Next Article in Journal
Power Generation Optimization for Next-Generation Cruise Ships with MVDC Architecture: A Dynamic Modeling and Simulation Approach
Next Article in Special Issue
Advanced Capacitor-Based Battery Equalizer for Underwater Vehicles
Previous Article in Journal
Improved Whale Optimization Algorithm for Maritime Autonomous Surface Ships Using Three Objectives Path Planning Based on Meteorological Data
Previous Article in Special Issue
Response of Shallow-Water Temperature and Significant Wave Height to Sequential Tropical Cyclones in the Northeast Beibu Gulf
 
 
Font Type:
Arial Georgia Verdana
Font Size:
Aa Aa Aa
Line Spacing:
Column Width:
Background:
Article

Multidimensional Evaluation of Altimetry Marine Gravity Models with Shipborne Gravity Data from a New Platform Marine Gravimeter

1
State Key Laboratory of Geodesy and Earth’s Dynamics, Innovation Academy for Precision Measurement Science and Technology, Chinese Academy of Sciences, Wuhan 430077, China
2
School of Geography and Information Engineering, China University of Geosciences (Wuhan), Wuhan 430074, China
*
Authors to whom correspondence should be addressed.
J. Mar. Sci. Eng. 2024, 12(8), 1314; https://doi.org/10.3390/jmse12081314
Submission received: 13 June 2024 / Revised: 1 August 2024 / Accepted: 2 August 2024 / Published: 3 August 2024
(This article belongs to the Special Issue Ocean Observations)

Abstract

With the development of satellite altimetry technology and the application of new altimetry satellites, the accuracy and resolution of altimeter-derived gravity field models have improved over the last decades. Nowadays, they are close enough to shipborne gravimetry. In this paper, multi-source shipborne gravity data in the South China Sea were taken to evaluate the accuracies of two high-precision altimeter-derived marine gravity field models (SS V30.1, DTU17). In these shipborne gravity data, there are dozens of routes’ ship gravimetry data, obtained from the National Geophysical Data Center (NGDC); data were tracked from a marine survey with a commercial marine gravimeter (type KSS31M), and data were tracked from a marine gravimetry campaign that was conducted with a newly developed platform gravimeter (type JMG) in the South China Sea in September 2020. After various data filtering, processing, and calibrations, the shipborne gravity data were validated with crossover points analysis. Then, the processed shipborne data were employed to evaluate the accuracy of the altimeter-derived marine gravity field models. During this procedure, the quality of JMG shipborne gravity data was compared with the results of KSS31M and NGDC data. Analysis and evaluation results show that the crossover points verification accuracies of KSS31M and JMG are 0.70 mGal and 1.61 mGal, which are much better than the accuracy of NGDC, which is larger than 8.0 mGal. In the area where the bathymetry changes slowly, the root mean square error values between altimetry gravity models and KSS31M data are respectively 3.28 mGal and 4.54 mGal, and those of the JMG data are respectively 2.94 mGal and 2.60 mGal. According to the above results, we can conclude that the JMG has the same 1–2 mGal accuracy level as KSS31M and can meet the measurement requirements of marine gravity.

1. Introduction

The marine gravity field is an important part of the earth’s gravity field. Information about the marine gravity field is significant for marine resource exploration, earth system science research, and national defense security [1]. High-precision marine gravity field observations are used for theoretical research on geoid refinement, earth mass distribution, and marine geological structure. It also plays an important role in engineering applications such as inertial navigation, gravity-matching-aided navigation, and marine mineral exploitation [2].
Marine gravity measurement technology mainly includes satellite gravimetry, satellite altimetry, airborne gravimetry, and shipborne gravimetry. With the development of satellite altimetry technology and the application of new altimetry satellites, the accuracy of altimeter-derived gravity field models is close to 1–2 mGal (1 mGal = 1 milligal = 10−5 m/s2) while the resolution of the models is 1–2’ (1′= 1 n mile = 1852 m). Benefiting from its rapid global ocean coverage, satellite altimetry has become the main measuring technology used to obtain large-scale ocean gravity fields at present [3]. Meanwhile, shipborne gravimetry usually has higher spatial resolution and accuracy, which can be attributed to its closer measuring distance and slower movement speed [4,5]. So, high-quality shipborne gravity data can be used to evaluate the accuracy, spatial resolution, and frequency characteristics of altimeter-derived marine gravity field models.
Nowadays, different gravimeters on the same ship are taken in comparison to obtain external references for accuracy verification [6]. Marine gravimetry was conducted in 2013, a commercial L&R sea gravimeter (a spring sensor-based gravimeter manufactured by LaCoste & Romberg based in Lafayette, USA) and an independently developed SGA-WZ strapdown gravimetry system (an inertial sensor-based gravimeter manufactured by the National University of Defense Technology, Changsha, China) were mounted side by side and the results were taken for comparison and analysis [7,8]. Another comparative test of a metal spring-based scalar gravimeter CHZ-II (a spring sensor-based gravimeter manufactured by Innovation Academy for Precision Measurement Science and Technology, Chinese Academy of Sciences, Wuhan, China) with a commercial gravimeter KSS32 (a marine gravimeter manufactured by Bodensee Gravitymeter Geo-System Company, Meersburg, Germany) was performed in 2017, and the performance of the instrument during marine surveys was assessed [9]. In 2017 and 2018 GFZ (Helmholtz-Centre Potsdam—German Research Centre for Geosciences) performed two gravimetry campaigns on commercial ferries in the Baltic Sea with a traditional mobile gravimeter Chekan-AM (a marine gravimetric system manufactured by CSRI Elektropribor based in Saint Petersburg, Russia), for gravimetric geoid modeling and other geodetic purposes [10]. Based on the high quality of shipborne gravity data, they can be employed to evaluate the accuracy, spatial resolution, and frequency characteristics of altimeter-derived marine gravity field models. Zhang et al. (2020) and Dong et al. (2020) respectively used shipborne gravity data to evaluate the SS and DTU series altimeter-derived gravity field models, and the trends between shipborne gravity data and gravity field models were consistent [11,12]. Zhang, Li, and Kong (2020) calculated the root mean square errors (RMS) between the SS V23.1 and DTU13 models, and 683 shipborne survey lines, which were provided by the National Centers for Environmental Information (NCEI); the results show that the overall accuracy of the DTU13 and V23.1 models is basically equivalent, and the RMS is about 4~8 mGal [13]. Li, Bao, and Wang (2021) compared the SS V24.1, SS V27.1, DTU10, and DTU13 models with NCEI and 908 Project data; the results show that the RMS between the altimeter-derived gravity field models and ship gravity data from NCEI or 908 Project are respectively 7 mGal and 3~14 mGal [14]. Wang et al. (2023) evaluated the accuracy and estimated the real spatial resolution of marine gravity field models using two sets of shipborne gravity data [15].
In this paper, shipborne gravity data in the South China Sea were collected by a new platform JMG marine gravimeter, and classical gravimeters were used to evaluate the accuracy and other characteristics of two typical altimeter-derived marine gravity field models. They were derived from different qualities and measuring ages of ship survey data. After data processing, different comparative results between ship gravity data and models emerged. In addition, in these comparisons, the accuracy and instrument performance of the new platform JMG marine gravimeter were tested and verified again in more dimensions than previously. Through the multidimensional evaluation with shipborne gravity data, the accuracies of altimetry marine gravity models in different sea areas can be compared and estimated. As the two main techniques of marine gravity measurement, the comprehensive and synthetical verification or evaluation of shipborne gravity data and altimetry marine gravity models is an integral stage of precise global ocean gravity field measurement and construction.

2. JMG Marine Gravimeter

The JMG (short for JMGrav) marine gravimeter, illustrated in Figure 1, is a new platform marine relative gravimeter developed by the Institute of Innovation Academy for Precision Measurement Science and Technology, Chinese Academy of Sciences [16,17]. The system composition diagram is demonstrated in Figure 2. With damping and temperature control, the spring gravity sensor can accurately sense subtle changes in the gravity field. The inertially stabilized platform can eliminate the influence of the carrier’s motion acceleration and continuously provide a steady state of gravity measurement for the sensor. Consequently, this mobile gravimeter system, composed of spring gravity sensor and platform, can be installed on the vessels to conduct marine gravimetry during cruising, even in rough sea conditions, with an expected dynamic accuracy of 1 mGal magnitude or higher. Of course, like all other current marine gravimeters, the spring sensor-based marine gravimeter is a relative gravimeter, measuring the relative changes in the gravity field at different locations. In contrast, free-fall gravimeters, superconducting gravimeters, atom interferometers, and microelectromechanical systems (MEMS) can obtain a high accuracy (several to tens microgal, 1 microgal = 1 μGal = 10−8 m/s2) during long-term static measurement, but they still require external technical devices such as platforms to damp the influence of carrier’s motion acceleration, for the realization of dynamic measurement accuracy of 1 mGal magnitude [18,19,20]. The main parameters of the JMG marine gravimeter are listed in Table 1.
Key technological innovations in the JMG marine gravimeter include the following:
(1) The elastic system of gravity sensor is based on electromagnetic damping technology. Compared with traditional liquid damping, it is not so sensitive to environmental temperature so is more stable and controllable. Moreover, the damping coefficient can be set flexibly according to different sea conditions. These characteristics can greatly improve the anti-interference ability and measurement accuracy under rough sea conditions.
(2) The platform control system is based on H∞ mixed sensitivity control technology that can independently and passively control the platform attitude without global navigation satellite system (GNSS) or other external radio information.
(3) The Precision temperature control system with a three-layer constant temperature structure design ensures the gravimeter can work on a worldwide scale from the equator to the poles.

3. Shipborne Gravity Data Processing

3.1. Marine Gravimetry in the South China Sea

In September 2020, the JMG gravimeter was installed on the survey carrier Dongfanghong No.03 Research Vessel to conduct the marine gravimetry along the trajectory in the South China Sea (indicated by the red solid line in Figure 3), and 10 days of gravity data were ultimately obtained. During this survey, grid lines were implemented for crossover points verification (indicated by the yellow dotted rectangle in Figure 3 and blue lines in the enlarged image of Figure 4).

3.2. JMG Data Processing Flow

To figure out problems and make improvements for this new instrument, the no-filtering raw data of JMG with a 1-s sampling interval were outputted at first. Gaussian noise with an average value of zero exists in its output data. Before data processing, filtering is required to remove high-frequency noise.
The data post-processing results are directly affected by the filter parameter settings. The main parameter of the low-pass filter is the cut-off wavelength, as this corresponds to the resolution of the final gravimetry results [21]. If the cut-off wavelength is too long, it could eliminate the high-frequency noise, while the spatial resolution of the data would be reduced. Conversely, if the cutoff wavelength is too short, it could improve spatial resolution; however, the final results would include residual high-frequency noise. Therefore, before filtering to distinguish between the frequencies of valid gravity information and noise, it is necessary to make a spectrum analysis of the original gravity output raw data.
The JMG gravimeter data processing flow is as follows (demonstrated in Figure 5):
  • Establish the data processing model;
  • Raw data filtering with a low pass filter;
  • Calculate the drift correction, which is due to the slow creep of the spring during the long voyage, and draught correction, which is induced by the elevation difference between the ship’s gravimeter cabin and the dock reference absolute gravity point;
  • Calculate the Eotvos correction values according to the GNSS navigation information;
  • Calculate the free-air gravity anomaly with the normal gravity and the absolute gravity value of the harbor datum point/reference point;
  • Crossover points verification, which reflects the measurement repeatability of the gravimeter.
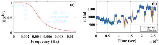
As shown in Figure 6a, we selected a section of gravity data when the vessel was stationary, the values on the vertical axis are raw gravity data readings, which can be used to calculate gravity anomalies with normal gravity and the absolute gravity value of the harbor datum point/reference point. Then, we obtained its spectrum by fast Fourier transform. It can be observed from Figure 6b that the noise frequency is mainly concentrated above 0.01 Hz. Through experimental verification, the Butterworth low-pass filter with passband cut-off frequency of 0.0033 Hz and stopband cut-off frequency of 0.005 Hz is selected, and the transfer function of the low-pass filter in the frequency domain is shown in Figure 7a.
After determining the parameters of the low-pass filter, it is used to remove the high-frequency noise of the raw data, and the final results are shown in Figure 7b. As can be seen from Figure 7b, low-pass filtering can effectively suppress high-frequency noise, but cannot remove the effect of gross error. Therefore, it is better to remove gross errors before filtering. Some steps in the curve indicate the influence of the Eotvos effect, which is caused by the changes in velocity and heading (mainly the eastward-to-westward motion); the amount of Eotvos effect in marine gravimetry can reach tens or even a hundred milligals (milligal = mGal).
Also, the position and velocity information of the gravity data are measured by GNSS receivers, The gravimeter is generally installed in the most stable cabin of the ship, while the GNSS receiver is installed on the upper deck of the ship. Therefore, the GNSS measurement would be affected by the periodicity of the sea wave. To eliminate this influence, the velocity or the Eotvos correction value should also be filtered by the low-pass filter.
The equation to calculate the gravity data from JMG raw measurements is:
g F = g 0 + 0.3086 H + K S S 0 + δ g E + δ g K + δ g C γ
where g F is the free-air gravity anomaly, g 0 is the absolute gravity value of the harbor reference point, H is the height from the gravity center of the gravimeter to the average sea surface, K is the scale factor of the JMG gravimeter, S is the gravimeter’s output value of the measurement point, S 0 is the gravimeter’s output value of the harbor reference point, δ g E is the Eotvos correction, δ g K is the drift correction, δ g C is the draught correction, and γ is the normal gravity.
After calibrations and corrections, gravity anomalies could be obtained asit can be seen in Figure 8a–d. Then the standard deviation (STD) of crossover points can be calculated:
σ g = i = 1 n d i 2 2 n
where d i = g i 1 g i 2 , g i 1 is the gravity anomaly measured for the first time at the i th crossover point, g i 2 is the gravity anomaly measured for the second time at the i th crossover point, and n is the number of crossover points [5,15]. It can be seen that the value of σ g is equal to the STD calculated by the discrepancy of crossover points.
The gravity difference values at crossover points are presented in Figure 9. It can be seen that the values are in the range of −2.23 to 2.94 mGal, while the absolute values are from 0.22 to 2.94 mGal. With Equation (2), it can be calculated that the STD of the crossover points during this trajectory is 1.61 mGal.
The result of crossover points verification reflects the measurement repeatability of the gravimeter, and the accuracy of shipborne data from the JMG gravimeter in this survey can be validated as 1.61 mGal. Considering this survey and the other sea trials’ results [16,17], the performance of the JMG marine gravimeter has been proven to meet the requirement of marine gravimetry (~2 mGal), so these data can be chosen to evaluate the altimetry marine gravity models.

4. Multidimensional Evaluation of Altimetry Marine Gravity Models with Shipborne Gravity Data

The marine gravity field models SS series and DTU series, which were respectively issued by the Scripps Institution of Oceanography, University of California San Diego (SIO), and the Technical University of Denmark (DTU), are two of the most advanced models with highest accuracy in the world. Both of the two models are in a state of continuous updating. The models of SS V30.1 from SIO and DTU17 from DTU are introduced to the evaluation in this paper. They adopted a different multi-satellite altimeter dataset and data processing methods that ensure independence from the recovered model. SS V30.1 adopted new altimeter data from Envisat, Cryosat-2, Jason-1/2, and Altika. Advanced data processing methods such as retracking waveforms, slope correction, biharmonic spline interpolation, multiple filtering, and Laplace equation are employed for gravity recovery. DTU17 employed the altimeter data from Geosat, ERS-1, Cryosat-2, Jason-1, and Altika, which were processed with the double waveform retracking method to improve the range accuracy, especially in coastal and polar regions. And it calculated the marine gravity by the inverse Stokes formula from an altimeter-measured geoid. The accuracies of the latest versions are 1~2 mGal in most oceanic regions worldwide [3,22,23]. As in the South China Sea, the accuracies of the two models are about 1.5~6 mGal [24,25], and the spatial resolution is 1 arcminute (1 arcminute = 1′= 1 n mile = 1852 m); the SS series covers 85° S~85° N and the DTU series covers 90° S~90° N. The SS V30.1 model was released in 2020, and the DTU17 model was released in 2017.
Except for the shipborne gravity data from the JMG gravimeter (green lines in Figure 10), data were tracked from the KSS31M marine gravimeter (purple lines in Figure 10), and dozens of routes’ ship gravimetry data (red lines in Figure 10) from NGDC (formerly The National Geophysical Data Center, now National Centers for Environmental Information, NCEI) were also employed for evaluation of the marine gravity models.

4.1. Evaluation of Altimetry Models with Shipborne Gravity Data from NGDC

The NGDC’s survey data are provided by different countries, different institutions, and at different times. There are all kinds of outliers and systematic errors in these data, so it is difficult to eliminate the errors by the same data processing flow. Therefore, it is better to divide the NGDC’s data by different sorts of survey tracks.
There are 51 survey tracks in the South China Sea (Figure 10) and 325,869 gravity measurement points, which were processed with hundreds of seconds (usually 180–300 s) of filtering from raw gravity measurements at 1 Hz output frequency, so the spatial resolution of these shipborne gravity data is about 1 n mile, which is close to the spatial resolution of marine altimetry gravity models. First of all, the tracks with outliers or having a distance between two adjacent points greater than 2 km were eliminated. Then, we deleted the tracks in which the trends between the tracks’ data and altimeter-derived gravity field models were distinctly not continuous, such as linear drift or a sudden drop that occurred in the tracks’ data. Finally, if the RMS between altimeter-derived gravity field models and NGDC’s data is too large, the track’s data would be deleted. The data of these tracks were considered unqualified due to the low measuring instrument accuracy and vessel navigation accuracy before the 1980s. After the above steps, there were 24 tracks and 238,140 gravity measurement points remaining (right of Figure 11). The STD values of crossover points of the NGDC shipborne gravity data before and after removing gross errors can be calculated with Equation (2), and the results are presented in Table 2. It can be seen that, after removing the tracks with gross errors, the STD of crossover points of the NGDC shipborne gravity data is 8.09 mGal, which is derived from 1503 crossover points. So, the inner consistency accuracy of shipborne data from NGDC in this evaluation can be validated as 8.09 mGal. Moreover, NGDC and JMG shipboard data were compared before and after removing gross errors. The results presented in Table 3 indicate that the RMS between NGDC and JMG shipborne data is 6.10 mGal after removing errors.
Based on the crossover points verification and contrastive analysis, the NGDC data were compared with the altimetry marine gravity models. The RMS values between models and NGDC shipboard data before and after removing errors can also be obtained, as presented in Table 4. After removing tracks with gross errors, the RMS between SS V30.1 and NGDC data is 7.17 mGal, while the RMS between DTU17 and NGDC data is 6.58 mGal.

4.2. Evaluation of Altimetry Models with Shipborne Gravity Data from KSS31M

KSS31M gravimeter is a commercial marine gravimeter produced by the Bodensee company in Germany (Cai et al. 2017; Yuan et al. 2020; Tu et al. 2021). Because of its high accuracy and strong anti-interference ability, it has been used by many companies and scientific research institutions. In 2010, we performed one gravimetry campaign in the South China Sea (see Figure 10) and received a track of about 2600 km in length with 837,801 observation points. Similarly, after data processing, the STD of crossover points of the KSS31M shipborne gravity data can be calculated with Equation (2). The result of STD, which is 0.70 mGal, indicates the outstanding inner consistency accuracy of the KSS31M gravimeter in this track. In contrast, the accuracy of NGDC shipborne data is 8.09 mGal.
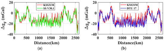
Accordingly, the shipborne gravity data from KSS31M were taken for comparison with the altimetry models, and the results are shown in Figure 12 and Table 5. It can be found that the RMS between SS V30.1 and KSS31M shipborne data is 3.28 mGal, while the RMS between DTU17 and KSS31M is 4.54 mGal. The two values are obviously smaller than the RMS values between the same models and NGDC shipborne data, which are 7.17 and 6.58 mGal.

4.3. Multidimensional Evaluation of Altimetry Models with Shipborne Gravity Data from JMG

As mentioned in Section 3, after various corrections, the shipborne gravity data from the JMG gravimeter (displayed in Figure 8) have an accuracy of 1.61 mGal, which is obtained via crossover points verification. Consequently, it can be employed to evaluate altimetry marine gravity models. The comparison between models and JMG shipboard data is demonstrated in Figure 13a,b. The black dotted box in Figure 13a is the stationary state of the ship. It can be seen that when the ship moves at a uniform speed, the gravity value will have an overall deviation. After statistics, when the ship travels from east to west, the deviation is about −13 mGal, and when the ship travels from west to east, the deviation is about +6 mGal; meanwhile, the size is related to the speed. Because the deviation is systematic, the case of a sudden drop in the gravimeter is excluded. According to previous tests, it was determined that the scale factor of the JMG changed (Dong et al. 2020). The scale factor of the JMG is 600 10 5 m/s2/mv. After re-calibration, the scale factor is 680 10 5 m/s2/mv. We calculated the gravity by the new scale factor and deleted the turning and stationary sections of the JMG shipborne data. It is shown in Figure 13c,d that the gravity anomaly variation in models and JMG data is consistent.
The comparison results of RMS between altimeter-derived gravity field models and JMG shipborne data are shown in Table 6. The RMS between SS V30.1 and JMG shipborne data is 5.49 mGal, while the RMS between DTU17 and JMG is 4.28 mGal. The two values are more consistent with the results of KSS31M in Table 5, but significantly different from the results of NGDC in Table 4.
To analyze the relationship between gravity anomaly and bathymetry, the water depth along the ship track was calculated by global bathymetry data provided by GEBCO (General Bathymetric Chart of the Oceans). It can be seen from Figure 14a that the variation in depth is from 500 m to 4500 m and the variations in depth and gravity anomaly in Figure 13 are consistent. Due to the rapid change in water depth in the first 400 km of the survey track, it is difficult to calculate the correlation coefficient, so the track from 400 km to 1100 km was selected to calculate the correlation coefficient between gravity anomaly and bathymetry. As shown in Table 7, it can be concluded that the JMG gravimeter can detect the bathymetry effectively and efficiently. However, there is a phase delay between JMG’s data and models’ data when the depth of the water is changed rapidly (Figure 14b), and in these sections, the RMS between JMG’s data and models’ data is greater than 10 mGal. So, to remove the influence of the phase delay, the sections in which the depth change is slow were selected to calculate the RMS, and the results are shown in Table 8.
Based on the above results, we can see that the accuracy of the JMG is equivalent to that of the KSS31M in sea areas where the water depth changes slowly.

5. Discussion

According to statistics, developed countries in the world have only preliminarily completed precise surveys of marine gravity covering the offshore, and gravity data in other sea areas are still quite scarce. Relying on traditional shipborne gravimetry requires many resources to complete the gravimetry mission in offshore and adjacent sea areas, while the acquisition of gravity data in oceans has to rely on the data provided by other technologies such as satellite altimetry.
To obtain marine gravity data efficiently, the GFZ (German Research Centre for Geosciences) performed two gravity measurement campaigns on commercial ferries in the Baltic Sea (Ince et al. 2020). The results show that with the high-precision data processing method, the gravity measurement accuracy on the ferry can reach the 1 mGal level. As there are only a few crossover points between the ferry lines, to evaluate the accuracy of the ferry lines, the standard deviation between the ferry lines and previous gravity lines was calculated. However, this method can only evaluate the accuracy of the ferry lines that have previous gravity measurement data. Meanwhile, because the distance between two crossover points is too large, it is difficult to determine whether the gravimetry was affected by other factors during this period.
It is an effective method to evaluate the accuracy of altimeter-derived gravity field models by conducting detailed and multidimensional comparisons with shipborne gravity data. Moreover, we can detect a sudden change and determine whether this change is affected by gravity or other factors, in this way. Therefore, we can combine the commercial ferry and gravimetry by external coincidence accuracy, and this not only can effectively save costs but also improve the efficiency of gravity measurement. Furthermore, a benefit of developing a long-range commercial ferry is that it can provide data support for geoid refinement by connecting the existing gravity data in different regions.

6. Conclusions

In this paper, shipborne gravity data in the South China Sea were collected by a new platform JMG marine gravimeter, and classical gravimeters were used to evaluate the accuracy and other characteristics of two typical altimeter-derived marine gravity field models SS V30.1 and DTU17. Through comparative analysis, the following conclusions can be deduced:
(1) Analysis and evaluation results show that the crossover points verification accuracies of KSS31M and JMG are 0.70 mGal and 1.61 mGal, which are much better than the accuracy of NGDC, which is larger than 8.0 mGal. In some areas, the change in bathymetry can be detected effectively and efficiently by JMG gravimeter measurements.
(2) For the existing data results (such as shipborne gravity data provided by NGDC), the high-precision marine gravity field models can also be used to detect the bias, so as to improve the utilization rate of these data.
(3) As a new type of platform marine gravimeter, JMG has the same accuracy level as KSS31M in the area where the bathymetry changes slowly, and can meet the measurement requirements of marine gravimetry. which demands a 2 mGal repetition accuracy.
An important benefit from electromagnetic damping in the spring gravity sensor and passive inertially stabilized platform without GNSS is that the JMG gravimeter can implement marine measurements under various sea conditions and achieve excellent accuracy. However, it still requires a large number of actual marine tests to evaluate its effectiveness and reliability, and various situations need to be considered in the marine experiments and performance evaluation. This new marine gravimeter also suffers from the disadvantage of having a long response time, like other spring-based dynamic gravimeters. So, the measurement data quality decreases significantly during maneuvering or large course adjustments. Therefore, the adaptability of this new platform marine gravimeter under different sailing conditions remains to be assessed.

Author Contributions

Conceptualization, L.W., L.B. and Y.W.; methodology, L.W. and Q.L.; software, B.W.; validation, B.W., L.W. and P.W.; formal analysis, L.B.; investigation, B.W.; resources, P.W.; data curation, Q.L.; writing—original draft preparation, B.W.; writing—review and editing, L.W.; visualization, B.W.; supervision, L.W.; project administration, L.B.; funding acquisition, L.B. All authors have read and agreed to the published version of the manuscript.

Funding

This work was supported by the National Natural Science Foundation of China (Grant nos. 41931076, 42192535, 42274116, and 42174102), and the Basic Frontier Science Research Program of the Chinese Academy of Sciences (grant no. ZDBSLY-DQC028).

Data Availability Statement

The original contributions presented in the study are included in the article; further inquiries can be directed to the corresponding author.

Acknowledgments

The authors would like to send their warmest thanks to the University of California at San Diego and Technical University of Denmark for providing the radar altimeter-derived gravity models used in this study. Additionally, our sincerest thanks to GEBCO (General Bathymetric Chart of the Oceans) and NGDC, for providing the bathymetry datasets and shipborne gravity data.

Conflicts of Interest

The authors declare no conflicts of interest.

References

  1. Xiong, Z.M.; Cao, J.L.; Liao, K.X.; Wu, M.P.; Cai, S.K.; Yu, R.H.; Wang, M.H. A new method for underwater dynamic gra-vimetry based on multisensor integrated navigation. Geophysics 2020, 85, G69–G80. [Google Scholar] [CrossRef]
  2. Liu, M.; Huang, M.; Ouyang, Y.; Deng, K.; Zhai, G.; Lu, X.; Wu, T.; Chen, X. Development and Prospect of Air-sea Gravity Survey and Its Applications, Part I: Objective, Significance and Technical System. Hydrogr. Surv. Charting 2017, 37, 1–5. (In Chinese) [Google Scholar]
  3. Sandwell, D.T.; Muller, R.D.; Smith, W.H.F.; Garcia, E.; Francis, R. New global marine gravity model from CryoSat-2 and Jason-1 reveals buried tectonic structure. Science 2014, 346, 65–67. [Google Scholar] [CrossRef] [PubMed]
  4. Lequentrec-Lalancette, M.F.; Salaűn, C.; Bonvalot, S.; Rouxel, D.; Bruinsma, S. Exploitation of Marine Gravity Measurements of the Mediterranean in the Validation of Global Gravity Field Models. In International Symposium on Earth and Environmental Sciences for Future Generations; Springer: Cham, Switzerland, 2016; pp. 63–67. [Google Scholar]
  5. Yuan, Y.; Gao, J.; Wu, Z.; Shen, Z.; Wu, G. Performance estimate of some prototypes of inertial platform and strapdown marine gravimeters. Earth Planets Space 2020, 72, 1–11. [Google Scholar] [CrossRef]
  6. Ahmed, Z.; Mansi, A.H.; Selim, M.; Rabah, M.; El-Fiky, G. Comparison of Satellite Altimetric Gravity and Global Geopotential Models with Shipborne Gravity in the Red Sea. Mar. Geod. 2018, 41, 258–269. [Google Scholar] [CrossRef]
  7. Cai, S.; Tie, J.; Zhang, K.; Cao, J.; Wu, M. Marine gravimetry using the strapdown gravimeter SGA-WZ. Mar. Geophys. Res. 2017, 38, 325–340. [Google Scholar] [CrossRef]
  8. Wang, W.; Gao, J.; Li, D.; Zhang, T.; Luo, X.; Wang, J. Measurements and Accuracy Evaluation of a Strapdown Marine Gravimeter Based on Inertial Navigation. Sensors 2018, 18, 3902. [Google Scholar] [CrossRef] [PubMed]
  9. Tu, H.; He, J.; Hu, M.; Liang, X.; Liu, L.; Dong, Q.; Liu, S.; Zhang, H.; Fu, Y.; Lang, J.; et al. Modeling of errors resulting from vehicle motions for CHZII mobile gravimeter and its performance verification during marine surveys. Appl. Geophys. 2021, 20, 592–599. [Google Scholar] [CrossRef]
  10. Ince, E.; Förste, S.C.; Barthelmes, F.; Pflug, H.; Li, M.; Kaminskis, J.; Neumayer, K.-H.; Michalak, G. Gravity Measurements along Commercial Ferry Lines in the Baltic Sea and Their Use for Geodetic Purposes. Mar. Geod. 2020, 43, 573–602. [Google Scholar] [CrossRef]
  11. Zhang, D.; Yuan, Y.; Tao, C.; Zhang, T.; Jin, Y. Application and Accuracy Evaluation of DGS AT1M-3 Marine Gravimeter. Hydrogr. Surv. Charting 2020, 40, 68–72. (In Chinese) [Google Scholar]
  12. Dong, Q.; Chen, J.; Pan, L.; Wang, S.; Shen, K. Assessment of the Quality of Marine Gravity Measurements Based on the DTU Model Data. Hydrogr. Surv. Charting 2020, 40, 33–35+51. (In Chinese) [Google Scholar]
  13. Zhang, S.; Li, J.; Kong, X. Inversion of global marine gravity anomalies with vertical deflection method deduced from Laplace equation. Acta Geod. Et Cartogr. Sin. 2020, 49, 452–460. (In Chinese) [Google Scholar]
  14. Li, Q.; Bao, L.; Wang, Y. Accuracy Evaluation of Altimeter-Derived Gravity Field Models in Offshore and Coastal Regions of China. Front. Earth Sci. 2021, 9, 722019. [Google Scholar] [CrossRef]
  15. Wang, B.; Wu, L.; Li, Q.; Bao, L.; Wang, Y. Estimating the True Spatial Resolution of Satellite Altimeter-Derived Gravity Field Models with Shipborne Data in the South China Sea. Appl. Geophys. 2023, 20, 51–61. [Google Scholar] [CrossRef]
  16. Wu, P.; Wu, L.; Bao, L.; Wang, B.; Tang, D. An internally damped inertial platform for marine gravimetry and a test case in the South China Sea. J. Oceanol. Limnol. 2023, 41, 816–829. [Google Scholar] [CrossRef]
  17. Wu, P.; Wu, L.; Bao, L.; Wang, L.; Wang, B.; Tang, D. A Marine Gravimeter Based on Electromagnetic Damping and its Tests in the South China Sea. J. Oceanol. Limnol. 2023, 41, 792–803. [Google Scholar] [CrossRef]
  18. Bidel, Y.; Zahzam, N.; Blanchard, C.; Bonnin, A.; Cadoret, M.; Bresson, A.; Rouxel, D.; Lequentrec-Lalancette, M.F. Absolute marine gravimetry with matter-wave interferometry. Nat. Commun. 2018, 9, 627. [Google Scholar] [CrossRef] [PubMed]
  19. Bidel, Y.; Zahzam, N.; Bresson, A.; Blanchard, C.; Cadoret, M.; Olesen, A.V.; Forsberg, R. Absolute airborne gravimetry with a cold atom sensor. J. Geod. 2020, 94, 1–9. [Google Scholar] [CrossRef]
  20. Middlemiss, R.; Samarelli, A.; Paul, D.; Hough, J.; Rowan, S.; Hammond, G.D. Measurement of the Earth tides with a MEMS gravimeter. Nature 2016, 531, 614–617. [Google Scholar] [CrossRef]
  21. Lu, B.; Barthelmes, F.; Li, M.; Förste, C.; Ince, E.S.; Petrovic, S.; Flechtner, F.; Schwabe, J.; Luo, Z.; Zhong, B.; et al. Shipborne gravimetry in the Baltic Sea: Data processing strategies, crucial findings and preliminary geoid determination tests. J. Geod. 2019, 93, 1059–1071. [Google Scholar] [CrossRef]
  22. Andersen, O.B.; Knudsen, P.; Kenyon, S.; Holmes, S.; Factor, J.K. Evaluation of the global altimetric marine gravity field DTU15: Using marine gravity and GOCE satellite gravity. In International Symposium on Advancing Geodesy in a Changing World; Springer: Cham, Switzerland, 2019; pp. 77–81. [Google Scholar]
  23. Andersen, O.B.; Knudsen, P. The DTU17 global marine gravity field: First validation results. In Fiducial Reference Measurements for Altimetry; Springer: Cham, Switzerland, 2019; pp. 83–87. [Google Scholar]
  24. Watts, A.B.; Tozer, B.; Harper, H.; Boston, B.; Shillington, D.J.; Dunn, R. Evaluation of Shipboard and Satellite-Derived Bathymetry and Gravity Data Over Seamounts in the Northwest Pacific Ocean. J. Geophys. Res. Solid Earth 2020, 125, e2020JB020396. [Google Scholar] [CrossRef]
  25. Fan, D.; Li, S.; Meng, S.; Shan, J.; Zhang, J.; Wang, A.; Xing, Z. Comparing and analyzing the accuracy of several satellite altimetry marine gravity field models. Hydrogr. Surv. Charting 2021, 41, 1–5. (In Chinese) [Google Scholar]
Figure 1. JMG platform marine gravimeter.
Figure 1. JMG platform marine gravimeter.
Jmse 12 01314 g001
Figure 2. The system composition of the JMG gravimeter.
Figure 2. The system composition of the JMG gravimeter.
Jmse 12 01314 g002
Figure 3. Trajectory measured by JMG gravimeter.
Figure 3. Trajectory measured by JMG gravimeter.
Jmse 12 01314 g003
Figure 4. Crossover points verification.
Figure 4. Crossover points verification.
Jmse 12 01314 g004
Figure 5. Data processing flow.
Figure 5. Data processing flow.
Jmse 12 01314 g005
Figure 6. (a) The raw gravity data of JMG on a stationary ship. (b) The power spectral densities of the raw gravity data.
Figure 6. (a) The raw gravity data of JMG on a stationary ship. (b) The power spectral densities of the raw gravity data.
Jmse 12 01314 g006
Figure 7. (a) Transfer function of the low-pass filter in the frequency domain. (b) The raw data and the filtered data of JMG.
Figure 7. (a) Transfer function of the low-pass filter in the frequency domain. (b) The raw data and the filtered data of JMG.
Jmse 12 01314 g007
Figure 8. (a) Raw data measured by JMG. (b) Filtered data. (c) The data after Eotvos correction. (d) Free-air gravity anomaly.
Figure 8. (a) Raw data measured by JMG. (b) Filtered data. (c) The data after Eotvos correction. (d) Free-air gravity anomaly.
Jmse 12 01314 g008
Figure 9. The gravity difference values at crossover points. Unit: mGal [16,17].
Figure 9. The gravity difference values at crossover points. Unit: mGal [16,17].
Jmse 12 01314 g009
Figure 10. Shipborne gravity measurement tracks in the South China Sea.
Figure 10. Shipborne gravity measurement tracks in the South China Sea.
Jmse 12 01314 g010
Figure 11. Comparison between models and NGDC shipborne data before (a) and after (b) removing errors.
Figure 11. Comparison between models and NGDC shipborne data before (a) and after (b) removing errors.
Jmse 12 01314 g011
Figure 12. Comparison between models and KSS31M shipborne data: (a) SS V30.1 vs. KSS31M; (b) DTU17 vs. KSS31M.
Figure 12. Comparison between models and KSS31M shipborne data: (a) SS V30.1 vs. KSS31M; (b) DTU17 vs. KSS31M.
Jmse 12 01314 g012
Figure 13. Comparison between models and JMG shipborne data, in (a,b) the JMG’s scale factor is 600, (c,d) the JMG’s scale factor is 680. The black dotted box in a is the stationary state of the ship.
Figure 13. Comparison between models and JMG shipborne data, in (a,b) the JMG’s scale factor is 600, (c,d) the JMG’s scale factor is 680. The black dotted box in a is the stationary state of the ship.
Jmse 12 01314 g013
Figure 14. (a) The water depth of JMG’s track. (b) The phase delay between models and JMG shipborne gravity data.
Figure 14. (a) The water depth of JMG’s track. (b) The phase delay between models and JMG shipborne gravity data.
Jmse 12 01314 g014
Table 1. Basic parameters of JMG marine gravimeter. (1 mGal = 1 milliGal = 10−5 m/s2).
Table 1. Basic parameters of JMG marine gravimeter. (1 mGal = 1 milliGal = 10−5 m/s2).
ItemParameter
Measuring range (overdrive)10,000 mGal (worldwide)
Static measurement accuracy0.1 mGal
Offshore measurement accuracy1–2 mGal
Maximum inclination±25°
Working environment temperature−10 to 40 °C
Volume58 × 60 × 75 cm
Weight86 kg
Table 2. The STD of the crossover points of the NGDC shipborne data before and after removing errors, unit: mGal.
Table 2. The STD of the crossover points of the NGDC shipborne data before and after removing errors, unit: mGal.
TypeStateNumberSTD
NGDC’s crossover pointsbefore243511.61
after15038.09
Table 3. Comparison between NGDC and JMG shipborne data before and after removing errors, unit: mGal.
Table 3. Comparison between NGDC and JMG shipborne data before and after removing errors, unit: mGal.
TypeStateRMS
JMG-NGDCbefore13.99
after6.10
Table 4. Comparison between models and NGDC shipborne data before and after removing errors, unit: mGal.
Table 4. Comparison between models and NGDC shipborne data before and after removing errors, unit: mGal.
TypeStateMinMaxRMS
SS V30.1 vs. NGDCbefore−99.0975.4910.42
after−57.9159.357.17
DTU17 vs. NGDCbefore−99.1770.9510.13
after−58.4242.996.58
Table 5. Comparison between models and KSS31M shipborne data, unit: mGal.
Table 5. Comparison between models and KSS31M shipborne data, unit: mGal.
TypeMinMaxRMS
SS V30.1 vs. KSS31M−14.6215.623.28
DTU17 vs. KSS31M−14.2314.474.54
Table 6. Comparison between models and JMG shipborne data, unit: mGal.
Table 6. Comparison between models and JMG shipborne data, unit: mGal.
TypeMinMaxRMS
SS V30.1 vs. JMG−21.1434.785.49
DTU17 vs. JMG−14.7831.844.28
Table 7. The correlation coefficient between gravity anomaly and bathymetry.
Table 7. The correlation coefficient between gravity anomaly and bathymetry.
TypeCorrelation Coefficient
JMG and bathymetry0.84
V30.1 and bathymetry0.79
Table 8. The RMS between JMG’s data and models’ data in different water depths, unit: mGal.
Table 8. The RMS between JMG’s data and models’ data in different water depths, unit: mGal.
SectionSS V30.1 vs. JMGDTU17 vs. JMG
0~167 km3.383.29
755~950 km2.862.25
990~1100 km2.351.96
Sum2.942.60
Disclaimer/Publisher’s Note: The statements, opinions and data contained in all publications are solely those of the individual author(s) and contributor(s) and not of MDPI and/or the editor(s). MDPI and/or the editor(s) disclaim responsibility for any injury to people or property resulting from any ideas, methods, instructions or products referred to in the content.

Share and Cite

MDPI and ACS Style

Wang, B.; Wu, L.; Wu, P.; Li, Q.; Bao, L.; Wang, Y. Multidimensional Evaluation of Altimetry Marine Gravity Models with Shipborne Gravity Data from a New Platform Marine Gravimeter. J. Mar. Sci. Eng. 2024, 12, 1314. https://doi.org/10.3390/jmse12081314

AMA Style

Wang B, Wu L, Wu P, Li Q, Bao L, Wang Y. Multidimensional Evaluation of Altimetry Marine Gravity Models with Shipborne Gravity Data from a New Platform Marine Gravimeter. Journal of Marine Science and Engineering. 2024; 12(8):1314. https://doi.org/10.3390/jmse12081314

Chicago/Turabian Style

Wang, Bo, Lin Wu, Pengfei Wu, Qianqian Li, Lifeng Bao, and Yong Wang. 2024. "Multidimensional Evaluation of Altimetry Marine Gravity Models with Shipborne Gravity Data from a New Platform Marine Gravimeter" Journal of Marine Science and Engineering 12, no. 8: 1314. https://doi.org/10.3390/jmse12081314

APA Style

Wang, B., Wu, L., Wu, P., Li, Q., Bao, L., & Wang, Y. (2024). Multidimensional Evaluation of Altimetry Marine Gravity Models with Shipborne Gravity Data from a New Platform Marine Gravimeter. Journal of Marine Science and Engineering, 12(8), 1314. https://doi.org/10.3390/jmse12081314

Note that from the first issue of 2016, this journal uses article numbers instead of page numbers. See further details here.

Article Metrics

Back to TopTop