Unveiling Turbulent Flow Dynamics in Blind-Tee Pipelines: Enhancing Fluid Mixing in Subsea Pipeline Systems
Abstract
1. Introduction
2. Numerical Methods
2.1. Governing Equations
2.2. Computational Setups
2.3. Verification and Validation
3. Results and Discussion
3.1. Time-Averaged Flow Characteristics
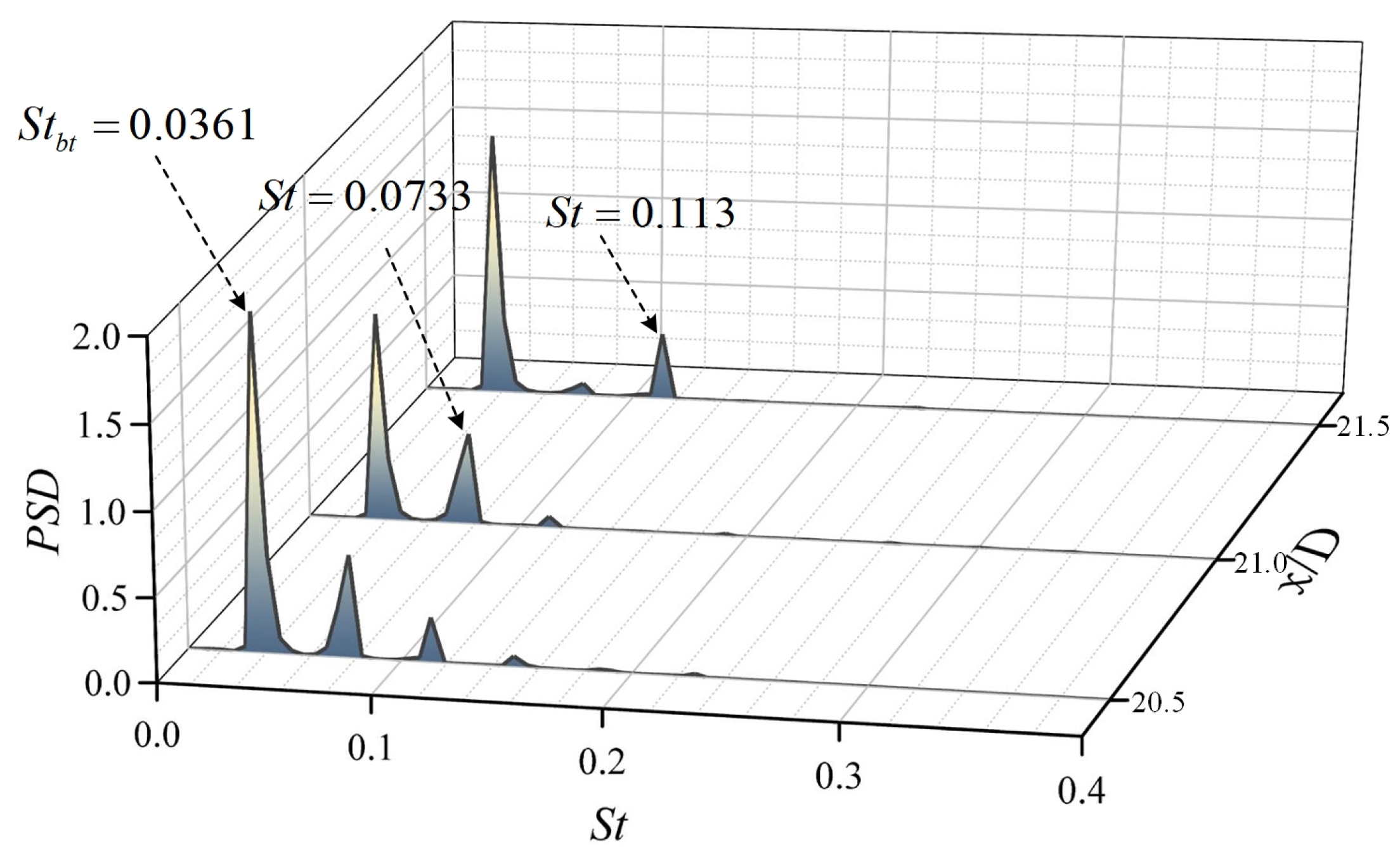
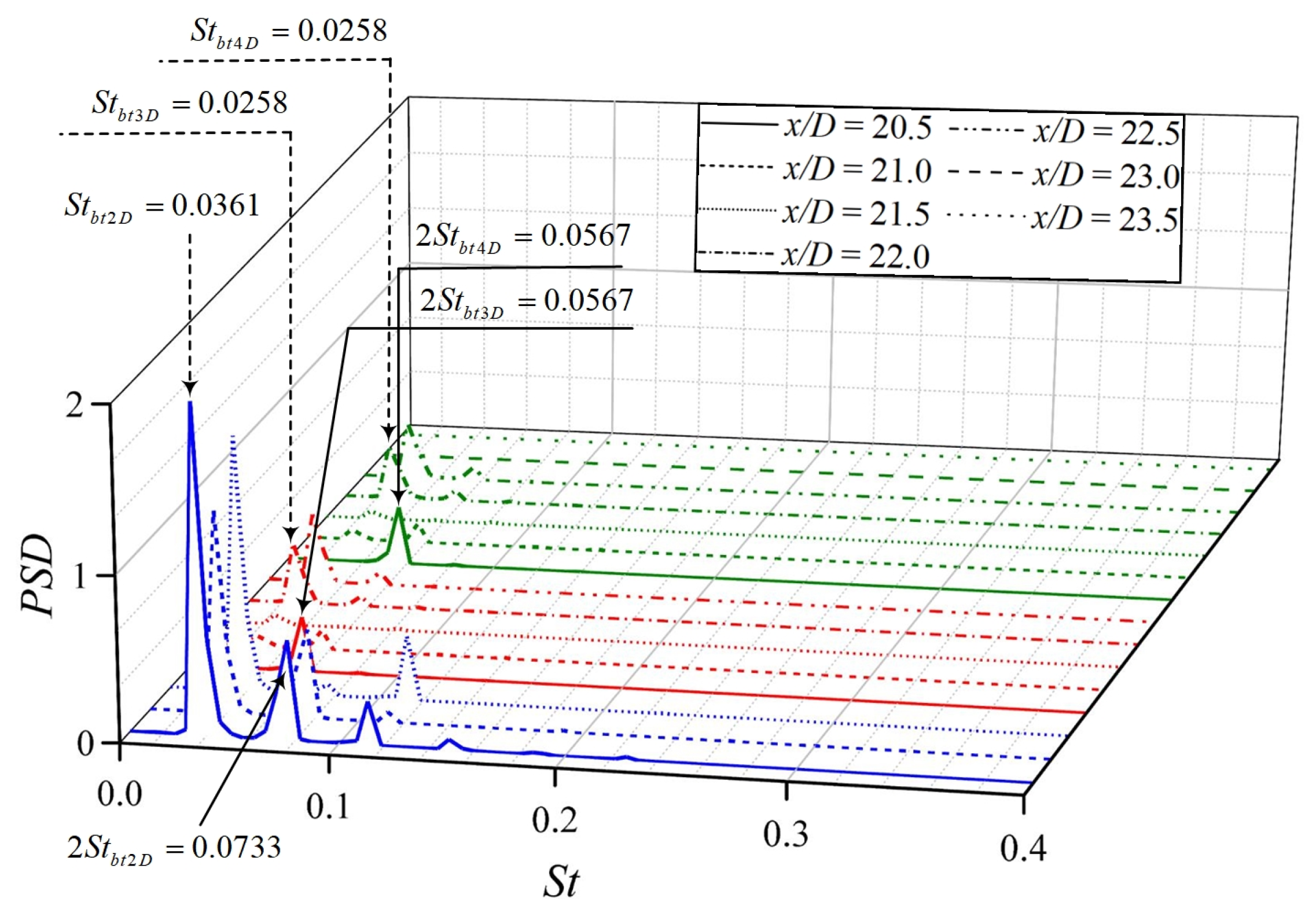
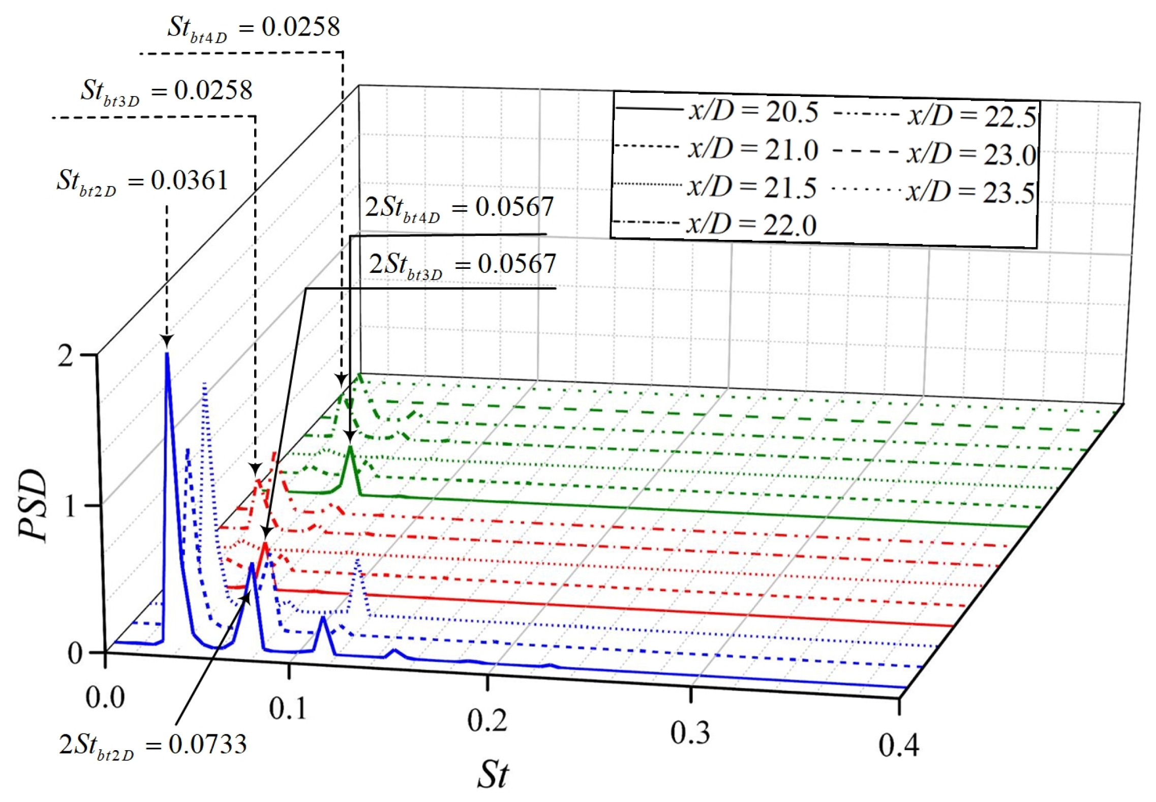
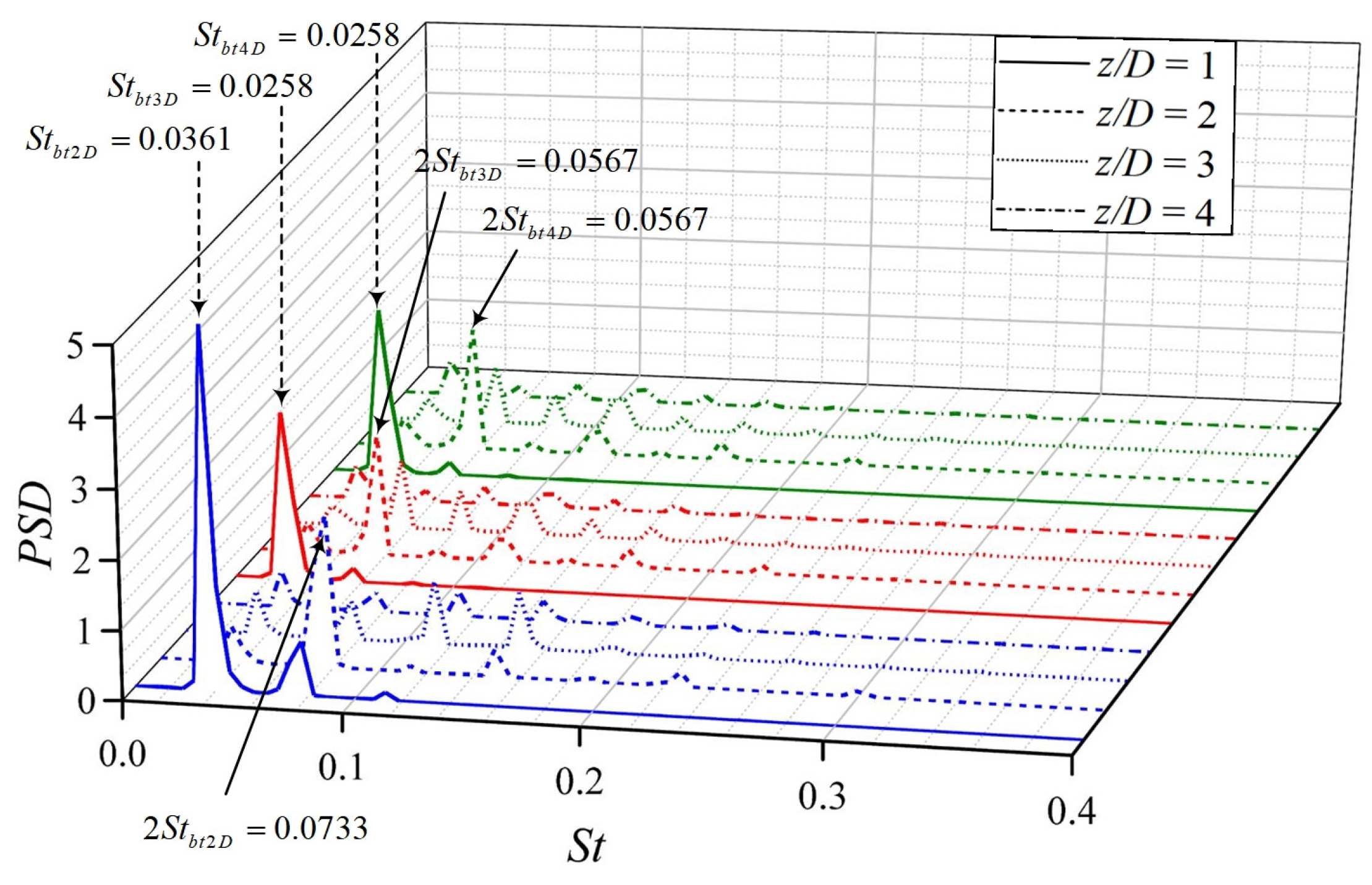
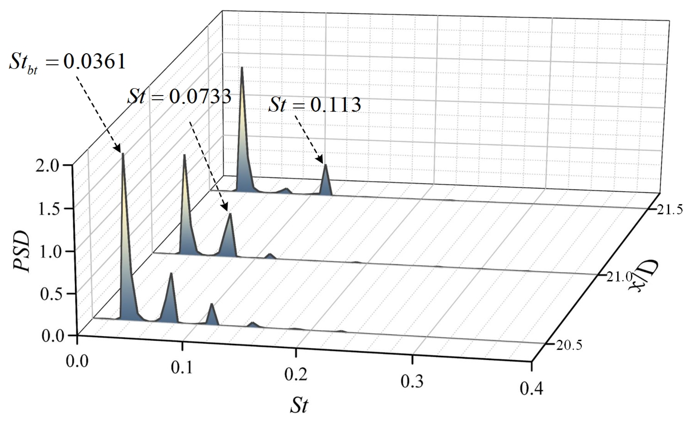
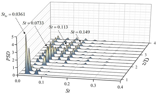
3.2. Unsteady Flow Characteristics
3.3. Structural Effect
4. Conclusions
Author Contributions
Funding
Informed Consent Statement
Data Availability Statement
Conflicts of Interest
References
- Taibi, R.; Yin, G.; Ong, M.C. CFD investigation of internal elbow pipe flows in laminar regime. In Proceedings of the 3rd Conference of Computational Methods & Ocean Technology (COTech 2021), Stavanger, Norway, 25–26 November 2021. [Google Scholar]
- Garcia, C.; Nemoto, R.; Pereyra, E.; Korelstein, L.; Sarica, C. Hydrodynamic forces in a horizontal-horizontal elbow in a gas-liquid system. Int. J. Multiphase Flow 2023, 159, 104321. [Google Scholar] [CrossRef]
- Dean, W.R. Fluid motion in a curved channel. Proc. R. Soc. Lond. A 1928, 121, 402–420. [Google Scholar]
- Winters, K.H. A bifurcation study of laminar flow in a curved tube of rectangular cross-section. J. Fluid Mech. 1987, 180, 343–369. [Google Scholar] [CrossRef]
- Bara, B.; Nandakumar, K.; Masliyah, J.H. An experimental and numerical study of the Dean problem: Flow development towards two-dimensional multiple solutions. J. Fluid Mech. 1992, 244, 339–376. [Google Scholar] [CrossRef]
- Herreros, I.; Hochberg, D. Chiral symmetry breaking and entropy production in Dean vortices. Phys. Fluids 2023, 35, 043614. [Google Scholar] [CrossRef]
- Kim, M.; Borhan, A. Critical conditions for development of a second pair of Dean vortices in curved microfluidic channels. Phys. Rev. E 2023, 107, 055103. [Google Scholar] [CrossRef] [PubMed]
- Wang, K.; He, Z.; Cheng, Z.; Kim, H.B. Effects of Reynolds number on dean vortices flow of a 180° curved pipe by using PIV measurements. J. Vis. 2023, 26, 743–754. [Google Scholar] [CrossRef]
- Shui, C.; Zhou, D.; Wu, Z.; Yu, W.; Zhang, L.; Xing, T.; Wang, C.; Du, Z. Short-term operation optimization for natural gas pipeline considering line-pack: A perspective of optimal transport. Gas Sci. Eng. 2023, 117, 205075. [Google Scholar] [CrossRef]
- Shehata, M.F.; El-Shamy, A.M. Hydrogen-based failure in oil and gas pipelines a review. Gas Sci. Eng. 2023, 115, 204994. [Google Scholar] [CrossRef]
- Sudo, K.; Sumida, M.; Hibara, H. Experimental investigation on turbulent flow in a circular-sectioned 90-degree bend. Exp. Fluid 1998, 25, 42–49. [Google Scholar] [CrossRef]
- Sudo, K.; Sumida, M.; Hibara, H. Experimental investigation on turbulent flow in a square-sectioned 90-degree bend. Exp. Fluids 2001, 30, 246–252. [Google Scholar] [CrossRef]
- Jurga, A.P.; Janocha, M.; Yin, G.; Ong, M.C. Numerical simulations of turbulent flow through a 90-degree pipe bend. J. Offshore Mech. Arct. Eng. 2022, 144, 061801. [Google Scholar] [CrossRef]
- Han, F.; Liu, Y.; Lan, Q.; Li, W.; Wang, Z. CFD investigation on secondary flow characteristics in double-curved subsea pipelines with different spatial structures. J. Mar. Sci. Eng. 2022, 10, 1264. [Google Scholar] [CrossRef]
- Kumar, A.A.; Mathur, A.; Gerritsma, M.; Komen, E. Design of a Direct numerical Simulation of flow and heat transfer in a T-junction. Nucl. Eng. Des. 2023, 410, 112403. [Google Scholar] [CrossRef]
- Zhang, H.; Wang, P.; Liu, H.; Wang, B.; Liu, Y. Unsteady flow behaviors and flow-induced noise characteristics in a closed branch T-junction. Phys. Fluids 2024, 36, 065148. [Google Scholar] [CrossRef]
- Lan, Q.; Han, F.; Liu, Y.; Li, W.; Wang, Z. Numerical investigation on turbulent flow in blind tees. In Proceedings of the 2022 IEEE 17th Conference on Industrial Electronics and Applications (ICIEA), Chengdu, China, 16–19 December 2022; pp. 156–161. [Google Scholar]
- Tunstall, M.J.; Harvey, J.K. On the effect of a sharp bend in a fully developed turbulent pipe-flow. J. Fluid Mech. 1968, 34, 595–608. [Google Scholar] [CrossRef]
- Hellström, L.H.; Zlatinov, M.B.; Cao, G.; Smits, A.J. Turbulent pipe flow downstream of a bend. J. Fluid Mech. 2013, 735, R7. [Google Scholar] [CrossRef]
- Sarkodie, K.; Fergusson-Rees, A.; Asiedu, N.Y. Improved phase fraction measurement via non-intrusive optical sensing for vertical upward gas-liquid flow. Gas Sci. Eng. 2023, 114, 204948. [Google Scholar] [CrossRef]
- Liu, A.; Xu, C.; Lu, X.; Zhou, X.; Xu, W. Coupling effect of multiple factors on the diffusion behavior of leaking natural gas in utility tunnels: A numerical study and PIV experimental validation. Gas Sci. Eng. 2023, 118, 205086. [Google Scholar] [CrossRef]
- Hufnagel, L.; Canton, J.; Örlü, R.; Marin, O.; Merzari, E.; Schlatter, P. The three-dimensional structure of swirl-switching in bent pipe flow. J. Fluid Mech. 2018, 835, 86–101. [Google Scholar]
- Luo, M.; Jia, G.; Yang, Y.; Si, X.; Ge, Y.; Zhan, Y.; Lu, M. Numerical simulation of proppant transportation and placement in several complex structure fractures of a shale reservoir using a CFD approach. Gas Sci. Eng. 2023, 118, 205115. [Google Scholar] [CrossRef]
- De Rosis, A.; Tafuni, A. A phase-field lattice Boltzmann method for the solution of water-entry and water-exit problems. Comput.-Aided Civ. Infrastruct. Eng. 2022, 37, 832–847. [Google Scholar] [CrossRef]
- Li, W.; Song, W.; Yin, G.; Ong, M.C.; Han, F.H. Flow regime identification in the subsea jumper based on electrical capacitance tomography and convolution neural network. Ocean Eng. 2022, 266, 113152. [Google Scholar] [CrossRef]
- Lu, P.; Zhao, L.; Zheng, N.; Liu, S.; Li, X.; Zhou, X.; Yan, J. Progress and prospect of flow phenomena and simulation on two-phase separation in branching T-junctions: A review. Renew. Sustain. Energy Rev. 2022, 167, 112742. [Google Scholar] [CrossRef]
- Liu, Z.; Zhang, C.; Pang, Y.; Liu, W.; Wang, X. Dynamics of droplet breakup in unilateral Y-junctions with different angles. J. Ind. Eng. Chem. 2022, 112, 46–57. [Google Scholar] [CrossRef]
- Liu, Y.; Han, F.; Zhang, H.; Wang, D.; Wang, Z.; Li, W. Numerical simulation of internal flow in jumper tube with blind tee. In Proceedings of the 2021 IEEE 16th Conference on Industrial Electronics and Applications (ICIEA), Chengdu, China, 1–4 August 2021; pp. 363–368. [Google Scholar]
- Razali, M.A.B.; Xie, C.G.; Loh, W.L. Experimental investigation of gas-liquid flow in a vertical venturi installed downstream of a horizontal blind tee flow conditioner and the flow regime transition. Flow Meas. Instrum. 2021, 80, 101961. [Google Scholar] [CrossRef]
- Li, W.; Li, J.; Yin, G.; Ong, M.C. Experimental and numerical study on the slug characteristics and flow-induced vibration of a subsea rigid M-shaped jumper. Appl. Sci. 2023, 13, 7504. [Google Scholar] [CrossRef]
- Han, F.; Ong, M.C.; Xing, Y.; Li, W. Three-dimensional numerical investigation of laminar flow in blind-tee pipes. Ocean Eng. 2020, 217, 107962. [Google Scholar] [CrossRef]
- Han, F.; Liu, Y.; Ong, M.C.; Yin, G.; Li, W.; Wang, Z. CFD investigation of blind-tee effects on flow mixing mechanism in subsea pipelines. Eng. Appl. Comput. Fluid Mech. 2022, 16, 1395–1419. [Google Scholar] [CrossRef]
- Liu, Y.; Han, F.; Yin, G.; Ong, M.C.; Li, W.H.; Wang, Z. Numerical investigation of blind-tee effect on flow mixing in double-bend combinations. Ocean Eng. 2023, 287, 115909. [Google Scholar] [CrossRef]
- Bluestein, A.M.; Venters, R.; Bohl, D.; Helenbrook, B.T.; Ahmadi, G. Turbulent Flow Through a Ducted Elbow and Plugged Tee Geometry: An Experimental and Numerical Study. J. Fluids Eng. 2019, 141, 081101. [Google Scholar] [CrossRef]
- Wallin, S. Engineering Turbulence Modeling for CFD with a Focus on Explicit Algebraic Reynolds Stress Models. Ph.D. Thesis, Royal Institute of Technology, Stockholm, Sweden, 2000. [Google Scholar]
- Ricci, F.; Vacondio, R.; Tafuni, A. Direct numerical simulation of three-dimensional isotropic turbulence with smoothed particle hydrodynamics. Phys. Fluids 2023, 35, 065148. [Google Scholar] [CrossRef]
- Louda, P.; Kozel, K.; Příhoda, J.; Beneš, L.; Kopáček, T. Numerical solution of incompressible flow through branched channels. Comput. Fluids 2011, 46, 318–324. [Google Scholar] [CrossRef]
- ANSYS Inc. ANSYS CFX-Solver Guide, 2012. Release 14.5; ANSYS Inc.: Canonsburg, PA, USA, 2012. [Google Scholar]
- Salama, A. Velocity Profile Representation for Fully Developed Turbulent Flows in Pipes: A Modified Power Law. Fluids 2021, 6, 369. [Google Scholar] [CrossRef]
- Brücker, C. A time-recording DPIV-study of the swirl switching effect in a 90° bend flow. In Proceedings of the Eight International Symposium on Flow Visualization, Sorrento, Italy, 1–4 September 1998; pp. 171.1–171.6. [Google Scholar]
- Rütten, F.; Schröder, W.; Meinke, M. Large-eddy simulation of low frequency oscillations of the Dean vortices in turbulent pipe bend flows. Phys. Fluids 2005, 17, 035107. [Google Scholar] [CrossRef]
- Kalpakli, A.; Örlü, R. Turbulent pipe flow downstream a 90° pipe bend with and without superimposed swirl. Int. J. Heat Fluid Flow 2013, 41, 103–111. [Google Scholar] [CrossRef]
- Kalpakli Vester, A.; Örlü, R.; Alfredsson, P.H. POD analysis of the turbulent flow downstream a mild and sharp bend. Exp. Fluids 2015, 56, 57. [Google Scholar] [CrossRef]
- Carlsson, C.; Alenius, E.; Fuchs, L. Swirl switching in turbulent flow through 90° pipe bends. Phys. Fluids 2015, 27, 085112. [Google Scholar] [CrossRef]
- Noorani, A.; Schlatter, P. Swirl-switching phenomenon in turbulent flow through toroidal pipes. Int. J. Heat Fluid Flow 2016, 61, 108–116. [Google Scholar] [CrossRef]
- Kim, J.; Yadav, M.; Kim, S. Characteristics of secondary flow induced by 90-degree elbow in turbulent pipe flow. Eng. Appl. Comput. Fluid Mech. 2014, 8, 229–239. [Google Scholar] [CrossRef]
- Al-Rafai, W.N.; Tridimas, Y.D.; Woolley, N.H. A study of turbulent flows in pipe bends. Proc. Inst. Mech. Eng. Pt. C J. Mechan. Eng. Sci. 1990, 204, 399–408. [Google Scholar] [CrossRef]
- Kolář, V.; Šístek, J. Disappearing vortex problem in vortex identification: Non-existence for selected criteria. Phys. Fluids 2022, 34, 071704. [Google Scholar] [CrossRef]




















Disclaimer/Publisher’s Note: The statements, opinions and data contained in all publications are solely those of the individual author(s) and contributor(s) and not of MDPI and/or the editor(s). MDPI and/or the editor(s) disclaim responsibility for any injury to people or property resulting from any ideas, methods, instructions or products referred to in the content. |
© 2024 by the authors. Licensee MDPI, Basel, Switzerland. This article is an open access article distributed under the terms and conditions of the Creative Commons Attribution (CC BY) license (https://creativecommons.org/licenses/by/4.0/).
Share and Cite
Han, F.; Lan, Q.; Liu, Y.; Yin, G.; Ong, M.C.; Li, W.; Wang, Z. Unveiling Turbulent Flow Dynamics in Blind-Tee Pipelines: Enhancing Fluid Mixing in Subsea Pipeline Systems. J. Mar. Sci. Eng. 2024, 12, 1199. https://doi.org/10.3390/jmse12071199
Han F, Lan Q, Liu Y, Yin G, Ong MC, Li W, Wang Z. Unveiling Turbulent Flow Dynamics in Blind-Tee Pipelines: Enhancing Fluid Mixing in Subsea Pipeline Systems. Journal of Marine Science and Engineering. 2024; 12(7):1199. https://doi.org/10.3390/jmse12071199
Chicago/Turabian StyleHan, Fenghui, Qingyuan Lan, Yuxiang Liu, Guang Yin, Muk Chen Ong, Wenhua Li, and Zhe Wang. 2024. "Unveiling Turbulent Flow Dynamics in Blind-Tee Pipelines: Enhancing Fluid Mixing in Subsea Pipeline Systems" Journal of Marine Science and Engineering 12, no. 7: 1199. https://doi.org/10.3390/jmse12071199
APA StyleHan, F., Lan, Q., Liu, Y., Yin, G., Ong, M. C., Li, W., & Wang, Z. (2024). Unveiling Turbulent Flow Dynamics in Blind-Tee Pipelines: Enhancing Fluid Mixing in Subsea Pipeline Systems. Journal of Marine Science and Engineering, 12(7), 1199. https://doi.org/10.3390/jmse12071199

