Disturbance-Observer-Based Adaptive Prescribed Performance Formation Tracking Control for Multiple Underactuated Surface Vehicles
Abstract
1. Introduction
- A novel error transformation equation is proposed and integrated with a predefined performance function to ensure that the orientation of each USV meets the prescribed safe attitude requirement, thereby achieving collision-free formation motion for each USV. In contrast to [30], the proposed error transformation equation is differentiable. Additionally, compared to [25,26,27], the formulation of the error transformation equation in this study is simpler, thereby reducing the complexity of the formation controller.
- A modified sliding mode differentiator (MSMD) disturbance observer is proposed to estimate the unknown synthesized disturbances in a USV formation system due to its merits of no chattering in disturbance estimation, better robustness and simple. Additionally, the adaptive estimator provides a straightforward and efficient approach independent of prior knowledge to approximate the upper bound of disturbances, making it more universally applicable compared to the approach detailed in [31].
- Moreover, an adaptive prescribed performance controller is formulated using the backstepping control method. This approach incorporates a new second-order nonlinear differentiator (NLD) to enhance the precision of derivative extraction from the virtual control law, surpassing the capabilities of conventional first-order filters.
2. Preliminary and Problem Formation
2.1. Preliminary
2.2. Mathematical Model of USVs
2.3. Control Objective
3. Adaptive Formation Controller Design
3.1. MSMD Disturbance Observer Design
3.2. Adaptive Distributed Formation Controller Design
4. Stability Analysis
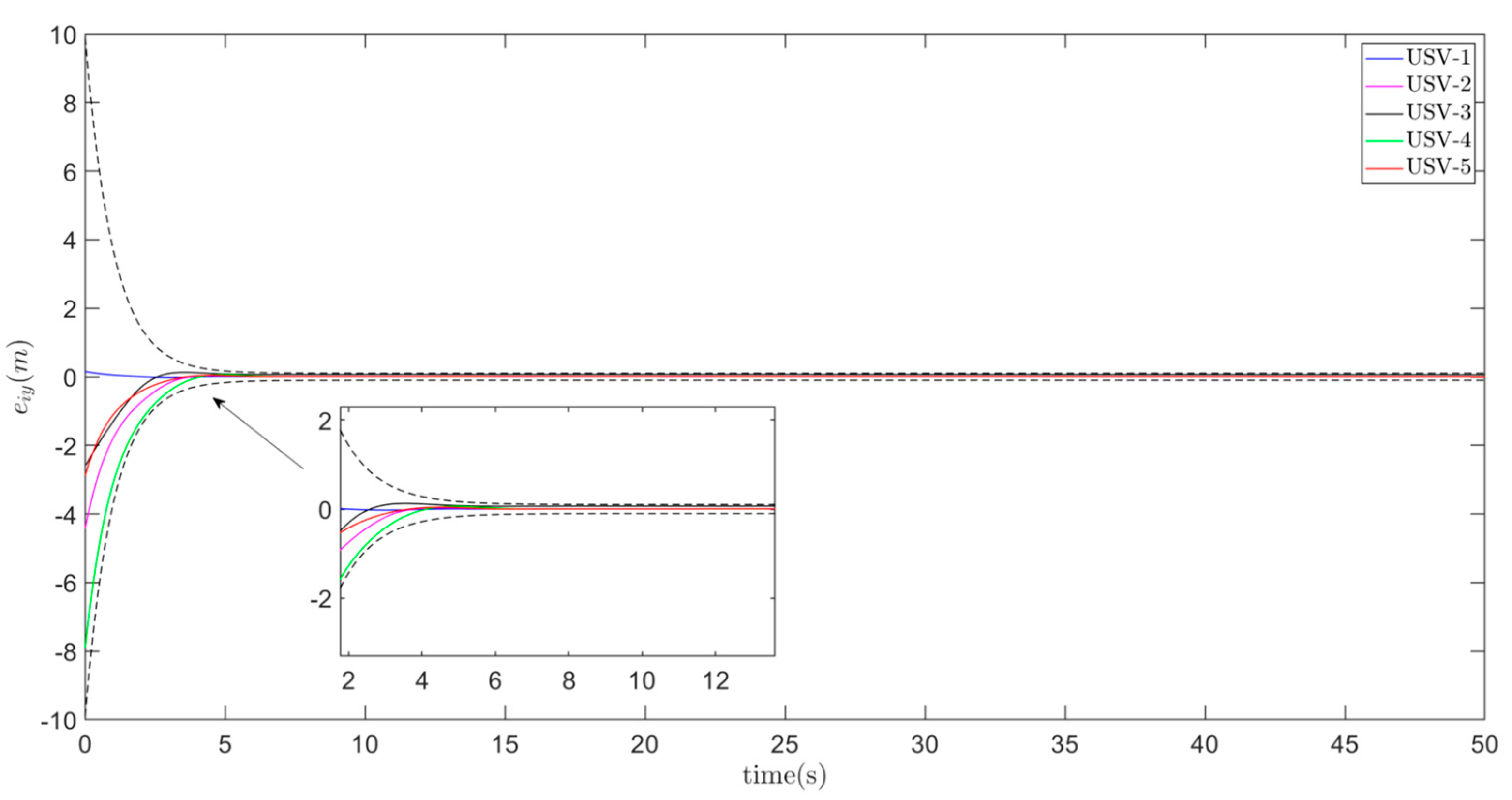
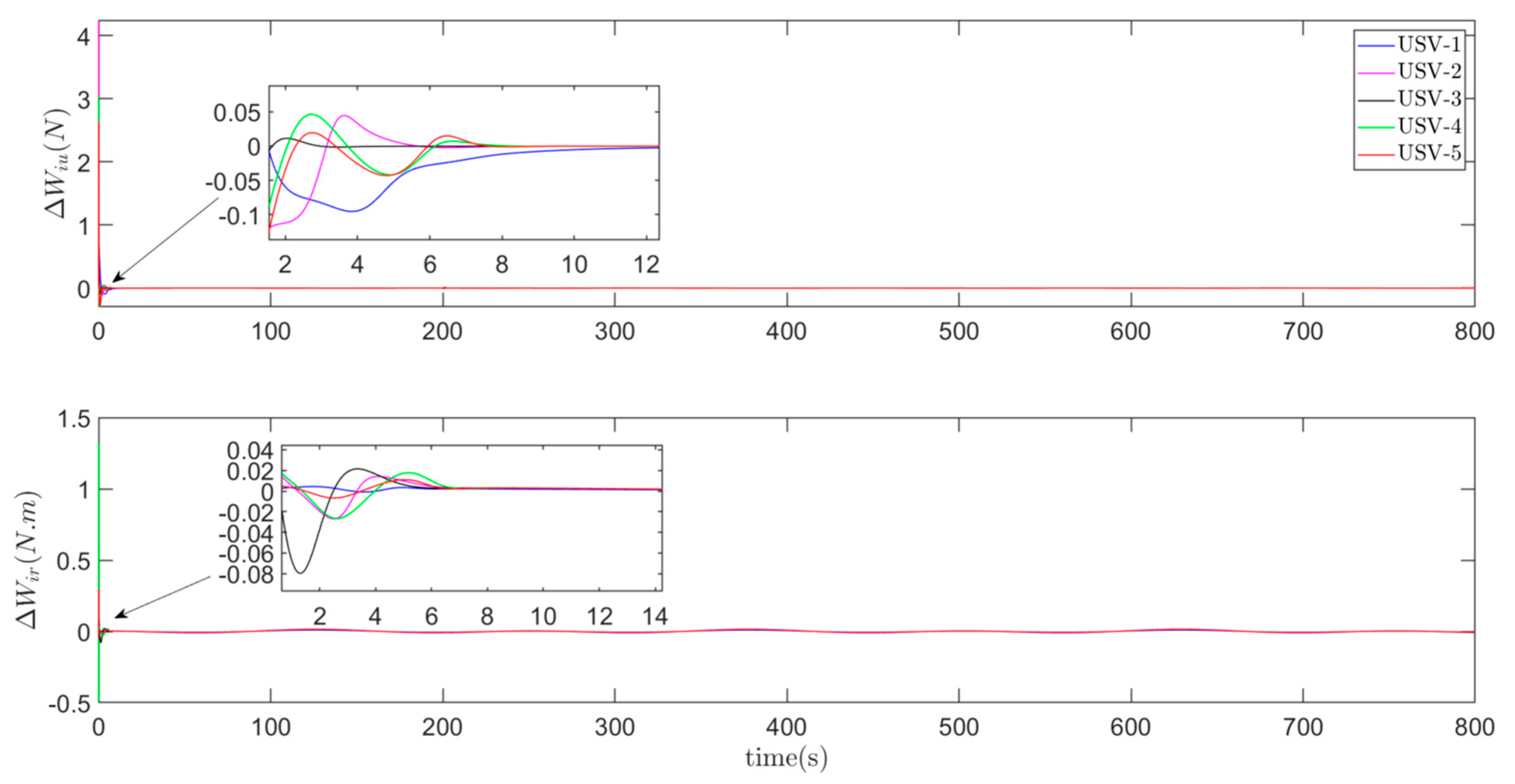
5. Simulation
- (1)
- When , we choose
- (2)
- When , we choose
6. Conclusions
Author Contributions
Funding
Institutional Review Board Statement
Informed Consent Statement
Data Availability Statement
Acknowledgments
Conflicts of Interest
References
- Chen, G.; Yao, D.; Zhou, Q.; Li, H.; Lu, R. Distributed Event-Triggered Formation Control of USVs with Prescribed Performance. J. Syst. Sci. Complex. 2022, 35, 820–838. [Google Scholar] [CrossRef]
- Chen, L.; Cui, R.; Yang, C.; Yan, W. Adaptive Neural Network Control of Underactuated Surface Vessels With Guaranteed Transient Performance: Theory and Experimental Results. IEEE Trans. Ind. Electron. 2020, 67, 4024–4035. [Google Scholar] [CrossRef]
- Peng, Z.; Jiang, Y.; Wang, J. Event-Triggered Dynamic Surface Control of an Underactuated Autonomous Surface Vehicle for Target Enclosing. IEEE Trans. Ind. Electron. 2021, 68, 3402–3412. [Google Scholar] [CrossRef]
- Wang, S.; Sun, M.; Xu, Y.; Liu, J.; Sun, C. Predictor-Based Fixed-Time LOS Path Following Control of Underactuated USV With Unknown Disturbances. IEEE Trans. Intell. Veh. 2023, 8, 2088–2096. [Google Scholar] [CrossRef]
- Li, J.-H.; Kang, H.; Kim, M.-G.; Lee, M.-J.; Cho, G.R.; Jin, H.-S. Adaptive Formation Control of Multiple Underactuated Autonomous Underwater Vehicles. J. Mar. Sci. Eng. 2022, 10, 1233. [Google Scholar] [CrossRef]
- Mu, D.D.; Wang, G.F.; Fan, Y.S. Formation Control Strategy for Underactuated Unmanned Surface Vehicles Subject to Unknown Dynamics and External Disturbances with Input Saturation. Int. J. Control Autom. Syst. 2020, 18, 2742–2752. [Google Scholar] [CrossRef]
- Wang, B.; Nersesov, S.G.; Ashrafiuon, H. Robust Formation Control and Obstacle Avoidance for Heterogeneous Underactuated Surface Vessel Networks. IEEE Trans. Control Netw. Syst. 2022, 9, 125–137. [Google Scholar] [CrossRef]
- Xia, X.; Yang, Z.; Yang, T. Leader-Follower Formation Tracking Control of Underactuated Surface Vehicles Based on Event-Trigged Control. Appl. Sci. 2023, 13, 7156. [Google Scholar] [CrossRef]
- Ke, C.; Chen, H.; Xie, L. Cross-Domain Fixed-Time Formation Control for an Air-Sea Heterogeneous Unmanned System with Disturbances. J. Mar. Sci. Eng. 2023, 11, 1336. [Google Scholar] [CrossRef]
- Miao, Z.; Liu, Y.-H.; Wang, Y.; Yi, G.; Fierro, R. Distributed Estimation and Control for Leader-Following Formations of Nonholonomic Mobile Robots. IEEE Trans. Autom. Sci. Eng. 2018, 15, 1946–1954. [Google Scholar] [CrossRef]
- Shen, H.; Yin, Y.; Qian, X. Fixed-Time Formation Control for Unmanned Surface Vehicles with Parametric Uncertainties and Complex Disturbance. J. Mar. Sci. Eng. 2022, 10, 1246. [Google Scholar] [CrossRef]
- Zheng, Y.; Zhang, L.; Huang, B.; Su, Y. Distributed event-triggered affine formation control for multiple underactuated marine surface vehicles. Ocean. Eng. 2022, 265, 112607. [Google Scholar] [CrossRef]
- Qu, Y.; Zhao, W.; Yu, Z.; Xiao, B. Distributed prescribed performance containment control for unmanned surface vehicles based on disturbance observer. ISA Trans. 2022, 125, 699–706. [Google Scholar] [CrossRef]
- Ghommam, J.; Saad, M.; Mnif, F. Prescribed performances based fuzzy-adaptive output feedback containment control for multiple underactuated surface vessels. Ocean. Eng. 2022, 249, 110898. [Google Scholar] [CrossRef]
- Ye, Y.; Hu, S.; Zhu, X.; Sun, Z. An Improved Super-Twisting Sliding Mode Composite Control for Quadcopter UAV Formation. Machines 2024, 12, 32. [Google Scholar] [CrossRef]
- Yang, Y.; Tan, J.; Yue, D.; Xie, X.; Yue, W. Observer-Based Containment Control for a Class of Nonlinear Multiagent Systems With Uncertainties. IEEE Trans. Syst. Man Cybern.-Syst. 2021, 51, 588–600. [Google Scholar] [CrossRef]
- Alattas, K.A.; Vu, M.T.; Mofid, O.; El-Sousy, F.F.M.; Alanazi, A.K.; Awrejcewicz, J.; Mobayen, S. Adaptive Nonsingular Terminal Sliding Mode Control for Performance Improvement of Perturbed Nonlinear Systems. Mathematics 2022, 10, 1064. [Google Scholar] [CrossRef]
- Mofid, O.; Amirkhani, S.; Din, S.U.; Mobayen, S.; Vu, M.T.; Assawinchaichote, W. Finite-time convergence of perturbed nonlinear systems using adaptive barrier-function nonsingular sliding mode control with experimental validation. J. Vib. Control 2023, 29, 3326–3339. [Google Scholar] [CrossRef]
- Bingul, Z.; Gul, K. Intelligent-PID with PD Feedforward Trajectory Tracking Control of an Autonomous Underwater Vehicle. Machines 2023, 11, 300. [Google Scholar] [CrossRef]
- Wu, G.X.; Ding, Y.; Tahsin, T.; Atilla, I. Adaptive neural network and extended state observer-based non-singular terminal sliding modetracking control for an underactuated USV with unknown uncertainties. Appl. Ocean. Res. 2023, 135, 103560. [Google Scholar] [CrossRef]
- Ding, Z.; Wang, H.; Sun, Y.; Qin, H. Adaptive prescribed performance second-order sliding mode tracking control of autonomous underwater vehicle using neural network-based disturbance observer. Ocean. Eng. 2022, 260, 111939. [Google Scholar] [CrossRef]
- He, T.; Wu, Z. Neural network disturbance observer with extended weight matrix for spacecraft disturbance attenuation. Aerosp. Sci. Technol. 2022, 126, 107572. [Google Scholar] [CrossRef]
- Qin, H.; Si, J.; Wang, N.; Gao, L. Fast fixed-time nonsingular terminal sliding-mode formation control for autonomous underwater vehicles based on a disturbance observer. Ocean. Eng. 2023, 270, 113423. [Google Scholar] [CrossRef]
- Jia, J.; Chen, X.; Wang, W.; Wu, K.; Xie, M. Distributed observer-based finite-time control of moving target tracking for UAV formation. ISA Trans. 2023, 140, 1–17. [Google Scholar] [CrossRef] [PubMed]
- Han, S. Predefined-Time and Prescribed-Performance Control Methods Combined with Second-Order Terminal Sliding Mode Control for an Unmanned Planing Hull System with Input Delay and Unknown Disturbance. J. Mar. Sci. Eng. 2023, 11, 2191. [Google Scholar] [CrossRef]
- He, S.; Dai, S.-L.; Zhao, Z.; Zou, T. Uncertainty and disturbance estimator-based distributed synchronization control for multiple marine surface vehicles with prescribed performance. Ocean. Eng. 2022, 261, 111867. [Google Scholar] [CrossRef]
- Li, J.; Xiang, X.; Dong, D.; Yang, S. Prescribed time observer based trajectory tracking control of autonomous underwater vehicle with tracking error constraints. Ocean. Eng. 2023, 274, 114018. [Google Scholar] [CrossRef]
- Wang, X.; Niu, B.; Wang, H.; Zhao, X.; Chen, W. Prescribed Performance-Based Finite-Time Consensus Technology of Nonlinear Multiagent Systems and Application to FDPs. IEEE Trans. Circuits Syst. II Express Briefs 2023, 70, 591–595. [Google Scholar] [CrossRef]
- Xiong, Z.; Liu, Z.; Luo, Y. Formation tracking of underactuated unmanned surface vehicles with connectivity maintenance and collision avoidance under velocity constraints. Ocean. Eng. 2022, 265, 112698. [Google Scholar] [CrossRef]
- Han, S.I.; Lee, J.M. Fuzzy Echo State Neural Networks and Funnel Dynamic Surface Control for Prescribed Performance of a Nonlinear Dynamic System. IEEE Trans. Ind. Electron. 2014, 61, 1099–1112. [Google Scholar] [CrossRef]
- Wei, C.; Wu, X.; Xiao, B.; Wu, J.; Zhang, C. Adaptive leader-following performance guaranteed formation control for multiple spacecraft with collision avoidance and connectivity assurance. Aerosp. Sci. Technol. 2022, 120, 107266. [Google Scholar] [CrossRef]
- Shao, X.; Wang, H. Back-stepping robust trajectory linearization control for hypersonic reentry vehicle via novel tracking differentiator. J. Frankl. Inst. -Eng. Appl. Math. 2016, 353, 1957–1984. [Google Scholar] [CrossRef]
- Analysis and Improvement of Higher-Order Sliding Mode Differentiator—<Control and Decision>. 2011. Available online: https://en.cnki.com.cn/Article_en/CJFDTOTAL-KZYC201108006.htm (accessed on 22 June 2024).
- Gu, N.; Wang, D.; Peng, Z.; Liu, L. Distributed containment maneuvering of uncertain under-actuated unmanned surface vehicles guided by multiple virtual leaders with a formation. Ocean. Eng. 2019, 187, 105996. [Google Scholar] [CrossRef]
- Liu, Y.; Lin, X.; Zhang, C. Affine Formation Maneuver Control for Multi-Heterogeneous Unmanned Surface Vessels in Narrow Channel Environments. J. Mar. Sci. Eng. 2023, 11, 1811. [Google Scholar] [CrossRef]













Disclaimer/Publisher’s Note: The statements, opinions and data contained in all publications are solely those of the individual author(s) and contributor(s) and not of MDPI and/or the editor(s). MDPI and/or the editor(s) disclaim responsibility for any injury to people or property resulting from any ideas, methods, instructions or products referred to in the content. |
© 2024 by the authors. Licensee MDPI, Basel, Switzerland. This article is an open access article distributed under the terms and conditions of the Creative Commons Attribution (CC BY) license (https://creativecommons.org/licenses/by/4.0/).
Share and Cite
Li, J.; Fu, M.; Xu, Y. Disturbance-Observer-Based Adaptive Prescribed Performance Formation Tracking Control for Multiple Underactuated Surface Vehicles. J. Mar. Sci. Eng. 2024, 12, 1136. https://doi.org/10.3390/jmse12071136
Li J, Fu M, Xu Y. Disturbance-Observer-Based Adaptive Prescribed Performance Formation Tracking Control for Multiple Underactuated Surface Vehicles. Journal of Marine Science and Engineering. 2024; 12(7):1136. https://doi.org/10.3390/jmse12071136
Chicago/Turabian StyleLi, Jin, Mingyu Fu, and Yujie Xu. 2024. "Disturbance-Observer-Based Adaptive Prescribed Performance Formation Tracking Control for Multiple Underactuated Surface Vehicles" Journal of Marine Science and Engineering 12, no. 7: 1136. https://doi.org/10.3390/jmse12071136
APA StyleLi, J., Fu, M., & Xu, Y. (2024). Disturbance-Observer-Based Adaptive Prescribed Performance Formation Tracking Control for Multiple Underactuated Surface Vehicles. Journal of Marine Science and Engineering, 12(7), 1136. https://doi.org/10.3390/jmse12071136

