Numerical Modelling of the Hydrodynamic Performance of Biodegradable Drifting Fish Aggregating Devices in Currents
Abstract
1. Introduction
2. Materials and Methods
2.1. Description of the Bio-DFADs
2.2. Test Conditions
2.3. Numerical Setup
2.3.1. Governing Equations and Turbulence Model
- k equation
- ε equation
2.3.2. Computational Domain and Boundary Conditions
2.3.3. Motion Equation of the Bio-DFADs
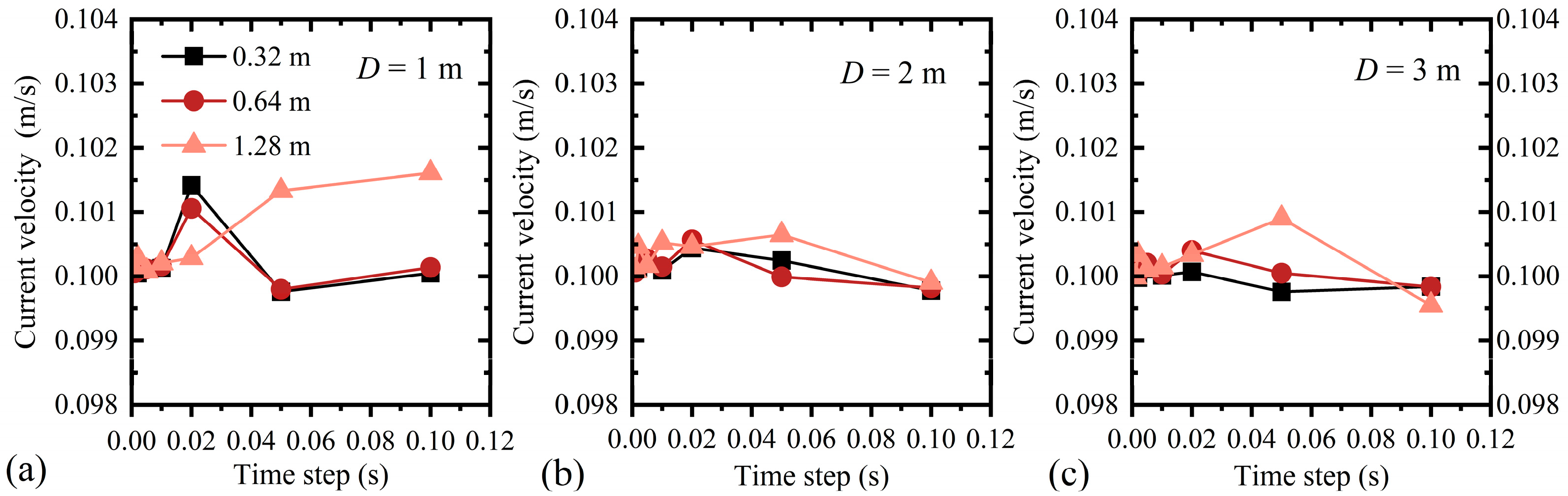
2.3.4. Mesh Resolution
3. Results and Discussions
3.1. Effect of the Relative Current Velocity on the Bio-DFADs
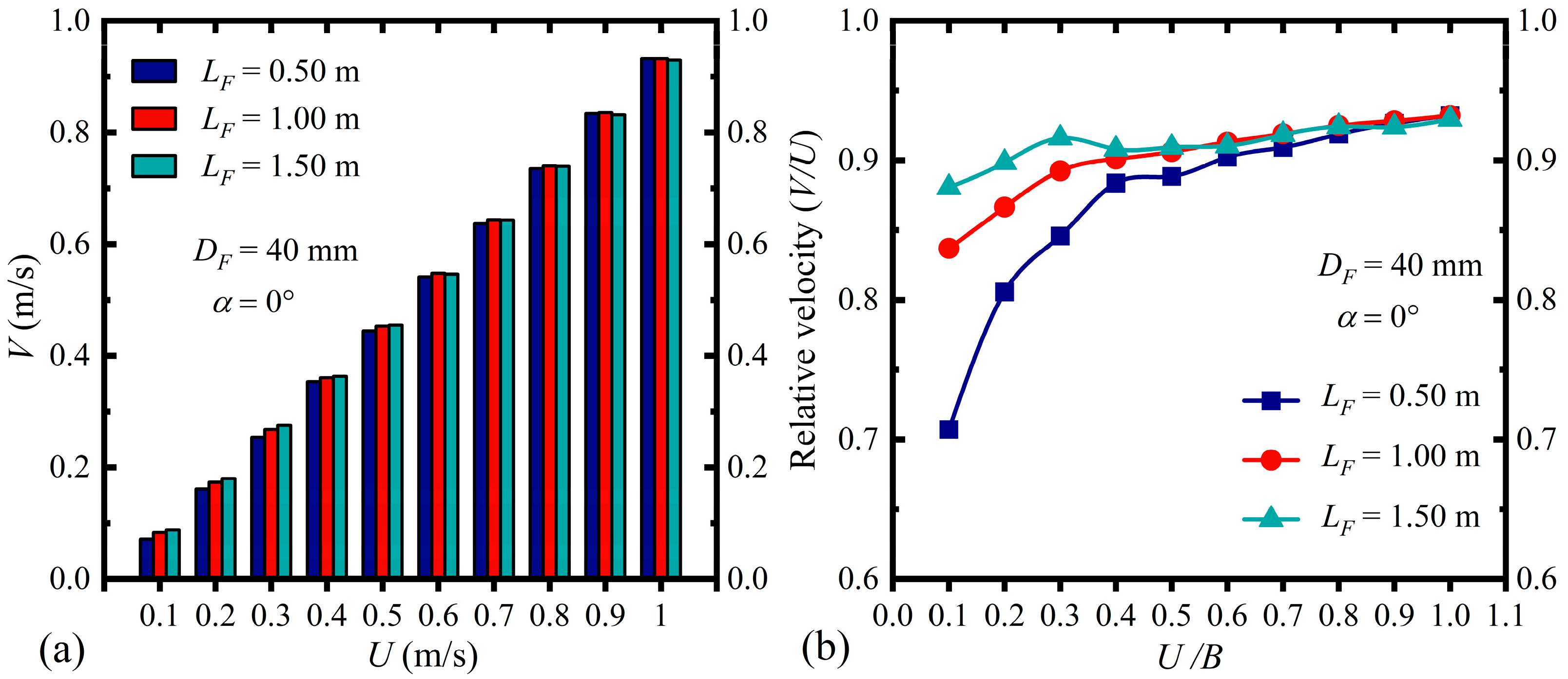
3.2. Effect of the Relative Length and Attack Angle on the Bio-DFADs
3.3. Effect of the Relative Diameter of the Balsa Wood on the Bio-DFADs
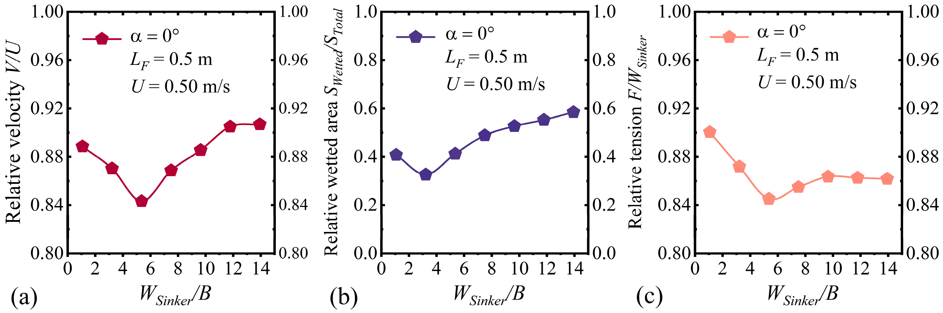
3.4. Effect of the Relative Weight of the Sinker on the Bio-DFADs
4. Conclusions
- (1)
- The relative current velocity had a substantial impact on the relative velocity. However, the differences in relative velocity among the three models was modest. Additionally, the relative current velocity had a negligible influence on the relative wetted area and the rope tension.
- (2)
- The relative length exerted a substantial impact on the relative velocity and the relative wetted area in pure current while having a minimal influence on the relative tension. The hydrodynamic performance of the model was minimally affected by the attack angle. There was a direct correlation between the relative velocity and the relative wetted area.
- (3)
- The diameter of the balsa wood had a notable impact on the velocity and wetted area but had a minimal effect on the rope tension.
- (4)
- The sinker’s relative weight had a notable impact on the hydrodynamic performance of the Bio-DFADs. The Bio-DFADs can remain in the fishing area for a predetermined duration while moving at a reduced speed. However, the relative velocity was only diminished within a specific range of relative weight of sinker.
Author Contributions
Funding
Institutional Review Board Statement
Informed Consent Statement
Data Availability Statement
Acknowledgments
Conflicts of Interest
References
- ISSF. Status of the World Fisheries for Tuna; ISSF Technical Report 2022-04; International Seafood Sustainability Foundation: Washington, DC, USA, 2022. [Google Scholar]
- Maufroy, A.; Chassot, E.; Joo, R.; Kaplan, D.M. Large-scale examination of spatio-temporal patterns of drifting fish aggregating devices (dFADs) from tropical tuna fisheries of the Indian and Atlantic Oceans. PLoS ONE 2015, 10, e0128023. [Google Scholar] [CrossRef] [PubMed]
- Imzilen, T.; Lett, C.; Chassot, E.; Kaplan, D.M. Spatial management can significantly reduce dFAD beachings in Indian and Atlantic Ocean tropical tuna purse seine fisheries. Biol. Conserv. 2021, 254, 108939. [Google Scholar] [CrossRef]
- Escalle, L.; Hare, S.R.; Vidal, T.; Brownjohn, M.; Hamer, P.; Pilling, G. Quantifying drifting Fish Aggregating Device use by the world’s largest tuna fishery. ICES J. Mar. Sci. 2021, 78, 2432–2447. [Google Scholar] [CrossRef]
- Lopez, J.; Roman, M.H.; Lennert-Cody, C.; Maunder, M.N.; Vogel, N. Floating object fishery indicators: A 2020 report. In Proceedings of the IATTC-5th Meeting of the Ad Hoc Working Group on FADs, San Diego, CA, USA, 6 May 2021. [Google Scholar]
- Evans, K.; Young, J.; Nicol, S.; Kolody, D.; Allain, V.; Bell, J.; Brown, J.; Ganachaud, A.; Hobday, A.; Hunt, B.; et al. Optimising fisheries management in relation to tuna catches in the western central Pacific Ocean: A review of research priorities and opportunities. Mar. Policy 2015, 59, 94–104. [Google Scholar] [CrossRef]
- Maufroy, A.; Kaplan, D.M.; Bez, N.; De Molina, A.D.; Murua, H.; Floch, L.; Chassot, E. Massive increase in the use of drifting Fish Aggregating Devices (dFADs) by tropical tuna purse seine fisheries in the Atlantic and Indian oceans. ICES J. Mar. Sci. 2017, 74, 215–225. [Google Scholar] [CrossRef]
- Wain, G.; Guery, L.; Kaplan, D.M.; Gaertner, D. Quantifying the increase in fishing efficiency due to the use of drifting FADs equipped with echosounders in tropical tuna purse seine fisheries. ICES J. Mar. Sci. 2021, 78, 235–245. [Google Scholar] [CrossRef]
- Dupaix, A.; Capello, M.; Lett, C.; Andrello, M.; Barrier, N.; Viennois, G.; Dagorn, L. Surface habitat modification through industrial tuna fishery practices. ICES J. Mar. Sci. 2021, 78, 3075–3088. [Google Scholar] [CrossRef]
- Marsac, F.; Fonteneau, A.; Ménard, F. Drifting FADs used in tuna fisheries: An ecological trap? In Proceedings of the Pêche thonière et dispositifs de concentration de poissons, Caribbean-Martinique, France, 15–19 October 1999. [Google Scholar]
- Itano, D.; Fukofuka, S.; Brogan, D. The development, design, and current status of anchored and drifting FADs in the WCP. In Proceedings of the 17th Meeting of the Standing Committee on Tuna and Billfish, Majuro, Marshall Islands, 9–18 August 2004; p. 26. [Google Scholar]
- Hallier, J.P.; Gaertner, D. Drifting fish aggregation devices could act as an ecological trap for tropical tuna species. Mar. Ecol. Prog. Ser. 2008, 353, 255–264. [Google Scholar] [CrossRef]
- Dagorn, L.; Holland, K.N.; Restrepo, V.; Moreno, G. Is it good or bad to fish with FADs? what are the real impacts of the use of drifting FADs on pelagic marine ecosystems? Fish Fish. 2012, 14, 391–415. [Google Scholar] [CrossRef]
- Moreno, G.; Salvador, J.; Zudaire, I.; Murua, J.; Pelegrí, J.L.; Uranga, J.; Murua, H.; Grande, M.; Santiago, J.; Restrepo, V. The jelly-FAD: A paradigm shift in the design of biodegradable fish aggregating devices. Mar. Policy 2022, 174, 105352. [Google Scholar] [CrossRef]
- Murua, H.; Zudaire, I.; Tolotti, M.; Murua, J.; Capello, M.; Basurko, O.C.; Krug, I.; Grande, M.; Arregui, I.; Uranga, J.; et al. Lessons learnt from the first large-scale biodegradable FAD research experiment to mitigate drifting FADs impacts on the ecosystem. Mar. Policy 2023, 148, 105394. [Google Scholar] [CrossRef]
- Moreno, G.; Salvador, J.; Murua, J.; Phillip, N.B., Jr.; Murua, H.; Escalle, L.; Zudaire, I.; Pilling, G.; Restrepo, V. A Multidisciplinary Approach to Build New Designs of Biodegradable Fish Aggregating Devices (FADs); WCPFC Sci. Comm. WCPFC-SC16-2020/EB-IP-XX; WCPFC: Washington, DC, USA, 2020. [Google Scholar]
- Wang, Y.; Zhou, C.; Xu, L.; Wan, R.; Shi, J.; Wang, X.; Tang, H.; Wang, L.; Yu, W.; Wang, K. Degradability evaluation for natural material fibre used on fish aggregation devices (FADs) in tuna purse seine fishery. Aquac. Fish. 2021, 6, 376–381. [Google Scholar] [CrossRef]
- Zhang, T.; Liu, Z.; Zhang, J.; Su, X.; Chen, J.; Wan, R. Numerical Study of the Hydrodynamic Response of Biodegradable Drifting Fish Aggregating Devices in Regular Waves. Fishes 2024, 9, 112. [Google Scholar] [CrossRef]
- Zhou, Y.; Zhang, X.; Chen, J.; Liu, R.; Sun, J.; Si, Y. Catenary Mooring Length Control for Motion Mitigation of Semi-Submersible Floating Wind Turbines. J. Mar. Sci. Eng. 2024, 12, 628. [Google Scholar] [CrossRef]
- Cutajar, C.; Sant, T.; Farrugia, R.N.; Buhagiar, D. Analysis of the Wave Attenuating and Dynamic Behaviour of a Floating Breakwater Integrating a Hydro-Pneumatic Energy Storage System. J. Mar. Sci. Eng. 2023, 11, 2189. [Google Scholar] [CrossRef]
- Wang, S.; Liu, S.; Xiang, C.; Li, M.; Yang, Z.; Huang, B. Prediction of Wave Forces on the Box-Girder Superstructure of the Offshore Bridge with the Influence of Floating Breakwater. J. Mar. Sci. Eng. 2023, 11, 1326. [Google Scholar] [CrossRef]
- Yuan, Y.; Xue, H.; Tang, W. Internal laminar flow effect on the nonlinear dynamic response of marine risers under uniform ocean current. Ships Offshore Struct. 2022, 17, 1382–1391. [Google Scholar] [CrossRef]
- Zhao, Y.P.; Bai, X.D.; Dong, G.H.; Bi, C.W. Deformation and stress distribution of floating collar of net cage in steady current. Ships Offshore Struct. 2019, 14, 371–383. [Google Scholar] [CrossRef]
- Zhang, Y.; Feng, L.; Zhang, L.; Wang, L.; Dong, S.; Gao, Q.; Hu, X.; Li, J. A study of tension and deformation of flexible net under the action of current. Ships Offshore Struct. 2022, 19, 27–44. [Google Scholar] [CrossRef]
- González, M.; Karumathil, S.K. A new method to estimate the resistance coefficients of net panels modeled as porous media. Ocean Eng. 2023, 274, 113952. [Google Scholar] [CrossRef]
- Wan, R.; Zhang, T.; Zhou, C.; Zhao, F.; Wang, W. Experimental and numerical investigations of hydrodynamic response of biodegradable drifting Fish Aggregating Devices (FADs) in waves. Ocean Eng. 2022, 244, 110436. [Google Scholar] [CrossRef]
- Xiao, Y.; Zhou, C.; Zhang, T.; Wang, Y.; Xie, C.; Zhang, Y. Aggregation characteristics of fish aggregating devices (FADs) in tuna purse seine fisheries in the Western and Central Pacific Ocean. J. Fish. China 2023, 47, 039719. [Google Scholar]
- Lee, K.; Lee, S.I.; Kim, D.N. Fluid Dynamics Analysis of Fish Aggregation Device using Particle Image Velocimetry. In Proceedings of the IOTC-2018-WPTT20-24, the 20th Session of the IOTC Working Party on Tropical Tunas, Mahé, Seychelles, 29 October–3 November 2018. [Google Scholar]
- Shih, T.H.; Liou, W.W.; Shabbi, A.; Yang, Z.; Zhu, J. A new k-ε eddy-viscosity model for high Reynolds number turbulent flows—Model development and validation. Comput. Fluids 1995, 24, 227–238. [Google Scholar] [CrossRef]
- Fuhrman, D.R.; Li, Y. Instability of the realizable k-ε turbulence model beneath surface waves. Phys. Fluids 2020, 32, 115108. [Google Scholar] [CrossRef]
- Hirt, C.W.; Nichols, B.D. Volume of fluid (VOF) method for the dynamics of free boundaries. J. Comput. Phys. 1981, 39, 201–225. [Google Scholar] [CrossRef]
- Lin, P.; Liu, P.L.F. A Numerical Study of Breaking Waves in the Surf Zone. J. Fluid Mech. 1998, 359, 239–264. [Google Scholar] [CrossRef]
- Rodi, W. Turbulence Models and Their Application in Hydraulics—A State of the Art Review; IAHR Monograph: Delft, The Netherlands, 1980. [Google Scholar]
- STAR-CCM+ User’s Guide; Siemens PLM Software: Plano, TX, USA, 2019.
- Choi, J.; Yoon, S.B. Numerical simulations using momentum source wave-maker applied to RANS equation model. Coast. Eng. 2009, 56, 1043–1060. [Google Scholar] [CrossRef]
- Gu, H.; Stansby, P.; Stallard, T.; Carpintero Moreno, E. Drag, added mass and radiation damping of oscillating vertical cylindrical bodies in heave and surge in still water. J. Fluids Struct. 2018, 82, 343–356. [Google Scholar] [CrossRef]













| Main Characteristics | Parameter | Value |
|---|---|---|
| Length of the raft | LF | 0.50, 1.00, 1.50 m |
| Width of the raft | B | 1.00 m |
| Height of the raft | HF | 0.06, 0.08, 0.10, 0.12, 0.14, 0.16 m |
| Diameter of the balsa wood stick | DF | 0.03, 0.04, 0.05, 0.06, 0.07, 0.08 m |
| Length of the rope | dF | 0.60 m |
| Weight of the sinker | WSinker | 2.00, 4.00, 6.00, 8.00, 10.00, 12.00, 14.00 kg |
| Cases | Current Velocity U (m/s) | Attack Angle α (°) | ||
|---|---|---|---|---|
| Calm water | 0.10, 0.20, 0.30, 0.40, 0.50, 0.60, 0.70, 0.80, 0.90, 1.00 | 0, 90 | ||
Disclaimer/Publisher’s Note: The statements, opinions and data contained in all publications are solely those of the individual author(s) and contributor(s) and not of MDPI and/or the editor(s). MDPI and/or the editor(s) disclaim responsibility for any injury to people or property resulting from any ideas, methods, instructions or products referred to in the content. |
© 2024 by the authors. Licensee MDPI, Basel, Switzerland. This article is an open access article distributed under the terms and conditions of the Creative Commons Attribution (CC BY) license (https://creativecommons.org/licenses/by/4.0/).
Share and Cite
Zhang, T.; Zhang, J.; Hou, Q.; Yu, G.; Chen, A.; Liu, Z.; Wan, R. Numerical Modelling of the Hydrodynamic Performance of Biodegradable Drifting Fish Aggregating Devices in Currents. J. Mar. Sci. Eng. 2024, 12, 1059. https://doi.org/10.3390/jmse12071059
Zhang T, Zhang J, Hou Q, Yu G, Chen A, Liu Z, Wan R. Numerical Modelling of the Hydrodynamic Performance of Biodegradable Drifting Fish Aggregating Devices in Currents. Journal of Marine Science and Engineering. 2024; 12(7):1059. https://doi.org/10.3390/jmse12071059
Chicago/Turabian StyleZhang, Tongzheng, Junbo Zhang, Qinglian Hou, Gangyi Yu, Ao Chen, Zhiqiang Liu, and Rong Wan. 2024. "Numerical Modelling of the Hydrodynamic Performance of Biodegradable Drifting Fish Aggregating Devices in Currents" Journal of Marine Science and Engineering 12, no. 7: 1059. https://doi.org/10.3390/jmse12071059
APA StyleZhang, T., Zhang, J., Hou, Q., Yu, G., Chen, A., Liu, Z., & Wan, R. (2024). Numerical Modelling of the Hydrodynamic Performance of Biodegradable Drifting Fish Aggregating Devices in Currents. Journal of Marine Science and Engineering, 12(7), 1059. https://doi.org/10.3390/jmse12071059
