A Study on Crack Initiation and Propagation of Welded Joints under Explosive Load
Abstract
1. Introduction
2. Materials and Methods
2.1. Dynamic Fracture Toughness Measurement
2.2. Explosion Bulge Test on Butt Joint Plate
2.3. Explosion Simulation of the Butt Joint Plate
3. Results
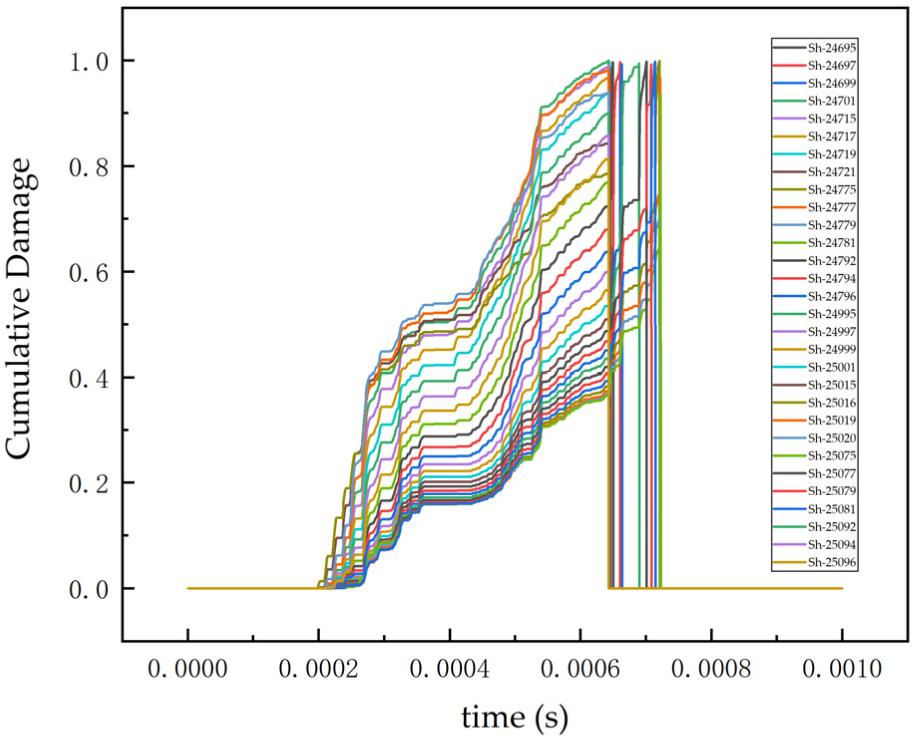
3.1. Dynamic Fracture Toughness
3.2. Explosion Bulge Test Results
3.3. Explosion Simulation Results
4. Discussion
4.1. Discussion on Dynamic Crack Initiation under Explosion Load
4.2. Discussion on Dynamic Crack Propagation
5. Conclusions
- (1)
- The dynamic fracture toughness of high-strength ship hull structural steel and welded joints was determined through instrumented Charpy impact tests using specimens with prefabricated cracks. The results show that the dynamic fracture toughness of the base metal is the highest, which reaches 265 MPa·m0.5, while the weld metal has the lowest value 196 MPa·m0.5. This indicates that welded joints in naval ship hull structures are weak areas; therefore, special attention should be paid to welding applications in ship design.
- (2)
- The stress state and strain rate at the crack tip of a Charpy impact specimen are consistent with that of a welded joint under explosive loads. The strain rate of the weld joint under explosive load is around 1500/s, and the stress triaxiality at the weld toe is about 1.5–2.0, indicating that the weld undergoes tensile failure.
- (3)
- Combining explosion tests and simulation, the dynamic fracture toughness can be used to predict the crack initiation and propagation characteristics of the welded structure. When the local dynamic stress intensity factor of the structure exceeds the material’s dynamic fracture toughness, the crack begins to propagate.
- (4)
- The maximum principal stress at the crack tip is perpendicular to the crack surface, and the superposition of stress waves will promote crack propagation. The crack propagation speed can reach 2000 m/s, resulting in instant rupture of the naval ship. Ship designers should avoid fracture as much as possible.
- (5)
- Through dynamic fracture toughness tests, the dynamic property of ship hull steel can be preliminarily evaluated, which is of great significance for material research and development. Combining explosion tests and simulation, we can predict the failure of welded joints, further improve the joint design, and enhance the anti-explosion level of naval ships. The method proposed in this article can also be applied to armored vehicles, welded protective structures, and other fields.
Author Contributions
Funding
Institutional Review Board Statement
Informed Consent Statement
Data Availability Statement
Conflicts of Interest
References
- Wang, Y.; Cui, L.; Du, J.; Du, Z. Developments and applications of domestic shock dynamics analysis on naval vessels underwater explosion. CCTAM 2009. Available online: http://172.17.2.25:8088/D/Conference_7204927.aspx (accessed on 8 May 2024).
- Du, J.; Du, Z.; Li, Y.; Kong, X. The Progress of Naval Ship Explosion Protection Technology. ACTA Armamentraii 2015, 36 (Suppl. 1), 391–400. [Google Scholar]
- Li, Y.; Zhang, L.; Du, Z.; Zhou, X.; Xiao, D.; Ren, X.; Fang, D. Failure Mechanism and Anti-Damage Design of Ship Bulkhead under Internal Blast. Shipbuild. China 2019, 60, 27–34. [Google Scholar]
- Ding, P.; Cheng, Y.; Yu, J.; Gong, X.; Wang, R. Experimental Research and Numerical Simulation of Corrugated Sandwich Panel under Explosion Load. Shipbuild. China 2021, 62, 51–64. [Google Scholar]
- Ding, P.; Cheng, Y.; He, L. Experimental measurement and numerical simulation of residual stress on butt welding steel plates. Dev. Appl. Mater. 2023, 38, 9–16. [Google Scholar]
- Hou, H.; Zhu, X.; Mei, Z. Study on the blast load and failure mode of ship structure subject to internal explosion. Explos. Shock Waves 2007, 27, 151–158. [Google Scholar]
- Chuan, P.; Xin, Y.; Han, Z.; Zhen, C.; Ding, X.; Chang, Z.; Bing, X. Numerical Study on Crack Propagation under Explosive Loads. Acta Mech.Sin. 2022, 38, 421376. [Google Scholar] [CrossRef]
- Cheng, S.; Ye, Y.; Zeng, Y.; Gao, R. Failure law of surrounding rock under underground explosion based on a new damage-virtual tensile crack model. Explos. Shock Waves 2022, 42, 137–149. [Google Scholar] [CrossRef]
- Li, Q.; Yang, R.; Li, J.; Qiao, C.; Zhao, Y.; Ma, Y. Experimental Study on Propagation of Dynamic Cracks under Blasting Loading. Chin. J. Rock Mech. Eng. 2005, 24, 2912–2916. [Google Scholar] [CrossRef]
- Yang, R.; Xu, P.; Chen, C. Experimental Study on the Interaction between Explosion Stress Wave and Crack. Explos. Shock. Wave 2019, 39, 27–37. [Google Scholar] [CrossRef]
- Wan, D.; Zhu, Z.; Liu, R.; Liu, B. Effect of two parallel cracks on main propagating cracks under blasting. Explos. Shock. Waves 2019, 39, 93–104. [Google Scholar] [CrossRef]
- Zou, G.; Shen, X.; Wu, L.; Yang, L. Numerical Simulation of Fracture of CT Specimen Loaded by Improved Hopkinson Bar. J. Harbin Inst. Technol. 2016, 48, 142–147. [Google Scholar] [CrossRef]
- Wu, Y.; Li, P.; Xu, Z.; Li, Y. Dynamic Fracture Initiation Toughness Computation of Crack in Pipe Welding Field Under Impact Loading. At. Energy Sci. Technol. 2008, 42, 661–663. [Google Scholar]
- Pan, J. Dynamic Fracture Behavior of Pressure Vessel Materials under Impact Loads. Ph.D. Thesis, University of Science and Technology of China, Hefei, China, 2013. [Google Scholar]
- Wang, J. Numerical Simulation and Experimental of Dynamic Fracture Toughness of Metal Materials under High Strain Rate Load. Ph.D. Thesis, Chongqing University of Technology, Chongqing, China, 2019. [Google Scholar]
- Yi, H. Study on Dynamic Fracture Toughness of X80 Pipeline Steel Based on CVN Method. Ph.D. Thesis, China University of Petroleum, Beijing, China, 2019. [Google Scholar]
- Li, G.; Shi, D.; Wang, L.; Kun, Z. Measurement technology of underwater explosion load: A review. Ocean Eng. 2022, 254, 111383. [Google Scholar] [CrossRef]
- Chen, Y.; Sun, Y.; Wang, C. Damage Characteristics of Ship’s Double Bottom Structure Subjected to Underwater Explosion. Acta Armamentarii 2023, 44, 670–681. [Google Scholar] [CrossRef]
- Shen, C.; Zhang, L.; Zhou, Z.; Liu, J. Mechanism of Dynamic Responses of Grillage Structures under Loads of Close-in and Contact Underwater Explosions. Acta Armamentarii 2023, 44, 1050–1061. [Google Scholar] [CrossRef]
- Shi, S.; Wang, R.; Tang, J.; Gun, Y.; Yuan, J.; Chen, Y. Failure mechanism and dynamic response of a composite lattice structure under intense explosion loadings. Explos. Shock Waves 2023, 43, 102–116. [Google Scholar] [CrossRef]
- Gao, P.; Yan, M.; Zhang, Q. Research on scaling law of boundary tearing damage of stiffened plates for ship subjected to underwater explosion load. J. Vib. Shock 2024, 43, 38–44, 114. [Google Scholar] [CrossRef]
- Rossoll, A.; Berdin, C.; Prioul, C. Determination of the Fracture Toughness of a Low Alloy Steel by the Instrumented Charpy Impact Test. Int. J. Fract. 2002, 115, 205–226. [Google Scholar] [CrossRef]
- ESIS. Proposed standard methods for instrumented pre-cracked Charpy impact testing of steels. Draft 1996, 10, TC5. [Google Scholar]
- Schindler, H.J. Estimation of the dynamic J-R curve from a single impact bending test. In Mechanisms and Mechanics of Damage and Failure; Petit, J., De Fouquet, J., Henaff, G., Villechaise, P., Dragon, A., Eds.; European Conference on Fracture-11; EMAS: Poitiers, France, 1996; Volume 3, pp. 2007–2012. [Google Scholar]
- E23:2023; Standard Methods for Notch Bar Impact Testing of Metallic Materials. ASTM International: West Conshohocken, PA, USA, 2023.
- Ruiz, C.; Mines, R.A.W. The Hopkinson pressure bar and alternative to the instrumented pendulum for Charpy tests. Int. J. Fract. 1985, 29, 101–109. [Google Scholar] [CrossRef]
- Magudeeswaran, G.; Balasubramanian, V. Dynamic fracture toughness behavior of armor-grade Q&T steel weldments: Effect of weld metal composition and microstructure. Met. Mater. Int. 2009, 15, 1017–1026. [Google Scholar] [CrossRef]
- MIL-STD-2149A(SH); Test Method Standard, Standard Procedures for Explosion Testing Ferrous and Non-Ferrous Metallic Materials and Weldments. Department of Defense: Washington, DC, USA, 2 February 1990. Available online: http://www.everyspec.com (accessed on 8 May 2024).


























| Element | C | Si | Mn | S | P | Ni | Cr | Mo | V |
|---|---|---|---|---|---|---|---|---|---|
| Proportion | 0.09 | 0.5 | 0.2 | 0.001 | 0.001 | 3.1 | 0.34 | 1.1 | 0.06 |
| D1 | D2 | D3 | D4 | D5 |
|---|---|---|---|---|
| 0.31 | 1.21 | −2.2 | −0.03 | 1.02 |
| Sampling Position | KId/MPa·m0.5 |
|---|---|
| Base Metal | 265 |
| HAZ | 232 |
| Weld Metal | 196 |
| Test Plates | Thickness Reduction Rate/% | Crack Length/mm |
|---|---|---|
| 1 | 8.8 | 198 |
| 2 | 8.2 | 203 |
| Method | Thickness Reduction Rate/% | Error/% |
|---|---|---|
| Experiment | 8.5 | 7 |
| Simulation | 7.9 |
Disclaimer/Publisher’s Note: The statements, opinions and data contained in all publications are solely those of the individual author(s) and contributor(s) and not of MDPI and/or the editor(s). MDPI and/or the editor(s) disclaim responsibility for any injury to people or property resulting from any ideas, methods, instructions or products referred to in the content. |
© 2024 by the authors. Licensee MDPI, Basel, Switzerland. This article is an open access article distributed under the terms and conditions of the Creative Commons Attribution (CC BY) license (https://creativecommons.org/licenses/by/4.0/).
Share and Cite
Ding, P.; Gong, X.; Sun, L.; Niu, J.; Zhang, Y.; Xu, L. A Study on Crack Initiation and Propagation of Welded Joints under Explosive Load. J. Mar. Sci. Eng. 2024, 12, 927. https://doi.org/10.3390/jmse12060927
Ding P, Gong X, Sun L, Niu J, Zhang Y, Xu L. A Study on Crack Initiation and Propagation of Welded Joints under Explosive Load. Journal of Marine Science and Engineering. 2024; 12(6):927. https://doi.org/10.3390/jmse12060927
Chicago/Turabian StyleDing, Penglong, Xuhui Gong, Lei Sun, Jiajia Niu, Youjing Zhang, and Lianyong Xu. 2024. "A Study on Crack Initiation and Propagation of Welded Joints under Explosive Load" Journal of Marine Science and Engineering 12, no. 6: 927. https://doi.org/10.3390/jmse12060927
APA StyleDing, P., Gong, X., Sun, L., Niu, J., Zhang, Y., & Xu, L. (2024). A Study on Crack Initiation and Propagation of Welded Joints under Explosive Load. Journal of Marine Science and Engineering, 12(6), 927. https://doi.org/10.3390/jmse12060927
