Next Article in Journal
Development of Hydroacoustic Localization Algorithms for AUV Based on the Error-Corrected WMChan-Taylor Algorithm
Next Article in Special Issue
Ship Trajectory Planning and Optimization via Ensemble Hybrid A* and Multi-Target Point Artificial Potential Field Model
Previous Article in Journal
Hydrodynamic Characteristics Analysis and Mooring System Optimization of an Innovative Deep-Sea Aquaculture Platform
Previous Article in Special Issue
Routing a Fleet of Drones from a Base Station for Emission Detection of Moving Ships by Genetic Algorithm
 
 
Font Type:
Arial Georgia Verdana
Font Size:
Aa Aa Aa
Line Spacing:
Column Width:
Background:
Article

New Exploration of Emission Abatement Solution for Newbuilding Bulk Carriers

College of Economics and Management, Shanghai Maritime University, Shanghai 201306, China
*
Author to whom correspondence should be addressed.
J. Mar. Sci. Eng. 2024, 12(6), 973; https://doi.org/10.3390/jmse12060973
Submission received: 28 April 2024 / Revised: 2 June 2024 / Accepted: 7 June 2024 / Published: 10 June 2024

Abstract

With the implementation of the International Maritime Organization’s (IMO) sulfur cap 2020, shipowners have had to choose suitable sulfur oxide emission abatement solutions to respond to this policy. The use of Very Low Sulfur Fuel Oil (VLSFO) and the installation of scrubbers are the main response solutions for bulk carriers today. In recent years, the epidemic has gradually improved, and the options facing shipowners may change. Based on the Clarkson Shipping Intelligence Network, this paper collects data related to newbuilding bulk carriers after the implementation of this policy, considers several factors affecting shipowners’ decision, and adopts a machine learning approach for the first time to build a model and make predictions on emission abatement solutions to provide some reference for shipowners to choose a more suitable solution. The results of the study show that the Extreme Gradient Boosting (XGBoost) model is more suitable for the problem studied in this paper, and the highest prediction accuracy of about 84.25% with an Area Under the Curve (AUC) value of 0.9019 is achieved using this model with hyperparameter adjustment based on a stratified sampling divided data set. The model makes good predictions for newbuilding bulk carriers. In addition, the deadweight tonnage and annual distance traveled of a ship have a greater degree of influence on the choice of its option, which can be given priority in the decision making. In contrast to traditional cost–benefit analyses, this study incorporates economic and non-economic factors and uses machine learning methods for effective classification, which have the advantage of being fast, comparable, and highly accurate.

1. Introduction

The World Health Organization (WHO) declared in May 2023 that the COVID-19 pandemic no longer constituted a “public health emergency of international concern”. International trade is gradually returning to business as usual and the global supply chain is beginning to restart, prompting a gradual return to normalcy in the shipping industry.
As an indispensable part of the international shipping industry, bulk carriers mainly transport grain, coal, ore, and other cargoes, and they are mainly divided into four categories according to their tonnage: Capesize, Panamax, Handymax, and Handysize. As a complex and volatile market, the dry bulk shipping market is susceptible to the influence of the commodity market and fuel market [1], and shipowners’ investment in ships is closely related to the market, operation, corporate strategy, and industry cluster factors [2]. In recent years, with the changes in the external economic and trade environment, it has become increasingly difficult for shipowners to make decisions [3].
Emissions of sulfur oxides are only behind nitrogen oxides, and are also an environmental issues worthy of consideration [4]. As the International Maritime Organization (IMO) requires the implementation of the “sulfur cap” from 1 January 2020, shipowners’ decisions on sulfur oxide emission abatement solutions have become a new topic of discussion, requiring a global reduction in the maximum sulfur content of ship fuels to 0.5% for environmental improvements and human health [5]. In response, the shipping industry is always looking for more economical ways to reduce sulfur emissions, and there tend to be different decision options for different ship types and operating models [6]. In the case of newbuilding ships, retrofitting is generally not carried out in the short term after the determination of the scheme, so it is more necessary to combine the initial investment and long-term operating costs to choose a suitable emission abatement solution [7], which is more conducive to maintaining long-term competitiveness.
Currently, the three most popular approaches are using Very Low Sulfur Fuel Oil (VLSFO), continuing to use High Sulfur Fuel Oil (HSFO) but installing sulfur oxide scrubbers to reduce the exhaust gases, and using alternative fuels. VLSFO refers to fuel oil with a sulfur content of no more than 0.5%. The scrubber, which filters the exhaust gas to reduce the sulfur content, is a high investment in the initial construction. The initial investment in choosing to use VLSFO is relatively low compared to installing a scrubber tower, making it more cost-effective in the short term, as scrubbers require a significant up-front capital outlay and regular maintenance and monitoring [8]. Karatuğ et al. concluded that although SOx emissions were effectively reduced due to the installation of scrubbers, other types of emissions increased with the use of HSFO and a higher fuel consumption (including CO2), thus contradicting the decarbonization strategy assigned by IMO, which is to reduce the carbon intensity of all ships by 40% by 2030, compared to the 2008 baseline [9]. The most typical representative of alternative fuels is Liquefied Natural Gas (LNG), and ammonia has also been gradually developed. Even before the policy was implemented, LNG was seen as a promising alternative fuel that could effectively reduce pollution, but also had certain safety concerns [10]. It is mainly characterized by its susceptibility to leaks that can cause serious accidents [11], especially in coastal areas where there is a lack of complete infrastructure for fuel refueling [12]. Although some government subsidies are widely used [13], LNG prices may change abruptly at any time [14]. It is more difficult to grasp the cost, causing many ship owners to remain in the wait-and-see stage or take the “LNG Ready” option, which is to design for future conversion to LNG. It has also been suggested that improving energy consumption efficiency will help maritime policy makers to provide more reasonable regulations for improving the energy consumption of ships [15]. Through the survey and analysis of existing bulk carriers in service after 2020 and their new ship orders, the use of VLSFO and the installation of scrubbers are the two most common emission abatement solutions currently used by bulk carriers. Therefore, this paper will also make a decision among these two emission abatement solutions.
The data in this article come from the Clarkson Maritime Intelligence Network, which manually collected data on about 680 newbuilding bulk carriers. Although the amount of data is small, each sample is highly representative. The purpose of this paper is to find out the factors affecting newbuilding bulk carriers regarding the selection of sulfur oxide emission abatement solutions through big data, and to establish a classification prediction model, including Logistic Regression (LR), K-Nearest Neighbor (KNN), Support Vector Machine (SVM), Random Forest (RF), Adaptive Boosting (AdaBoost), and Extreme Gradient Boosting (XGBoost), to compare their prediction accuracy and select the best model to provide some reference and suggestions for shipowners’ decisions on sulfur abatement solutions. Our analysis, at the theoretical level, suggests that the XGBoost model is more suitable for solving this research problem.
The remainder of the paper is structured as follows. Section 2 reviews the existing literature, provides an overview of the existing research results, and highlights the innovation of the paper. Section 3 details the data processing and machine learning methods used in this paper. Section 4 describes the data used in this paper and the pre-processing procedure and provides a descriptive analysis of the data. Section 5 conducts an empirical analysis where multiple machine learning models are used to make predictions and the predictive effects of different models are compared through hyperparameter tuning. In addition, the importance of each influencing factor is analyzed and forecasts are made for newbuilding bulk carriers. Section 6 summarizes the full paper and provides an outlook for future research.

2. Related Work

2.1. Machine Learning

Machine learning is one of the fastest growing technology fields today, comprising supervised and unsupervised types, and has been widely used in various fields [16]. Supervised types mainly include two directions: classification and regression, which can effectively and automatically learn from data, better handle high-dimensional and high-volume data, and have a higher prediction accuracy compared to traditional models. In recent years, it has also been gradually used in the field of green shipping. Kim et al. used deep learning for the route optimization of ships to reduce fuel consumption, which also helps improve maritime safety and efficiency [17]. Chen et al. proposed a path optimization model for port environments based on an artificial potential field and a twin delay depth deterministic policy gradient framework, which can facilitate the efficient operation and management of ports [18]. Xiao et al. conducted a systematic literature study on the application areas of AI technology in the shipping industry using bibliometric methods to help researchers understand the current status and development trends of AI technology in shipping applications [19]. This paper handles a dichotomous problem for emission abatement solutions, considering multiple factors and, therefore, using a machine learning model has a higher prediction accuracy, while the degree of influence of the variables can be ranked more effectively.
XGBoost is an excellent integrated learning algorithm that has achieved remarkable results in many fields and, in recent years, has been applied to the shipping industry as well [20]. Its advantages include the following aspects. First, by parallel computing, it greatly improves the model training speed and prediction accuracy [21]. Second, performing second-order Taylor expansion on the objective function and using second-order derivatives during training accelerate the convergence of the model. Third, by setting class weights and using an area Under the Curve (AUC) as the evaluation criterion, it can handle imbalanced training data well [22]. Fourth, it can output the factors’ importance magnitude. The reasons for preferring this algorithm for prediction in this paper are mainly due to the inclusion of the regularization term to prevent overfitting to a certain extent, the fact that the problem studied in this paper is a sample imbalance problem, and the need to understand the magnitude of the influence of each factor. In summary, we believe that the XGBoost model will be more beneficial to solve this problem.

2.2. Existing Studies on Emission Abatement Solution

Our extensive literature survey of the research on emission abatement solutions divides them into three main directions. The minimization of transportation costs is often considered as one of the optimization goals [23], which is mainly based on a cost–benefit approach to economic analysis. Studies on the choice of fuel oil have been available since before IMO proposed the “sulfur cap” in 2016, and Lindstad et al. mentioned that there is no single answer for the best emission abatement solution, which is influenced by a function of each ship’s engine size, annual fuel consumption in the Emission Control Area (ECA), and the foreseen future fuel prices, and the choice of emission abatement solutions is made by evaluating the cost and fuel consumption [24]. Zis et al. presented a cost–benefit methodology to assess emission abatement investments from shipowners, and they discovered that the drop in fuel prices can significantly delay the payback period for ships with scrubbers [25]. Fan et al. used a cost–benefit framework to analyze the ships’ compliance choices for fuel switching and blending scrubbers in the ECA region and applied it to routes in the China ECA [26]. The results indicated that the proportion of ships sailing in the ECA, the difference between low and high sulfur fuels, and the cost of scrubbers would be important influencing factors in the decision. Wu et al. amortized the scrubber lifetime and calculated the total incremental cost of the two solutions, taking into account the loss of cargo space, fuel prices, etc., and concluded that the incremental cost of the VLSFO is higher than the scrubber for the first 4.14 years after the solution choice [8]. Studies on cost-effectiveness effectively analyze the feasibility of each scenario, but in practical scenarios, there are often deviations from existing studies, while non-economic factors may be ignored, so new research methods have also emerged.
Growing interest in the development and impact of maritime sulfur emission regulations, new optimization problems, and usage and route selection models are being applied to the field [27]. The second category of research directions incorporates more non-economic factors than the first category and uses mathematical methods that are more adaptive to changes in the environment. Zis et al. considered the speed differences inside and outside the ECAs region and the operating hours of the ships, estimated the economic and environmental impacts of compliance with sulfur limits for various representative ship types, and suggested the creation of a new decision support system that considers a wider range of stakeholders [28]. They confirm that scrubber investments are more profitable when fuel prices are rising and for vessels that spend relatively more time sailing, in addition to the fact that the potential for speed differentiation inside and outside the ECAs has diminished. Zhao et al. combined three sulfur reduction technologies, fuel switching, scrubbers, and an LNG dual-fuel engine, and developed a robust optimization model based on two-stage stochastic linear programming to effectively cope with future uncertainties, which can reduce a certain amount of sulfur emissions [29]. Lagemann et al. formulated the choice of alternative fuels and the corresponding ship power system as an objective integer optimization problem, and the model was applied to a very large dry bulk carrier, where the uncertainty of external factors can be explained by a stochastic model, with the advantage of providing the corresponding parameters into the model, which can lead to a reliable solution [30].
The third category of research solutions is to build statistical models for analysis and prediction by collecting big data on ships in service. This category of methods presupposes the collection of a sufficient amount of data and is a method that has emerged in recent years. It can look for patterns in the emission abatement solutions of active ships and use big data for effective predictions. Li et al. used a Multinomial Logistic Model (MNL) to determine the decision factors of ships in response to the “sulfur cap”, and concluded that different ship ages and ship types have their corresponding preferences; it is through this statistical method that the significance of the influence of each factor and the magnitude of the influence can be effectively verified [31]. Therefore, Bao et al. studied the selection factors of three emission abatement solutions in the cruise industry using VLSFO, installing scrubbers, and using LNG with MNL. They found that the options depended on the size, age, and flag of the cruise ship, but not on the sailing area, and that fluctuations in fuel prices did not play a decisive role. All the above studies were completed through MNL, and although the key factors of shipowners’ decision preferences were found, the models were not predicted so that prediction accuracy could be discussed [32]. In terms of research on new ships, Zhang et al. still used MNL to model the emission abatement solutions for a wide range of ship types to study their key determinants, and they obtained a large correlation between the decisions affecting the ship and the type of ship, the oil price difference, and the nationality of the ship owner. They made predictions with the model, but did not consider the sample imbalance [33]. Bai et al. then used a logit model to determine the key factors affecting different ship types, and tested the prediction effect of the model after considering the sample imbalance. The prediction accuracy for bulk carriers was 76.59%, which provided some reference for shipowners’ selection, but there was still the problem of a low prediction accuracy [34].
The innovation of this paper is to summarize the features of the existing studies, integrating economic and non-economic factors, and further refining the experience under the cost scenarios by taking the data of the ships put into service after the implementation of the policy to be able to predict more accurate scenarios more quickly for the shipowners. Shipowners can also input multiple combinations to obtain the appropriate output solution. For the first time, the imbalance data processing technique in the XGBoost model is applied to the selection of sulfur oxide emission abatement solutions. The optimal hyperparameters are determined by the grid search method, which further improves the prediction accuracy of the model, and at the same time, the importance of each influencing factor is analyzed. This study provides a reference for shipowners to find a suitable emission abatement solution.

3. Methodology

3.1. Modeling Process

We modeled the bulk carrier data according to the method in Section 2, and the process is shown in Figure 1. Since the sample ratio for the two categories was 1.559:1, we used three methods to calculate the classification effect separately: no balancing process, manual synthesis of the data using Borderline Synthetic Minority Oversampling Technique (SMOTE) to achieve balance, and stratified sampling of the data. Based on these three methods, we built six machine learning models, LR, KNN, SVM, RF, AdaBoost, and XGBoost, to predict the emission abatement solution for newbuilding bulk carriers, and compared the prediction effects of different models to find the more optimal balance method and prediction model. Then, we adjust the hyperparameters of these models to further find the model with the best accuracy and output the importance of each feature. The first three of these methods are single classifier algorithms, while the last three are integrated learning algorithms. We implemented each balanced method and machine learning algorithm using the package of R 4.2.2.

3.2. Data Imbalance Processing

The emission abatement solutions are mainly divided into two categories, VLSFO and scrubbers, and thus can be classified as a binary classification problem. Through statistics, the sample size of the VLSFO sample is slightly higher than the scrubber sample, which is about 1.559:1 and belongs to the imbalanced dataset, which may lead to the prediction results favoring the class with higher sample size. Therefore, the following three types of treatments were considered when dividing the data set.

3.2.1. No Processing

The sample ratio of the original data set is maintained. At this time, the VLSFO-to-scrubber sample ratio is 1.559:1, and random sampling is taken when dividing the training set and test set in the later section, without considering the sample imbalance problem.

3.2.2. Artificial Synthetic Data Technology

This is carried out by adding a few categories of samples to achieve a balance between the two types of sample data. Since the traditional oversampling technique is by simply replicating the samples, this may lead to overfitting the results. Rather than simply copying samples, SMOTE selects minority class samples that are close together and uses them to generate synthetic new samples [35]. This algorithm is widely used because it can learn from more new samples that are more favorable for minority class classification. The Borderline SMOTE artificial data synthesis technique was proposed based on SMOTE [36], which focuses more on the instances located on the decision boundary and learns the boundary of each class accurately, overcoming the drawback that SMOTE can only be generated within the region, and the process of artificially synthesizing the data to reach the balance is shown in Figure 2a.

3.2.3. Stratified Sampling

Through the stratified sampling in statistics, it makes the ratio of the two types of samples in the training set and the test set consistent with the original data when drawing the samples, i.e., the ratio of both types of samples in the training set and the test set is 1.559:1, as shown in Figure 2b. This method ensures that the sample set and the original data set have similar distribution.

3.3. Methodology

Based on the above three different sample imbalance processing methods, six more machine learning models are used, respectively, to classify and study the emission abatement solution problem of bulk carriers, including LR, KNN, SVM, RF, AdaBoost, and XGBoost. The XGBoost model is the method we mainly consider, and the following is the introduction of each method.

3.3.1. XGBoost

XGBoost is an integrated learning model based on decision trees, which is a parallelized boosting algorithm. By constructing and combining multiple weak learners to accomplish the learning task, many data science problems can be solved quickly and accurately. The basic idea is to continuously generate new trees, and each tree is learned based on the difference between the previous lesson tree and the target value, thus reducing the bias of the model. The XGBoost model also uses regularization to avoid overfitting and improve the accuracy of the model, and also greatly improves the speed of computing, which is the method focused on in this paper, and the specific implementation steps are as follows:
XGBoost is an additive model consisting of t base models (decision trees):
y ^ i = k = 1 t f k ( x i )
The objective function of the XGBoost model has a model loss function and a canonical term  Ω  that suppresses the complexity of the model:
O b j = i = 1 n l ( y ^ i , y i ) + k = 1 t Ω ( f k )
The boosting model is forward additive, and using the model at step t, as an example, the model predicts the  i -th sample  x i  as follows:
y ^ i ( t ) = y ^ i ( t 1 ) + f t ( x i )
where  y ^ i t 1  is the predicted value given by the model at step t − 1. After adding the predicted value of the new model, the objective function can be written as:
O b j ( t ) = i = 1 n l ( y i , y ^ i ( t 1 ) + f t ( x i ) ) + i = 1 t Ω ( f i )
The t-th round of regularization is obtained from the sum of the regularization terms of all trees and consists of the difference between the true and predicted values and the regularization function, which is used to prevent overfitting during the training of the XGBoost model:
Ω ( f t ) = γ T + 1 2 λ j = 1 T ω j 2
where T is the number of leaf nodes,  γ  and  λ  are penalty factors, and  ω j  is the j-th leaf node score.
The second-order Taylor formula for Obj is expanded as:
O b j ( t ) = i = 1 n [ l ( y i , y ^ i ( t 1 ) ) + g i f t ( x i ) + 1 2 h i f t 2 ( x i ) ]
where  g i  and  h i  are the first- and second-order partial derivatives of the loss function for the i-th sample.
When the model is trained,  G j = g i  and  H j = h j , its objective function is:
O b j ( t ) j = 1 T [ G j ω j + 1 2 H j + λ ω j 2 ] + γ T
where  g i  and  h i  are the results obtained from step t − 1, whose values are known to be considered as constants and only the leaf node ω j  of the last tree is uncertain. We then find the first-order derivative of the objective function with respect to ω j  and make it equal to 0, and the weights corresponding to the leaf node j can be found as follows:
ω j = G j H j + λ
The final objective function can be reduced to:
O b j ( t ) = 1 2 j = 1 T G j 2 H j + λ + γ T
In addition, the XGBoost model can output the importance ranking of each feature. In the XGBoost model, the importance of a feature indicates the sum of the number of times it appears in all trees. In other words, the more a variable is used to build decision trees in the model, the higher its importance is, and finally, normalization is performed to obtain the importance ratio of each feature.

3.3.2. Other Models

The LR algorithm outputs a predicted probability between 0 and 1 by linearly weighting the input variables with a Sigmoid function, which is a typical binary linear model. It can obtain the degree of influence of each factor through regression coefficients and determine the significance of each factor.
The KNN algorithm is an instance-based learning method that determines the class of a predicted sample by calculating the distance between samples and selecting the K nearest neighbors and voting on the classification labels of these K neighbors.
SVM is a binary classification method whose basic model is a linear classifier defined on the feature space with maximum interval, but at the same time, it can also handle the nonlinear case by projecting the samples to a high-dimensional space using kernel functions.
The RF algorithm is one of the most common integration algorithms, consisting of multiple decision tree classifiers, where each dataset is randomly selected with putback, while some features are randomly selected as input. A strong learner algorithm developed based on the Bagging integration method is widely used in classification and regression. When used for classification, different decision trees will make their own decisions and take more than one class as the prediction result.
The AdaBoost algorithm is part of the Boosting model, which is different from the bagging model (random forest). Among the multiple classifiers that AdaBoost will construct, each classifier determines its own weight according to its own accuracy and then merges. At the same time, AdaBoost will adjust the data weights according to the previous classification effect.

3.4. Model Evaluation

3.4.1. Cross-Validation

For the division of the dataset, this paper uses the K-fold cross-validation method to complete the principle. That is, the original dataset is divided into K copies, K-1 copies as the training set, 1 copy as the test set, and finally, into K models. Finally, the average of K model classification indicators is used as the final evaluation indicator of the model, which can effectively avoid overfitting and underfitting and make the prediction more accurately [37]. In this paper, we use the ten-fold cross-validation method for partitioning, i.e., the ratio of training set to test set of samples is 9:1. The advantage of this method is that the randomly generated subsamples are applied repeatedly for training and validation at the same time, and the results are validated once each time. We also use this method for hyperparameter adjustment.

3.4.2. Accuracy and Error Rate

By constructing the above six models, the confusion matrix of prediction can be obtained, see Table 1, and then the Accuracy (ACC) of the respective models and the error rate (Error) of the two types of samples can be measured to judge the effectiveness of the classification of the models.
ACC indicates the proportion of correctly classified samples to the total sample, and the error rate of two categories of samples indicates that the true result is the proportion of prediction errors in the results of the corresponding categories, and it can avoid the increase in the overall accuracy rate due to the high accuracy of one of the categories, calculated as follows:
A C C = T P + T N T P + F P + F N + T N
E r r o r VLSFO = F N T P + F N
E r r o r S c r u b b e r = F P F P + T N
where  E r r o r VLSFO  is the error rate of the VLSFO and  E r r o r S c r u b b e r  is the error rate of the scrubber.

3.4.3. ROC Curves and AUC Value

The ROC curve, also called receiver operating characteristic curve, can be used to measure the predictive performance of a binary classification model [38]. In general, the horizontal coordinate of the ROC curve is the False Positive Rate (FPR) and the vertical coordinate is the True Positive Rate (TPR). When different thresholds are chosen, the ROC curve can reflect the corresponding trend as the ratio of TPR and FPR as follows:
T P R = T P T P + F N ,
F P R = F P T N + F P
The AUC value is the area under curve, its size is proportional to the quality of the model, and it takes values between 0.5 and 1. When the value of AUC is equal to 0.5, the model is a random guess and the model has no predictive ability, and the higher the AUC value is, the better the classification effect of the model is. Therefore, the AUC value is chosen as other indicators to evaluate the classification effect of the model.

3.4.4. Grid Search

Grid search, originally proposed in 1998, is a commonly used method for hyperparameter tuning by discretizing the range of values of different hyperparameters into a discrete number of points, forming a multidimensional grid of these points, with each grid point corresponding to a hyperparameter combination, training the model with different hyperparameter combinations in turn and evaluating it on the validation set, and finally, selecting the hyperparameter combination that displays the best performance on the validation set. The combination of hyperparameters with the best performance on the validation set is selected as the hyperparameter of the final model. In the field of machine learning, grid search is widely used in the training and tuning process of the model, which can effectively improve the accuracy and generalization ability of the model and find the global optimal solution, combining with ten-fold cross-validation to jointly complete the fine-tuning of hyperparameters [39].

4. Data Description and Preprocessing

4.1. Data Sources

This paper uses data from the Clarkson Shipping Intelligence Network. The data set collected includes 683 bulk carriers in service between January 2020 and October 2023, covering three types of bulk carriers: Capesize, Panamax, and Handymax. To avoid the duplication of statistics, only one of the sister vessels ordered by the same company was taken as a sample. Meanwhile, the Handysize bulker almost tended to use VLSFO in the emission abatement solution, so they are not included in the research sample of this paper.
Among active bulk carriers and new ship orders, ships using alternative fuels as an emission abatement solution occupy a very small proportion, with only eight active bulk carriers using alternative fuels between 2020 and 2023, and only 38 ships using alternative fuels, accounting for only 4.26% of all new bulk carrier orders, according to Clarkson’s new ship orders. We understand that the emission abatement solution for bulk carriers is mainly based on VLSFO and the installation of scrubbers, so in the choice of a solution, this paper focuses on these two.
A total of nine representative characteristics were collected in this paper, which are the Age of the Ship (Age), Deadweight Tonnage (DWT), Main Engine Power (Power), Annual Average Speed (Speed), Annual Distance Traveled (Distance), Price Difference between Low and High Sulfur Fuel (PD), Baltic Dry Index (BDI), Ship Docking Time in Port (DT), and the Proportion of Sailing Time in the Sulfur Emission Control Area (ECA).
The age of the ship is measured in years, and the collected ships were put into service from 2020 to 2023, so the value is taken to be between 1 and 4. The DWT reflects the actual weight of the ship, and the unit of Power is kW. The data suggest that there may be a strong correlation between the DWT and Power.
In the process of obtaining ship features data, the DWT, Age, and Power can be directly obtained. Speed is the average speed of the ship in a service year in knots. The Distance is the average distance traveled by the ship in a service year in nautical miles. For the distance traveled by the ship in 2023, it can be derived from the distance traveled and the months traveled. The fuel price difference is the price difference between HSFO and Marine Gas Oil (MGO). Here, since VLSFO has been available since 2020, MGO is used instead of VLSFO in this paper, and the fuel price is the current month’s fuel price when the shipbuilding contract is signed by the shipowner. Singapore is the world’s largest bunker oil trading market, so the current month’s bunker price in Singapore is chosen as a feature variable in this paper. BDI is also derived from the corresponding value in the month when the shipbuilding contract is signed. In addition, this paper also introduces the sailing time weighting and ship docking time in port in the ECAs, which includes four regions, the Baltic Sea, the North Sea, North America, and the U.S. Caribbean, where the sulfur content of ship fuel is required to be no more than 0.1%. We also take the Hainan and Yangtze River of China into consideration.

4.2. Data Preprocessing

Data preprocessing is an essential preparation before data analysis. We mainly deal with missing values and outliers, and then further standardize them.
In dealing with the missing data, some ships are missing important variables, such as the distance traveled and the time when the shipbuilding contract was signed. Since the missing samples are small and have no major impact on the construction of the model, the ships with missing data are directly excluded from this paper.
For the outliers in the individual features of the ships, mainly for the outliers of the Speed and Distance, we considered the data other than the mean plus or minus three times the standard deviation as outliers and deleted the corresponding ships. In addition, we also fully considered whether the ships had been repaired or modified during service, and corrected the sailing distances for such samples. Finally, we obtained 683 valid samples, which are detailed in Table 2.
To reduce the variation in the magnitude of the data, we standardized the data by the Z-score standardization method, which is based on the mean and standard deviation of the original data. The formula used is as follows:
X = X X ¯ S t d = X X ¯ 1 N 1 i = 1 n ( X X ¯ ) 2
where  X  is the normalized data,  X  is the original value of the sample, and  X ¯  is the mean value of the corresponding feature of the sample.

4.3. Descriptive Analysis

Table 3 calculates the mean, median, and standard deviation of each feature of the two emission abatement solutions for newbuilding bulk carriers, respectively. Figure 3 shows the box plots of each feature separately, where the distribution can be seen further. Based on the descriptive statistical analyses and box plots, the data can be better understood and certain conclusions can be drawn to provide some references for further empirical analyses.
According to the data in Figure 3a, we can find that the proportion of bulk carriers using VLSFO has been increasing in recent years. In addition, Figure 3b,c shows that as the DWT and Power increase, the more likely the shipowner is to use scrubbers. Figure 3d,e represent that those ships using scrubbers tend to be faster and travel longer distances, which may have some relationship with their fuel costs. Figure 3f,g indicate that the higher the PD and the higher the BDI, the more likely the shipowner is to use scrubbers, but the effect is not significant. Figure 3h shows that the longer the time sailing in ECA is, the more likely the ship owner is to use VLSFO. According to the data in Figure 3i, the ships using VLSFO have a shorter DT. However, this result may require further validation. The above conclusions can also be obtained from the descriptive statistics charts in Table 3.
Finally, we calculated the correlation coefficients among the indicators, and Figure 4 shows the correlation coefficients between VLSFO and the scrubbers. We found that there is a highly positive correlation between the DWT and Power among the ships using scrubbers in Figure 4b, and the ships with a larger tonnage also traveled relatively more distance, so we need to consider the multicollinearity problem in the modeling process later. Secondly, there are also correlations between the DWT and the Power, Distance, and PD.

5. Results and Analysis

In this section, we analyze the predictions of the model and Table 4 shows the list of acronyms for the features and evaluation metrics involved.

5.1. Model Predictions

By screening different features for iterative modeling comparisons, we finally selected seven features as the input variables for the prediction model, namely Age, DWT, Power, Speed, Distance, PD, and BDI. We excluded the two features ECA and DT because their introduction does not significantly improve the prediction and may even lead to a decrease in the prediction results, like the results of Zis et al. [28]. In addition, we mentioned in Section 3 that there is a strong correlation between the DWT and Power, so when using LR, we excluded Power to avoid the covariance problem. In the machine learning model, there is no need to consider the multicollinearity problem.
After the standardization of the samples, we first tried to balance the samples using three different methods and constructed the model using the default hyperparameters to compare the effects of the three methods. The results are shown in Table 5, where we can see that the method of using Borderline SMOTE to synthesize the data is less effective. Therefore, our next work will be based on the two methods of using raw data and stratified sampling to divide the dataset to adjust the hyperparameters of the model.
After the experimental comparison, we found that the highest ACC rate of 81.04% can be obtained using the XGBoost model without the data balancing process. Additionally, the SVM model has an advantage in terms of the individual error rate. In addition, we also found that the error rate of the VLSFO samples is lower compared to the scrubber samples. This may be due to the higher similarity of the features of some of the ships installed with scrubbers and those using VLSFO. Therefore, in future research work, we need to introduce relevant features with more differentiation. Overall, the integrated learning algorithm outperforms single classifiers by combining the predictions of multiple classifiers, reducing the risk of the overfitting of individual classifiers and improving generalization capabilities, so we have focused on further tuning the hyperparameters of these three integrated learning models.

5.2. Adjustment of Hyperparameters

We have listed their main hyperparameters and their adjusted ranges for the three models, and the details of the hyperparameters and their adjusted ranges are shown in Table 6. For the unmentioned hyperparameters, we took the default values because they do not positively affect the models during the adjustment process. By using a grid search combined with ten-fold cross-validation, we obtained the results of the optimal hyperparameters with the goal of finding the highest ACC. In Table 7, we display the obtained optimal hyperparameters and the ACC for each model on the test set under the two imbalance treatments.
By comparing the results, we have found that the highest ACC of 84.25% is obtained after adjusting the three hyperparameters of ‘n_estimators’, ‘learning_rate’, andmax_depth’ under the method of stratified sampling to divide the dataset. The ‘n_estimators’ is used to control the number of trees. The ‘learning_rate’ and ‘max_depth’ adjustments have a large fluctuation effect on the ACC. The ‘learning_rate’ controls the weight reduction factor of each weak learner. The smaller the value is, the faster the model converges to the optimal solution, but it may also increase the risk of overfitting. The ‘max_depth’ is used to control the maximum depth of the tree; a larger value allows the model to predict the results more accurately, but it also leads to a longer training time. Therefore, Figure 5 shows the effect of the variation of these two hyperparameters on the ACC when ‘n_estimators’ is taken as 800, with the horizontal and vertical coordinates of ‘learning_rate’ and ‘max_depth’, and the vertical coordinates indicating the ACC after tenfold cross-validation on the test set, from which it can be clearly seen that most of the ACC is distributed around 0.82 to 0.83. The highest ACC of 84.25% is obtained when the values of ‘learning_rate’ and ‘max_depth’ are 0.4 and 5, respectively.
The remaining hyperparameters are default values, mainly ‘Alpha’ is the L1 regularization parameter in the range [0, +∞) with a default of 0. The larger the parameter, the less likely it is to overfit. The ‘Lambda’ is used to control the regularization part of XGBoost, i.e., it is used to control the complexity of the model, with a default of 0, which means that the default regularization term is used. When the value of the ‘Lambda’ parameter is greater than 0, it means that a stricter regularization term is used, which can reduce the risk of overfitting. The ‘Gamma’ is used to control the splitting strategy of the tree, i.e., the splitting operation is initiated when the loss function of a node drops below a set threshold. When its value is taken as large values, the model will be more conservative and not split easily, which leads to more stable leaf nodes of the tree. When its value is small, the model will be more aggressive and tends to split the child nodes earlier to obtain higher gains with the highest ACC when it is taken as 0.
We introduced in Section 2 that the superior performance of the XGBoost model may be more appropriate for this study, and the results are consistent with the expectations. The RF model is integrated by the averaging of votes and uses random subsets of features and the randomness of decision trees to improve model diversity, compared to the XGBoost model which uses more complex weak classifiers (e.g., decision trees with variable depths) and provides a better fit and prediction performance through effective techniques such as gradient calculations and feature subsampling to update the model parameters more accurately in each iteration. Thus, it improves the model performance providing a better fitting ability and predictive performance. The AdaBoost model uses loss functions, but focuses only on misclassified samples in each iteration, while XGBoost updates the model parameters more accurately in each iteration. The XGBoost model is designed with parallel computing and efficiency optimization in mind to improve the training speed and efficiency, which may cause the AdaBoost model to perform less well than the XGBoost model in some cases.
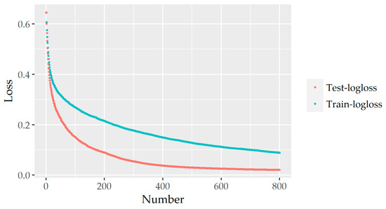
Figure 6 presents the effect of the number of iterations of the XGBoost model on the loss value of the training set for the optimal hyperparameters found above. ‘logloss’ refers to the loss value of the training set calculated using log loss as an evaluation metric during the training process. The training process of the XGBoost model aims to minimize the ‘Train_logloss’ in order to improve the model’s ability to fit the training set. When the ‘Train_logloss’ is smaller, it indicates that the model’s predictions on the training set fit the true labels better. However, in order to avoid overfitting, it is also necessary to pay attention to the performance of the model on the test set. It is clear from the Figure 6 that the decreasing trend of the model logloss value slows down when the number of iterations is greater than 200, and finally, when the number of iterations reaches 800, the value of ‘Train_logloss’ is about 0.0039 and the value of ‘Test_logloss’ is about 0.0550, which reaches a low level and continues to decrease, indicating that the model has reached some kind of steady state and there is no overfitting. We have also searched through the grid to obtain the highest ACC on the test set at a number of iterations of 800.
In Table 8, we compare the changes in the relevant metrics before and after hyperparameter tuning, and find that the ACC, the false positive rate of both types of samples, and the AUC value are all optimized to some extent. Specifically, our ACC significantly improved from 79.99% to 84.25%, and the false positive rate also decreased, while its AUC value improved from 0.8781 to 0.9019. These results further indicate that the model quality is significantly improved after hyperparameter adjustment.

5.3. The Importance of Output Variables

We calculated the important share ranking of each feature in the decision making of the ship abatement scheme by the XGBoost model based on stratified sampling, and the results show that the DWT, Distance, and Power are the three most important features in the decision-making process, and their importance shares are 0.2757, 0.2461, and 0.1277, respectively. In contrast, Age, BDI, and PD have less influence on decision making, and their importance ratios are relatively small. The ranking of the importance of these features can provide a direct reference basis for shipowners’ decision making and help them to choose the optimal emission abatement solution more accurately. The results of the feature importance ranking are shown in Figure 7.
DWT and Distance are two important features of bulk carriers, accounting for more than half of the total. The descriptive statistical analysis shows that these two features have a strong differentiation. On large bulk carriers, they are more inclined to use scrubbers. Therefore, when shipowners need to make a decision, they can first consider the feature of deadweight tonnage. In addition, travel distance is another very important feature, and there is a large difference in the travel distance between the two different emission abatement solutions. Bulk carriers using the scrubber solution tend to travel longer distances, which is also related to the vessel’s travel cost. Referring to the results of Bai et al. [34], the larger the ship tonnage is and the longer the distance traveled, the more likely the scrubber solution will be used. Therefore, when considering emission abatement solutions, it is recommended to give priority to these two features. Shipowners can refer to the importance of each feature when making decisions, so as to choose a more appropriate decision solution.

5.4. Certification of Newbuilding Bulk Carriers

To verify the practical applicability of the model on the newest ships, we again collected 51 ships that were built and commissioned in January 2024 and introduced their characteristics into the model to make the predictions. New ships built at this time have relatively smooth characteristics and are also representative of the new trend.
Due to the time delay of data collection, it was not possible to obtain an accurate annual distance traveled by the ship, so the distance traveled in the last 30 days was used for the estimation, and the data were collected in the year 2024 in May.
The 51 sample vessels were brought into the optimal model in the previous section for prediction, and their ACC, Error Rate, and AUC values were obtained as 86.27%, 15.79%, 15.38%, and 0.9017, respectively. The prediction results might have been affected by the errors in their sailing distances and speeds. However, overall, this can indicate a better prediction for new bulk carriers. Some of the prediction samples are shown in Table 9. In addition, the input characteristics of these samples are shown in Appendix A.

6. Conclusions

Taking the selection of newbuilding emission abatement options as a binary classification problem, this study uses four years of newbuilding bulk carrier data for preprocessing and constructs a classification model based on three methods of balancing samples and six machine learning models to bring into the test set for prediction, and adjusts the hyperparameters of the model by ten-fold cross-validation. The results show that the XGBoost model based on stratified sampling to divide the dataset has the highest ACC of 84.25% with an AUC value of 0.9019, which is also consistent with our theoretical rationale for choosing the XGBoost model. Forecasts for newbuilding bulk carriers in 2024 have also been more successful. In addition, this study outputs the importance level of each feature to be considered for decision making. We found that the deadweight tonnage of the ship and the sailing distance can be considered as priority factors. Combined with the results of descriptive statistics, we found that the larger the tonnage of the ship is and the longer the annual distance sailing is, the more inclined the shipowner is to install scrubbers. The above results are a guide for shipowners when making decisions on emission abatement solutions. Shipowners can focus on the deadweight tonnage of the ship and the future route to be sailed. The XGBoost model can be constructed by calculating the approximate sailing distance and ship speed, combining the current fuel price, BDI, and other factors, and bringing in the expected feature variables for prediction, in order to come up with a suitable solution. At the same time, it is possible to flexibly adapt these features, especially those related to the ship itself, for comparison between solutions.
This paper has the following shortcomings, which can be further improved in future work: 1. VLSFO and scrubbers are the most important emission abatement solutions for bulk carriers at present. In the future, as the proportion of alternative fuel ships is expanding, shipowners may face new choices. Therefore, when the sample of alternative fuel is increased, it will be more reasonable to build a decision model for shipowners. Furthermore, the data used are from three years after the implementation of the “sulfur cap” policy. 2. Consider adding other relevant economic and non-economic factors, such as national policies, the impact of other major pollutants, antitrust exemptions, and shipping alliances [40], to consider the factors of shipowner’s choice of emission abatement solutions from a more comprehensive perspective, and also whether the COVID-19 outbreak had a certain impact on carbon emission reduction in shipping [41] and on sulfur emission abatement. How will the factors affecting shipowners’ decision making change in the post-epidemic era? 3. Applying the ideas of this study to other types of ships and comparing the differences in the models and results between different types of ships will better demonstrate the models and prediction methods adapted to different types of ships. 4. Explore and apply emerging machine learning models to improve the accuracy and efficiency of predictive models, making research more meaningful and providing stronger support for ship owners to make the right emission abatement solutions.

Author Contributions

Conceptualization, S.H.; methodology, Y.L.; software, Y.L.; writing—original draft preparation, Y.L.; writing—review and editing, Y.L.; supervision, S.H.; project administration, S.H.; funding acquisition, S.H. All authors have read and agreed to the published version of the manuscript.

Funding

This research was funded by National Natural Science Foundation of China, grant number 52002243.

Institutional Review Board Statement

Not applicable.

Informed Consent Statement

Not applicable.

Data Availability Statement

The data presented in this study are available on request from the corresponding author.

Conflicts of Interest

The authors declare no conflicts of interest.

Appendix A

The input characteristics regarding the January 2024 newbuilding bulk carriers in 5.4 are shown in the table below.
Table A1. Characteristics of newbuilding bulk carriers.
Table A1. Characteristics of newbuilding bulk carriers.
NameAgeDWTPowerSpeedDistancePDBDI
Cape Pleasure0.42182,09613,36011.393,6242961835
Mount Bandeira0.42208,47915,84011.488,1041772932
Mount Heng0.42208,95415,84011.757,8161733188
SG Ocean0.42210,93313,90012.272,2884152220
Mineral Luxembourg0.42210,19714,40011.375,3721483720
Green Rio Grande0.4277,00010,60013.122,0202961835
Kerynia0.4282,114776010.990,6002561761
Duchess Emerald0.4282,464900011.596,4802961835
Star Voyager0.4282,459900011.757,6482961835
Shine Jade0.4282,377900012.185,9324242464
Glbs Hero0.4263,742667011.175,7686571814
NS Ningbo0.4264,129694911.950,3041924820
Northern Venture0.4264,636710011.797,8001772932
Brighton0.4264,701710012.744,5801364288
Emerald Liuheng0.4263,875694912.844,2327132389
Chang Hang Wei hai0.4236,46942009.824,7922302780
BBC Ceres0.4240,550648011.559,8522961835
Seacon Bangkok0.4240,54051501235,5255761487
Amalia0.4214,38929999.927,8404152220
Polsteam Dabie0.4237,592890011.632,5872561761

References

  1. Kavussanos, M.; Tsouknidis, D.; Visvikis, I. Freight Derivatives and Risk Management in Shipping; Routledge: Oxford, UK, 2021. [Google Scholar]
  2. Akgul, E.; Cetin, I. An investigation on behavioral biases in ship investments of small-sized shipping companies. Marit. Bus. Rev. 2021, 6, 377–391. [Google Scholar] [CrossRef]
  3. Poulsen, R.; Viktorelius, M.; Varvne, H.; Rasmussen, H.; von Knorring, H. Energy efficiency in ship operations-exploring voyage decisions and decision-makers. Transp. Res. Part D Transp. Environ. 2022, 102, 103120. [Google Scholar] [CrossRef]
  4. Xiao, G.; Xiao, Y.; Shu, Y.; Ni, A.; Jiang, Z. Technical and economic analysis of battery electric buses with different charging rates. Transp. Res. Part D Transp. Environ. 2024, 132, 104254. [Google Scholar] [CrossRef]
  5. Winebrake, J.; Corbett, J.; Green, E.; Lauer, A.; Eyring, V. Mitigating the health impacts of pollution from oceangoing shipping: An assessment of low-sulfur fuel mandates. Environ. Sci. Technol. 2009, 43, 4776–4782. [Google Scholar] [CrossRef]
  6. Lindstad, H.; Rehn, C.; Eskeland, G. Sulphur abatement globally in maritime shipping. Transp. Res. Part D Transp. Environ. 2017, 57, 303–313. [Google Scholar] [CrossRef]
  7. Fan, L.; Gu, B. Impacts of the increasingly strict sulfur limit on compliance option choices: The case study of Chinese SECA. Sustainability 2019, 12, 165. [Google Scholar] [CrossRef]
  8. Wu, P.; Lin, C. Cost-benefit evaluation on promising strategies in compliance with low sulfur policy of IMO. J. Mar. Sci. Eng. 2020, 9, 3. [Google Scholar] [CrossRef]
  9. Karatuğ, Ç.; Arslanoğlu, Y.; Guedes Soares, C. Feasibility analysis of the effects of scrubber installation on ships. J. Mar. Sci. Eng. 2022, 10, 1838. [Google Scholar] [CrossRef]
  10. Iannaccone, T.; Landucci, G.; Scarponi, G.E.; Bonvicini, S.; Cozzani, V. Inherent safety assessment of alternative technologies for LNG ships bunkering. Ocean Eng. 2019, 185, 100–114. [Google Scholar] [CrossRef]
  11. Xie, C.; Huang, L.; Wang, R.; Deng, J.; Shu, Y.; Jiang, D. Research on quantitative risk assessment of fuel leak of LNG-fuelled ship during lock transition process. Reliab. Eng. Syst. Saf. 2022, 221, 108368. [Google Scholar] [CrossRef]
  12. Qi, J.; Wang, S. LNG bunkering station deployment problem—A case study of a Chinese container shipping network. Mathematics 2023, 11, 813. [Google Scholar] [CrossRef]
  13. Qi, J.; Wang, H.; Zheng, J. Promoting liquefied natural gas (LNG) bunkering for maritime transportation: Should ports or ships be subsidized? Sustainability 2022, 14, 6647. [Google Scholar] [CrossRef]
  14. Kim, K.; Lim, S.; Lee, C.; Lee, W.; Jeon, H.; Jung, J.; Jung, D. Forecasting liquefied natural gas bunker prices using artificial neural network for procurement management. J. Mar. Sci. Eng. 2022, 10, 1814. [Google Scholar] [CrossRef]
  15. Chen, X.; Lv, S.; Shang, W.; Wu, H.; Xian, J.; Song, C. Ship energy consumption analysis and carbon emission exploitation via spatial-temporal maritime data. Appl. Energy 2024, 360, 122886. [Google Scholar] [CrossRef]
  16. Jordan, M.I.; Mitchell, T.M. Machine learning: Trends, perspectives, and prospects. Science 2015, 349, 255–260. [Google Scholar] [CrossRef] [PubMed]
  17. Kim, M.; Kim, J.; Yang, H. Optimal route generation and route-following control for autonomous vessel. J. Mar. Sci. Eng. 2023, 11, 970. [Google Scholar] [CrossRef]
  18. Chen, X.; Liu, S.; Zhao, J.; Wu, H.; Xian, J.; Montewka, J. Autonomous port management based AGV path planning and optimization via an ensemble reinforcement learning framework. Ocean Coast. Manag. 2024, 251, 107087. [Google Scholar] [CrossRef]
  19. Xiao, G.; Yang, D.; Xu, L.; Li, J.; Jiang, Z. The application of artificial intelligence technology in shipping: A bibliometric review. J. Mar. Sci. Eng. 2024, 12, 624. [Google Scholar] [CrossRef]
  20. Chen, T.; Guestrin, C. Xgboost: A scalable tree boosting system. In Proceedings of the 22nd ACM SIGKDD International Conference on Knowledge Discovery and Data Mining, San Francisco, CA, USA, 13–17 August 2016; pp. 785–794. [Google Scholar]
  21. Zhang, D.; Chen, H.; Zulfiqar, H.; Yuan, S.; Huang, Q.; Zhang, Z.; Deng, K. iBLP: An XGBoost-Based Predictor for Identifying Bioluminescent Proteins. Comput. Math. Methods Med. 2021, 2021, 6664362. [Google Scholar] [CrossRef]
  22. Ma, M.; Zhao, G.; He, B.; Li, Q.; Dong, H.; Wang, S.; Wang, Z. XGBoost-based method for flash flood risk assessment. J. Hydrol. 2021, 598, 126382. [Google Scholar] [CrossRef]
  23. Lu, J.; Wu, X.; Wu, Y. The construction and application of dual-objective optimal speed model of liners in a changing climate: Taking Yang Ming route as an example. J. Mar. Sci. Eng. 2023, 11, 157. [Google Scholar] [CrossRef]
  24. Lindstad, H.; Sandaas, I.; Strømman, A. Assessment of cost as a function of abatement options in maritime emission control areas. Transp. Res. Part D Transp. Environ. 2015, 38, 41–48. [Google Scholar] [CrossRef]
  25. Zis, T.; Angeloudis, P.; Bell, M.; Psaraftis, H. Payback period for emissions abatement alternatives: Role of regulation and fuel prices. Transp. Res. Rec. 2016, 2549, 37–44. [Google Scholar] [CrossRef]
  26. Fan, L.; Gu, B.; Luo, M. A cost-benefit analysis of fuel-switching vs. hybrid scrubber installation: A container route through the Chinese SECA case. Transp. Policy 2020, 99, 336–344. [Google Scholar] [CrossRef]
  27. Zis, T.; Cullinane, K. The desulphurisation of shipping: Past, present and the future under a global cap. Transp. Res. Part D Transp. Environ. 2020, 82, 102316. [Google Scholar] [CrossRef]
  28. Zis, T.; Cullinane, K.; Ricci, S. Economic and environmental impacts of scrubbers investments in shipping: A multi-sectoral analysis. Marit. Policy Manag. 2021, 49, 1097–1115. [Google Scholar] [CrossRef]
  29. Zhao, Y.; Ye, J.; Zhou, J. Container fleet renewal considering multiple sulfur reduction technologies and uncertain markets amidst COVID-19. J. Clean. Prod. 2021, 317, 128361. [Google Scholar] [CrossRef]
  30. Lagemann, B.; Lindstad, E.; Fagerholt, K.; Rialland, A.; Ove Erikstad, S. Optimal ship lifetime fuel and power system selection. Transp. Res. Part D Transp. Environ. 2022, 102, 103145. [Google Scholar] [CrossRef]
  31. Li, K.; Wu, M.; Gu, X.; Yuen, K.; Xiao, Y. Determinants of ship operators’ options for compliance with IMO 2020. Transp. Res. Part D Transp. Environ. 2020, 86, 102459. [Google Scholar] [CrossRef]
  32. Bao, Z.; Zhang, X.; Fu, G. Factors influencing decision to sulphur oxide emission abatement for cruise shipping companies. Int. J. Logist. Res. Appl. 2022, 1–20. [Google Scholar] [CrossRef]
  33. Zhang, X.; Bao, Z.; Ge, Y. Investigating the determinants of shipowners’ emission abatement solutions for newbuilding vessels. Transp. Res. Part D Transp. Environ. 2021, 99, 102987. [Google Scholar] [CrossRef]
  34. Bai, X.; Hou, Y.; Yang, D. Choose clean energy or green technology? Empirical evidence from global ships. Transp. Res. Part E Logist. Transp. Rev. 2021, 151, 102364. [Google Scholar] [CrossRef]
  35. Lee, H.T.; Lee, J.S.; Son, W.J.; Cho, I.S. Development of machine learning strategy for predicting the risk range of ship’s berthing velocity. J. Mar. Sci. Eng. 2020, 8, 376. [Google Scholar] [CrossRef]
  36. Li, Y.; Lai, X.; Wang, M.; Zhang, X. C-saso: A clustering-based size-adaptive safer oversampling technique for imbalanced sar ship classification. IEEE Trans. Geosci. Remote Sens. 2022, 60, 5231112. [Google Scholar] [CrossRef]
  37. Bassam, A.M.; Phillips, A.B.; Turnock, S.R.; Wilson, P.A. Ship speed prediction based on machine learning for efficient shipping operation. Ocean Eng. 2022, 245, 110449. [Google Scholar] [CrossRef]
  38. Wu, S.; Chen, X.; Shi, C.; Fu, J.; Yan, Y.; Wang, S. Ship detention prediction via feature selection scheme and support vector machine (SVM). Marit. Policy Manag. 2022, 49, 140–153. [Google Scholar] [CrossRef]
  39. Kim, J.; Lee, H.; Oh, J. Study on prediction of ship’s power using light GBM and XGBoost. J. Korean Soc. Mar. Eng. 2020, 44, 174–180. [Google Scholar] [CrossRef]
  40. Xiao, G.; Wang, T.; Shang, W.; Shu, Y.; Biancardo, S.A.; Jiang, Z. Exploring the factors affecting the performance of shipping companies based on a panel data model: A perspective of antitrust exemption and shipping alliances. Ocean Coast. Manag. 2024, 253, 107162. [Google Scholar] [CrossRef]
  41. Xu, L.; Yang, Z.; Chen, J.; Zou, Z. Impacts of the COVID-19 epidemic on carbon emissions from international shipping. Mar. Pollut. Bull. 2023, 189, 114730. [Google Scholar] [CrossRef]
Figure 1. The process of modeling.
Figure 1. The process of modeling.
Jmse 12 00973 g001
Figure 2. Artificially synthesized data to balance and stratified sampling.
Figure 2. Artificially synthesized data to balance and stratified sampling.
Jmse 12 00973 g002
Figure 3. Box plots of each feature.
Figure 3. Box plots of each feature.
Jmse 12 00973 g003
Figure 4. Correlation coefficient chart.
Figure 4. Correlation coefficient chart.
Jmse 12 00973 g004
Figure 5. ACC of different hyperparameters.
Figure 5. ACC of different hyperparameters.
Jmse 12 00973 g005
Figure 6. Variation of log loss with the number of iterations.
Figure 6. Variation of log loss with the number of iterations.
Jmse 12 00973 g006
Figure 7. Ranking the importance of each feature.
Figure 7. Ranking the importance of each feature.
Jmse 12 00973 g007
Table 1. Confusion matrix.
Table 1. Confusion matrix.
SolutionActual Values
VLSFOScrubber
Predicted
Values
VLSFOTrue Positive (TP)False Positive (FP)
ScrubberFalse Negative (FN)True Negative (TN)
Table 2. Number of three types of ships.
Table 2. Number of three types of ships.
Type2020202120222023Total
Capesize48362621131
Panamax93657266296
Handymax96495754256
Total237150155141683
Table 3. Descriptive statistics.
Table 3. Descriptive statistics.
FeatureVLSFOScrubber
MeanMedianStd. Dev.MeanMedianStd. Dev.
Age/a1.842.000.832.383.000.77
DWT77,347.8975,771.0035,443.22126,994.6082,264.0084,943.96
Power/kW9022.868302.002728.0911,958.69801.005029.91
Speed/knots11.6811.800.6811.9011.920.46
Distance/nm54,857.4856,172.0013,007.7766,525.9266,255.509887.81
PD/$173.16175.1358.23190.06192.2544.91
BDI1350.711293.11588.531367.241314.11449.69
ECA/%9.908.388.257.464.389.08
DT/d4.644.491.764.434.021.89
Table 4. List of acronyms.
Table 4. List of acronyms.
AbbreviationsConnotation
AgeAge of ship
DWTDeadweight tonnage
PowerMain machine power
SpeedAnnual average speed of navigation
DistanceAnnual distance traveled
PDPrice difference between the two types of fuel oil at contract time
BDIBaltic dry index
ACCAccuracy of the model
ErrorFalse judgement rate for a category
AUCThe size of the area under the ROC curve
Table 5. Prediction results of the six models.
Table 5. Prediction results of the six models.
ModelImbalanced ProcessingACC Error VLSFO Error Scrubber AUC
LRNo Processing73.36%17.82%40.29%0.8066
Artificial Synthetic Data69.17%36.30%22.25%0.8062
Stratified Sampling73.52%16.71%41.55%0.8015
KNNNo Processing70.02%23.26%40.44%0.5482
Artificial Synthetic Data66.47%38.02%26.57%0.5526
Stratified Sampling69.78%23.26%41.02%0.5538
SVMNo Processing75.44%9.60%47.78%0.7607
Artificial Synthetic Data70.21%35.30%21.26%0.7839
Stratified Sampling74.56%10.56%48.48%0.7701
RFNo Processing79.60%10.60%35.09%0.8745
Artificial Synthetic Data77.93%19.51%26.08%0.8629
Stratified Sampling78.97%12.30%34.64%0.8717
AdaBoostNo Processing80.64%14.70%26.61%0.8950
Artificial Synthetic Data80.01%16.05%26.08%0.8843
Stratified Sampling80.43%15.04%26.55%0.8968
XGBoostNo Processing81.04% 113.01%28.25%0.8852
Artificial Synthetic Data78.34%19.17%25.56%0.8731
Stratified Sampling79.99%14.39%28.83%0.8781
1 The optimal results for each metric are indicated in bold.
Table 6. Range of hyperparameter adjustment.
Table 6. Range of hyperparameter adjustment.
ModelHyperparameterExplanationAdjustment Range
RFn_estimatorsNumber of decision trees[50, 1000] step = 50
max_depthMaximum depth of the tree[2, 10] step = 1
max_featuresNumber of splitting features[1, 5] step = 1
AdaBoostn_estimatorsNumber of classifiers[50, 1000] step = 50
learning_rateLearning rate[0, 1] step = 0.1
max_depthMaximum depth of the tree[2, 10] step = 1
XGBoostn_estimatorsNumber of classifiers[50, 1000] step = 50
learning_rateLearning rate[0, 1] step = 0.1
max_depthMaximum depth of the tree[2, 10] step = 1
Table 7. Results of optimal hyperparameters.
Table 7. Results of optimal hyperparameters.
MethodModelHyperparameterValueACC
No ProcessingRFn_estimators30081.26%
max_features5
AdaBoostn_estimators20082.50%
learning_rate0.3
max_depth5
XGBoostn_estimators85083.34%
learning_rate0.4
max_depth8
Stratified SamplingRFn_estimators20080.84%
max_features5
AdaBoostn_estimators50081.89%
learning_rate0.3
max_depth6
XGBoostn_estimators80084.25%
learning_rate0.4
max_depth5
Table 8. Changes in indicators before and after adjustment.
Table 8. Changes in indicators before and after adjustment.
IndicatorsBefore AdjustmentAfter Adjustment
ACC79.99%84.25%
Error VLSFO 14.39%11.66%
Error Scrubber 28.83%21.34%
AUC0.87810.9019
Table 9. Forecast results for newbuilding bulk carriers.
Table 9. Forecast results for newbuilding bulk carriers.
NameSolutionPredictionResult
Cape PleasureVLSFOVLSFOTrue
Mount BandeiraScrubberScrubberTrue
Mount HengVLSFOVLSFOTrue
SG OceanVLSFOScrubberFalse
Mineral LuxembourgVLSFOVLSFOTrue
Green Rio GrandeVLSFOVLSFOTrue
KeryniaVLSFOScrubberFalse
Duchess EmeraldScrubberScrubberTrue
Star VoyagerScrubberScrubberTrue
Shine JadeVLSFOScrubberFalse
Glbs HeroVLSFOVLSFOTrue
NS NingboVLSFOVLSFOTrue
Northern VentureScrubberScrubberTrue
BrightonVLSFOVLSFOTrue
Emerald LiuhengScrubberScrubberTrue
Chang Hang Wei haiVLSFOVLSFOTrue
BBC CeresVLSFOVLSFOTrue
Seacon BangkokVLSFOVLSFOTrue
AmaliaVLSFOVLSFOTrue
Polsteam DabieVLSFOVLSFOTrue
Disclaimer/Publisher’s Note: The statements, opinions and data contained in all publications are solely those of the individual author(s) and contributor(s) and not of MDPI and/or the editor(s). MDPI and/or the editor(s) disclaim responsibility for any injury to people or property resulting from any ideas, methods, instructions or products referred to in the content.

Share and Cite

MDPI and ACS Style

Huang, S.; Li, Y. New Exploration of Emission Abatement Solution for Newbuilding Bulk Carriers. J. Mar. Sci. Eng. 2024, 12, 973. https://doi.org/10.3390/jmse12060973

AMA Style

Huang S, Li Y. New Exploration of Emission Abatement Solution for Newbuilding Bulk Carriers. Journal of Marine Science and Engineering. 2024; 12(6):973. https://doi.org/10.3390/jmse12060973

Chicago/Turabian Style

Huang, Shunquan, and Yuyang Li. 2024. "New Exploration of Emission Abatement Solution for Newbuilding Bulk Carriers" Journal of Marine Science and Engineering 12, no. 6: 973. https://doi.org/10.3390/jmse12060973

APA Style

Huang, S., & Li, Y. (2024). New Exploration of Emission Abatement Solution for Newbuilding Bulk Carriers. Journal of Marine Science and Engineering, 12(6), 973. https://doi.org/10.3390/jmse12060973

Note that from the first issue of 2016, this journal uses article numbers instead of page numbers. See further details here.

Article Metrics

Back to TopTop