A Robust Sparse Sensor Placement Strategy Based on Indicators of Noise for Ocean Monitoring
Abstract
1. Introduction
- Establishing noise indicators for the sparse sensor placement model, which encompass both small and large noise weight matrices, and employing the entropy of noise to minimize the prediction bias, thereby deriving a novel optimization objective function for robust sensor deployment;
- The block coordinate update (BCU) iteration method is adopted in the proposed algorithm of robust sparse sensor placement based on indicator of noise (RSSPIN) to solve the optimization objective function, which contains non-convex components. Additionally, the RSSPIN algorithm simultaneously updates the selection matrix, reconstruction matrix, and noise matrix during each iteration;
- During the iterative updating process, continuous noise evaluation is performed, and the selection matrix and reconstruction matrix are updated based on the updated noise matrix. This ensures that the full-state reconstruction capability of the sensor measurement subset corresponding to the obtained selection matrix is minimally affected by noise;
- Experimental verification has been performed to demonstrate the robustness and effectiveness of the RSSPIN algorithm under noisy conditions. Comparative analyses with existing methods reveal that the proposed method achieves superior reconstruction accuracy while facilitating autonomous sensor deployment in the presence of noise.
2. Preliminary
3. Robust Sparse Sensor Placement Based on Indicator of Noise
3.1. Problem Formulation
3.2. Algorithm Development
3.2.1. C-Subproblem Solution
| Algorithm 1: Nonnegative group Lasso Proximal Operator |
| 1: Input: , . |
| 2: Initialize: , . |
| 3: for i in range (n): |
| 4: , . |
| 5: for j in range (p): |
| 6: if ,then: |
| 7: , . |
| 8: end if |
| 9: end for |
| 10: if , then: |
| 11: . |
| 12: end if |
| 13: . |
| 14: end for |
| 15: Output: |
3.2.2. A-Subproblem Solution
3.2.3. Subproblem Solution
3.3. Algorithm and Computational Complexity
| Algorithm 2: Robust Sparse Sensor Placement based on Indicator of Noise (RSSPIN) |
| 1: Input: Data matrix , number of sensors , support , parameter , , . |
| 2: Initialize: , , , , . |
| 3: While Not convergent do: |
| 4: Compute according to Equation (18). |
| 5: Update according to Algorithm 1. |
| 6: Update according to Equation (24). |
| 7: for do: |
| 8: Update according to Equation (29). |
| 9: end for |
| 10: if , then: |
| 11: Set . |
| 12: else: |
| 13: Compute according to Equation (19). |
| 14: Get according to Equation (15). |
| 15: end if |
| 16: Let . |
| 17: end while |
| 18: Normalize each column of . |
| 19: Sort , select sensors corresponding to the largest ones as . |
| 20: Output: , , . |
3.4. Convergence Analysis
- is monotonically decreasing with respect to , which holds that the following: and ;
- is monotonically increasing with respect to , which holds that and ;
- is an inverse “S”-shaped function, which approximates a binary function when and remains constant at when .
4. Experimental Evaluation and Results
4.1. Dataset and Quality of Reconstruction
4.1.1. Dataset
4.1.2. Quality of Reconstruction
- (a)
- Reconstruction error of subspace learning
- (b)
- Reconstruction error of low-dimensional sampled data
4.1.3. Experimental Settings
4.2. Experimental Results of SST
4.2.1. Convergence of RSSPIN
4.2.2. Reconstruction Error of Different Methods
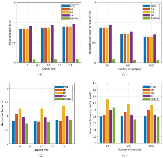
4.3. Experimental Results of Salinity
4.3.1. Reconstruction Error of Different Methods
4.3.2. Reconstruction Salinity of Outlier Ratio
5. Conclusions and Discussion
Author Contributions
Funding
Institutional Review Board Statement
Informed Consent Statement
Data Availability Statement
Conflicts of Interest
Notations
| Notation | Terminology |
| Global measurement data with noises | |
| Measurement data of selected sensors | |
| Selection matrix or sensor selected matrix | |
| Reconstruction matrix | |
| Smaller noise distribution weight matrix | |
| Larger noise distribution weight matrix | |
| Number of all candidate locations | |
| Number of samples | |
| Number of selected sensors | |
| Selected sensors index set | |
| Data of selected sensors | |
| The Lipschitz constant of the k-th iteration | |
| Extrapolated weight | |
| Penalty parameter for the selected sensors | |
| Penalty parameter for the outliers | |
| Penalty parameter for the maximum entropy criterion of outliers | |
| L2-norm of matrix | |
| The Frobenius norm of matrix | |
| Partial derivative of function respect to C | |
| Estimated selected operator of the k-th iteration |
Appendix A
References
- Cheng, L.; Abraham, J.; Trenberth, K.E.; Boyer, T.; Mann, M.E.; Zhu, J.; Wang, F.; Yu, F.; Locarnini, R.; Fasullo, J.; et al. New Record Ocean Temperatures and Related Climate Indicators in 2023. Adv. Atmos. Sci. 2024, 41, 1068–1082. [Google Scholar] [CrossRef]
- Akbari, E.; Alavipanah, S.; Jeihouni, M.; Hajeb, M.; Haase, D.; Alavipanah, S. A Review of Ocean/Sea Subsurface Water Temperature Studies from Remote Sensing and Non-Remote Sensing Methods. Water 2017, 9, 936. [Google Scholar] [CrossRef]
- Lin, M.; Yang, C. Ocean Observation Technologies: A Review. Chin. J. Mech. Eng. 2020, 33, 32. [Google Scholar] [CrossRef]
- Leonard, N.E.; Paley, D.A.; Lekien, F.; Sepulchre, R.; Fratantoni, D.M.; Davis, R.E. Collective Motion, Sensor Networks, and Ocean Sampling. Proc. IEEE Inst. Electr. Electron. Eng. 2007, 95, 48–74. [Google Scholar] [CrossRef]
- Yildirim, B.; Chryssostomidis, C.; Karniadakis, G.E. Efficient sensor placement for ocean measurements using low-dimensional concepts. Ocean Model. 2009, 27, 160–173. [Google Scholar] [CrossRef]
- Hodgson, Z.; Esnaola, I.; Jones, B. Model-Based Optimal Adaptive Monitoring of Oil Spills. IEEE Trans. Control Syst. Technol. 2022, 30, 2115–2130. [Google Scholar] [CrossRef]
- Liu, K.; Yan, R.-J.; Guedes Soares, C. Optimal sensor placement and assessment for modal identification. Ocean Eng. 2018, 165, 209–220. [Google Scholar] [CrossRef]
- Krause, A.; Singh, A.; Guestrin, C. Near-Optimal Sensor Placements in Gaussian Processes Theory, Efficient Algorithms and Empirical Studies. J. Mach. Learn. Res. 2008, 9, 235–284. [Google Scholar]
- Mulia, I.E.; Gusman, A.R.; Williamson, A.L.; Satake, K. An Optimized Array Configuration of Tsunami Observation Network Off Southern Java, Indonesia. J. Geophys. Res. Solid Earth 2019, 124, 9622–9637. [Google Scholar] [CrossRef]
- Benner, P.; Herzog, R.; Lang, N.; Riedel, I.; Saak, J. Comparison of model order reduction methods for optimal sensor placement for thermo-elastic models. Eng. Optim. 2018, 51, 465–483. [Google Scholar] [CrossRef]
- Nguyen, M.T.; La, H.M.; Teague, K.A. Collaborative and Compressed Mobile Sensing for Data Collection in Distributed Robotic Networks. IEEE Trans. Control Netw. Syst. 2018, 5, 1729–1740. [Google Scholar] [CrossRef]
- Lin, X.; Chowdhury, A.; Wang, X.; Terejanu, G. Approximate computational approaches for Bayesian sensor placement in high dimensions. Inf. Fusion. 2019, 46, 193–205. [Google Scholar] [CrossRef]
- Jayaraman, B.; Al Mamun, S.M.A.; Lu, C. Interplay of Sensor Quantity, Placement and System Dimension in POD-Based Sparse Reconstruction of Fluid Flows. Fluids 2019, 4, 109. [Google Scholar] [CrossRef]
- Yang, X.; Venturi, D.; Chen, C.; Chryssostomidis, C.; Karniadakis, G.E. EOF-based constrained sensor placement and field reconstruction from noisy ocean measurements: Application to Nantucket Sound. J. Geophys. Res. Oceans 2010, 115, C12. [Google Scholar] [CrossRef]
- Sirjacobs, D.; Alvera-Azcárate, A.; Barth, A.; Lacroix, G.; Park, Y.; Nechad, B.; Ruddick, K.; Beckers, J.M. Cloud filling of ocean colour and sea surface temperature remote sensing products over the Southern North Sea by the Data Interpolating Empirical Orthogonal Functions methodology. J. Sea Res. 2011, 65, 114–130. [Google Scholar] [CrossRef]
- Berkooz, G.; Holmes, P.; Lumley, J.L. The proper orthogonal decomposition in the analysis of turbulent flows. Annu. Rev. Fluid Mech. 1993, 25, 539–575. [Google Scholar] [CrossRef]
- Xu, Z.; Guo, Y.; Saleh, J.H. Multi-objective optimization for sensor placement: An integrated combinatorial approach with reduced order model and Gaussian process. Measurement 2022, 187, 110370. [Google Scholar] [CrossRef]
- Schmid, P.; Sesterhenn, J. Dynamic mode decomposition of numerical and experimental data. J. Fluid Mech. 2010, 656, 5–28. [Google Scholar] [CrossRef]
- Tu, J.H.; Rowley, C.W.; Luchtenburg, D.M.; Brunton, S.L.; Kutz, J.N. On dynamic mode decomposition: Theory and applications. J. Comput. Nonlinear Dyn. 2014, 1, 391–421. [Google Scholar] [CrossRef]
- Erichson, N.B.; Mathelin, L.; Yao, Z.; Brunton, S.L.; Mahoney, M.W.; Kutz, J.N. Shallow neural networks for fluid flow reconstruction with limited sensors. Proc. R. Soc. A 2020, 476, 20200097. [Google Scholar] [CrossRef]
- Sahba, S.; Wilcox, C.C.; McDaniel, A.; Shaffer, B.; Brunton, S.L.; Kutz, J.N. Wavefront sensor fusion via shallow decoder neural networks for aero-optical predictive control. In Proceedings of the SPIE Optical Engineering + Applications 2022, San Diego, CA, USA, 3 October 2022; Volume 12223. [Google Scholar]
- Zhang, Z.; Yang, X.; Lin, G. POD-Based Constrained Sensor Placement and Field Reconstruction from Noisy Wind Measurements: A Perturbation Study. Mathematics 2016, 4, 26. [Google Scholar] [CrossRef]
- Manohar, K.; Brunton, B.W.; Kutz, J.N.; Brunton, S.L. Data-Driven Sparse Sensor Placement for Reconstruction: Demonstrating the Benefits of Exploiting Known Patterns. IEEE Control Syst. 2018, 38, 63–86. [Google Scholar]
- Clark, E.; Askham, T.; Brunton, S.L.; Kutz, J.N. Greedy Sensor Placement with Cost Constraints. IEEE Sens. J. 2019, 19, 2642–2656. [Google Scholar] [CrossRef]
- Ma, K.-C.; Liu, L.; Sukhatme, G.S. An information-driven and disturbance-aware planning method for long-term ocean monitoring. In Proceedings of the 2016 IEEE/RSJ International Conference on Intelligent Robots and Systems (IROS), Daejeon, Republic of Korea, 9–14 October 2016. [Google Scholar]
- Zhang, Q.; Wu, H.; Mei, X.; Han, D.; Marino, M.D.; Li, K.-C.; Guo, S. A Sparse Sensor Placement Strategy based on Information Entropy and Data Reconstruction for Ocean Monitoring. IEEE Internet Things J. 2023, 10, 19681–19694. [Google Scholar] [CrossRef]
- Peherstorfer, B.; Drmač, Z.; Gugercin, S. Stability of discrete empirical interpolation and gappy proper orthogonal decomposition with randomized and deterministic sampling points. SIAM J. Sci. Comput. 2020, 42, A2837–A2864. [Google Scholar] [CrossRef]
- Mei, X.; Han, D.; Saeed, N.; Wu, H.; Chang, C.-C.; Han, B.; Ma, T.; Xian, J. Trajectory Optimization of Autonomous Surface Vehicles with Outliers for Underwater Target Localization. Remote Sens. 2022, 14, 4343. [Google Scholar] [CrossRef]
- Murugan Jaya, M.; Ceravolo, R.; Zanotti Fragonara, L.; Matta, E. An optimal sensor placement strategy for reliable expansion of mode shapes under measurement noise and modelling error. J. Sound Vib. 2020, 487, 115511. [Google Scholar] [CrossRef]
- Mei, X.; Han, D.; Saeed, N.; Wu, H.; Han, B.; Li, K.-C. Localization in Underwater Acoustic IoT Networks: Dealing with Perturbed Anchors and Stratification. IEEE Internet Things J. 2024, 11, 17757–17769. [Google Scholar] [CrossRef]
- Chen, X.; Liu, S.; Liu, W.; Wu, H.; Han, B.; Zhao, J. Quantifying Arctic oil spilling event risk by integrating analytic network process and fuzzy comprehensive evaluation model. Ocean Coast. Manag. 2022, 228, 106326. [Google Scholar] [CrossRef]
- Clark, E.; Brunton, S.L.; Kutz, J.N. Multi-fidelity sensor selection-Greedy algorithms to place cheap and expensive sensors with cost constraints. IEEE Sens. J. 2020, 21, 600–611. [Google Scholar] [CrossRef]
- Ghayem, F.; Rivet, B.; Farias, R.C.; Jutten, C. Robust Sensor Placement for Signal Extraction. IEEE Trans. Signal Process. 2021, 69, 4513–4528. [Google Scholar] [CrossRef]
- Zhou, N.; Xu, Y.; Cheng, H.; Fang, J.; Pedrycz, W. Global and local structure preserving sparse subspace learning: An iterative approach to unsupervised feature selection. Pattern Recognit. 2016, 53, 87–101. [Google Scholar] [CrossRef]
- Zhou, N.; Xu, Y.; Cheng, H.; Yuan, Z.; Chen, B. Maximum Correntropy Criterion-Based Sparse Subspace Learning for Unsupervised Feature Selection. IEEE Trans. Circuits Syst. Video Technol. 2019, 29, 404–417. [Google Scholar] [CrossRef]
- Callaham, J.L.; Maeda, K.; Brunton, S.L. Robust flow reconstruction from limited measurements via sparse representation. Phys. Rev. Fluids 2019, 4, 103907. [Google Scholar] [CrossRef]
- Guo, X.; Lin, Z. Low-Rank Matrix Recovery Via Robust Outlier Estimation. IEEE Trans. Image Process. 2018, 27, 5316–5327. [Google Scholar] [CrossRef]
- Xu, Y.; Yin, W. A Block Coordinate Descent Method for Regularized Multiconvex Optimization with Applications to Nonnegative Tensor Factorization and Completion. SIAM J. Imaging Sci. 2013, 6, 1758–1789. [Google Scholar] [CrossRef]
- Xu, Y.; Yin, W. A globally convergent algorithm for nonconvex optimization based on block coordinate update. J. Sci. Comput. 2017, 72, 700–734. [Google Scholar] [CrossRef]
- Xu, Y. Alternating proximal gradient method for sparse nonnegative Tucker decomposition. Math. Program. Comput. 2015, 7, 39–70. [Google Scholar] [CrossRef]
- Xu, Y. On higher-order singular value decomposition from incomplete data. arXiv 2014, arXiv:1411.4324v1. [Google Scholar]
- NOAA Optimum Interpolation (OI) SST V2. Available online: https://psl.noaa.gov/data/gridded/data.noaa.oisst.v2.html (accessed on 28 February 2024).
- Cheng, L.; Trenberth, K.E.; Gruber, N.; Abraham, J.P.; Fasullo, J.; Li, G.; Mann, M.E.; Zhao, X.; Zhu, J. Improved estimates of changes in upper ocean salinity and the hydrological cycle. J. Clim. 2020, 33, 10357–10381. [Google Scholar] [CrossRef]
- Cheng, L.; Zhu, J. Benefits of CMIP5 multimodel ensemble in reconstructing historical ocean subsurface temperature variation. J. Clim. 2016, 29, 5393–5416. [Google Scholar] [CrossRef]









| Method | Sensor Selection | Reconstruction Basis |
|---|---|---|
| RS | Random | Randomized rank reduction |
| QR | Column pivot | Randomized rank reduction |
| POD | Random | Reduced order mode |
| SR | Random | Training library |
| RSSPIN | Iteration of BCU | Iteration of BCU |
Disclaimer/Publisher’s Note: The statements, opinions and data contained in all publications are solely those of the individual author(s) and contributor(s) and not of MDPI and/or the editor(s). MDPI and/or the editor(s) disclaim responsibility for any injury to people or property resulting from any ideas, methods, instructions or products referred to in the content. |
© 2024 by the authors. Licensee MDPI, Basel, Switzerland. This article is an open access article distributed under the terms and conditions of the Creative Commons Attribution (CC BY) license (https://creativecommons.org/licenses/by/4.0/).
Share and Cite
Zhang, Q.; Wu, H.; Liang, L.; Mei, X.; Xian, J.; Zhang, Y. A Robust Sparse Sensor Placement Strategy Based on Indicators of Noise for Ocean Monitoring. J. Mar. Sci. Eng. 2024, 12, 1220. https://doi.org/10.3390/jmse12071220
Zhang Q, Wu H, Liang L, Mei X, Xian J, Zhang Y. A Robust Sparse Sensor Placement Strategy Based on Indicators of Noise for Ocean Monitoring. Journal of Marine Science and Engineering. 2024; 12(7):1220. https://doi.org/10.3390/jmse12071220
Chicago/Turabian StyleZhang, Qiannan, Huafeng Wu, Li’nian Liang, Xiaojun Mei, Jiangfeng Xian, and Yuanyuan Zhang. 2024. "A Robust Sparse Sensor Placement Strategy Based on Indicators of Noise for Ocean Monitoring" Journal of Marine Science and Engineering 12, no. 7: 1220. https://doi.org/10.3390/jmse12071220
APA StyleZhang, Q., Wu, H., Liang, L., Mei, X., Xian, J., & Zhang, Y. (2024). A Robust Sparse Sensor Placement Strategy Based on Indicators of Noise for Ocean Monitoring. Journal of Marine Science and Engineering, 12(7), 1220. https://doi.org/10.3390/jmse12071220

