Next Article in Journal
Analysis of Production Laws of Hydrate Reservoirs via Combined Heat Injection and Depressurization Based on Local Thermal Non-Equilibrium
Next Article in Special Issue
Unmanned Surface Vessel–Unmanned Aerial Vehicle Cooperative Path Following Based on a Predictive Line of Sight Guidance Law
Previous Article in Journal
Unsupervised Learning-Based Optical–Acoustic Fusion Interest Point Detector for AUV Near-Field Exploration of Hydrothermal Areas
Previous Article in Special Issue
Consensus Control of Heterogeneous Uncertain Multiple Autonomous Underwater Vehicle Recovery Systems in Scenarios of Implicit Reduced Visibility
 
 
Font Type:
Arial Georgia Verdana
Font Size:
Aa Aa Aa
Line Spacing:
Column Width:
Background:
Article

Concise Adaptive Fault-Tolerant Formation Scaling Control for Autonomous Vehicles with Bearing Measurements

School of Energy and Power Engineering, Nanjing University of Science and Technology, Nanjing 210094, China
*
Author to whom correspondence should be addressed.
J. Mar. Sci. Eng. 2024, 12(8), 1407; https://doi.org/10.3390/jmse12081407
Submission received: 10 July 2024 / Revised: 5 August 2024 / Accepted: 14 August 2024 / Published: 16 August 2024
(This article belongs to the Special Issue Optimal Maneuvering and Control of Ships—2nd Edition)

Abstract

In the bearing-based formation control of autonomous surface vehicles, the scaling maneuver capability is greatly limited when faced with actuator faults and uncertainties. Under these circumstances, to better realize the formation scaling maneuver, a concise adaptive fault-tolerant formation scaling control scheme is proposed for autonomous vehicles with bearing measurements. By means of dynamic surface control, parameter integration and the adaptive technique, the tedious derivative calculation of virtual control signals is avoided and the prescribed formation scaling maneuver is achieved without knowing specific information about the faults and models. It is shown that both yaw angle tracking errors and bearing errors are able, ultimately, to be made uniformly bounded using this scheme. Meanwhile, only one control parameter and one adaptive parameter need to be updated during the formation scaling process. Stability analysis and comparative results are provided to verify the validity of the developed scheme.

1. Introduction

The formation of autonomous surface vehicles is increasingly becoming an efficient surface operation manner, where multiple autonomous vehicles collaborate to complete tasks with specific formation configurations [1]. In formation control, safety and flexibility are two major considerations [2]. Safety means the vehicles are able to avoid collision and obstacles during the formation. Flexibility enables vehicles to adjust formation configurations according to varying tasks and environments. As one of the safe and flexible formation strategies, formation scaling control has been receiving more and more attention.
Formation scaling control of surface vehicles guarantees individual safety during formation and provides customizable marine coverage by flexibly adjusting the formation size. Due to the invariance in formation scaling, bearing measurements are widely adopted in formation scaling controllers. According to different measurement equipments, bearing-pertinent formation scaling control can be divided into two main branches, i.e., bearing-only [3,4,5,6,7] and bearing-based formation control [8,9,10,11,12]. In bearing-only formation scaling control, only bearing measurements are utilized. In practice, this is the case where vision-based sensors (e.g., cameras) are equipped to attain high resolution and accuracy for autonomous vehicles, but their detection range is limited. To obtain a broader detection range with higher detection precision, bearing-based formation scaling control relying on active sensors (such as LiDAR, millimeter wave radar) is being studied, which makes full use of bearing measurements together with distance or displacement information. For instance, considering uncertainties and input saturation, a bearing-based scaling control scheme is proposed for the formation of autonomous surface vehicles using adaptive neural controllers [9]. In order to obtain the prescribed patterns with flexible size scaling for underactuated surface vehicles, a bearing-based formation scaling controller is designed in [12].
Due to potential actuator faults and the inevitable uncertainties in dynamics, bearing-based formation scaling controllers encounter new challenges when applied to autonomous surface vehicles in practice. In situations where the rudders or propellers work abnormally, bearing errors will be transmitted throughout the entire formation, making preset scaling maneuvers difficult or even impossible to achieve. To tolerate faults, there are currently four major methods, i.e., the learning-based method, the optimization-based method, the observer-based method and the estimation-based method. Learning-based fault-tolerant control uses model approximation strategies [13] (e.g., fuzzy rules, neural networks) or reinforcement learning [14] to compensate faults. Optimization-based fault-tolerant control optimizes the actions of healthy actuators via various optimization algorithms when faced with faults [15,16]. In observer-based methods, different types of fault observers (e.g., H fault detection observer [17] and fixed-time fault observer [18]) are constructed. For estimation-based methods, fault-related information, especially fault boundaries, is estimated adaptively to resist the impact of faults [19,20,21]. In general, the first three methods will possess a complex controller structure or longer execution time when used for surface vehicles. Although the last method is easy to operate, it depends on fault-related information, which may not be promptly diagnosed or prognosed in the formation scaling maneuver of surface vehicles [22], particularly when internal and external uncertainties exist, coupled with strongly nonlinear dynamics. Thus, it is necessary to seek tractable and effective bearing-based fault-tolerant scaling control schemes for the formation of surface vehicles.
Motivated by the above observations, this paper designs a concise adaptive fault-tolerant formation scaling control scheme for autonomous surface vehicles using bearings. First, vehicle dynamics are transformed into a parametric form. Then, virtual control laws are derived in both position and yaw channels. Next, dynamic surface control is incorporated to reduce calculations. Finally, concise fault-tolerant formation controllers are built together with adaptive laws. Both stability analysis and comparative simulations are provided for the developed concise bearing-based control scheme.
The remaining parts of this paper are organized as follows. Section 2 presents the problem formulation of this work. Section 3 presents a new controller design. Section 4 provides the main results and the relevant stability analysis. Section 5 presents a comparative simulation verification. Section 6 concludes this work.

2. Problem Formulation

Taking into consideration a swarm of n autonomous surface vehicles, this swarm is composed of n l leaders (labeled by V l = { 1 , , n l } ) and n f followers (labeled by V f = { n l + 1 , , n } ). The dynamics of each autonomous vehicle are described by
η ˙ i = R ( ψ i ) ν i , ν ˙ i = M i 1 C i ( ν i ) ν i D i ( ν i ) ν i g i + τ wi + τ i F , i = 1 , , n ,
where η i = [ z 1 i T , ψ i ] T is a position vector in the earth-fixed coordinate, z 1 i = [ x i , y i ] T denotes position coordinates and ψ i denotes yaw angle. R ( ψ i ) is given by
R ( ψ i ) = R z ( ψ i ) 0 0 1 , where R z ( ψ i ) = cos ( ψ i ) sin ( ψ i ) sin ( ψ i ) cos ( ψ i ) .
In addition, ν i = [ z 2 i T , r i ] T denotes a velocity vector in the body-fixed coordinate, z 2 i = [ u i , v i ] T refers to a surge and sway velocity vector and r i denotes yaw angular velocity. M i R 3 × 3 is a diagonal and positive definite inertia matrix. C i ( ν i ) R 3 × 3 is a centripetal and Coriolis matrix. D i ( ν i ) R 3 × 3 is a hydrodynamic damping matrix. g i = [ g u i , g v i , g r i ] T denotes unmodeled dynamics. τ wi = [ τ w u i , τ w v i , τ w r i ] T is a vector of force and moments induced by ocean disturbances. Vector τ i F = [ τ u i F , τ v i F , τ r i F ] T represents control inputs subject to faults. To describe fault influence on actuator efficiency and accuracy sufficiently, faults with time-varying affine coefficients are studied:
τ ξ i F ( t ) | ξ { u , v , r } = μ ξ i ( t ) τ ξ i ( t ) + ϕ ξ i ( t ) ,
where τ ξ i ( t ) is an actual control input and μ ξ i ( t ) ( 0 , 1 ] and ϕ ξ i ( t ) represent a multiplicative and an additive fault, respectively.
Remark 1. 
The affine fault form is widely adopted in fault modeling. For autonomous surface vehicles, faults may occur in rudders and propellers. The multiplicative fault shows that the rudders and propellers work in a low-efficiency environment, e.g., the rudder is stuck or the propeller is entangled by foreign objects. The additive fault represents accurate reference tracking that cannot be obtained by rudders or propeller, e.g., in the presence of wear and tear of some components in actuators of surface vehicles.
The interaction topology of the vehicle swarm is an undirected graph G ( V l V f , E ) with E = { ( i , j ) | i , j V ; i and j are connected } . The neighbor set of vehicle i is denoted by N i = { j | ( j , i ) E } . For graph G , the adjacency matrix is denoted by A = [ a i j ] n × n , where a i j is an entry at the i-th row and j-th column of A . If there is an edge E j i , a i j = 1 ; otherwise, a i j = 0 . The Laplacian matrix of graph G is denoted by L = [ L i j ] n × n , where L i j is an entry at the i-th row and j-th column of L . If i = j , L i j = k = 1 n a i k ; otherwise, L i j = a i j . The Laplacian matrix L of an undirected connected graph G is positive, semi-definite, and has a simple eigenvalue 0.
The position coordinate vector of the swarm is denoted by z 1 = [ z 1 l T , z 1 f T ] T , where z 1 l is the position coordinate vector of leader vehicles with z 1 l = [ z 11 T , , z 1 n l T ] T , and z 1 f symbolizes the position coordinate vector of follower vehicles with z 1 f = [ z 1 , n l + 1 T , , z 1 n T ] T . For a formation ( G , z 1 ) , the replacement of e k from vehicle i with j satisfies e k = z 1 j z 1 i . The relative bearing g ij of vehicle j to vehicle i is defined as g ij = e k / e k .
Remark 2. 
Bearing measurements of autonomous surface vehicles are easily achieved using lidar or millimeter wave radar. We can conduct flexible formation searching or collision avoidance by means of bearing measurements since relative bearing is kept invariant during the formation translational and scaling maneuver.
The formation reference trajectory of the vehicle swarm is denoted by ( G , z 1 * ( t ) ) , where z 1 * = [ z 1 l * T , z 1 f * T ] T represents the reference position vector of the swarm with z 1 l * = [ z 11 * T , , z 1 n l * T ] T position reference coordinates of leaders and z 1 f * = [ z 1 , n l + 1 * T , , z 1 n * T ] T position reference coordinates of followers. For t 0 , ( G , z 1 * ( t ) ) satisfies the following: (1) z 1 i * ( t ) = z 1 i ( t ) , i V l ; (2) ( z 1 j * ( t ) z 1 i * ( t ) ) / z 1 j * ( t ) z 1 i * ( t ) = g i j * , ( i , j ) E , where { g i j * } ( i , j ) E is a set of desired constant bearings; (3) ψ i * ( t ) = ψ 0 , i V , where ψ 0 is a desired constant yaw angle of the swarm of vehicles. The defined orthogonal projection matrix P g ij = I d g ij g ij T / g ij 2 , bearing a Laplacian matrix of formation ( G , z 1 ) , is represented by B = [ B i j ] d n × d n , where B i j is the i-th row and j-th column block of B . If i j , ( i , j ) E , B i j = P g ij , and if i = j , i V , B i j = k N i P g ik ; otherwise, B i j = 0 d × d . Matrix B is able to be partitioned according to leaders and followers as follows:
B = B l l B l f B f l B f f ,
where B l l R 2 n l × 2 n l , B l f R 2 n l × 2 n f , B f l R 2 n f × 2 n l , B f f R 2 n f × 2 n f . It can be clearly observed that B z 1 * ( t ) = 0 ; i.e., B f l z 1 l + B f f z 1 f * = 0 . If B f f is nonsingular, z 1 f * = B f f 1 B f l z 1 l , which implies that the centroid motion and the scaling size of the formation reference trajectory is able to be calculated by choosing appropriate leader vehicles and leader programming trajectories .
According to the existing work in [23], formation reference trajectory ( G ( V , E ) , z 1 * ( t ) ) can be determined uniquely by at least two leader vehicles for the swarm with an undirected topology G . Furthermore, formation reference trajectory ( G ( V , E ) , z 1 * ( t ) ) with an undirected graph G ( V , E ) is able to be determined uniquely by leader vehicles if the augmented formation ( G ¯ ( V , E ¯ ) , z 1 * ( t ) ) is infinitesimally bearing rigid, where G ¯ ( V , E ¯ ) with E ¯ = E { ( i , j ) | i , j V l } is an augmented graph. In terms of the design in [24], to achieve flexible formation searching and collision avoidance, velocity vectors ν i , i V l of leader vehicles are programmed as
z 2 i ( t ) = R z T ( ψ 0 ) v c ( t ) + α s ( t ) z 1 i ( t ) c ( z 1 * ( t ) ) ,
with r i ( t ) = 0 , ψ i ( 0 ) = ψ 0 . With such programmed velocities of leader vehicles, desired formation translational and scaling maneuver of formation reference trajectories, is generated via the following dynamics,
c ˙ ( z 1 * ( t ) ) = v c ( t ) , s ˙ ( z 1 * ( t ) ) = α s ( t ) s ( z 1 * ( t ) ) ,
where α s ( t ) is a varying rate of the scale and v c ( t ) is a maneuvering velocity.
Based on above descriptions, we formulate the problem studied in this work as below.
Problem 1. 
Consider a swarm of n autonomous surface vehicles whose dynamics are given in (1) with interaction topology an undirected graph G . Select n l leaders such that formation reference trajectory ( G , z 1 * ( t ) ) can be determined uniquely by leader vehicles, and select programme trajectories of the chosen leader vehicles such that the desired formation translational and scaling maneuver in (3) of the formation reference trajectory ( G , z 1 * ( t ) ) can be obtained. For each follower vehicle, using local position vectors { η i η j } j N i , relative velocity vectors { ν i ν j } j N i and desired neighboring bearings { g ij * } j N i , design nominal control inputs τ i with no prior information on model parameters M i , C i , D i , unmodeled dynamics g i and fault=related parameters τ ξ i ( t ) and ϕ ξ i ( t ) such that z 1 f ( t ) z 1 f * ( t ) and ψ i ( t ) | i V ψ 0 with bounded errors as t .
Remark 3. 
The above problem is a kind of fault-tolerant formation scaling control problem for autonomous surface vehicles with bearing measurements, which is usual in practice. On one hand, model parameters are hard achieve accurately, and uncertainties are inevitable in reality; on the other hand, faults in autonomous vehicles may not be timely or precisely diagnosed or prognosed in some cases—for instance, when the vehicles are suffer from cyber–physical attacks—making it impossible to obtain fault information in advance. The main difficulties of Problem 1 are two-fold: (1) all the model-related information cannot be adopted in controller design, including M i , C i , D i and g i ; (2) all the fault parameters related to τ ξ i ( t ) and ϕ ξ i ( t ) are unknown. These factors engender extra controller design requirements for the formation scaling control of vehicles using bearing information.

3. Controller Design

Different from existing approximation-based formtion controllers, this section presents a concise adaptive fault-tolerant formation scaling control scheme without model approximation mechanism.
The design flow chart of the formation scaling control scheme in this work is depicted in Figure 1. In this scheme, the dynamics of each autonomous vehicle are first transformed into a model of a parametric form. Then, making full use of bearing measurements, virtual control design is conducted, which includes deriving virtual control laws in both yaw and position channels. Next, dynamic surface control is incorporated to avoid the differential explosion problem, making the proposed scheme more practical without calculating the derivative of virtual control laws in advance. Finally, the adaptive fault-tolerant formation control design is achieved by constructing a concise fault-tolerant formation scaling control law and a concise adaptive parameter updating law.
To facilitate controller design and stability analysis, model transformation is conducted for the dynamics of the i-th vehicle, where a parametric form is obtained,
ξ ˙ i | ξ { u , v , r } = θ ξ i T ( t ) F ξ i ( ν i ) + d ξ i ( t ) + m ξ i 1 τ ξ i F ( t ) ,
where θ ξ i ( t ) are time-varying and unknown; these parameters have the form of θ ui ( t ) = [ m v i / m u i , d 11 , i ( t ) / m u i , 0 ] T , θ vi ( t ) = [ m u i / m v i , d 22 , i ( t ) / m v i , d 23 , i ( t ) / m r i ] T and θ ri ( t ) = [ ( m u i m v i ) / m r i , d 32 , i ( t ) / m r i , d 33 , i ( t ) / m r i ] T . F ui = [ v i r i , u i , 0 ] T , F vi = [ u i r i , v i , r i ] T , F ri = [ u i v i , v i , r i ] T , d u i ( t ) = ( g u i ( t ) + τ w u i ( t ) ) / m u i , d v i ( t ) = ( g v i ( t ) + τ w v i ( t ) ) / m v i and d r i ( t ) = ( g r i ( t ) + τ w r i ( t ) ) / m r i . Next, we make three assumptions to help solve Problem 1.
Assumption 1. 
For parameter θ ξ i ( t ) | ξ { u , v , r } , i V f , it holds that θ ξ i T ( t ) θ ξ i ( t ) Θ ξ i , where constant Θ ξ i is unknown.
Assumption 2. 
For d ξ i ( t ) | ξ { u , v , r } , i V f and the fault parameter ϕ ξ i ( t ) | ξ { u , v , r } , i V f , it holds that | d ξ i ( t ) + m ξ i 1 ϕ ξ i ( t ) | M ξ i < , where constant M ξ i is unknown.
Assumption 3. 
For fault parameter μ ξ i ( t ) | ξ { u , v , r } , i V f , it holds that inf t 0 m ξ i 1 μ ξ i ( t ) > g 0 , where constant g 0 > 0 is unknown.
Remark 4. 
Thwe above assumptions are reasonable in practical applications. Assumption 1 holds due to the fact that M i , C i and D i all have bounds in practice. Since ocean disturbances to autonomous surface vehicles have finite energies, it leads to the boundedness in Assumption 2. For Assumption 3, we only consider the case where there are still controllable capabilities under the faults. In the case where the actuator is fully invalid, it is unnecessary to design controllers. Furthermore, in these assumptions, all of the boundary constants are unknown. This conforms to the descriptions in Problem 1, where no prior information of model parameters, unmodeled dynamics and fault-related parameters is available. With these three assumptions, our concise adaptive fault-tolerant formation scaling controller design and related stability analysis can be further derived.
Based on the backstepping design framework, virtual control design can be conducted. The virtual control law in yaw channel α r i ( t ) is given by
α r i | i V f = k ψ i j N i V f ( ψ i ψ j ) + d i ( ψ i ψ 0 ) .
In (6), design parameter k ψ i > 0 , d i is a leader-availability Boolean variable, where d i = 1 means follower vehicle i has access to leaders; otherwise d i = 0 . Next, a virtual control law in position channel α zi is proposed where α zi | i V l = z 2 i and α zi | i V f = [ α u i , α v i ] T . The expression of α zi is given by
α zi | i V f = R z T ( ψ i ) K i 1 j N i P g ij * k z i ( z 1 i z 1 j ) R z ( ψ j ) α zj ,
with K i = j N i P g ij * and a design control gain k z i > 0 .
Because autonomous surface vehicles are modeled as a second-order nonlinear system, when using backstepping for controller design, the differential explosion problem is inevitable where the derivative of the above virtual control laws in yaw and position channels must be calculated. To eliminate the differential explosion problem completely and make the formation scaling controller as concise as possible, dynamic surface control is incorporated here. We introduce a variable β r i and a vector with two variables as β zi = [ β u i , β v i ] T to avoid repetitive derivative of α r i and α zi . Variable β r i satisfies that
β ˙ r i = ( α r i β r i ) / T r ,
where T r > 0 is a design constant. Vector β zi satisfies that
T z β ˙ zi + β zi = α zi ,
where T z = diag { T u , T v } R 2 × 2 and T z 0 is a constant diagonal matrix to be designed. It is worth observing that β r i is obtained by letting α r i pass through a first-order filter. Similar observations are obtained for β zi and α zi .
Now, we start to design the concise adaptive fault-tolerant formation scaling controller with bearing measurements. Defining a velocity tracking error ξ e i , satisfying ξ e i = ξ i β ξ i , in terms of the transformed parametric model (5), affine fault model (2), Assumptions 1 to 2 and the properties of inequalities, we have
ξ e i θ ξ i T ( t ) F ξ i ( ν i ) + d ξ i ( t ) + m ξ i 1 τ ξ i F ( t ) β ˙ ξ i ( 4 b 1 ) 1 ξ e i 2 θ ξ i 2 F ξ i T F ξ i + ξ e i 2 | d ξ i + m ξ i 1 ϕ ξ i | 2 + ξ e i 2 β ˙ ξ i 2 + 3 b 1 + ξ e i m ξ i 1 μ ξ i τ ξ i ( 4 b 1 ) 1 ξ e i 2 Θ ξ i F ξ i 2 + ξ e i 2 M ξ i 2 + ξ e i 2 β ˙ ξ i 2 + 3 b 1 + ξ e i m ξ i 1 μ ξ i τ ξ i = g 0 ξ e i 2 λ ξ i Φ ξ i + 3 b 1 + ξ e i m ξ i 1 μ ξ i τ ξ i ,
where λ ξ i = g 0 1 max { Θ ξ i , M ξ i 2 , 1 } and Φ ξ i = ( F ξ i 2 + 1 + β ˙ ξ i 2 ) / ( 4 b 1 ) . Here, λ ξ i is an unknown positive constant which can be estimated, and Φ ξ i = ( F ξ i 2 + 1 + β ˙ ξ i 2 ) / ( 4 b 1 ) is an available time-varying term with a design constant b 1 > 0 . Moreover, an auxiliary variable Λ ξ i is constructed to help design the controller, and the form of this auxiliary variable is given by
Λ ξ i = ξ e i λ ^ ξ i Φ ξ i ,
where λ ^ ξ i is an estimation of λ ξ i , and a concise adaptive law by which to update parameter λ ^ ξ i is given by
λ ^ ˙ ξ i = Γ ξ Φ ξ i ξ e i 2 δ ξ λ ^ ξ i λ ^ ξ i ( 0 ) ,
with design parameters Γ ξ > 0 and δ ξ > 0 . λ ^ ξ i ( 0 ) is a non-negative initial value of λ ^ ξ i , and its value is close to λ ξ i . On the basis of auxiliary variable Λ ξ i , a concise fault-tolerant formation scaling control law τ ξ i is given by
τ ξ i | ξ { u , v , r } , i V f = Λ ξ i 2 ( ξ e i 2 Λ ξ i 2 + ϵ ) 1 2 k ξ i ξ e i ,
where k ξ i is a design parameter and ϵ > 0 . In general, a detailed flow chart of the proposed formation control algorithm is depicted in Figure 2. As analyzed in next section, with the aid of Λ ξ i in (11), control law (13) can effectively guarantee the formation scaling maneuver with no prior information of model parameters, unmodeled dynamics and fault-related parameters.
Remark 5. 
Compared with current formation scaling control schemes, the aforementioned adaptive fault-tolerant formation scaling control scheme of autonomous vehicles makes the most of bearing measurements, with following main advantages. First, it does not rely on prior model information and has a concise controller structure, where a filtered variable β ξ i , instead of a complex derivative of virtual control signal α ξ i , is adopted; meanwhile, there is only one control parameter to be adjusted in the control law and only one adaptive parameter to be updated during the control process. Second, it can be applied to a broader fault scenario, where prior information on fault-related parameters is not needed; this implies that the proposed scheme is fault-tolerant against the cases where the faults of vehicles are unable to be effectively diagnosed or prognosed, and the fault-tolerant controller works even in cases where model uncertainties and unknown external disturbances exist.
Remark 6. 
According to Figure 2, there are mainly two kinds of method parameters in the proposed formation control algorithm: one is the number of followers and the other one is the dimension of follower vehicles. It can be determined from the detailed flow chart in Figure 2 that the computational complexity of the algorithm is proportional to the product of these two types of method parameters, which can be quantitatively expressed as O ( n 0 2 ) , where n 0 is the number of method parameters in the proposed algorithm, representing the data size of this algorithm.
Remark 7. 
The proposed scheme can be deployed on industrial computers or embedded hardware environments. According to the computational complexity, the preliminary estimate of the computational requirements of implementing the proposed scheme in a real-world autonomous surface vehicle fleet includes a main frequency no less than 72 MHz and a system memory no less than 64 Kb. It would be better if computing resources were stronger. The practical limitations of implementing this control scheme are twofold: first, the scheme relies on reliable communication; if there exist frequent packet losses or significant delays in practice, the control effect will deteriorate; second, the scheme needs high-precision position or bearing measurements. Measurement accuracy will limit the application scenarios and effectiveness of the proposed scheme.

4. Stability Analysis

In this section, the main results of the developed formation scaling control scheme for the swarm of autonomous surface vehicles are provided, and the related stability analysis is given.
Based on the designed concise adaptive fault-tolerant formation scaling control scheme, Problem 1 can be addressed under certain conditions. The following theorem summarizes the main result obtained from the designed controller.
Theorem 1. 
Under Assumptions 1 to 3, if the augmented formation ( G ¯ ( V , E ¯ ) , z 1 * ( t ) ) is infinitesimally bearing rigid, there exist appropriate control parameters k ξ i | ξ { u , v , r } , i V f , k ψ i | i V f , k z i | i V f such that Problem 1 can be solved using control law (13) with virtual control laws (6) to (7), dynamic surface control variables governed by (8) to (9) and adaptive law (12). Furthermore, all signals in the formation system are determined to be semi-globally uniformly ultimately bounded (SGUUB).
Proof. 
Define filtering error as α r e , i | i V f = β r i α r i . Let β r = [ β r , n l + 1 , , β r n ] T , α r = [ α r , n l + 1 , , α r n ] T , α re = [ α r e , n l + 1 , , α r e , n ] T , we have β ˙ r = α re / T r , α re = β r α r . Define yaw angle tracking error as ψ e i | i V f satisfying ψ e i = ψ i ψ 0 . Let ψ f = [ ψ n l + 1 , , ψ n ] T and ψ e = [ ψ e , n l + 1 , , ψ e n ] T . It holds that ψ e = ψ f ψ 0 1 n f . Let D = diag { d i } , i V f and K ψ = diag { k ψ i } , i V f ; then, write α r into a compact form as α r = K ψ ( L f + D ) ψ e , where L f is a Laplacian matrix of graph G f , which denotes a graph consisting of follower vehicles. It is clear that an infinitesimally bearing rigid formation ( G ¯ ( V , E ¯ ) , z 1 * ( t ) ) makes graph G connected. Then, we have L f + D > 0 .
Define yaw angular velocity error r e i | i V f as r e i = r i β r i . Let r e = [ r e , n l + 1 , , r e n ] T , r f = [ r n l + 1 , , r n ] T . It holds that r e = r f β r . Then, we have ψ ˙ e = r e + α re + α r . Consider the following V 1 ,
V 1 = 1 2 ψ e T ψ e + 1 2 α re T α re + 1 2 r e T r e .
Calculating V ˙ 1 and substituting (6) into it, according to Young’s inequality, gives
V ˙ 1 ψ e T K ψ ( L f + D ) 1 2 I n f ψ e + α re T ( β ˙ r α ˙ r + α re ) + r e T ( r ˙ f β ˙ r + r e ) .
Let β zf = [ β z , n l + 1 T , , β zn T ] T , α zf = [ α z , n l + 1 T , , α zn T ] T and α ze = [ α ze , n l + 1 T , , α ze , n T ] T , where α ze , i | i V f = β zi α zi is filtering error vector of vehicle i; we have β ˙ zf = 1 n T z 1 α ze , α ze = β zf α zf . Define z 2 e , i = z 2 i β zi = [ u e i , v e i ] T , where u e i is the surge velocity of vehicle i, and v e i is the sway velocity of vehicle i. Let z 2 e = [ z 2 e , n l + 1 T , , z 2 e , n T ] T and z 2 f = [ z 2 , n l + 1 T , , z 2 n T ] T . It holds that z 2 e = z 2 f β zf . Furthermore, let R z l = I n l R z ( ψ 0 ) and R z f = diag { R z ( ψ i ) } , i V f . We derive z ˙ 1 e = B f f 1 B f l R z l α zl + R z f z 2 f , where α zl = [ α z 1 T , , α zn l T ] T as formation ( G ¯ ( V , E ¯ ) , z 1 * ( t ) ) is infinitesimally bearing rigid. By (7), for each follower vehicle i, we have
j N i P g ij * [ R z ( ψ i ) α zi R z ( ψ j ) α zj ] = j N i P g ij * [ k z i ( z 1 i z 1 j ) ] .
Denoting K z = diag { k z i } I 2 , i V f , rewrite Formula (15) into a compact form to obtain
B f l R z l α zl + B f f R z f α zf = K z ( B f l z 1 l + B f f z 1 f ) .
Multiplying two sides of Formula (16) by B f f 1 , it holds that
B f f 1 B f l R z l α zl + R z f α zf = K z z 1 e .
Substituting Formula (17) into z ˙ 1 e , we obtain
z ˙ 1 e = K z z 1 e + R z f ( z 2 e + α ze ) .
Consider the following candidate Lyapunov function V 2 :
V 2 = 1 2 z 1 e T z 1 e + 1 2 α ze T α ze + 1 2 z 2 e T z 2 e .
Calculating V ˙ 2 and substituting Formula (18) into it, we further obtain
V ˙ 2 z 1 e T K z 1 2 I 2 n f z 1 e + α ze T ( β ˙ zf α ˙ zf + α ze ) + z 2 e T ( z ˙ 2 f β ˙ zf + z 2 e ) .
Constructing a new function V 3 = V 1 + V 2 , using Formulae (14) and (19), its derivative V ˙ 3 holds that
V ˙ 3 ψ e T K ψ ( L f + D ) 0.5 I n f ψ e z 1 e T ( K z 0.5 I 2 n f ) z 1 e + ξ { u , v , r } A 1 + A 2 ,
where the expressions of A 1 and A 2 are given by
A 1 = α ξ e T ( β ˙ ξ α ˙ ξ + α ξ e ) , A 2 = ξ e T ( ξ ˙ f β ˙ ξ + ξ e ) .
In A 1 and A 2 , α ξ = [ α ξ , n l + 1 , , α ξ n ] T , α ξ e = [ α ξ e , n l + 1 , , α ξ e , n ] T , β ξ = [ β ξ , n l + 1 , , β ξ n ] T , ξ f = [ ξ n l + 1 , , ξ n ] T , ξ e = [ ξ e , n l + 1 , , ξ e n ] T . Since α ˙ ξ is a vector whose entries are continuous functions and their initial states are bounded, a constant M ξ > 0 must exist such that α ˙ ξ M ξ , then
A 1 1 T ξ 2 α ξ e T α ξ e + M ξ 2 4 .
Using the transformed parametric form (5), A 2 turns into
A 2 = i = n l + 1 n ξ e i ξ i ˙ β ˙ ξ i + ξ e T ξ e = i = n l + 1 n ξ e i θ ξ i T ( t ) F ξ i ( ν i ) + d ξ i ( t ) + m ξ i 1 τ ξ i F ( t ) β ˙ ξ i + ξ e T ξ e .
According to Formula (10), we have
A 2 i = n l + 1 n g 0 ξ e i 2 λ ξ i Φ ξ i + 3 b 1 + ξ e i m ξ i 1 μ ξ i τ ξ i + ξ e T ξ e .
Now, we choose a Lyapunov function V 4 as below:
V 4 = V 3 + ξ { u , v , r } g 0 2 Γ ξ 1 λ ˜ ξ T λ ˜ ξ .
An estimation error vector λ ˜ ξ = λ ^ ξ λ ξ = [ λ ˜ ξ , n l + 1 , , λ ˜ ξ n ] T , where λ ξ = [ λ ξ , n l + 1 , , λ ξ n ] T and λ ^ ξ = [ λ ^ ξ , n l + 1 , , λ ^ ξ n ] T , is included in V 4 . Taking the derivative of V 4 gives
V ˙ 4 ψ e T K ψ ( L f + D ) 0.5 I n f ψ e z 1 e T ( K z 0.5 I 2 n f ) z 1 e ξ T ξ 1 2 α ξ e T α ξ e ξ i = n l + 1 n g 0 ξ e i 2 λ ξ i Φ ξ i + ξ e i m ξ i 1 μ ξ i τ ξ i + ξ e T ξ e + ξ g 0 Γ ξ 1 λ ˜ ξ T λ ^ ˙ ξ + σ 1 ,
where σ 1 = 0.25 M ξ 2 + 9 b 1 n f . Since it always holds that ξ e i 2 Λ ξ i 2 ( ξ e i 2 Λ ξ i 2 + ϵ ) 1 2 > | ξ e i | | Λ e i | ϵ , substituting the formation scaling control law (13) and adaptive updating law (12) into Formula (22) and adopting Assumption 3, we have
ξ i = n l + 1 n g 0 ξ e i 2 λ ξ i Φ ξ i + ξ e i m ξ i 1 μ ξ i τ ξ i + g 0 Γ ξ 1 λ ˜ ξ T λ ^ ˙ ξ ξ i = n l + 1 n g 0 ξ e i 2 λ ξ i Φ ξ i g 0 k ξ i ξ e i 2 g 0 ξ e i Λ ξ i + g 0 ϵ + g 0 Γ ξ 1 λ ˜ ξ T λ ^ ˙ ξ = 3 n f g 0 ϵ + ξ i = n l + 1 n g 0 ξ e i 2 λ ˜ ξ i Φ ξ i g 0 k ξ i ξ e i 2 + g 0 λ ˜ ξ i Φ ξ i ξ e i 2 δ ξ λ ^ ξ i λ ^ ξ i ( 0 ) .
Due to the relationship λ ˜ ξ i [ λ ^ ξ i λ ^ ξ i ( 0 ) ] λ ˜ ξ i 2 / 2 [ λ ξ i λ ^ ξ i ( 0 ) ] 2 / 2 , Formula (23) changes to
ξ i = n l + 1 n g 0 ξ e i 2 λ ξ i Φ ξ i + ξ e i m ξ i 1 μ ξ i τ ξ i + g 0 Γ ξ 1 λ ˜ ξ T λ ^ ˙ ξ 3 n f g 0 ϵ + ξ i = n l + 1 n g 0 k ξ i ξ e i 2 0.5 g 0 δ ξ λ ˜ ξ i 2 + 0.5 g 0 δ ξ [ λ ξ i λ ^ ξ i ( 0 ) ] 2 .
Then, the derivative of V 4 further satisfies
V ˙ 4 ψ e T K ψ ( L f + D ) 0.5 I n f ψ e z 1 e T ( K z 0.5 I 2 n f ) z 1 e ξ T ξ 1 2 α ξ e T α ξ e ξ K ξ I n f ξ e T ξ e 0.5 g 0 ξ δ ξ λ ˜ ξ T λ ˜ ξ + σ v ,
where σ v = σ 1 + 3 n f g 0 ϵ + 0.5 g 0 ξ i = n l + 1 n δ ξ [ λ ξ i λ ^ ξ i ( 0 ) ] 2 and K ξ = diag { k ξ i } | i V f .
According to the definition of V 4 together with Formula (25), we have
V ˙ 4 2 a v V 4 + σ v ,
where σ v > 0 and a v = min { a 1 , z 2 , a 3 , a 4 , a 5 } > 0 with a 1 = λ min K ψ ( L f + D ) 0.5 I n f , a 2 = λ min K z 0.5 I 2 n f , a 3 = λ min T ξ 1 2 , a 4 = λ min K ξ I n f , a 5 = δ ξ Γ ξ . Then, it is clear that z 1 f ( t ) z 1 f * ( t ) and ψ i | i V f ψ 0 with an error bound σ v / ( 2 a v ) when t . Meanwhile, all signals in the formation system are determined to be SGUUB. This completes the proof. □
Remark 8. 
If the control parameters of all follower vehicles in the formation are selected as the same, i.e., for any i , j V f , we choose k ψ i = k ψ j = k ψ , k z i = k z j = k z , k ξ i = k ξ j = k ξ , Problem 1 can be solved by letting k ψ > 0.5 λ min 1 L + D , k z > 0.5 and k ξ > 1 . This can be seen as a special case of Theorem 1.

5. Simulations

This section provides comparative simulations to illustrate the validity of the developed formation scheme and its main results.
Take a swarm of four autonomous surface vehicles into consideration. Model parameters of these homogeneous vehicles are selected as the same as those in [1], where ocean disturbances and unmodeled dynamics are simultaneously presented. The interaction topology of four vehicles is depicted in Figure 3a, where black lines represent actual communication links, and the prescribed formation of the considered swarm is shown in Figure 3b.
The programming languages used for simulating are MATLAB and Simulink. The simulating flow is shown in Figure 4, where three sequential stages are referenced, i.e., the initialization stage, the formation simulation stage and the interpretation of data stage. The methods of simulation throughout these three stages are given below.
  • The initialization stage is performed by running a “global_variables_initializer.m” file coded in MATLAB.
  • The formation simulation stage works by conducting a “my_main.slx” file in Simulink, where the modular design is adopted. The dynamics of four vehicles are included in four MATLAB files, i.e., “Leader_a.m”, “Leader_b.m”, “Follower1.m” and “Follower2.m”. The formation controllers for followers are included in three MATLAB files, i.e., “VirtualControlLaws.m”, “DynamicSurfaceControl.m” and “ControlInputs.m”.
  • The interpretation of data stage is performed by running a “my_plot.m” file, which is also coded in MATLAB.
Remark 9. 
In the simulation stage, we do not set a particular communication platform that enables multiple autonomous vehicles in a swarm to collaborate to complete tasks with the specific formation configuration. Instead, such a communication platform is simplified into a function module incorporated into the file “VirtualControlLaws.m”, where a Laplaican matrix L f and a leader information availability matrix D are adopted to simulate actual communication links among the vehicles. This operation can simplify the simulation process without losing the information exchange effect.
The computing platform used for simulating is a laptop with a CPU with a clock speed of 1.30 GHz and a memory of 16.0 G. Choosing vehicle 1 and vehicle 2 as leaders makes the augmented formation infinitesimally bearing rigid. The initial settings for the typical parameters are listed in Table 1.
To demonstrate the adaptability of the proposed formation control scheme, the faults of the follower vehicles are set in three different cases. These fault settings are given in Table 2. In Case 1, there is no fault in three control channels initially; then, faults are gradually generated; finally, a 50% actuator efficiency reduction in surge and sway channel and a 60% actuator efficiency reduction in yaw channel are encountered. In Case 2, an 80% actuator efficiency reduction in surge and sway channel and a 90% actuator efficiency reduction in yaw channel are faced initially; then, faults gradually disappear in all the control channels. In Case 3, an 80% actuator efficiency reduction in surge and sway channel and a 90% actuator efficiency reduction in yaw channel are encountered initially; then, faults gradually become worse; finally, a 90% actuator efficiency reduction in surge and sway channel and a 95% actuator efficiency reduction in yaw channel are faced. In all of the above cases, actuator biases are set to be the same, which are relatively small.
First, adopt the fault settings in Case 1. The formation scaling control performance of the developed concise fault-tolerant control scheme (marked as Scheme 1 later) is compared with a model-based scheme (marked as Scheme 2), where the model-based formation scaling control law is given by
τ ξ i | ξ = { u , v , r } , i V f = k ξ i ξ e i m ξ f ¯ ξ i + β ˙ ξ i ,
where f ¯ u i = ( c 13 r i + d 11 u i ) / m u , f ¯ v i = ( c 23 r i + d 22 v i + d 23 r i ) / m v , f ¯ r i = ( c 31 u i + c 32 v i + d 32 v i + d 33 r i ) / m r . In the control law (26), all of the model parameters are required, such as inertia coefficients, centripetal and Coriolis coefficients and hydrodynamic damping coefficients. In comparative simulations, we select control parameters for the follower vehicles as below. In Scheme 1 and Scheme 2, the same common parameters are chosen, i.e., K ψ = 26 · I 2 , K z = 10 · I 4 , k u i | i V f = 5 , k v i | i V f = 10 , k r i | i V f = 10 , T u = T v = T r = 0.1 . For Scheme 1, we choose b 1 = 0.01 , ϵ = 0.01 , Γ u = Γ v = Γ r = 10 , δ u = δ v = δ r = 0.1 , λ ^ u ( 0 ) = λ ^ v ( 0 ) = λ ^ r ( 0 ) = 0.1 · 1 2 .
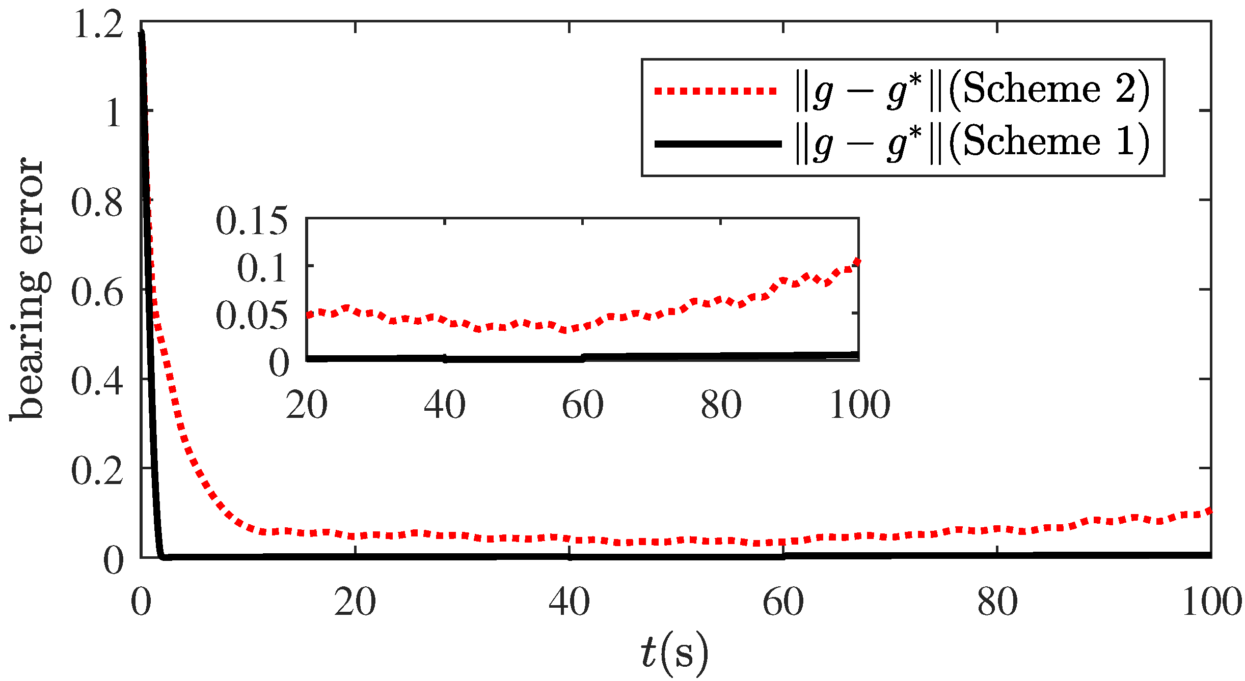
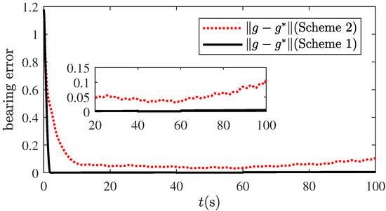
The simulation results are presented in Figure 5, Figure 6, Figure 7 and Figure 8. Figure 5 depicts the formation trajectories of the swarm of autonomous surface vehicles using the proposed formation scheme, where the prescibed formation translational and scaling maneuver is achieved. The formation size first increases, then remains unchanged, and finally decreases, which is suitable for the scenario wherein a swarm of autonomous vehicles passes through an obstructed waterway. During the formation translational and scaling process, the desired bearings are obtained and maintained under the proposed formation scheme. The yaw angle tracking errors of the follower vehicles that perform the formation maneuver are presented in Figure 6, and the bearing errors of the vehicle swarm are given in Figure 7, where errors using the proposed scheme are depicted with a solid line and errors using the model-based scheme are depicted with a dashed line. It can be seen that the concise adaptive fault-tolerant formation scaling control scheme performs better than the model-based scheme, although the latter one uses more model-related information. This is due to the function of compensation mechanisms against model uncertainties and unknown faults. The control inputs of follower vehicles generated by the proposed scheme are shown in Figure 8. Although there is significant overshoot in the initial stage, the steady-state control input is acceptable for all follower vehicles.
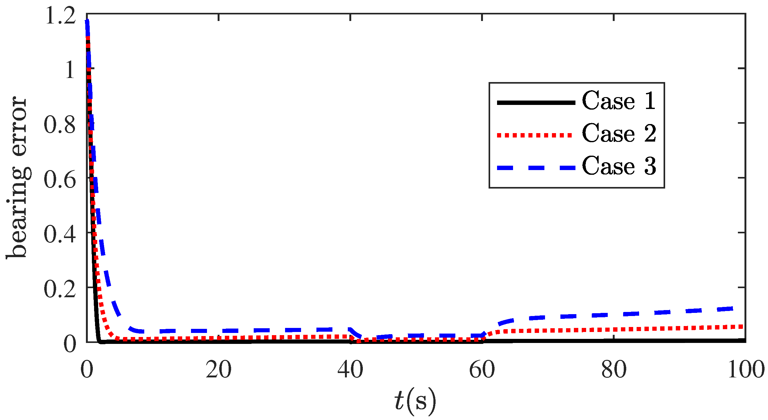
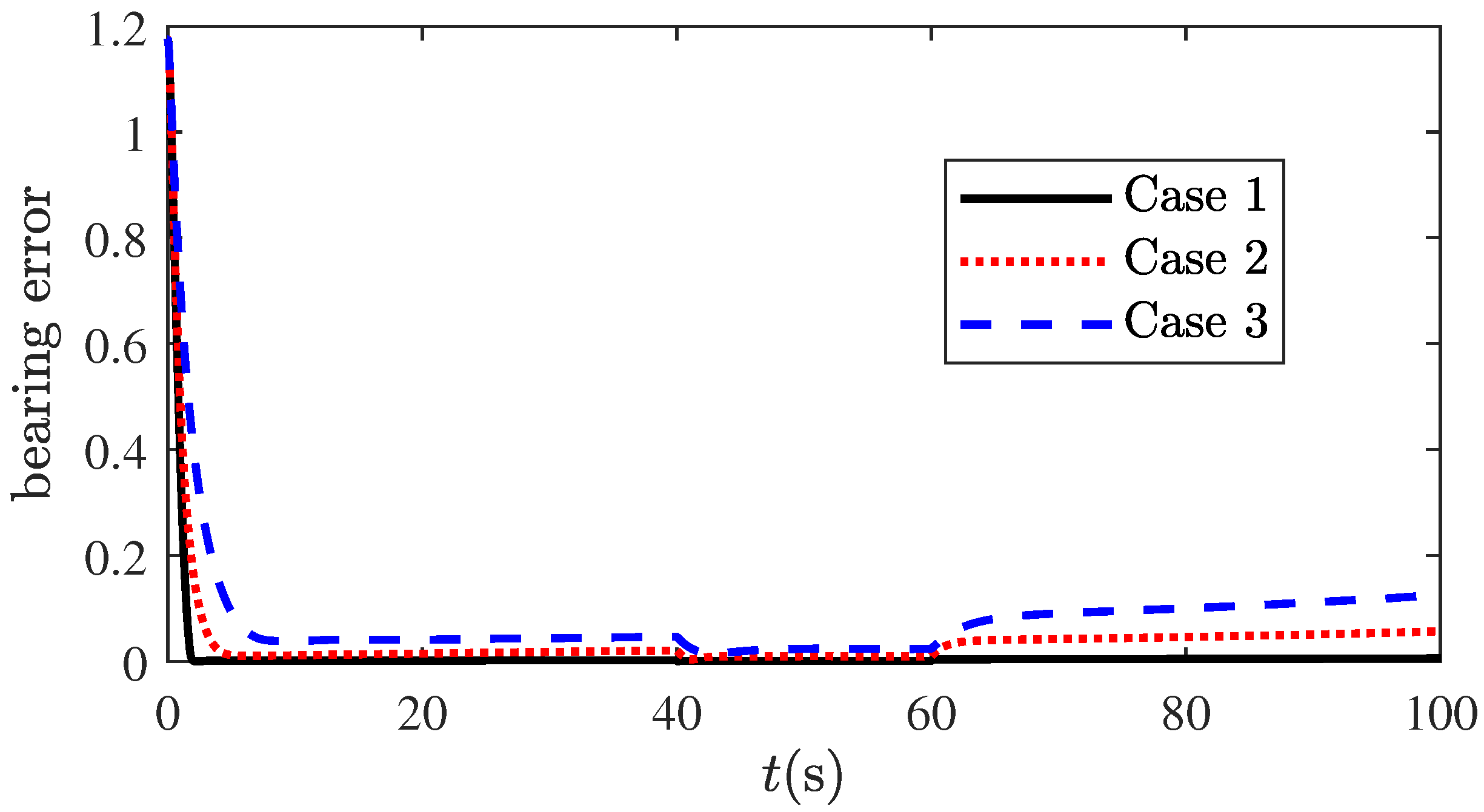
Next, we test the adaptive fault-tolerant formation performance of Scheme 1 using the fault settings from Cases 1 to 3. We choose the same control parameters in these three different cases. The simulation results are presented in Figure 9 and Figure 10. It can be observed that in all the fault cases, desired formation translational and scaling maneuvers can be obtained by means of Scheme 1. As the faults worsen, the yaw angle tracking errors and bearing errors gradually increase, which conforms to the main results in Section 4. It is worth mentioning that good fault-tolerant performances in Cases 2 and 3 show that the proposed adaptive fault-tolerant control scheme is able to handle sudden and severe faults under Assumptions 2 and 3; that is, the proposed scheme has the ability to adapt and maintain formation integrity in such scenarios.
Finally, computation time of Scheme 1 is counted here to demonstrate the computational complexity of the proposed formation control algorithm. The computation times of the “my_main.slx” file in three different fault scenarios are 34.967 s (Case 1), 34.724 s (Case 2) and 36.394 s (Case 3). Combined with the time results and simulation parameters, it can be seen that the computation complexity level of this algorithm conforms to the square order.

6. Conclusions

In this paper, a concise adaptive fault-tolerant bearing-based formation scaling control scheme for autonomous surface vehicles is presented. With this scheme, the prescribed formation scaling maneuver is achieved with both yaw angle tracking errors and bearing errors uniformly and ultimately bounded. It is shown that the fault- and model-related information is not required to be known in advance during the formation procedure. Meanwhile, the calculation of the derivative of virtual control laws is avoided. Furthermore, there is only one adaptive parameter to be updated and only one control parameter to be determined in the designed formation scaling control law.

Author Contributions

Conceptualization, Y.L.; methodology, Y.L.; software, Y.L.; validation, Y.L.; formal analysis, Y.L.; investigation, Y.L.; resources, Y.L. and R.S.; data curation, Y.L.; writing—original draft preparation, Y.L.; writing—review and editing, R.S.; visualization, Y.L.; supervision, Y.L.; project administration, R.S.; funding acquisition, Y.L. and R.S. All authors have read and agreed to the published version of the manuscript.

Funding

This work was supported by the Natural Science Foundation of China under Grant 62303225, the Natural Science Foundation of Jiangsu Province under Grant BK20220945 and the Fundamental Research Funds for the Central Universities under Grant 30923011036.

Institutional Review Board Statement

Not applicable.

Informed Consent Statement

Not applicable.

Data Availability Statement

The data presented in this study are available on request from the corresponding author. The data are not publicly available due to privacy.

Acknowledgments

The authors would like to thank the anonymous reviewers for their valuable comments, which enhanced the quality of this article.

Conflicts of Interest

The authors declare no conflicts of interest.

References

  1. Lu, Y.; Zhang, G.; Sun, Z.; Zhang, W. Adaptive cooperative formation control of autonomous surface vessels with uncertain dynamics and external disturbances. Ocean. Eng. 2018, 167, 36–44. [Google Scholar] [CrossRef]
  2. Liu, G.; Wen, N.; Long, F.; Zhang, R. A formation control and obstacle avoidance method for multiple unmanned surface vehicles. J. Mar. Sci. Eng. 2023, 11, 2346. [Google Scholar] [CrossRef]
  3. Zelazo, D.; Giordano, P.R.; Franchi, A. Bearing-only formation control using an SE (2) rigidity theory. In Proceedings of the 2015 54th IEEE Conference on Decision and Control (CDC), Osaka, Japan, 15–18 December 2015; pp. 6121–6126. [Google Scholar]
  4. Zhao, S.; Li, Z.; Ding, Z. Bearing-only formation tracking control of multiagent systems. IEEE Trans. Autom. Control 2019, 64, 4541–4554. [Google Scholar] [CrossRef]
  5. Li, X.; Wen, C.; Chen, C. Adaptive formation control of networked robotic systems with bearing-only measurements. IEEE Trans. Cybern. 2020, 51, 199–209. [Google Scholar] [CrossRef] [PubMed]
  6. Li, Z.; Tnunay, H.; Zhao, S.; Meng, W.; Xie, S.Q.; Ding, Z. Bearing-only formation control with prespecified convergence time. IEEE Trans. Cybern. 2020, 52, 620–629. [Google Scholar] [CrossRef] [PubMed]
  7. Chen, L.; Sun, Z. Gradient-based bearing-only formation control: An elevation angle approach. Automatica 2022, 141, 110310. [Google Scholar] [CrossRef]
  8. Trinh, M.H.; Zhao, S.; Sun, Z.; Zelazo, D.; Anderson, B.D.O.; Ahn, H.S. Bearing-based formation control of a group of agents with leader-first follower structure. IEEE Trans. Autom. Control 2019, 64, 598–613. [Google Scholar] [CrossRef]
  9. Lu, Y.; Wen, C.; Shen, T.; Zhang, W. Bearing-based adaptive neural formation scaling control for autonomous surface vehicles with uncertainties and input saturation. IEEE Trans. Neural Netw. Learn. Syst. 2020, 32, 4653–4664. [Google Scholar] [CrossRef] [PubMed]
  10. Huang, Y.; Meng, Z. Bearing-based distributed formation control of multiple vertical take-off and landing UAVs. IEEE Trans. Control. Netw. Syst. 2021, 8, 1281–1292. [Google Scholar] [CrossRef]
  11. Su, H.; Chen, C.; Yang, Z.; Zhu, S.; Guan, X. Bearing-based formation tracking control with time-varying velocity estimation. IEEE Trans. Cybern. 2022, 53, 3961–3973. [Google Scholar] [CrossRef]
  12. Zhang, Y.; Wang, S.; Wang, X.; Tian, X. Bearing-based formation control for multiple underactuated autonomous surface vehicles with flexible size scaling. Ocean. Eng. 2023, 267, 113242. [Google Scholar] [CrossRef]
  13. Deng, C.; Che, W.W. Fault-tolerant fuzzy formation control for a class of nonlinear multiagent systems under directed and switching topology. IEEE Trans. Syst. Man, Cybern. Syst. 2019, 51, 5456–5465. [Google Scholar] [CrossRef]
  14. Zhao, W.; Liu, H.; Valavanis, K.P.; Lewis, F.L. Fault-tolerant formation control for heterogeneous vehicles via reinforcement learning. IEEE Trans. Aerosp. Electron. Syst. 2021, 58, 2796–2806. [Google Scholar] [CrossRef]
  15. Kamel, M.A.; Yu, X.; Zhang, Y. Real-time fault-tolerant formation control of multiple WMRs based on hybrid GA–PSO algorithm. IEEE Trans. Autom. Sci. Eng. 2020, 18, 1263–1276. [Google Scholar] [CrossRef]
  16. Hussein, M.; Zhang, Y.; Liu, Z. Distributed fault-tolerant formation control design via high-order sliding mode for a team of car-like vehicles. IEEE Trans. Intell. Veh. 2024, 9, 4221–4231. [Google Scholar] [CrossRef]
  17. Han, B.; Jiang, J.; Yu, C.; Cao, T. Distributed fault estimation and fixed-time fault-tolerant formation control for multi-UAVs subject to sensor faults. J. Intell. Robot. Syst. 2022, 105, 80. [Google Scholar] [CrossRef]
  18. Miao, Q.; Zhang, K.; Jiang, B. Fixed-time collision-free fault-tolerant formation control of multi-UAVs under actuator faults. IEEE Trans. Cybern. 2024, 54, 3679–3691. [Google Scholar] [CrossRef] [PubMed]
  19. Nair, R.R.; Karki, H.; Shukla, A.; Behera, L.; Jamshidi, M. Fault-tolerant formation control of nonholonomic robots using fast adaptive gain nonsingular terminal sliding mode control. IEEE Syst. J. 2018, 13, 1006–1017. [Google Scholar] [CrossRef]
  20. Zhang, G.; Liu, S.; Li, J.; Zhang, X. LVS guidance principle and adaptive neural fault-tolerant formation control for underactuated vehicles with the event-triggered input. Ocean. Eng. 2021, 229, 108927. [Google Scholar] [CrossRef]
  21. Ma, Y.; Jiang, B.; Wang, J.; Gong, J. Adaptive fault-tolerant formation control for heterogeneous UAVs-UGVs systems with multiple actuator faults. IEEE Trans. Aerosp. Electron. Syst. 2023, 59, 6705–6716. [Google Scholar] [CrossRef]
  22. Wu, K.; Hu, J.; Ding, Z.; Arvin, F. Finite-time fault-tolerant formation control for distributed multi-vehicle networks with bearing measurements. IEEE Trans. Autom. Sci. Eng. 2023, 21, 1346–1357. [Google Scholar] [CrossRef]
  23. Zhao, S.; Zelazo, D. Localizability and distributed protocols for bearing-based network localization in arbitrary dimensions. Automatica 2016, 69, 334–341. [Google Scholar] [CrossRef]
  24. Zhao, S.; Zelazo, D. Translational and scaling formation maneuver control via a bearing-based approach. IEEE Trans. Control Netw. Syst. 2017, 4, 429–438. [Google Scholar] [CrossRef]
Figure 1. Design flow chart of the formation scheme.
Figure 1. Design flow chart of the formation scheme.
Jmse 12 01407 g001
Figure 2. Flow chart of the proposed formation control algorithm.
Figure 2. Flow chart of the proposed formation control algorithm.
Jmse 12 01407 g002
Figure 3. The interaction topology and prescribed formation of the swarm of autonomous surface vehicles: (a) the interaction topology; (b) desired bearings.
Figure 3. The interaction topology and prescribed formation of the swarm of autonomous surface vehicles: (a) the interaction topology; (b) desired bearings.
Jmse 12 01407 g003
Figure 4. Simulating flow.
Figure 4. Simulating flow.
Jmse 12 01407 g004
Figure 5. Formation trajectories of the swarm of autonomous surface vehicles.
Figure 5. Formation trajectories of the swarm of autonomous surface vehicles.
Jmse 12 01407 g005
Figure 6. Yaw angle tracking errors of follower vehicles.
Figure 6. Yaw angle tracking errors of follower vehicles.
Jmse 12 01407 g006
Figure 7. Bearing errors of the vehicle swarm.
Figure 7. Bearing errors of the vehicle swarm.
Jmse 12 01407 g007
Figure 8. Control inputs of follower vehicles.
Figure 8. Control inputs of follower vehicles.
Jmse 12 01407 g008
Figure 9. Yaw angle tracking errors of follower vehicles in different cases.
Figure 9. Yaw angle tracking errors of follower vehicles in different cases.
Jmse 12 01407 g009
Figure 10. Bearing errors of the vehicle swarm in different cases.
Figure 10. Bearing errors of the vehicle swarm in different cases.
Jmse 12 01407 g010
Table 1. Initial settings for typical parameters.
Table 1. Initial settings for typical parameters.
ParameterValue
g 12 * [ 2 / 2 , 2 / 2 ] T
g 23 * [ 2 / 2 , 2 / 2 ] T
g 34 * [ 2 / 2 , 2 / 2 ] T
g 41 * [ 2 / 2 , 2 / 2 ] T
ψ 0 π / 4
v c [ 1 , 1 ] T m / s
α s ( t ) 0.0275 ( 0   s t 40   s ) , 0 ( 40   s < t 60   s ) , 0.0275 ( t > 60   s )
η 1 [ 10 , 0 , π / 4 ] T
η 2 [ 10 , 0 , π / 4 ] T
η 3 [ 10 , 11 , π / 2 ] T
η 4 [ 10 , 9 , 0 ] T
ν 3 , ν 4 [ 0 , 0 , 0 ] T
Table 2. Fault settings in different cases.
Table 2. Fault settings in different cases.
Case NumberFault Settings
Case 1 μ u i = μ v i = 0.5 + 0.5 e 2 t
μ r i = 0.4 + 0.6 e 2 t
ϕ u i = 2 sin 0.1 t , ϕ v i = 2 cos 0.1 t , ϕ r i = 0.5 sin 0.1 t
Case 2 μ u i = μ v i = 1 0.8 e 2 t
μ r i = 1 0.9 e 2 t
ϕ u i = 2 sin 0.1 t , ϕ v i = 2 cos 0.1 t , ϕ r i = 0.5 sin 0.1 t
Case 3 μ u i = μ v i = 0.1 + 0.1 e 2 t
μ r i = 0.05 + 0.05 e 2 t
ϕ u i = 2 sin 0.1 t , ϕ v i = 2 cos 0.1 t , ϕ r i = 0.5 sin 0.1 t
Disclaimer/Publisher’s Note: The statements, opinions and data contained in all publications are solely those of the individual author(s) and contributor(s) and not of MDPI and/or the editor(s). MDPI and/or the editor(s) disclaim responsibility for any injury to people or property resulting from any ideas, methods, instructions or products referred to in the content.

Share and Cite

MDPI and ACS Style

Lu, Y.; Sun, R. Concise Adaptive Fault-Tolerant Formation Scaling Control for Autonomous Vehicles with Bearing Measurements. J. Mar. Sci. Eng. 2024, 12, 1407. https://doi.org/10.3390/jmse12081407

AMA Style

Lu Y, Sun R. Concise Adaptive Fault-Tolerant Formation Scaling Control for Autonomous Vehicles with Bearing Measurements. Journal of Marine Science and Engineering. 2024; 12(8):1407. https://doi.org/10.3390/jmse12081407

Chicago/Turabian Style

Lu, Yu, and Ruisheng Sun. 2024. "Concise Adaptive Fault-Tolerant Formation Scaling Control for Autonomous Vehicles with Bearing Measurements" Journal of Marine Science and Engineering 12, no. 8: 1407. https://doi.org/10.3390/jmse12081407

APA Style

Lu, Y., & Sun, R. (2024). Concise Adaptive Fault-Tolerant Formation Scaling Control for Autonomous Vehicles with Bearing Measurements. Journal of Marine Science and Engineering, 12(8), 1407. https://doi.org/10.3390/jmse12081407

Note that from the first issue of 2016, this journal uses article numbers instead of page numbers. See further details here.

Article Metrics

Back to TopTop