Properties and Model of Pore-Scale Methane Displacing Water in Hydrate-Bearing Sediments
Abstract
1. Introduction
2. Geometric Model Description
2.1. Random Reconstruction Algorithm of Pore Structure
2.2. Characteristic Analysis of Heterogeneous Model
2.3. Distribution Characteristics of Throat Opening
3. Numerical Model Description
3.1. Governing Equation
3.2. Model Verification
3.3. Model Construction
3.3.1. Model Assumption
- The porous media structure is assumed to be a uniformly distributed circular media structure, without considering the nonhomogeneity of the geometry (e.g., rectangular structure, rhombic structure, etc.);
- It is assumed that no dissolution, phase change, etc., occurs between the liquid and gas phases during two-phase displacement;
- It is assumed that, in a porous medium, both phases flow at low velocities and fall within the scope of laminar flow;
- It is assumed that the gas phase being studied satisfies the ideal gas equation of state and that both phases of the fluid are incompressible;
- The two-phase fluid flow is driven by differential pressure while ignoring the effects of gravity.
3.3.2. Numerical Model
4. Results and Analysis
4.1. Flow Characteristics of Methane Flooding at the Pore Scale
4.1.1. Structure of Heterogeneous Medium
4.1.2. Throat Size Heterogeneity
4.2. Displacement Efficiency and Effective Channel
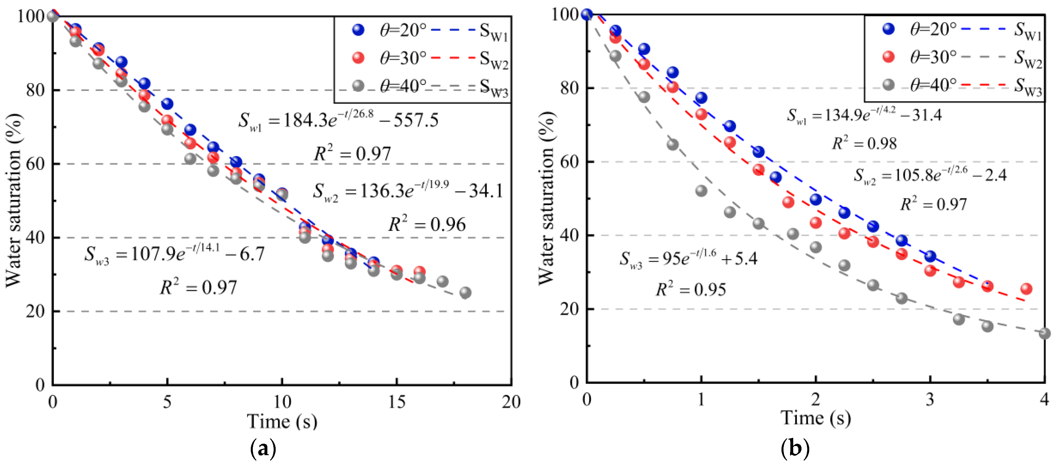
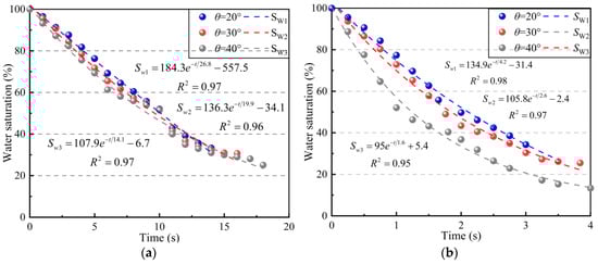
4.3. Correlation Analysis of Contact Angle
5. Discussion
6. Conclusions
- (a)
- Throat width is the most important factor affecting two-phase flow in inhomogeneous media. The distribution of the throat width within the pore medium gap significantly affects the flow channel. Even a small difference of 5% in the smallest throat distribution can result in a 40% difference in the effective flow space for methane. This can lead to almost half of the channel becoming a dead volume;
- (b)
- Differences in the degree of hydrophilicity of the pore medium affect the gas’s ability to enter the small throat region. The stronger the hydrophilicity, the shorter the breakthrough time and the time to final dominant channel formation, and the smaller the region where effective flow channels formed. The change in water saturation over time exhibits a negative exponential correlation. The less hydrophilic the material, the more sensitive it is to changes over time;
- (c)
- Higher replacement velocities result in more pronounced fingering. The higher rate of expulsion results in a larger pressure gradient, allowing methane to easily displace water in the larger throat area, thus forming a dominant channel. The larger pressure difference allows the gas phase to enter the smaller throat area, enabling the tail breakthrough to continue replacing more water at the end, ultimately creating a larger effective flow space.
Author Contributions
Funding
Institutional Review Board Statement
Informed Consent Statement
Data Availability Statement
Acknowledgments
Conflicts of Interest
References
- Liu, J.S.; Chen, Z.W.; Elsworth, D.; Qu, H.Y.; Chen, D. Interactions of multiple processes during CBM extraction: A critical review. Int. J. Coal Geol. 2011, 87, 175–189. [Google Scholar] [CrossRef]
- BP. BP Statistical Review of World Energy 2023; BP: London, UK, 2023. [Google Scholar]
- Zhang, Y.Q.; Wang, W.; Zhang, P.P.; Li, G.S.; Tian, S.C.; Lu, J.S.; Zhang, B. A Solution to Sand Production from natural gas hydrate deposits with radial wells: Combined gravel packing and sand screen. J. Mar. Sci. Eng. 2022, 10, 71. [Google Scholar] [CrossRef]
- Yan, P.; Luan, H.J.; Jiang, Y.J.; Yu, H.Y.; Liang, W.; Cheng, X.Z.; Liu, M.K.; Chen, H.B. Experimental investigation into effects of thermodynamic hydrate inhibitors on natural gas hydrate synthesis in one-dimensional reactor. Energy Technol. 2023, 11, 2300262. [Google Scholar] [CrossRef]
- Li, Z.F.; Han, J. Environmental safety and low velocity of the development of submarine natural gas hydrate with examples of test production in South China Sea. Environ. Sci. Pollut. Res. 2021, 28, 6259–6265. [Google Scholar] [CrossRef] [PubMed]
- Qiu, N.; Fu, Q.C.; Yang, L.; Sun, Z.; Chang, Y.J.; Du, B.R. Saturation sensitivity and influencing factors of marine DC resistivity inversion to submarine gas hydrate. Front. Earth Sci. 2022, 10, 900025. [Google Scholar]
- He, Y.L.; Kuang, Z.G.; Cheng, C.; Jiang, T.; Zhang, C.; Lu, B.Y.; Yang, C.Z.; Liu, J.Y.; Xiang, C.L. Effects of depositional processes in submarine canyons and distribution of gas chimneys on gas hydrate accumulation in the Shenhu Sea area, Northern South China Sea. Energies 2023, 16, 234. [Google Scholar] [CrossRef]
- Fakhreeva, A.V.; Nosov, V.V.; Voloshin, A.I.; Dokichev, V.A. Polysaccharides are effective inhibitors of natural gas hydrate formation. Polymers 2023, 15, 1789. [Google Scholar] [CrossRef] [PubMed]
- Ye, R.J.; Jiang, Y.J.; Zhang, R.Q.; Gong, B.; Zhang, B.W. Numerical simulation study on mechanical properties of interlayer heterogeneous natural gas hydrate sediments. J. Shandong Univ. Sci. Technol. 2024, 43, 22–29. [Google Scholar]
- Wang, Y.; Wang, Y.Y.; Gao, M.; Zhang, L. Study on slope stability of deep-sea energy soil gas reservoirs. J. Shandong Univ. Sci. Technol. 2024, 43, 32–40. [Google Scholar]
- Yang, L.; Zhao, J.F.; Liu, W.G.; Li, Y.H.; Yang, M.J.; Song, Y.C. Microstructure observations of natural gas hydrate occurrence in porous media using microfocus x-ray computed tomography. Energy Fuels 2015, 29, 4835–4841. [Google Scholar] [CrossRef]
- Ji, Y.K.; Kneafsey, T.J.; Hou, J.; Zhao, J.L.; Liu, C.L.; Guo, T.K.; Wei, B.; Zhao, E.M.; Bai, Y.J. Relative permeability of gas and water flow in hydrate-bearing porous media: A micro-scale study by lattice Boltzmann simulation. Fuel 2022, 321, 124013. [Google Scholar] [CrossRef]
- Sun, X.; Wang, L.; Luo, H.; Song, Y.C.; Li, Y.H. Numerical modeling for the mechanical behavior of marine gas hydrate-bearing sediments during hydrate production by depressurization. J. Petrol. Sci. Eng. 2019, 177, 971–982. [Google Scholar] [CrossRef]
- Wu, S.L.; Wu, S.G.; Sun, J.; Li, Q.P.; Chen, J.J.; Chen, Y.; Zhou, X.Q.; Khan, U. The spatial coupling of fluid pathways with gas hydrates and shallow gas reservoirs a case study in the Qiongdongnan Basin, South China Sea. J. Mar. Sci. Eng. 2024, 12, 659. [Google Scholar] [CrossRef]
- Bu, Q.T.; Xing, T.J.; Li, C.F.; Zhao, J.H.; Liu, C.L.; Wang, Z.H.; Zhao, W.G.; Kang, J.L.; Meng, Q.G.; Hu, G.W. Effect of hydrate microscopic distribution on acoustic characteristics during hydrate dissociation: An insight from combined acoustic-CT detection study. J. Mar. Sci. Eng. 2022, 10, 1089. [Google Scholar] [CrossRef]
- Jiang, Y.J.; Yan, p.; Luan, H.J.; Chen, L.J.; Ding, G.R. Development of multi-dimensional production simulation test system for natural gas hydrate and its primary application. Rock Soil Mech. 2022, 43, 286–298. [Google Scholar]
- Liu, J.R.; Li, H.Y.; Xu, J.C.; Liu, S.Y.; Liu, R.J.; Hou, L.J.; Tan, Q.Z. Exploring the unique characteristics of high-pore-volume waterflooding and enhanced oil recovery mechanisms in offshore sandstone reservoirs using nuclear magnetic resonance technology. J. Mar. Sci. Eng. 2023, 11, 1296. [Google Scholar] [CrossRef]
- Zhang, J.D.; Yin, Z.Y.; Li, Q.P.; Li, S.X.; Jiao, H.M.; Liu, X.H. An investigation on CH4 hydrate transition and gas bubble evolution on a microfluidic chip. Chin. J. Theor. Appl. Mech 2024, 7, 1–9. [Google Scholar]
- Zhao, X.X.; Yin, F.L.; Yao, H.Y.; Qi, Y.Q.; Cao, X. A new model of bubble migration velocity in deep water wellbore considering hydrate phase transition. J. Mar. Sci. Eng. 2023, 11, 2206. [Google Scholar] [CrossRef]
- Ju, Y.; Gong, W.B.; Chang, W.; Sun, M. Effects of pore characteristics on water-oil two-phase displacement in non-homogeneous pore structures: A pore-scale lattice Boltzmann model considering various fluid density ratios. Int. J. Eng. Sci. 2020, 154, 103343. [Google Scholar] [CrossRef]
- Singh, K.; Jung, M.; Brinkmann, M.; Seemann, R. Capillary-Dominated fluid displacement in porous media. Annu. Rev. Fluid Mech. 2019, 51, 429–449. [Google Scholar] [CrossRef]
- Wang, Y.J.; Kang, Y.L.; You, L.J.; Chen, M.J.; Cheng, Y.Y.; Tu, Y.Q.; Tian, J. Effect of pore-throat heterogeneity on gas-water flow in tight gas reservoirs: From micro- to centimeter scale. Energy Fuels 2024, 38, 5075–5087. [Google Scholar] [CrossRef]
- Lu, W.Y.; Huang, B.X. Numerical simulation of migration characteristics of the two-phase interface in water–gas displacement. Energ. Explor. Exploit. 2018, 36, 246–264. [Google Scholar] [CrossRef]
- Lv, K.; Jiang, N.; Yin, D.W.; Meng, S.Y.; Gao, Z.Y.; Lv, T. Deterioration of compressive properties of coal rocks under water and gas coupling. J. Cent. South Univ. 2024, 31, 475–493. [Google Scholar]
- Merdan, M.; Atasoy, N. On the solutions of fractional random ordinary differential equations with the Residual power series method. Alex. Eng. J. 2023, 70, 169–177. [Google Scholar] [CrossRef]
- Wang, X.F.; Qiu, Y.; Liang, W.; Zhao, T.B. Simulation study on gas production law of natural gas hydrate under damage effect. J. Shandong Univ. Sci. Technol. 2023, 42, 70–77. [Google Scholar]
- Guo, Y.; Zhang, L.; Zhu, G.; Yao, J.; Sun, H.; Song, W.H.; Yang, Y.F.; Zhao, J.L. A pore-scale investigation of residual oil distributions and enhanced oil recovery methods. Energies 2019, 12, 3732. [Google Scholar] [CrossRef]
- Jafari, A.; Vahab, M.; Broumand, P.; Khalili, N. An extended finite element method implementation in COMSOL multiphysics: Thermo-hydro-mechanical modeling of fluid flow in discontinuous porous media. Comput. Geotech. 2023, 105, 105458. [Google Scholar] [CrossRef]
- Hysing, S. Mixed element FEM level set method for numerical simulation of immiscible fluids. J. Comput. Phys. 2012, 231, 2449–2465. [Google Scholar] [CrossRef]
- Amiri, H.A.A.; Hamouda, A.A. Evaluation of level set and phase field methods in modeling two phase flow with viscosity contrast through dual-permeability porous medium. Int. J. Multiphas. Flow 2013, 52, 22–34. [Google Scholar] [CrossRef]
- Amiri, H.A.A.; Hamouda, A.A. Pore-scale modeling of non-isothermal two phase flow in 2D porous media: Influences of viscosity, capillarity, wettability and heterogeneity. Int. J. Multiphas. Flow 2014, 61, 14–27. [Google Scholar] [CrossRef]
- Le, T.L.; Chen, J.C.; Hwu, F.S.; Nguyen, H.B. Numerical study of the migration of a silicone plug inside a capillary tube subjected to an unsteady wall temperature gradient. Int. J. Heat Mass Tran. 2016, 97, 439–449. [Google Scholar] [CrossRef]
- Ul Hassan, R.; Khalil, S.M.; Khan, S.A.; Moon, J.; Cho, D.H.; Byun, D. Electric field and viscous fluid polarity effects on capillary-driven flow dynamics between parallel plates. Heliyon 2023, 9, e16395. [Google Scholar] [CrossRef]
- Tang, D.; Jian, H.X.; Song, M.; Jiang, Z.M. Migration of leaked oil vapor in underground water-sealed, l storage cavern considering the influence of fractures. J. Mar. Sci. Eng. 2023, 11, 1248. [Google Scholar] [CrossRef]
- Chen, S.J.; Zhang, J.C.; Zaki, M.M.; Li, F.X.; Yan, Z.K.; Ding, Y.S. Seepage characteristics of mixed-wettability porous media on the phase-field model. ACS Omega 2022, 7, 104–112. [Google Scholar] [CrossRef] [PubMed]
- Choi, C.W.; Yu, D.I.; Kim, M.H. Adiabatic two-phase flow in rectangular microchannels with different aspect ratios: Part I-Flow pattern, pressure drop and void fraction. Int. J. Heat Mass Tran. 2011, 54, 616–624. [Google Scholar] [CrossRef]
- Zhu, D.F.; Yu, B.B.; Wang, D.Y.; Zhang, Y.J. Fusion of finite element and machine learning methods to predict rock shear strength parameters. J. Geophys Eng. 2024, 2024, gxae064. [Google Scholar] [CrossRef]
- Chen, S.J.; Zhang, J.C.; Zaki, M.M.; Yin, D.W.; Wang, S.; Sheng, S.Q.; Khoreshok, A.A. Similarity experimental study on the law of CBM-water microscale slug flow. Chin. J. Rock Mech. Eng. 2022, 41, 1338–1346. [Google Scholar]

















| Fluid Parameters | Numerical Value |
|---|---|
| Density of water/(kg/m3) | 1000 |
| Water viscosity/(Pa·s) | 0.001 |
| Apparent velocity of water/(μm/s) | 0.2~1.2 |
| The density of nitrogen/(kg/m3) | 6.78 |
| Viscosity of nitrogen/(Pa·s) | 0.0177 |
| Nitrogen apparent flow rate/(m/s) | 0.2~1.2 |
| Microchannel opening (μm) | 500 |
| Case | Contact Angle | Flow Velocity (mm/s) | Target |
|---|---|---|---|
| Case (a) | 90° | 3.5 | Heterogeneous characteristics of pore structure |
| Case (b) | 20° | 3.5 | Wettability sensitivity analysis |
| 30° | 3.5 | ||
| 40° | 3.5 | ||
| Case (c) | 30° | 0.7 | Sensitivity analysis of moving speed |
| 30° | 3.5 | ||
| 30° | 17.5 |
Disclaimer/Publisher’s Note: The statements, opinions and data contained in all publications are solely those of the individual author(s) and contributor(s) and not of MDPI and/or the editor(s). MDPI and/or the editor(s) disclaim responsibility for any injury to people or property resulting from any ideas, methods, instructions or products referred to in the content. |
© 2024 by the authors. Licensee MDPI, Basel, Switzerland. This article is an open access article distributed under the terms and conditions of the Creative Commons Attribution (CC BY) license (https://creativecommons.org/licenses/by/4.0/).
Share and Cite
Ge, D.; Zhang, J.; Cao, Y.; Liu, C.; Wu, B.; Chu, H.; Lu, J.; Li, W. Properties and Model of Pore-Scale Methane Displacing Water in Hydrate-Bearing Sediments. J. Mar. Sci. Eng. 2024, 12, 1320. https://doi.org/10.3390/jmse12081320
Ge D, Zhang J, Cao Y, Liu C, Wu B, Chu H, Lu J, Li W. Properties and Model of Pore-Scale Methane Displacing Water in Hydrate-Bearing Sediments. Journal of Marine Science and Engineering. 2024; 12(8):1320. https://doi.org/10.3390/jmse12081320
Chicago/Turabian StyleGe, Dongfeng, Jicheng Zhang, Youxun Cao, Cheng Liu, Bin Wu, Haotian Chu, Jialin Lu, and Wentao Li. 2024. "Properties and Model of Pore-Scale Methane Displacing Water in Hydrate-Bearing Sediments" Journal of Marine Science and Engineering 12, no. 8: 1320. https://doi.org/10.3390/jmse12081320
APA StyleGe, D., Zhang, J., Cao, Y., Liu, C., Wu, B., Chu, H., Lu, J., & Li, W. (2024). Properties and Model of Pore-Scale Methane Displacing Water in Hydrate-Bearing Sediments. Journal of Marine Science and Engineering, 12(8), 1320. https://doi.org/10.3390/jmse12081320
