Numerical Simulation of Vertical Cyclic Responses of a Bucket in Over-Consolidated Clay
Abstract
1. Introduction
2. Methodology
2.1. Finite Element Model
2.2. Soil Properties
- (a)
- The slurry with water content twice the liquid limit was moved into a strongbox, and the soil sample was prepared under consolidation pressure of 60 or 90 kPa. The overburden pressure at the skirt tip level in centrifuge tests was around 30 kPa, corresponding to an over-consolidation ratio (OCR) of 2 or 3. Therefore, the specimen for DSS test was consolidated at vertical stress of 60 or 90 kPa. Then, the specimen was unloaded to 30 kPa prior to the following shearing.
- (b)
- The prepared specimens underwent shearing at a displacement rate of 0.015 mm/min to obtain the monotonic shear stress–strain responses (τ-γ responses), as shown in Figure 4. As a result, the static undrained shear strength su was defined as the shear stress at γ = 15% [44]. Then, su = 18.3 kPa for OCR = 2 and su = 22.9 kPa for OCR = 3.
- (c)
- In symmetric cyclic shearing tests, various stress ratio amplitudes τc/su ranging from 0.2 to 0.7 were adopted, and the frequency was chosen as 0.1 Hz to match the typical wave frequency. Contour diagrams that describe the τc/su-N response are derived by connecting the data points from test results at the same γc values, e.g., γc = 0.08%, 0.14%, 0.5%, 1%, 1.5%, 3%, and 15%, as illustrated in Figure 5a,b.
- (d)
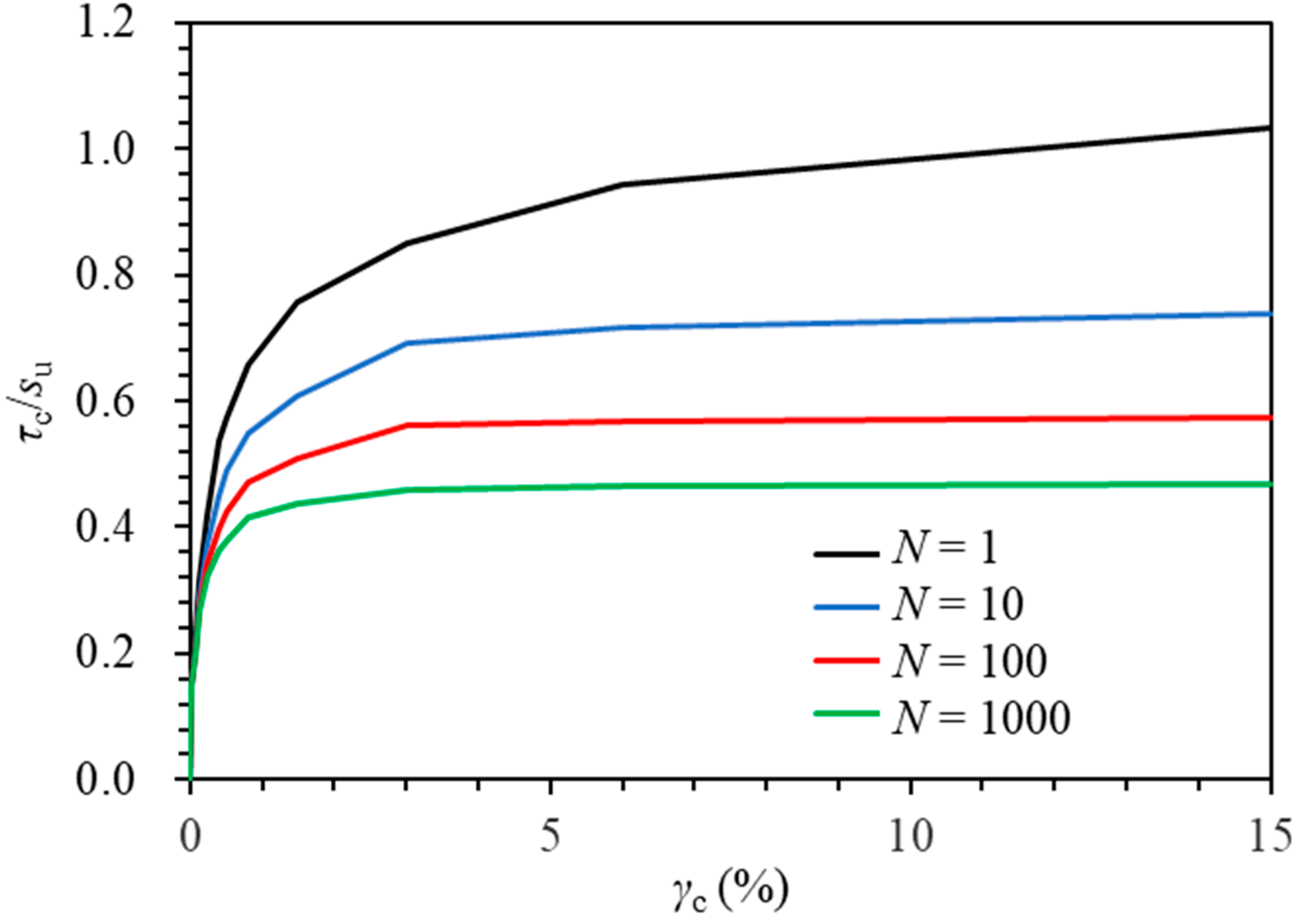
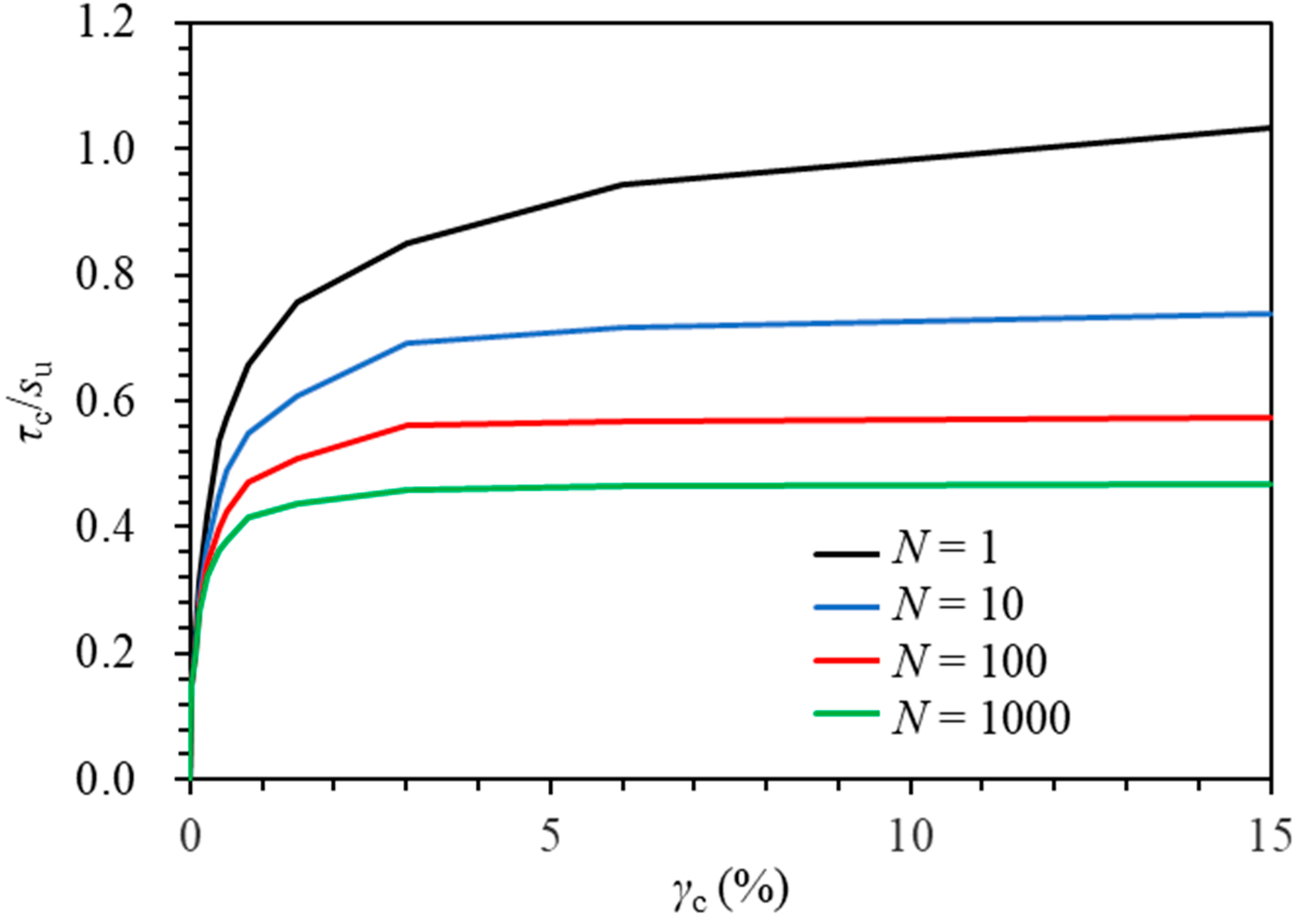
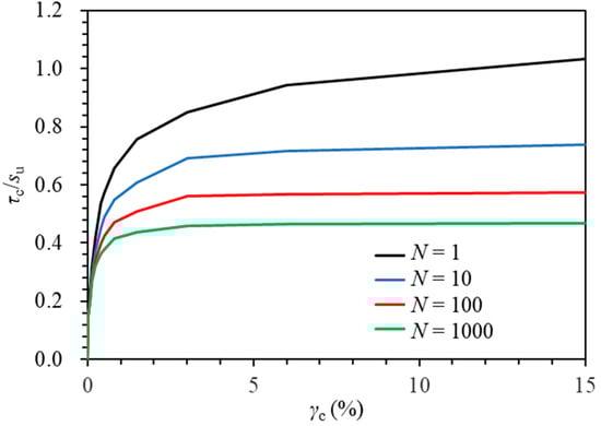
- For a symmetric cyclic loading scenario with a uniform loading amplitude, the equivalent number of cycles was equal to the current number of cycles N. The typical γc values varying with τc/su can be obtained by linking the intersection points of lines at N = 1, 10, 100, and 1000 with the contours in Figure 5. As a result, the τc/su-γc curves for OCR = 3 are shown in Figure 6 as an example. The response of τc/su-γc at another relevant N can be interpolated automatically in Plaxis.
- (e)
- To derive the dimensional τc-γc response, the static undrained shear strength su was required. The strength profiles of clay samples were inferred from cone penetration tests, with the cone factor taken as 15 [18]. As shown in Table 1, the undrained strength of clay, su, was increased with the soil depth z for most soil types, while a uniform clay sample had a constant su. The soil depth z and su are in units of m and kPa, respectively.
3. Verification
3.1. Monotonic Loading Tests
3.2. Cyclic Loading Tests
- (a)
- At the early stage of loading, for example, N = 2, wc/L predicted by the FE was lower than the measured value, and the divergence decreased with an increase in Vc/V0. This phenomenon can be explained by the smaller cyclic shear strain at a lower cyclic shear stress given a certain number of cycles, as shown in Figure 6. As a result, wc/L by centrifuge tests was larger at higher Vc/V0 and more closely aligned with the simulations.
- (b)
- Although the experimental wc/L was higher than the value predicted by FE, the divergence became smaller with increasing cycles (e.g., Vc/V0 = 0.37 and 0.51). In particular scenarios, Vc/V0 = 0.42 at N > 650 and Vc/V0 = 0.58 at N > 20, wc/L measured in the tests appeared lower than the FE results. This phenomenon may be attributed to the potential consolidation effect which is caused by partial dissipation of pore pressures around the bucket during the long-term loading in centrifuge tests. For example, the loading duration amounted to 137 d in the prototype after 996 cycles with Vc/V0 = 0.37, thereby allowing partially drained conditions in clay, which caused an increase in undrained shear strength and reduction in wc/L. Conversely, the degradation of undrained strength induced by cyclic loading was accounted for in the UDCAM strategy, while the potential enhancement of undrained strength due to partial drainage within the long-term loading stage was ignored.
4. Parametric Study
5. Conclusions
- (1)
- The wc/L predicted by the FE model combined with UDCAM in this study exhibits reasonable agreement with the wc/L obtained from existing centrifuge tests. The UDCAM is applicable for characterizing the cyclic shear stress–strain response of clay at a relevant number of cycles.
- (2)
- The wc/L in the parametric study decreases with increasing L/D. Taking wc/L at L/D = 1 as a reference displacement, a predictive equation, Equation (2), for wc/L at various L/D values has been proposed. It is proved that Equation (2) is applicable for buckets with L/D ranging between 0.5 and 3 and diameter D ranging between 2 and 8 m, normalized vertical loading amplitudes Vc/V0 in the range of 0.3–0.58, and soil adhesion factors between 0.3 and 0.65. Equation (2) demonstrates better performance in soils with uniform or slightly increased undrained shear strength with depth than in soils with undrained shear strength increasing significantly with depth. In practical applications, a four-step procedure is suggested to predict wc/L for bucket foundations across various aspect ratios, based on limited laboratory tests and FE simulations. The buckets with aspect ratios ranging between 0.5 and 3 are explored here, and the expansion of Equation (2) to larger aspect ratios needs to be testified in future. As for buckets under asymmetric vertical cyclic loading, the accumulation of wc/L can be investigated through centrifuge tests at first and then compared with the predicted results by the proposed four-step procedure.
Author Contributions
Funding
Institutional Review Board Statement
Informed Consent Statement
Data Availability Statement
Conflicts of Interest
References
- Bae, K.T.; Choo, Y.W.; Youn, H.; Kim, J.Y.; Choi, C.; Kwon, O. Geotechnical Perspective on Offshore Wind Plan, Strategy, Projects and Research in Korea. In Proceedings of the 19th International Conference on Soil Mechanics and Geotechnical Engineering: Technical Committee 209 Workshop, Seoul, Republic of Korea, 20 September 2017. [Google Scholar]
- Houlsby, G.T.; Byrne, B.W. Suction Caisson Foundations for Offshore Wind Turbines and Anemometer Masts. Wind Eng. 2000, 24, 249–255. [Google Scholar] [CrossRef]
- Zhu, F.Y.; O’Loughlin, C.D.; Bienen, B.; Cassidy, M.J.; Morgan, N. The Response of Suction Caissons to Long-Term Lateral Cyclic Loading in Single-Layer and Layered Seabeds. Géotechnique 2018, 68, 729–741. [Google Scholar] [CrossRef]
- Faizi, K.; Faramarzi, A.; Dirar, S.; Chapman, D. Investigating the Monotonic Behaviour of Hybrid Tripod Suction Bucket Foundations for Offshore Wind Towers in Sand. Appl. Ocean Res. 2019, 89, 176–187. [Google Scholar] [CrossRef]
- Achmus, M.; Kuo, Y.S.; Abdel-Rahman, K. Behavior of Monopile Foundations under Cyclic Lateral Load. Comput. Geotech. 2009, 36, 725–735. [Google Scholar] [CrossRef]
- Petas, V.; Kolotsios, G.; Georgiadis, K.; Loukogeorgaki, E. Effect of Horizontal Loading on the Bearing Capacity of Tripod Skirted Foundations on Clay. In Proceedings of the 26th International Ocean and Polar Engineering Conference, Rhodes, Greece, 26 June 2016. [Google Scholar]
- Zhao, Z.; Kouretzis, G.; Sloan, S.; Gao, Y. Ultimate Lateral Resistance of Tripod Pile Foundation in Clay. Comput. Geotech. 2017, 92, 220–228. [Google Scholar] [CrossRef]
- Jeong, Y.H.; Kim, J.H.; Park, H.J.; Kim, D.S. Cyclic Behavior of Unit Bucket for Tripod Foundation System Supporting Offshore Wind Turbine via Model Tests. Wind Energy 2019, 22, 257–268. [Google Scholar] [CrossRef]
- Kim, D.J.; Choo, Y.W.; Kim, J.H.; Kim, S.; Kim, D.S. Investigation of Monotonic and Cyclic Behavior of Tripod Suction Bucket Foundations for Offshore Wind Towers Using Centrifuge Modeling. J. Geotech. Geoenviron. Eng. 2014, 140, 04014008. [Google Scholar] [CrossRef]
- He, B.; Jiang, J.; Cheng, J.; Zheng, J.; Wang, D. The Capacities of Tripod Bucket Foundation under Uniaxial and Combined Loading. Ocean Eng. 2021, 220, 108400. [Google Scholar] [CrossRef]
- Carbon Trust. Suction Installed Caisson Foundations for Offshore Wind: Design Guidelines, 1st ed.; Carbon Trust: London, UK, 2019; pp. 1–92. [Google Scholar]
- Elias, S.; Beer, M. Vibration Control and Energy Harvesting of Offshore Wind Turbines Installed with TMDI under Dynamical Loading. Eng. Struct. 2024, 315, 118459. [Google Scholar] [CrossRef]
- Zakir, M.N.; Abasin, A.R.; Irshad, A.S.; Elias, S.; Yona, A.; Senjyu, T. Practical Wind Turbine Selection: A Multicriterion Decision Analysis for Sustainable Energy Infrastructure. Pract. Period. Struct. Des. Constr. 2024, 29, 04024028. [Google Scholar] [CrossRef]
- Villalobos, F.A.; Byrne, B.W.; Houlsby, G.T. Model Testing of Suction Caissons in Clay Subjected to Vertical Loading. Appl. Ocean Res. 2010, 32, 414–424. [Google Scholar] [CrossRef]
- Kou, H.; Fang, W.; Zhou, N.; Huang, J.; Zhang, X. Dynamic Response of Single-Bucket Foundation in Clay under Vertical Variable Amplitude Cyclic Loadings. Ocean Eng. 2023, 273, 113973. [Google Scholar] [CrossRef]
- Chen, W.; Randolph, M.F. Uplift Capacity of Suction Caissons under Sustained and Cyclic Loading in Soft Clay. J. Geotech. Geoenviron. Eng. 2007, 133, 1352–1363. [Google Scholar] [CrossRef]
- Zografou, D.; Gourvenec, S.; O’Loughlin, C. Vertical Cyclic Loading Response of Shallow Skirted Foundation in Soft Normally Consolidated Clay. Can. Geotech. J. 2019, 56, 473–483. [Google Scholar] [CrossRef]
- Jiang, J.; Wang, D.; Fu, D. Vertical Monotonic and Cyclic Responses of a Bucket in Over-Consolidated Clay. J. Mar. Sci. Eng. 2023, 11, 2044. [Google Scholar] [CrossRef]
- Randolph, M.F. Offshore Design Approaches and Model Tests for Sub-Failure Cyclic Loading of Foundations. In Mechanical Behaviour of Soils under Environmentally Induced Cyclic Loads; Di Prisco, C., Wood, D.M., Eds.; CISM Courses and Lectures; Springer: Vienna, Austria, 2012; pp. 441–480. ISBN 978-3-7091-1068-3. [Google Scholar]
- Randolph, M.; Gourvenec, S. Offshore Geotechnical Engineering; CRC Press: London, UK, 2017; ISBN 978-1-315-27247-4. [Google Scholar]
- Cheng, X.; Yang, A.; Li, G. Model Tests and Finite Element Analysis for the Cyclic Deformation Process of Suction Anchors in Soft Clays. Ocean Eng. 2018, 151, 329–341. [Google Scholar] [CrossRef]
- Iskander, M.; El-Gharbawy, S.; Olson, R. Performance of Suction Caissons in Sand and Clay. Can. Geotech. J. 2002, 39, 576–584. [Google Scholar] [CrossRef]
- Houlsby, G.T.; Abadie, C.N.; Beuckelaers, W.J.A.P.; Byrne, B.W. A Model for Nonlinear Hysteretic and Ratcheting Behaviour. Int. J. Solids Struct. 2017, 120, 67–80. [Google Scholar] [CrossRef]
- Abadie, C. Cyclic Lateral Loading of Monopile Foundations in Cohesionless Soils. Ph.D. Thesis, University of Oxford, Oxford, UK, 2015. [Google Scholar]
- Liu, H.; Pisanò, F.; Jostad, H.P.; Sivasithamparam, N. Impact of Cyclic Strain Accumulation on the Tilting Behaviour of Monopiles in Sand: An Assessment of the Miner’s Rule Based on SANISAND-MS 3D FE Modelling. Ocean Eng. 2022, 250, 110579. [Google Scholar] [CrossRef]
- Houlsby, G.T.; Kelly, R.B.; Huxtable, J.; Byrne, B.W. Field Trials of Suction Caissons in Clay for Offshore Wind Turbine Foundations. Géotechnique 2005, 55, 287–296. [Google Scholar] [CrossRef]
- Andersen, K.H. Bearing Capacity under Cyclic Loading—Offshore, along the Coast, and on Land. Can. Geotech. J. 2009, 46, 513–535. [Google Scholar] [CrossRef]
- Jostad, H.; Grimstad, G.; Andersen, K.; Saue, M.; Shin, Y.; You, D. A FE Procedure for Foundation Design of Offshore Structures—Applied to Study a Potential OWT Monopile Foundation in the Korean Western Sea. Geotech. Eng. 2014, 45, 63–72. [Google Scholar]
- Zhang, C.; Wang, D.; Zheng, J. A Cyclic-Softening Macro Element Model for Mono-Bucket Foundations Supporting Offshore Wind Turbines in Clay. Comput. Geotech. 2023, 161, 105603. [Google Scholar] [CrossRef]
- Andersen, A. Cyclic Soil Parameters for Offshore Foundation Design. In Proceedings of the 3rd International Symposium on Frontiers in Offshore Geotechnics, Oslo, Norway, 10 June 2015. [Google Scholar]
- Skau, K.S.; Chen, Y.; Jostad, H.P. A Numerical Study of Capacity and Stiffness of Circular Skirted Foundations in Clay Subjected to Combined Static and Cyclic General Loading. Géotechnique 2018, 68, 205–220. [Google Scholar] [CrossRef]
- Jostad, H.; Andresen, L. A FE Procedure for Calculation of Displacement and Capacity of Foundations Subject to Cyclic Loading. In Proceedings of the 1st International Symposium on Computational Geomechanics, Juan les Pins, France, 29 April 2009. [Google Scholar]
- Manuals-PLAXIS-GeoStudio|PLAXIS Wiki-GeoStudio|PLAXIS-Bentley Communities. Available online: https://communities.bentley.com/products/geotech-analysis/w/wiki/46137/manuals---plaxis (accessed on 23 April 2024).
- Khoa, H.D.V.; Jostad, H.P. Application of a Cyclic Accumulation Model UDCAM to FE Analyses of Offshore Foundations. In Proceedings of the 4th Congrès International de Géotechnique—Ouvrages-Structures, Ho Chi Minh City, Vietnam, 26 October 2017. [Google Scholar]
- Andersen, K.H.; Engin, H.K.; D’Ignazio, M.; Yang, S. Determination of Cyclic Soil Parameters for Offshore Foundation Design from an Existing Data Base. Ocean Eng. 2023, 267, 113180. [Google Scholar] [CrossRef]
- Skau, K.S.; Jostad, H.P. Application of the NGI-Procedure for Design of Bucket Foundations for Offshore Wind Turbines. In Proceeding of the 24th International Ocean and Polar Engineering Conference, Busan, Republic of Korea, 15 June 2014. [Google Scholar]
- Rasch, C. Modelling of Cyclic Soil Degradation: Development of a Cyclic Accumulation Model and the Application to a Gravity Based Foundation. Master’s Thesis, Delft University of Technology, Delft, The Netherlands, 2016. [Google Scholar]
- API RP 2GEO Geotechnical and Foundtaion Design Considerations. Available online: https://www.intertekinform.com/en-au/standards/api-rp-2geo-2011-add-1-2014-97863_saig_api_api_206786/ (accessed on 3 July 2024).
- Jostad, H.; Grimstad, G.; Andersen, K.; Sivasithamparam, N. A FE procedure for calculation of cyclic behaviour of offshore foundations under partly drained conditions. In Proceedings of the 3rd International Symposium on Frontiers in Offshore Geotechnics, Oslo, Norway, 10 June 2015. [Google Scholar]
- Supachawarote, C. Inclined Load Capacity of Suction Caisson in Clay. Ph.D. Thesis, The University of Western Australia, Perth, Australia, 2006. [Google Scholar]
- Shen, K.; Jiang, J.; Wang, D.; Zheng, J. Capacities of Tripod Bucket Foundation under Uniaxial and Combined Loading Considering Adhesion Factor. Mar. Georesour. Geotechnol. 2022, 40, 1520–1528. [Google Scholar] [CrossRef]
- Banaszek, A.; Petrovic, R.; Zylinski, B. Finite Element Method Analysis of Pipe Material Temperature Changes Influence on Line Expansion Loops in Hydraulic Installations on Modern Tankers. Therm. Sci. 2011, 15, 81–90. [Google Scholar] [CrossRef]
- ASTM D6528-17; Standard Test Method for Consolidated Undrained Direct Simple Shear Testing of Cohesive Soils. ASTM International: West Conshohocken, PA, USA, 2017.
- Lunne, T.; Andersen, K.H. Soft clay shear strength parameters for deepwater geotechnical design. In Proceedings of the 6th International Offshore Site Investigation and Geotechnics Conference, London, UK, 11 September 2007. [Google Scholar]
- DNV-RP-E303 Geotechnical Design and Installation of Suction Anchors in Clay. Available online: https://www.dnv.com/oilgas/download/dnv-rp-e303-geotechnical-design-and-installation-of-suction-anchors-in-clay/ (accessed on 3 July 2024).
- Andersen, K.H.; Jostad, H.P. Foundation Design of Skirted Foundations and Anchors in Clay. In Proceedings of the 31st Offshore Technology Conference, Houston, TX, USA, 3 May 1999. [Google Scholar]
- Wang, J.; Yang, H. Model Tests and Numerical Simulation on Bearing Capacity of Bucket Foundations in Soft Clay Under Vertical Static and Cyclic Loads. In Proceedings of the Seventeenth International Offshore and Polar Engineering Conference, Lisbon, Portugal, 1–6 July 2007; p. ISOPE-I-07-346. [Google Scholar]













| Case | su (kPa) | Vc/V0 |
|---|---|---|
| 1 | 6.5 + 0.55z | 0.42 |
| 2 | 6.5 + 0.55z | 0.53 |
| 3 | 11.6 | 0.58 |
| 4 | 9.0 + 0.4z | 0.37 |
| 5 | 9.0 + 0.4z | 0.51 |
| 6 | 6.0 + 0.18z | 0.64 |
| Case | D (m) | L/D | su (kPa) | α | Vc/V0 |
|---|---|---|---|---|---|
| A | 8 | 0.5 | 6.5 + 0.55z | 0.5 | 0.42 |
| B | 8 | 0.5 | 11.6 | 0.5 | 0.58 |
| C | 2 | 3 | 6.5 + 0.55z | 0.5 | 0.42 |
| D | 2 | 3 | 11.6 | 0.5 | 0.58 |
| E | 4 | 1.5 | 30 | 0.65 | 0.30 |
| F | 4 | 1.5 | 10 + z | 0.3 | 0.50 |
Disclaimer/Publisher’s Note: The statements, opinions and data contained in all publications are solely those of the individual author(s) and contributor(s) and not of MDPI and/or the editor(s). MDPI and/or the editor(s) disclaim responsibility for any injury to people or property resulting from any ideas, methods, instructions or products referred to in the content. |
© 2024 by the authors. Licensee MDPI, Basel, Switzerland. This article is an open access article distributed under the terms and conditions of the Creative Commons Attribution (CC BY) license (https://creativecommons.org/licenses/by/4.0/).
Share and Cite
Jiang, J.; Luo, C.; Wang, D. Numerical Simulation of Vertical Cyclic Responses of a Bucket in Over-Consolidated Clay. J. Mar. Sci. Eng. 2024, 12, 1319. https://doi.org/10.3390/jmse12081319
Jiang J, Luo C, Wang D. Numerical Simulation of Vertical Cyclic Responses of a Bucket in Over-Consolidated Clay. Journal of Marine Science and Engineering. 2024; 12(8):1319. https://doi.org/10.3390/jmse12081319
Chicago/Turabian StyleJiang, Jun, Chengxi Luo, and Dong Wang. 2024. "Numerical Simulation of Vertical Cyclic Responses of a Bucket in Over-Consolidated Clay" Journal of Marine Science and Engineering 12, no. 8: 1319. https://doi.org/10.3390/jmse12081319
APA StyleJiang, J., Luo, C., & Wang, D. (2024). Numerical Simulation of Vertical Cyclic Responses of a Bucket in Over-Consolidated Clay. Journal of Marine Science and Engineering, 12(8), 1319. https://doi.org/10.3390/jmse12081319

