, 92, 234–244. [Google Scholar] [CrossRef]
- Liang, S.P.; Wang, J.S.; Hu, Z.M. VIV and galloping response of a circular cylinder with rigid detached splitter plates. Ocean Eng. 2018, 162, 176–186. [Google Scholar] [CrossRef]
- Sahu, T.R.; Furquan, M.; Jaiswal, Y.; Mittal, S. Flow-induced vibration of a circular cylinder with rigid splitter plate. J. Fluids Struct. 2019, 89, 244–256. [Google Scholar] [CrossRef]
- Zhu, H.J.; Li, G.M.; Wang, J.L. Flow-induced vibration of a circular cylinder with splitter plates placed upstream and downstream individually and simultaneously. Appl. Ocean Res. 2020, 97, 102084. [Google Scholar] [CrossRef]
- Sun, Y.K.; Wang, J.S.; Fan, D.X.; Zheng, H.X.; Hu, Z.M. The roles of rigid splitter plates in flow-induced vibration of a circular cylinder. Phys. Fluids 2022, 34, 114114. [Google Scholar] [CrossRef]
- Assi, G.R.S.; Bearman, P.W.; Kitney, N. Low drag solutions for suppressing vortex-induced vibration of circular cylinders. J. Fluids Struct. 2009, 25, 666–675. [Google Scholar] [CrossRef]
- Sun, Y.K.; Wang, J.S.; Hu, Z.M.; Zheng, H.X. Oscillation control and drag reduction for a low mass ratio cylinder with double splitter plates. Ocean Eng. 2022, 263, 112361. [Google Scholar] [CrossRef]
- Hu, Z.M.; Wang, J.S.; Sun, Y.K.; Zheng, H.X. Flow-induced vibration suppression for a single cylinder and one-fixed-one-free tandem cylinders with double tail splitter plates. J. Fluids Struct. 2021, 106, 103373. [Google Scholar] [CrossRef]
- Guan, G.; He, K.M.; Wang, P.P.; Xu, H.Y.; Liang, G.P.; Wang, Y.L.; Yang, Q. Study on the parameters of detached dual splitter plates and comparison with single plate for VIV suppression. Ocean Eng. 2023, 284, 115183. [Google Scholar] [CrossRef]
- Zhao, M. A review of recent studies on the control of vortex-induced vibration of circular cylinders. Ocean Eng. 2023, 285, 115389. [Google Scholar] [CrossRef]
- Korkischko, I.; Meneghini, J.R. Experimental investigation of flow-induced vibrationon isolated and tandem circular cylinders fitted with strakes. J. Fluids Struct. 2010, 26, 611–625. [Google Scholar] [CrossRef]
- Assi, G.R.S.; Bearman, P.W.; Kitney, N.; Tognarelli, M.A. Suppression of wake-induced vibration of tandem cylinders with free-to-rotate control plates. J. Fluids Struct. 2010, 26, 1045–1057. [Google Scholar] [CrossRef]
- Xu, W.; Yu, Y.; Wang, E.; Zhou, L. Flow-induced vibration (FIV) suppression of two tandem long flexible cylinders attached with helical strakes. Ocean Eng. 2018, 169, 49–69. [Google Scholar] [CrossRef]
- Sukarnoor, N.l.M.; Quen, L.K.; Abu, A.; Kuwano, N.; Hooi-Siang, K.; Desa, S.M. The effectiveness of helical strakes insuppressing vortex-induced vibration of tandem circular cylinders. Ain Shams Eng. J. 2022, 13, 101502. [Google Scholar] [CrossRef]
- Yasser, A.; Iman, Z. Effects of attached flexible splitter plates on flow-induced vibration of two tandem circular cylinders: Two-degree of freedoms study. Ocean Eng. 2024, 296, 116762. [Google Scholar]
- Liang, S.P.; Wang, J.S.; Xu, B.H.; Wu, W.B.; Lin, K. Vortex-induced vibration and structure instability for a circuar cylinder with fexible splitter plates. J. Wind Eng. Ind. Aerodyn. 2018, 174, 200–209. [Google Scholar] [CrossRef]
- Feng, C.C. The Measurement of Vortex Induced Effects in Flow Past Stationary and Oscillating Circular and D-Section Cylinders. Master’s Thesis, Department of Mechanical Engineering, The University of British Columbia, Vancouver, BC, Canada, 1968. [Google Scholar]
- Hu, Z.M.; Wang, J.S.; Sun, Y.K. Cross-flow vibrations of two identical elastically mounted cylinders in tandem arrangement using wind tunnel experiment. Ocean Eng. 2020, 209, 10750. [Google Scholar] [CrossRef]
Disclaimer/Publisher’s Note: The statements, opinions and data contained in all publications are solely those of the individual author(s) and contributor(s) and not of MDPI and/or the editor(s). MDPI and/or the editor(s) disclaim responsibility for any injury to people or property resulting from any ideas, methods, instructions or products referred to in the content. |
© 2024 by the authors. Licensee MDPI, Basel, Switzerland. This article is an open access article distributed under the terms and conditions of the Creative Commons Attribution (CC BY) license (https://creativecommons.org/licenses/by/4.0/).