Abstract
In recent years, carbon emission reduction in the shipping sector has increasingly garnered scholarly attention. This study delves into the pathways for carbon emission reduction in shipping across the Yangtze River, emphasizing fuel alternatives. It initiates by introducing a novel ship carbon emission calculation methodology predicated on voyage data, followed by the development of a predictive model for ship carbon emissions tailored to specific voyages. Then, emission reduction scenarios for various voyage categories are designed and exemplary alternative fuels selected to assess their potential for emission mitigation. Subsequently, scenario analysis is employed to scrutinize the CO2 emission trajectories under diverse conditions, pinpointing the most efficacious route for carbon emission abatement for inland vessels. Finally, the proposed method is applied to the middle and lower reaches of the Yangtze River. The results indicate that accelerating the adoption of alternative fuels for long-distance cargo ships would greatly accelerate the development of environmentally friendly shipping. Under a scenario prioritizing zero-carbon growth, emissions from inland vessels are anticipated to reach their zenith by 2040. These findings can provide theoretical guidance for emission reductions in inland shipping and effectively promote the green and sustainable development of the shipping sector.
    1. Introduction
Shipping, serving as the linchpin for global commerce, facilitates 80–90% of the world’s cargo transportation, thereby playing an instrumental role in the expeditious advancement of the global economy. Nonetheless, this sector is also a significant source of greenhouse gas (GHG) emissions, positioning it as a pivotal contributor to global warming and climate change []. Escalating volumes of maritime transport have led to an incremental rise in the share of carbon dioxide emissions from this sector within the global emission spectrum. The International Maritime Organization (IMO) reported that global maritime GHG emissions amounted to 1.076 billion tons in 2018 [], with emissions from ships constituting 1.056 billion tons of this total. The IMO has issued warnings indicating that in the absence of efficacious interventions to curb carbon emissions in the maritime sector, we can anticipate a considerable surge in greenhouse gas emissions from this domain in the foreseeable future [].
In China, carbon emission reduction in inland river shipping has increasingly attracted industry attention. Despite its advantages in capacity and efficiency, inland river shipping faces challenges due to its large carbon emissions and the difficulty of reducing them. The Yangtze River, known as the “Golden Waterway”, is a crucial backbone for the development of the Yangtze River Economic Belt. Whether considering the goals of peak carbon emissions and carbon neutrality, the application of new energy sources, trends in shipping development, or the overall development of the Yangtze River Economic Belt, inland river shipping along the Yangtze River holds an irreplaceable position and role []. Therefore, there is an urgent need to study the carbon emission reduction pathways for ships on the Yangtze River trunk line. Thus, the examination of viable pathways for carbon emission reduction in the maritime sector emerges as an essential and pressing endeavor.
To achieve the national dual carbon objectives, various industries are undertaking exploratory research on specific carbon reduction development pathways. In situations where computational resources and sample sizes are limited, the Grey System Theory (GST) model can be effectively utilized to forecast carbon emission trends within particular industries or regions []. With the advancement of neural network technology, leveraging neural network models in conjunction with industry-specific development characteristics can significantly enhance the accuracy of energy consumption forecasts in various sectors []. An energy structure optimization model can identify critical emission reduction measures and scientifically and rationally plan regional carbon reduction pathways, while comprehensively considering economic development and carbon neutrality objectives []. The Long-Range Energy Alternatives Planning System (LEAP) model [,], known for its flexible structure, is widely employed at both the national and regional levels to forecast energy demand and carbon emissions through scenario analysis. It can be effectively integrated with traditional econometric analysis models and scenario-based economic analysis models.
In the shipping industry, Zeng et al. [] utilized scenario analysis to establish four distinct scenarios and applied the LEAP model to predict and analyze the energy consumption and carbon emissions of Yangtze River shipping under various influencing factors. This study provides theoretical recommendations for policy-making. Cao et al. [] introduced a grey prediction model based on multivariate trend interactions to account for the interplay of carbon emission factors. This model was applied to forecasting CO2 emissions from Chinese vessels in the maritime sector. Akcan [] et al. employed a time series analysis model to predict greenhouse gas emissions from different sectors in Turkey. These findings are valuable for organizing and estimating the national greenhouse gas emissions inventory. Yan et al. [] developed a method for forecasting the carbon footprint of inland waterway vessels, using Yangtze River vessels as a case study. The approach considered alternative fuels and factors associated with cargo growth. This study further examined the life cycle emissions of different alternative fuels. At present, the adoption of low-carbon alternative fuels emerges as an effective strategy to tackle environmental and energy concerns. Notably, liquefied natural gas (LNG), liquefied petroleum gas (LPG), and methanol are among the mature technologies suitable for marine vessels. These alternative fuels represent the primary measures for the shipping industry to realize its medium- to long-term carbon emission reduction goals [,].
However, there is a dearth of research on the specific developmental pathways for carbon emission reduction in inland waterway vessels based on fuel substitution. This paper addresses this gap by proposing a method for forecasting the carbon emissions from inland waterway vessels, considering the navigational characteristics of the vessels in the study area. Subsequently, scenario analysis is employed to delineate precise fuel substitution pathways for carbon emission reduction in vessels, aiming to explore the optimal carbon reduction pathways. This research provides theoretical support for policy-making concerning carbon emission reduction in inland waterway vessels.
The rest of the paper is organized as follows. Section 1 reviews the existing research on ship carbon emission reduction measures and carbon emission reduction pathways. Section 2 introduces the detailed methodology. Section 3 presents the case study in the Yangtze River and analysis of the results. Finally, Section 4 summarizes the conclusion.
2. Methods
2.1. Voyage-Based Ship Carbon Emission Calculation Model
Considering the relatively consistent operational range and navigational routes of inland vessels, this study proposed a voyage-based carbon emission accounting framework for inland shipping. Voyages are defined as the process of ships sailing from an origin port to a destination port. Observations of inland vessels’ navigational behaviors reveal that these vessels frequently undertake cyclical journeys, either between a port of origin and a destination port or among several ports within a defined timeframe. This study introduces a method for extracting the voyages of inland vessels and categorizes their voyages into three stages. The specific definitions for each stage of a voyage are outlined in Table 1.
 
       
    
    Table 1.
    Division of vessel voyage stages.
  
This study involves retrieving data on the ports located nearest to a ship’s furthest trajectory points, thereby determining its port of origin and destination. Utilizing geographical positioning and latitude–longitude information for these ports, voyages are systematically delineated and extracted. The compilation of fundamental port information includes details such as the port’s name, geographical coordinates, environmental context, hardware infrastructure, and operational dynamics.
Step 1. Processing single vessel trajectories. Group AIS data by MMSI number, and then sort each group of data by timestamp. Next, calculate the distance between the two farthest points in each vessel’s trajectory to determine the nearest ports to these points as the origin and destination ports of the voyage.
Step 2. Classification of voyages. Voyages are divided into two main categories: long-distance and medium–short-distance. Each voyage of a ship is first proposed, and if the voyage includes the starting and ending ports, it is judged as a complete voyage; otherwise, it is an incomplete voyage. For a complete voyage, a voyage with a distance of more than 60 nautical miles (NM) is considered a long-distance voyage, while a voyage with a distance of 60 NM or less is considered a medium–short-distance voyage. Additionally, all incomplete voyages are categorized as long-distance voyages. The threshold of 60 NM for categorizing voyage distances is based on regional ship navigation characteristics and can be adjusted accordingly. The extraction and categorization process for the voyage is shown in Figure 1.
 
      
    
    Figure 1.
      Classification method for vessel voyage types.
  
Step 3. Identification of vessel round-trip voyages. Classify vessels based on the total voyage distance , calculated from AIS data. The classification method is described by Equation (1).
        
      
        
      
      
      
      
    
The carbon emissions across various segments of a ship’s journey are meticulously quantified, employing a voyage-based carbon emission accounting framework, delineated as follows:
      
        
      
      
      
      
    
        where  signifies the aggregate carbon emissions for the voyage,  designates the carbon emissions incurred during the ship’s loading phase,  is indicative of the carbon emissions generated during the navigation phase, and  represents the carbon emissions associated with the ship’s unloading phase.
In the navigation phase, characterized predominantly by the vessel’s sailing condition [], the carbon emissions associated with this stage, denoted as , are determined through the application of the subsequent formula:
      
        
      
      
      
      
    
        where  represents the main engine power of the vessel;  denotes the auxiliary engine power;  is the load factor;  stands for the operating time; and  is the CO2 emission factor, with M referring to the ship’s main engine and A to the auxiliary engine.
Within the loading and unloading stages of a vessel, the operational conditions encompass both sailing and berthing states. The carbon emissions attributable to the vessel’s loading phase, denoted as , and those arising during the unloading phase, referred to as , are quantified using Formula (4):
      
        
      
      
      
      
    
        where  signifies the carbon emissions produced during the vessel’s navigation state, and  indicates the CO2 emissions incurred when the vessel is in a berthing state. In instances where the vessel undertakes multiple navigation and berthing activities throughout these phases, the CO2 emissions from all such activities are cumulatively calculated []. The carbon emissions attributable to the vessel’s navigation state, , and those associated with the berthing state, , are determined using Formula (5).
        
      
        
      
      
      
      
    
        where i signifies the frequency of various activity states of the vessel within a given voyage phase;  corresponds to the operating time of the main engine during entry i into the navigation state; and  reflects the auxiliary engine’s operating time during navigation occurrence i. These metrics can be determined and computed through the analysis of AIS (Automatic Identification System) data.
The calculation formula for the main engine load factor is as follows:
      
        
      
      
      
      
    
        where V represents the ship’s speed, and  denotes the maximum cruising speed of the vessel, with the unit = knots.
Drawing upon pertinent research outcomes from both national and international sources, the load factors for the auxiliary engines of inland vessels have been established, as illustrated in Table 2.
 
       
    
    Table 2.
    Auxiliary machinery load factor.
  
Data on the main engine power and auxiliary engine power of inland vessels can be obtained from the ship registration database. The auxiliary engine power (AP) can be estimated using the following, Formulas (7) and (8).
When the main engine power (MP) is less than or equal to 10,000 kW,
        
      
        
      
      
      
      
    
When the main engine power (MP) is greater than or equal to 10,000 kW,
        
      
        
      
      
      
      
    
The CO2 emission factor is ascertained by utilizing the reference values provided in Annex 8 of the International Maritime Organization’s Marine Environment Protection Committee during its 63rd session, as depicted in Table 3.
 
       
    
    Table 3.
    Vessels’ main engine’s CO2 emission factors.
  
2.2. A Carbon Emission Prediction Model Based on Fuel Substitution
Using inland shipping as an example, inland waterway vessels generally follow fixed routes, with consistent round-trip distances []. This consistency enables the determination of the energy consumption per kilometer for various vessels, thereby simplifying the prediction process. Consequently, by considering variations in alternative fuels and the annual growth rate of cargo transport, a carbon emission prediction model for inland waterway vessels based on fuel substitution is developed. The fuel consumption per kilometer for inland vessels, denoted as , is determined through Equation (10):
      
        
      
      
      
      
    
      
        
      
      
      
      
    
        where  signifies the vessel’s energy consumption per kilometer, expressed in kWh/km; and  indicates the requisite fuel weight for each unit of energy consumed, quantified in kg/kWh. These specific metrics are established in accordance with the findings from the Fourth Greenhouse Gas Study report released in 2020, as depicted in Table 4. Table 4 includes the specific fuel consumption (SFC) of slow-speed diesel engines (SSD), medium-speed diesel engines (MSD), and high-speed diesel engines (HSD), corresponding to heavy fuel oil (HFO), marine diesel oil (MDO), and ethanol.
 
       
    
    Table 4.
    Specific fuel consumption (SFC) in units of energy per unit of fuel weight.
  
The growth rate of cargo transportation volume is an indicator of economic development and is affected by a combination of economic and demographic factors. Therefore, this study used regression analysis to construct a forecasting model for the growth rate of ship cargo transportation by taking variables such as regional gross domestic product (GDP), retail sales of consumer goods, the per capita disposable income of urban residents, total foreign exports, and population size as predictor variables and the volume of ship cargo transportation as the outcome variable. Given the potential for multicollinearity arising from numerous predictors in regression analysis, the study applies the Least Absolute Shrinkage and Selection Operator (LASSO) algorithm to refine the selection of influential factors. The LASSO algorithm achieves model refinement through the construction of a penalty function, wherein the sum of absolute force coefficients is constrained to be below a fixed threshold. Simultaneously, certain explanatory variables have their coefficients strictly set to zero. Consequently, the LASSO algorithm effectively addresses the issue of multicollinearity and ensures the inclusion of the most significant predictors by imposing a strict zero coefficient on the selected explanatory variable. The optimization formula utilized by the LASSO algorithm is delineated in Equation (11).
        
      
        
      
      
      
      
    
        where  represents the coefficient matrix; α denotes the regularization parameter.
The mathematical regression model is developed to correlate the optimally selected independent variables with cargo volume, as delineated in Equation (12). This facilitates the calculation of the growth rate of the cargo volume for inland vessels. The efficacy of the regression model is subsequently ascertained using an F-test.
        
      
        
      
      
      
      
    
        where Y is the dependent variable;  represents the optimal independent variable; and α and ε are the model coefficients.
Under the assumption that the ratios of the vessel and voyage types remain unchanged, the increase in demand for ship voyages is depicted through the growth rate of the cargo transportation volume. The projected annual voyage count for vessels in the forecasted year is determined by Equation (13):
      
        
      
      
      
      
    
        where  represents the annual voyages in the base year;  denotes the annual number of voyages in year i;  is the growth rate of the ship transport volume.
To estimate the regional ship carbon emissions for forecast year i, it is necessary to ascertain the proportions of ships utilizing various alternative fuels as per the designated scenario for that year. The calculation of regional annual carbon emissions, , is facilitated using Equation (14), detailed as follows:
      
        
      
      
      
      
    
        where  represents the distance of a single round-trip voyage for the vessel;  denotes the number of voyages in year i;  is the CO2 emission factor for fuel j, with the specific values determined according to the IMO’s GHG4 report, as illustrated in Table 5;  indicates the proportion of usage for each alternative fuel in the forecast year;  refers to the per kilometer consumption of fuel j.
 
       
    
    Table 5.
    CO2 emission factors for different fuels.
  
2.3. Construction of Ship Carbon Emission Reduction Scenarios Based on Alternative Fuels
In this study, the ships themselves are considered to be the main contributors to emission reductions, mainly cargo ships, tankers, passenger ships, tugboats, and other ship types. LNG fuel, methanol fuel, and hydrogen fuel are used as alternative fuels for the ships. The scenario prediction takes 2021 as the base year for prediction, and the prediction cycle is set to 2050, which is divided into four phases, namely 2021–2025, 2026–2030, 2031–2040, and 2041–2050. With reference to our published policies, different paths are set for each scenario, and each path is coupled with specific emission reduction measures. Since the implementation of emission reduction measures is a gradual process, the total emission reductions generated from the implementation of emission reduction measures during each forecasting stage are averaged for each year.
The scenario design for carbon emission reduction pathways for ships based on fuel substitution requires the design of specific values for parameters such as the ship transportation volume, the proportion of energy-intensive ships, the proportion of LNG-powered ships, the proportion of methanol-powered ships, the proportion of hydrogen-powered ships, and the degree of completeness of supporting facilities. In particular, the proportion of ship types, sizes, and voyage categories are determined based on the information on ship activities in the study area. The baseline scenario (BLS) reflects the carbon emission trends for vessels assuming no new carbon reduction measures are implemented, with all the influencing factors continuing to develop as they currently are. Based on the BLS, pathways for using alternative fuels for different voyage types are established, resulting in four specific fuel substitution development scenarios: a Low-Carbon Scenario (LCS), an Enhanced Low-Carbon Scenario (ELCS), a Zero-Carbon Priority Scenario (ZCPS), and an Enhanced Zero-Carbon Priority Scenario (EZCPS).
In the LCS, adhering to the policy development goals, LNG propulsion technology is initially applied to some existing passenger ships and large cargo ships for long-distance voyages through retrofitting by 2025. From 2026 to 2030, the phase-out and replacement of old, high-energy-consuming, and high-emission vessels leads to a gradual reduction in the proportion of high-energy-consuming ships. Mass production of green smart ships using alternative fuels becomes feasible, resulting in wider application of LNG-powered ships and more comprehensive supporting infrastructure. Between 2031 and 2040, with the benefit of existing fuel-powered ship retirement mechanisms, the proportion of high-energy-consuming ships further decreases. Methanol-powered and hydrogen fuel-cell-powered ships begin to be deployed. LNG and methanol propulsion technologies are employed in long-distance river freight vessels, while hydrogen fuel cell technology is applied in short–medium-distance river passenger ships, tugs, and other types of vessels. By 2041–2050, as alternative fuel technologies mature and supporting infrastructure for new energy and clean energy becomes largely complete, most river freight vessels adopt LNG and methanol propulsion technologies, while river passenger ships, tugs, and other types of vessels for short–medium-distance navigation predominantly use hydrogen fuel cell technology. The development process for the other three alternative ship fuel scenarios is similar to that of the LCS, with differences in the intensity of the ship fuel replacement policies during different time periods.
In different scenarios, the progress of adopting alternative fuels for propulsion type varies by vessel. To achieve the dual carbon targets of the shipping industry, some scenarios will accelerate the adoption of hydrogen-powered fuels. The specific emission reduction pathways for each scenario are outlined in Table 6. The percentages presented in the table indicate the proportion of each voyage type within the respective vessel category.
 
       
    
    Table 6.
    Scenario design for emission reduction through alternative fuels for vessel voyage types.
  
3. Case Study
3.1. Study Area and Data
In this study, the Jiangsu Province section (from Nanjing to Changshu) of the Yangtze River was taken as the case study, as shown in Figure 2. The AIS data for this region are from August to October 2021. The dataset includes over 10 million trajectory points and the sailing trajectories of 14,350 vessels over three months. All the selected vessels are diesel-powered. Regional statistics such as regional GDP and population size over the years, as well as basic data on waterborne cargo transportation volume, are sourced from the Jiangsu Statistical Yearbook.
 
      
    
    Figure 2.
      Research area geographic information map.
  
3.2. Results Analysis
A comprehensive statistical analysis was performed to quantify the contributions to carbon emissions by various ship types in the designated research area, with the findings depicted in Figure 3. The analysis revealed that cargo ships are the predominant source of emissions, constituting 79% of the total. Oil tankers were identified as the next most significant contributors, accounting for 10% of emissions. Additionally, tugboats, passenger ships, and vessels of other classifications were responsible for 5%, 2%, and 4% of emissions, respectively.
 
      
    
    Figure 3.
      Apportionment of carbon emissions by vessel type.
  
Following the segmentation of the voyages, the data pertaining to the number of voyages and the cumulative voyage distances across various ship types were compiled, as detailed in Table 7.
 
       
    
    Table 7.
    Activity information on different vessel types in study area.
  
Employing a voyage classification approach, a detailed statistical analysis was carried out to examine the categorization of voyages for varying vessel types within the specified study area. Cargo ships prominently feature in long-distance voyages, constituting 86.4% of such journeys and approximately 36.5% of the overall vessel count. Notably, there are 2142 vessels exceeding 2000 tons engaged in long-distance travel, making up 40.9% of the long-distance cargo shipping segment. In the context of medium- and short-distance voyages, cargo ships again predominate, representing 85.4% of the vessels in these categories and about 49.4% of the total vessel population. This underscores the significance of cargo ships in the Jiangsu stretch of the Yangtze River as prime candidates for energy source replacement strategies. The prevalence of tankers in long-distance voyages is similar to the level of their participation in medium and short journeys, collectively accounting for 7.2% of the entire fleet. Conversely, passenger ships, tugs, and vessels of other types are primarily involved in medium- and short-range operations. Detailed percentages, the overall voyage shares, and the distribution of voyages across different ship types are depicted in Figure 4.
 
      
    
    Figure 4.
      Distribution of voyage types across different vessel categories.
  
Vessels were systematically classified by type and voyage category, with the CO2 emissions meticulously calculated for each classification. The outcomes are presented in Table 8. The analysis reveals that cargo ships on long-distance voyages are the predominant source of emissions in this study region, generating 160,881.89 tons of CO2, equating to 52.86% of the overall emissions. Cargo ships on medium- and short-distance journeys follow, constituting 26.20% of the emissions. Tankers on long-distance routes also play a significant role, contributing 7.10% to the total CO2 emissions and ranking third in their emission contribution.
 
       
    
    Table 8.
    Carbon emissions of different vessel types in study area (tons).
  
Employing LASSO regression, an analysis was carried out on Jiangsu Province’s annual regional gross domestic product (GDP), population size, and maritime cargo volumes. This analysis pinpointed regional GDP as the optimal independent variable for the regression framework. Subsequent logarithmic regression analysis, facilitated by SPSS 25.0, was utilized to delineate the correlation between maritime cargo volumes and the corresponding yearly GDP. Additionally, the robustness of the regression model was assessed through an F-test, ensuring its statistical validity. The detailed results of this analysis are encapsulated in Table 9.
 
       
    
    Table 9.
    Regression analysis results for ship freight volume and GDP in study area.
  
Jiangsu Province’s GDP is anticipated to grow at an annual average rate of approximately 5.5%. By applying the predictive model for ship transportation volume, it is possible to calculate the projected volumes and their corresponding growth rates for pivotal years, as systematically presented in Table 10.
 
       
    
    Table 10.
    Rate of growth of ship transportation volume at different time points.
  
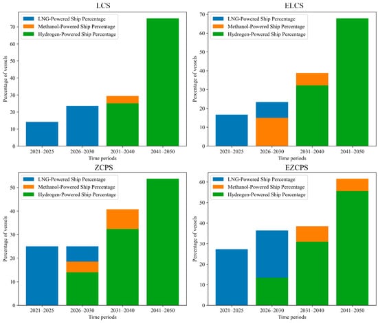
For the study area, different development goals are designed for different scenarios based on the growth rate for the ship transportation volume at key time points in the carbon emission reduction pathway, as well as the corresponding fuel substitution development patterns for vessel voyage types. The development goals for different emission reduction scenarios are referenced from Figure 5.
 
      
    
    Figure 5.
      Specific development goals for different emission reduction scenarios.
  
Figure 6 depicts the temporal evolution in the total CO2 emissions from vessels in the Jiangsu section of the Yangtze River mainline from 2021 to 2050. In the baseline scenario, the CO2 emissions from vessels in this region exhibit an annual increase, resulting in a 138% rise by 2050. However, in the intensified zero-carbon scenario, the rapid adoption of zero-carbon fuels replaces diesel, leading the vessels to reach peak carbon emissions by as early as 2025. Subsequently, a substantial reduction in the emission potential emerges from 2039, with the vessel CO2 emissions in 2050 amounting to merely 43% of those recorded in 2021. It is anticipated that vessel carbon neutrality would be attained by 2060.
 
      
    
    Figure 6.
      Evolution trends in ship carbon emissions in different development scenarios.
  
By 2030, across the four optimized scenarios, the proportion of environmentally friendly vessels utilizing alternative fuels in the Jiangsu section of the Yangtze River mainline is estimated to be 25%, 45%, 39%, and 39%, respectively. Except for the low-carbon development scenario, all the scenarios approach approximately 40%. Peak carbon emissions for vessels in the Jiangsu section of the Yangtze River mainline are projected to be reached by 2040 only under the intensified zero-carbon and zero-carbon optimization scenarios. However, in the zero-carbon prioritization scenario, the carbon reduction efficacy of the vessels diminishes between 2040 and 2050, with a decreased reduction capacity. Conversely, in the intensified low-carbon scenario, vessel emission reductions remain robust post-peak emissions, with a significant decline in the vessels’ carbon emissions between 2040 and 2050. Carbon neutrality is anticipated to be achieved by 2060. Hence, prioritizing methanol and hydrogen fuels remains imperative for achieving the energy transformation goals for vessels, along with expediting the application of hydrogen fuel to vessels.
In 2050, the CO2 emissions from vessels in the Jiangsu section of the Yangtze River mainline are projected to decrease by 23.33%, 29.95%, 49.42%, and 81.76% under the four emission reduction scenarios compared to the baseline scenario. The data indicate that prioritizing the development of low-carbon energy sources yields far lower emission reductions compared to prioritizing zero-carbon energy sources. The only distinction between the zero-carbon prioritization scenario and the intensified zero-carbon development scenario is the shift in cargo ships weighing over 2000 tons on long-distance voyages from using LNG fuel to hydrogen fuel, resulting in an increased proportion of zero-carbon fuels in the energy mix. The percentage difference in CO2 emission reductions between these two scenarios in 2050 is 32.35%. Hence, the results suggest that implementing stricter emission reduction measures for high-emission vessels is crucial to achieving peak carbon emissions.
The short-term and long-term CO2 emissions from vessels under different scenarios are illustrated in Figure 7. In the short term, prior to 2030, considering the maturity of low-carbon and zero-carbon fuel technologies, along with the level of supporting infrastructure, the emission reduction measures implemented in each scenario are relatively moderate. Consequently, there is no significant decrease in CO2 emissions under the four emission reduction scenarios by 2030.
 
      
    
    Figure 7.
      Comparison of long-term and short-term potential for ship carbon emission reductions.
  
Looking at the long term, by 2050, the CO2 emissions in the low-carbon development scenario and the intensified low-carbon development scenario are notably higher than the levels in 2030. The CO2 emissions under the zero-carbon prioritization scenario show a slight increase compared to 2030, while under the intensified zero-carbon development scenario, the CO2 emissions in 2050 significantly decrease compared to those in 2030. In this scenario, it is projected that vessel CO2 emissions will decrease by 2.3692 million tons compared to the baseline scenario, with cargo ships engaged in long-distance voyages contributing the most to the CO2 reduction, accounting for 62.36% of the total reduction, with a reduction contribution of 1.4774 million tons.
3.3. Discussion and Recommendation
The study of carbon reduction pathways for vessels along the Jiangsu section of the Yangtze River demonstrates that the proposed method effectively identifies specific types of ships with high emission reduction potential, specifically long-distance cargo ships. Moreover, under the ZCPS, the carbon peaking target for the shipping sector can be achieved by 2040. Based on these findings, the following fuel-substitution-based carbon reduction pathway recommendations are proposed.
        
- (1)
- According to the zero-carbon prioritization model, the following recommendations are proposed for the future adoption of alternative fuels in vessels:- -
- Before 2025: Ensure that half of the existing passenger ships and large cargo ships modified for long-distance voyages are equipped with LNG propulsion technology.
- -
- From 2026 to 2030: Shift the focus of research and development from LNG technology to hydrogen propulsion technology, particularly for LNG-powered cargo ships on long-distance voyages.
- -
- From 2031 to 2040: Scale up hydrogen-powered vessels, phase out existing LNG-powered ships, and replace them with similar types of hydrogen-powered vessels. Target the replacement of some cargo ships weighing over 2000 deadweight tons engaged in long-distance voyages. Additionally, increase the substitution of diesel-powered vessels with hydrogen-powered vessels. Begin applying methanol propulsion technology to medium- and short-distance cargo ships.
- -
- From 2041 to 2050: Further reduce the number and proportion of LNG-powered vessels. Scale up methanol-powered vessels and start applying them to long-distance voyages. Hydrogen-powered vessels become the primary type of new energy vessels.
 
- (2)
- In the middle and lower reaches of the Yangtze River, cargo ships engaged in long-distance voyages continue to be the predominant emitters of high emissions. Implementing more stringent emission reduction measures for these high-emission vessels is crucial to effectively mitigating the overall CO2 emissions from ships. Therefore, expediting the adoption of hydrogen propulsion technology in large freight vessels and the development of associated infrastructure such as hydrogen refueling stations is imperative. This will facilitate the prompt deployment of hydrogen-powered vessels for long-distance voyages.
- (3)
- From 2040 onwards, the ZCPS demonstrates a superior carbon reduction performance compared to Scenario 2. By 2050, the ZCPS achieves an additional CO2 reduction of 716,872 tons compared to the EZCPS, accounting for 32.35% of the total carbon reduction. A comparison of the development pathways reveals that beginning in 2030, the proportion of long-distance cargo ships switching to LNG fuel is 5% lower in the ZCPS than in the EZCPS, while the proportion switching to methanol fuel is 5% higher. These findings suggest that the emission reduction benefits of promoting low-carbon fuels in high-emission ships will increase over time, emphasizing the need to advance the use of low-carbon fuels in high-emission vessels as early as possible.
4. Conclusions
Inland shipping faces a heavy task in carbon emission reduction. To achieve its peak carbon and carbon neutrality goals, proactive measures should be taken in inland navigation to contribute to the overall carbon reduction objectives. This study predicts the CO2 emissions from ships in the Jiangsu section of the Yangtze River mainline and finds that achieving the carbon reduction goals in shipping is unrealistic under the baseline scenario without any carbon reduction measures. However, under the scenario of strengthened zero-carbon emissions, through measures such as fuel substitution in vessels, it is shown that the peak carbon emissions of ships in the Jiangsu section of the Yangtze River mainline can be achieved by 2025, with regional ship CO2 emissions reduced to 43% of the baseline level by 2050.
Two shortcomings of this study could be improved in future work. Firstly, when predicting the CO2 emission trends for ships under different scenarios, the assumption was made that the activity range and routes of the inland ships were relatively fixed. Additionally, only three months of CO2 emission data from 2021 was used as the input, resulting in some uncertainty in the prediction results. Future research should aim to increase the data scale for historical ship CO2 emissions to improve the accuracy of the CO2 emission trend predictions. Secondly, this study only considered three types of alternative fuels. However, other alternative fuels, such as biofuels and ammonia [], also have significant emission reduction potential. Future studies should consider a wider range of alternative fuels to explore the optimal fuel substitution pathways for decarbonizing shipping.
Author Contributions
Methodology, C.Z. and Y.D.; Resources, Y.D. and H.X.; Writing–original draft, W.T.; Writing–review & editing, H.H. All authors have read and agreed to the published version of the manuscript. 
Funding
This work was supported by the National Science Foundation of China (Grant No. 52171349), the Key Research Plan of Zhejiang Provincial Department of Science and Technology, China (Grant No. 2021C01010), and the Laboratory of Transport Pollution Control and Monitoring Technology (Grant No. 2022JH-F038).
Institutional Review Board Statement
Not applicable. 
Informed Consent Statement
Not applicable.
Data Availability Statement
Data are contained within the article.
Acknowledgments
We sincerely thank the editor and reviewers for their kind and helpful comments on this manuscript.
Conflicts of Interest
Author Yiran Ding was employed by the company Henan Communications Planning & Design Institute Co., Ltd. The remaining authors declare that the research was conducted in the absence of any commercial or financial relationships that could be construed as a potential conflict of interest.
References
- Farkas, A.; Degiuli, N.; Martić, I.; Vujanović, M. Greenhouse gas emissions reduction potential by using antifouling coatings in a maritime transport industry. J. Clean. Prod. 2021, 295, 126428. [Google Scholar] [CrossRef]
- Joung, T.-H.; Kang, S.-G.; Lee, J.-K.; Ahn, J. The IMO initial strategy for reducing Greenhouse Gas (GHG) emissions, and its follow-up actions towards 2050. J. Int. Marit. Saf. Environ. Aff. Shipp. 2020, 4, 1–7. [Google Scholar] [CrossRef]
- Xing, H.; Stuart, C.; Spence, S.; Chen, H. Alternative fuel options for low carbon maritime transportation: Pathways to 2050. J. Clean. Prod. 2021, 297, 126651. [Google Scholar] [CrossRef]
- Zhou, C.; Huang, H.; Liu, Z.; Ding, Y.; Xiao, J.; Shu, Y. Identification and analysis of ship carbon emission hotspots based on data field theory: A case study in Wuhan Port. Ocean Coastal Manag. 2023, 235, 106479. [Google Scholar] [CrossRef]
- Chen, L.; Yang, Z.; Chen, B. Decomposition analysis of energy-related industrial CO2 emissions in China. Energies 2013, 6, 2319–2337. [Google Scholar] [CrossRef]
- Li, Y.; Dai, J.; Zhang, S.; Cui, H. Dynamic prediction and driving factors of carbon emission in Beijing, China, under carbon neutrality targets. Atmosphere 2023, 14, 798. [Google Scholar] [CrossRef]
- Hu, Y.; Chi, Y.; Zhou, W.; Wang, Z.; Yuan, Y.; Li, R. Research on energy structure optimization and carbon emission reduction path in Beijing under the Dual Carbon Target. Energies 2022, 15, 5954. [Google Scholar] [CrossRef]
- Chen, M.; Zhang, C.; Chen, C.; Li, J.; Cui, W. Main pathways of carbon reduction in cities under the target of carbon peaking: A case study of Nanjing, China. Sustainability 2023, 15, 8917. [Google Scholar] [CrossRef]
- Miao, A.-K.; Yuan, Y.; Wu, H.; Ma, X.; Shao, C.-Y. Pathway and Policy for China’s Provincial Carbon Emission Peak. Huan Jing Ke Xue = Huanjing Kexue 2023, 44, 4623–4636. [Google Scholar] [PubMed]
- Wu, W.; Zhang, T.; Xie, X.; Huang, Z. Regional low carbon development pathways for the Yangtze River Delta region in China. Energy Policy 2021, 151, 112172. [Google Scholar] [CrossRef]
- Cao, Y.; Yin, K.; Li, X.; Zhai, C. Forecasting CO2 emissions from Chinese marine fleets using multivariable trend interaction grey model. Appl. Soft Comput. 2021, 104, 107220. [Google Scholar] [CrossRef]
- Akcan, S.; Kuvvetli, Y.; Kocyigit, H. Time series analysis models for estimation of greenhouse gas emitted by different sectors in Turkey. Hum. Ecol. Risk Assess. Int. J. 2018, 24, 522–533. [Google Scholar] [CrossRef]
- Yan, X.; He, Y.; Fan, A. Carbon footprint prediction considering the evolution of alternative fuels and cargo: A case study of Yangtze river ships. Renew. Sustain. Energy Rev. 2023, 173, 113068. [Google Scholar] [CrossRef]
- Brynolf, S.; Fridell, E.; Andersson, K. Environmental assessment of marine fuels: Liquefied natural gas, liquefied biogas, methanol and bio-methanol. J. Clean. Prod. 2014, 74, 86–95. [Google Scholar] [CrossRef]
- Wang, Y.; Cao, Q.; Liu, L.; Wu, Y.; Liu, H.; Gu, Z.; Zhu, C. A review of low and zero carbon fuel technologies: Achieving ship carbon reduction targets. Sustain. Energy Technol. Assess. 2022, 54, 102762. [Google Scholar] [CrossRef]
- Huang, H.; Zhou, C.; Huang, L.; Xiao, C.; Wen, Y.; Li, J.; Lu, Z. Inland ship emission inventory and its impact on air quality over the middle Yangtze River, China. Sci. Total Environ. 2022, 843, 156770. [Google Scholar] [CrossRef] [PubMed]
- Zhou, C.; Ding, Y.; Huang, H.; Huang, L.; Lu, Z.; Wen, Y. Meso-level carbon dioxide emission model based on voyage for inland ships in the Yangtze River. Sci. Total Environ. 2022, 838, 156271. [Google Scholar] [CrossRef] [PubMed]
| Disclaimer/Publisher’s Note: The statements, opinions and data contained in all publications are solely those of the individual author(s) and contributor(s) and not of MDPI and/or the editor(s). MDPI and/or the editor(s) disclaim responsibility for any injury to people or property resulting from any ideas, methods, instructions or products referred to in the content. | 
© 2024 by the authors. Licensee MDPI, Basel, Switzerland. This article is an open access article distributed under the terms and conditions of the Creative Commons Attribution (CC BY) license (https://creativecommons.org/licenses/by/4.0/).
