Next Article in Journal
A Novel Method for Estimating the Undrained Shear Strength of Marine Soil Based on CPTU Tests
Next Article in Special Issue
A Wind Power Combination Forecasting Method Based on GASF Image Representation and UniFormer
Previous Article in Journal
Life Assessment of Deep-Sea Observation Windows under Different Design Considerations
Previous Article in Special Issue
The Design and Study of a Four-Coil Oil Multi-Pollutant Detection Sensor
 
 
Font Type:
Arial Georgia Verdana
Font Size:
Aa Aa Aa
Line Spacing:
Column Width:
Background:
Article

Research on Time-Cooperative Guidance with Evasive Maneuver for Multiple Underwater Intelligent Vehicles

by
Zuoe Fan
1,
Hao Ding
1,
Linping Feng
1,
Bochen Li
2 and
Lei Song
2,*
1
Naval Submarine Academy, Qingdao 266071, China
2
School of Electronic Information and Electrical Engineering, Shanghai Jiao Tong University, Shanghai 200240, China
*
Author to whom correspondence should be addressed.
J. Mar. Sci. Eng. 2024, 12(6), 1018; https://doi.org/10.3390/jmse12061018
Submission received: 18 May 2024 / Revised: 12 June 2024 / Accepted: 16 June 2024 / Published: 19 June 2024

Abstract

In order to achieve the precise attack of multiple underwater intelligent vehicles (UIVs) on the same target ship at a fixed impact time, and to improve the penetration capability of the UIVs themselves, this study investigated the guidance law for the time-cooperative guidance of UIVs with maneuvering evasion. The evasive maneuver of the UIV increases the line-of-sight angle between the UIV and the target, which decreases the guidance precision of the UIV. A segmented control strategy is proposed to solve the problem of decreasing guidance precision caused by evading maneuvers, which is also the main contribution of this paper. This control strategy is dividing the guidance trajectory into two segments. The first segment allows for intelligent underwater vehicles to make evasion maneuvers and penetrate the defense, while the second segment controls the terminal time and achieves precision strike. Different desired target-vehicle distances are designed for each segment, unifying the impact time control issue and evasion maneuver problem into the pursuit of desired target-vehicle distances. Finally, based on feedback linearization control theory, a time-cooperative guidance law with evasion maneuver capability is proposed. Simulation results validate the effectiveness of the proposed method in attacking-moving targets.

1. Introduction

With the continuous development of science and technology, underwater intelligent vehicles have been rapidly improved and have become an indispensable and important force in the field of underwater warfare. Underwater intelligent vehicles have become an important weapon system for attacking enemy underwater targets because of their unique concealment, flexibility, and autonomy. However, with the continuous improvement of the defense capability of ships, higher requirements are put forward for the weapon system of underwater intelligent vehicles. In order to improve their attack efficiency and penetration ability, the precise cooperative attack of multiple underwater intelligent vehicles has become an urgent problem to be solved. To achieve precise strikes against enemy vessels in a short period of time, coordinated attacks by multiple intelligent underwater vehicles (IUVs) are indispensable. Ensuring the effectiveness of such coordinated attacks requires multiple IUVs to arrive at the target vessel simultaneously at the designated attack moment, forming a formidable striking force. Additionally, enhancing the individual breakthrough capability of each IUV during coordinated attacks is essential, as target vessels may deploy countermeasures at any time in complex maritime environments. Facing the challenges posed by the ever-evolving maritime environment and increasingly fortified target vessel defense systems, improving the breakthrough capability and guidance accuracy of IUVs becomes an urgent issue.
To address this challenge, this paper proposes an innovative IUV time-coordinated guidance law with maneuver evasion, aiming to achieve precise attacks by multiple IUVs on the same target vessel within a specified time frame. Traditionally, evasion maneuvers by IUVs may increase their line-of-sight angle with the target, thereby reducing guidance accuracy. To overcome this challenge, this paper presents a novel segmented control strategy, cleverly dividing the guidance trajectory into two segments to address the requirements of evasion maneuvers and precise strikes separately. In this segmented control strategy, the first segment allows for IUVs to perform evasion maneuvers to penetrate the defense systems of the target vessel, while the second segment focuses on controlling the terminal time to ensure that IUVs achieve precise strikes within the predetermined time frame.
The guidance system of underwater intelligent vehicles and the cooperative guidance system of multiple underwater intelligent vehicles have been widely studied. With regard to precision guidance, researchers are constantly exploring new guidance algorithms to improve the positioning accuracy and strike accuracy of underwater intelligent vehicles [1,2,3,4,5]. In order to address the issues of positioning and stability for underwater vehicles under model uncertainties and ocean current disturbances, Vu et al. [6] proposed a robust station-keeping control algorithm based on sliding-mode control theory to enhance the stability and performance of hovering over-actuated autonomous underwater vehicles in complex environments. Vu et al. [7] proposed a robust positioning control method for over-actuated autonomous underwater vehicles and utilized dynamic sliding-mode control and optimal allocation algorithms to improve stability and robustness. As for cooperative guidance, they proposed many cooperative control strategies and trajectory-tracking algorithms to ensure the trajectory control and guidance control of multiple underwater intelligent vehicles [8,9,10,11,12]. These guidance systems can accurately strike targets or effectively control the formation. However, in the current complex battlefield environment, not only the accuracy of the attack must be considered, but also the evasive maneuver needs of the underwater intelligent vehicle must be considered. In the face of the reconnaissance, interception, and countermeasures that enemy ships may take, multiple underwater intelligent vehicles must be able to flexibly realize their own maneuvers for penetration and ensure that they can attack the target cooperatively at the same time.
The rest of this paper is organized as follows. In Section 2, the key issues existing in multi-UIV time-coordinated attack control, along with the main methods proposed in the current literature, are discussed. In Section 3, the main solution proposed in this paper is introduced. In Section 4, a detailed design of multi-UIV time-coordinated guidance laws with evasion maneuvers is proposed. In Section 5, simulations are conducted to verify the effectiveness of the proposed method. Finally, the conclusions and future work are given in Section 6.

2. Time-Cooperative Guidance for Multiple Underwater Intelligent Vehicles

At present, many studies related to attack time control in the field of flying vehicles, such as the control problem of attack time for the independent guidance of vehicles [13,14,15], have been conducted. There are mainly two approaches to implementing attack time control. One is to directly control the attack time of the vehicle. The other is to convert the attack time control problem into a problem of tracking the expected distance between the vehicle and the target. By designing control laws to control the distance tracking, the goal of attack time control is ultimately achieved. The first research method was proposed by Tahk M J’s team [16], who designed a time-control guidance law based on the proportional guidance law and added a time error control term. Based on that, they extended the time-constrained time-control guidance law. The second research method was first proposed by Zhang Youan and others [17], and later, they extended the cooperative guidance law based on virtual proportional guidance. Both methods fundamentally transform time control into distance tracking. Inspired by [18], this paper transforms the missile attack time control problem into a problem of tracking the distance between a missile and its target and applies it to the cooperative attack problem of underwater vehicles. A time-varying expected distance between the intelligent underwater vehicle and the target is designed, which approaches zero at the fixed attack time, enabling each underwater intelligent vehicle in the team to simultaneously hit the target with precision while avoiding maneuvering flight.

3. Description of the Fixed-Time Guidance Problem

When the underwater swarm members cannot communicate with each other, in order to achieve the saturation attack of swarm intelligent bodies on the enemy ship at the same time, it is necessary to control n intelligent vehicles U i ( i = 1 n ) to fly to the target each wither its own guidance laws. At moment T d , they need to reach the target simultaneously and attack the same ship target T cooperatively, as shown in Figure 1, where T d is the fixed attack time.
To achieve this, we need to design guidance laws that can control the attack time. Before designing the guidance laws, the following assumptions are made:
(1) All swarm members are of the same type and use the same guidance law.
(2) It is assumed that the intelligent body moves at a constant speed, and the speed and direction of the ship target are known. The magnitude of each UIV’s speed is uncontrollable, but its direction can be controlled.
(3) The fixed attack time T d satisfies
T U T d m a x i T ^ i i 1 , 2 , n
Here, T ^ i represents the estimated attack time obtained when the ith UIV uses traditional guidance methods. T U represents the flight time corresponding to the maximum allowable flight distance for each UIV.
It can be seen from Figure 1 that T d must be greater than or equal to the maximum value of T ^ i . In other words, the fixed impact time of the UIV must be greater than its predicted minimum impact time. Otherwise, if the fixed attack time is too small, some UIVs may not be able to reach the target at the fixed attack time even if they fly in a straight line. Meanwhile, T d should be less than or equal to T m to ensure that the flight distance of the UIV does not exceed its maximum range. When T d satisfies Formula (1), the UIV actually consumes extra flight time by increasing its flight distance, thus realizing attack time control. Therefore, when fixing the attack time T d , the remaining flight time of each UIV should be roughly estimated, and a value that meets the conditions should be fixed. Although few studies have estimated the remaining navigation time of intelligent underwater vehicles, many studies have conducted in-depth research into the estimation problem of the remaining flight time of aircraft. Referring to the literature [19], we adopt the following method to predict the remaining flight time of the UIV.
T ^ i R go V 1 + θ 2 10
In the formula, V represents the speed of the UIV, θ represents the angle between the UIV speed vector and the baseline, which is the guidance angle of the UIV, and R go represents the UIV’s predicted navigation distance.

4. Guidance Law Design with Evasive Maneuver and Impact-Time Control

4.1. Model of Relative Motion of UIV and Target

The relative motion relationship between the UIV and the target in the direction plane is shown in Figure 2, and the relative motion equations [4] are shown as follows:
r ˙ = V T cos η T V cos η r q ˙ = V sin η V T sin η T q = σ + η σ ˙ = a V
Here, V T and V are the velocities of the target and UIV, respectively; σ T is the angle between the target velocity vector and the baseline; η T is the angle between the target velocity vector and the sight line, called the target leading angle; η is the angle between the UIV’s velocity vector and the sight line, called the UIV’s leading angle; σ is the angle between the UIV’s velocity vector and the baseline; r is the distance between the UIV and the target; a is the UIV’s normal acceleration, which is the control input.
By simplifying Equation (3), it can be transformed into a second-order system as follows:
r ˙ = V T cos η T V cos η η ˙ = V sin η     V T sin η T r a V
This equation can be regarded as a second-order system with a as control and r as output. In the process of target-seeking guidance, the distance r between the UIV and the target gradually approaches zero under the control of a. If the UIV can successfully collide with the target at the end of the attack, then it reaches r = 0 . Therefore, when ignoring the control of the UIV’s attack time, the main purpose of designing the guidance system for the UIV is to design the control input a to make r 0 , so as to achieve accurate target attacks.

4.2. Design the Expected Distance between the UIV and the Target

In [8], the missile attack timing control problem is transformed into a tracking problem of the expected distance between the missile and the target. The expected missile-to-target distance is shown in Figure 3, where the solid line represents the designed expected missile-to-target distance R, and the dotted line represents the actual tracking distance curve between the missile and the target. The relationship between the expected missile-to-target distance R ( t ) and T D is
R ( t ) = V T d t
In the design, we aim to ensure that the expected missile-to-target distance R ( t ) equals zero at time T d , such that the missile can hit the target at time T d . Therefore, by designing a suitable control input a to satisfy r R 0 , the time control problem can be transformed into a distance-tracking problem. This paper builds upon and expands the design concept from the literature. We apply this design to the time control problem of multiple intelligent UIVs; and, furthermore, by designing different expectations R ( t ) , we can strike a balance between simultaneous attack timing and autonomous evasive maneuvers, allowing for the UIVs to counter the interception attempts of interceptors.
Given that the current guidance range of the UIV is around ten kilometers, it is challenging to accurately estimate the remaining flight time of the UIV as the target ship keeps moving. Compared to the guidance methods that directly control the attack time, the approach in [18] changes the problem by converting time control into distance tracking and eliminates the need for the real-time online estimation of each UIV’s remaining flight times, which has a significant advantage. However, as observed in (5), the designed expected movement of the UIV is uniform rectilinear motion. This design would result in an ever-increasing offset angle for all UIVs during the initial phase of r convergence R, as shown in Figure 3, causing the UIV’s flight trajectory to deviate quickly from the line of sight under guidance instructions. However, as time progresses, the error between r and R, the UIV’s trajectory and the target’s, gradually decreases, and the UIV eventually approaches the target with a constant velocity V, and hence, a smooth guidance trajectory. The main disadvantage is that in the guidance process, the UIV spends extra time, causing trajectory deviation, except during the initial phase.
Considering the possibility that the UIV could be intercepted by an enemy interceptor during the attack, this paper designs the following expected range-to-target distance based on the idea of segment design.
R ( t ) = R 2 ( t ) = V T d t ; t > t m R 1 R 2 , t ; t t m
Let t m denote the time points at which the expected distance R ( t ) for the guidance process is divided. When t > t m , the expected distance is taken as R 2 ( t ) , which mainly controls the ability of the UIV to strike the target precisely while also fulfilling the attack time. When t t m , the expected distance is set to R 1 R 2 , t , which mainly helps the UIV engage in target tracking and maneuvering during the guidance process, thereby increasing its ability to penetrate enemy defenses. The design of R ( t ) should pay attention to the following two points.
(1) The range of values for t m : 0 < t m T d / 2 . The minimum value of t m in this guidance algorithm cannot be zero. t m = 0 means that there is no segmented control in the guidance process of the UIV. That is, there is no evasion maneuver guidance in the first stage. The maximum value of t m cannot exceed the fixed impact time T d . If t m = T d , then the entire course of the UIVs’ guidance process in their own maneuvering navigation cannot precisely hit the target.Considering the generalization of the guidance algorithm, and based on the simulation data, the maximum value T d / 2 of t m is determined. When t m exceeds T d / 2 , while it can extend the range of evasive maneuvers of the UIV, it will reduce the accuracy of impact time control, which is not in line with actual operational requirements.
(2) The range of values for R 1 R 2 , t : 0 < R 1 R 2 V T d / 2 . R 1 R 2 , t is a bounded function of R 2 t . The main goal of R 1 R 2 , t is to enable the UIV to perform evasive maneuvers, which, in turn, increases the UIV’s lateral overload and causes the UIV’s speed to deviate from its target line of sight. The value of R 1 R 2 represents the magnitude of the deviation of R 1 from R 2 . The larger the value, the farther the deviation of the UIV from the line of sight of the target, and the greater the range of maneuver. Conversely, the smaller the value of R 1 R 2 , the smaller the range of maneuver. So, the minimum value of R 1 R 2 in this guidance algorithm cannot be zero. R 1 R 2 = 0 means that there is no evasion maneuver guidance. In theory, the value of R 1 R 2 can be infinite, but due to the limitation of the maneuverability of the UIV itself, even if the value is large, the guidance system cannot track R 1 . So, we give the maximum value R 1 R 2 V T d / 2 .
In this study, we designed the expected distance shown in Equation (7) and validated it through simulations.
R 1 ( t ) = R 2 + ε 1 V sign [ sin ( w t ) ] ε 2 V
Here, ε 1 > 0 , ε 2 > 0 , and w > 0 . ε 1 and ε 2 are mainly used to set the amplitude of the expected distance. w > 0 is a given trigonometric frequency that determines the frequency of the amplitude change of R 1 . The above equation uses the sign function to construct a rectangular wave pattern of step-wise changes, and by combining Equations (7) and (5), we can derive
R 1 ( t ) = V T d t T d = T d + ε 1 sign [ sin ( w t ) ] ε 2
From Equation (8), it can be seen that T d changes over time according to certain rules. This setting method makes R 1 a bounded function of R 2 , where the deviation from R 2 is not significant. This ensures that the UIV will not lose sight of the target. In addition to designing functions that meet the requirements using the sign function as shown in Equation (7), we can also design functions using trigonometric functions, pulse functions, and so on.

4.3. The Idea of Time Segmentation Control with Evasion Maneuvers for the Attacking Time

This paper is based on the concept of time segmentation control, which divides the terminal guidance phase of each UIV in the multi-UIV cooperative attack into the evasion maneuver guidance phase and time segmentation control guidance phase. In the time segmentation control guidance phase, the time segmentation control is converted into a tracking control of the desired distance. By designing a proper guidance law a c , the actual distance r between the UIV and the target is controlled to track the desired distance R 2 that increases linearly. This ensures that the missile hits the target at the fixed attack time, guaranteeing both the guidance accuracy of the guidance system and the time segmentation control requirements.
During the evasion maneuver guidance phase, under the same guidance law a c , the desired distance R 2 , which is designed to change over time and stay in close proximity to the deviation R 1 , ensures that the intelligent underwater vehicles tracking control r R 1 process does not lose the target while causing the UIV’s pitch angle to vary at a particular, rhythmic rate, thus enabling each UIV to execute evasion maneuvers while attacking its objective.
The entire process flowchart of the intelligent underwater vehicles adopting the attack time segmentation control strategy with evasion maneuvers is depicted in Figure 4.

4.4. Guidance Law Design

Next, an appropriate guidance law a c is designed for the system in Equation (4) to control r tracking the desired distance between the intelligent body and the target. The control law is designed using the feedback linearization method.
A set of new state variables are defined as follows:
z 1 = R r z 2 = z ˙ 1
Based on the assumptions mentioned above, the speed of the intelligent underwater vehicles is constant; then, V ˙ = 0 . The new state equation becomes
z ˙ 1 = z 2 z ˙ 2 = V sin η V sin η     V T sin η T r a V
Based on the input-state linearization approach [20], the following control law is designed for the elimination of the nonlinear part.
a = 1 sin η V 2 sin 2 η r + v V V T sin η sin η T r
where v can be considered as an equivalent input quantity (i.e., v determines and a determines). Thus, the linearized relationship can be obtained.
z ˙ 1 = z 2 z ˙ 2 = v
By introducing new state variables, the original nonlinear system has been transformed into a linear system. The linear state feedback control law is taken as
v = k 1 z 1 k 2 z 2
where k 1 , k 2 is the feedback gain. By choosing appropriate values, we can arbitrarily configure the closed-loop system poles and stabilize the system. Converting the equivalent input to the original input, considering the two-stage control strategy, by combining Equations (5) and (8), the transformed original control input becomes
a = V 2 sin η     V 2 V T sin η T r + V k 1 V T d     t     r     k 2 V V     V T cos η T   +   V cos η sin η t t m a = V 2 sin η     V 2 V T sin η T r + V k 1 V T d     t     r     k 2 V V     V T cos η T   +   V cos η sin η t < t m
The parameter with subscript T is related to the target, and the parameter without subscript is related to the IUV. a is the original control input. t is guidance time. V T and V are the velocities of the target and IUV, respectively. η T and η are the leading angles of the target and IUV, respectively. k 1 , k 2 is the feedback gain. r is the actual distance between the IUV and the target. T d is the fixed impact time during the evasion maneuver guidance. T d is the fixed impact time during the time-control guidance. t m is the time points at which the guidance process is divided. When t t m , the IUV performs the time-control guidance. Otherwise, the IUV performs evasion maneuver guidance.
Based on the analytical Formula (14), it is found that a singularity occurs when r = 0 or η = 0 . Consider the following:
(1) When η = 0 , an infinitesimal positive number ε = 10 3 can be used instead of it. In this case, the control variable expression can be written as
a = V 2 sin η     V 2 V T sin η T r + V k 1 V T d     t     r     k 2 V V     V T cos η T   +   V cos η sin ε , | R r | 30 and η 0 V 2 V T sin η T r + V k 1 V T d     t     r   +   k 2 V V T cos η T sin ε , | R r | 30 and η = 0 N V q ˙ , | R r | < 30
where R is the designed expected vehicle-to-target distance, E is the selected positive parameter, N is the guide coefficient of the proportion guidance, q is the angular rate of the line-of-sight angle between the UIV and the target.
(2) When r = 0 , this means that the UIV hits the target. However, when it is near zero but not equal to zero, it means the UIV is relatively close to the target, and the control variable would be very large according to Equation (14), which may lead to divergence. For this reason, the guidance law is switched to proportional guidance when the time control precision meets the requirement. Set the guidance law to proportional guidance when | R r | < 10 , i.e.,
a = N V q ˙
N is the proportional guidance coefficient. Combining Equations (14)–(16) gives
a = V 2 sin η     V 2 V T sin η T r + V k 1 [ V ( T d     t )     r ]     k 2 V [ V     V T cos η T   +   V cos η ] sin ε , R r 10 and η 0 V 2 V T sin η T r + V k 1 [ V ( T d     t )     r ]   +   k 2 V V T cos η T sin ε , R r 10 and η = 0 N V q ˙ , R r < 10 t t m
where a is the original control input. t is guidance time. V T and V are the velocities of the target and IUV, respectively. η T and η are the leading angles of the target and IUV, respectively. k 1 , k 2 are the feedback gain. r is the actual distance between the IUV and the target. T d is the fixed impact time during the evasion maneuver guidance. T d is the fixed impact time during the time-control guidance. t m is the time points at which the guidance process is divided. R is the designed expected vehicle-to-target distance, E is the selected positive parameter, N is the guide coefficient of the proportion guidance, and q is the angular rate of the line-of-sight angle between the UIV and the target.

5. Simulation and Validates

In this section, we describe simulation studies conducted on precise attacks against multiple IUVs and time-coordinated guidance laws. We established a simulation environment based on MATLAB R2022a and the Simulink toolbox. We conducted the experiments on a Windows 11 operating system equipped with an i7 10857H 2.3 GHz CPU and 32 GB RAM. The parameters of a single UIV refer to a certain torpedo, which is the same as [21,22], and the specific parameters are shown in Table 1.
Assume that four underwater vehicles cooperatively attack the same target vessel. Each vehicle has a velocity of V = 26 m / s , and its control command is limited. The target vessel is located at the origin (0, 0). The initial location and the initial parameter of each underwater vehicle’s flight path angle are shown in Table 2. Assuming that the target’s moving velocity is V T = 10 m / s , the guidance time for each vehicle to reach the target is estimated according to Equation (2). The requirement is that the four vehicles arrive at the target at the fixed attack time T d = 26 s, where the corresponding guidance parameters are set as k 1 = 2 / 3 , k 2 = 1 / 9 , and N = 3 , and the maximum lateral acceleration limit of each vehicle is 80 m / s 2 .
In the proposed guidance law, the selection of feedback gains k 1 and k 2 is pivotal. Analyzing the closed-loop pole positions is essential to guarantee stability, ensuring the poles reside in the left half of the complex plane. Balancing k 1 and k 2 is crucial, as values that are too high can cause oscillations, while values that are too low may lead to sluggish or unstable responses. Ultimately, the choice of the k 1 , k 2 values requires a comprehensive consideration of stability and experimental and simulation results to achieve optimal system performance. The proportional navigation coefficient N, commonly set at 3 due to its high reliability and robustness in engineering applications, serves as a critical factor in shaping the UIV’s trajectory based on target-vehicle positioning. While N typically ranges from 3 to 5, the specific value chosen is tailored to the performance requirements of the system. In different scenarios, the optimal N value may vary, necessitating parameter optimization and thorough testing to achieve the desired performance.
Under the same initial simulation conditions, a simulation comparison was conducted between the segmented control strategy proposed in this paper, as depicted in Figure 5, and the guidance law for cooperative attack time control with evasion maneuver and target compensation designed in this paper, as well as the classical proportional guidance method. The simulation results confirmed that the UIV could perform both accurate strikes and evasion maneuvers.
Under the above simulation conditions, the simulation data, as shown in Table 3, and the corresponding simulation curves are given in Figure 6 and Figure 7, respectively, for the method in the literature and the proposed method.
From the simulation data in Table 2, it is clear that when the proportional guidance law is applied for guidance, the average deviation of the four UIVs is 0.54 m and the average attack time is 20.98 s, which means that the UIVs cannot simultaneously saturate the target at the fixed attack time.
When the four UIVs adopted the guidance law designed in this paper, under the condition of their own movement, the average deviation of the four UIVs was 0.28 m, and the maximum difference between the actual attack time and the fixed attack time was 0.065 s; thus, the average attack time error was 0.05 s. Without their own movements, the average deviation of the four UIVs was 0.33 m, and the maximum difference between the actual attack time and the fixed attack time was 0.05 s, while the average attack time error was 0.049 s. Because the intelligent underwater vehicles perform maneuvering while navigating, the cruise time of the UIV will change significantly under constant speed. However, as can be seen from the comparison between the two simulations, the difference in the time of simultaneous attack under the segmented control strategy was only 0.003 s, and the guidance accuracy was also improved by 0.05 m, which shows that adding the UIV’s own maneuver does not reduce the guidance accuracy, and the impact on the UIV’s fixed attack time is also small.
Therefore, by comparing the results of the different simulation conditions, it can be seen that the guidance law designed in this paper has advantages over the common proportional guidance in terms of both guidance accuracy and attack time control. Furthermore, the segmentation control strategy designed in this paper allows for the UIV to perform its own maneuver without affecting the guidance accuracy and fixed attack time control, as verified by the simulation results, which validates the feasibility and effectiveness of the proposed segmentation control strategy to enable the UIV’s own maneuver.
Figure 6 shows the flight trajectories of the four UIVs and the target, with the end of each trajectory indicating the actual attack time for each UIV. Figure 6a shows the flight trajectories when proportional guidance is employed, with each trajectory representing the path taken by the UIV to reach the target. Figure 6b displays the flight trajectories with the navigation path when the proposed guidance law (including target motion compensation in the feedback control) is employed without maneuvering by the UIVs. In Figure 6c, the UIV employs the proposed segmentation control strategy in addition to the guidance law, allowing for both time control and maneuvering. It is clear from the simulation results that the flight paths in Figure 6a are the smoothest, followed by the ones in Figure 6b, and then those in Figure 6c. The more maneuvering the UIV performs, the more curved its flight path becomes. This is mainly because the guidance law with time control causes the UIVs to consume more time, which is not required, to achieve simultaneous attacks.
Under the same simulation conditions, the trajectories are shown in Figure 6c, and Figure 7 is presented for the other state parameters. Figure 7a shows the variation of the guidance commands a i for each UIV. Before the time of 14 s, the guidance commands are saturated to the maximum value 80 m/ s 2 , as shown in Figure 7a, to force the UIVs to maneuver and avoid the target. This is because to perform the maneuvering, the UIVs need to force a change in their velocity directions. This is also reflected in the variation of pitch angle, as shown in Figure 7c. All UIVs in the underwater environment have had their flight trends modified by forcing them to change their directions. As a result, the guidance commands are used to track the changing flight trajectory, and the UIVs are forced to use their maximum lateral acceleration. In other words, the UIVs consume their load to achieve maneuvering, which is a trade-off.
The distance between each UIV and the target as shown in Figure 7b reflects the effectiveness of the guidance law designed in this study. It can be seen that the guidance law controls the distance r i between each UIV and the target to track the desired distance R. Because the control strategy is a segmented control, the distance R is not a constant that changes with time. It corresponds to the control strategy shown in Figure 5. During the first half, when t < 12 s, the guidance law controls the desired distance between the UIV and the target to achieve the UIV’s own maneuvering, while during the second half, when t > 12 s, it is used to accomplish precision strikes and control the attack time. From Figure 7b, it is easy to see the trend of the desired distance between the UIV and the target over time, and Figure 7c shows the difference between the desired distance and the actual distance, which eventually converges to zero. This indicates that each UIV can eventually hit the target with precision.
During the simulation process, a certain amount of disturbances is introduced at the control input of the system to simulate various uncertainties that the guidance model might encounter in real-world environments. Figure 7e,f depict the control input and distance tracking curves under a given white disturbance, respectively. A comparison between the simulation plots without the disturbance and with the addition of the disturbance reveals that, despite the presence of the disturbance, the system’s output remains relatively stable and successfully tracks the target. This result demonstrates comprehensively that the guidance system designed in the paper can effectively cope with external disturbances, possessing high robustness and stability.
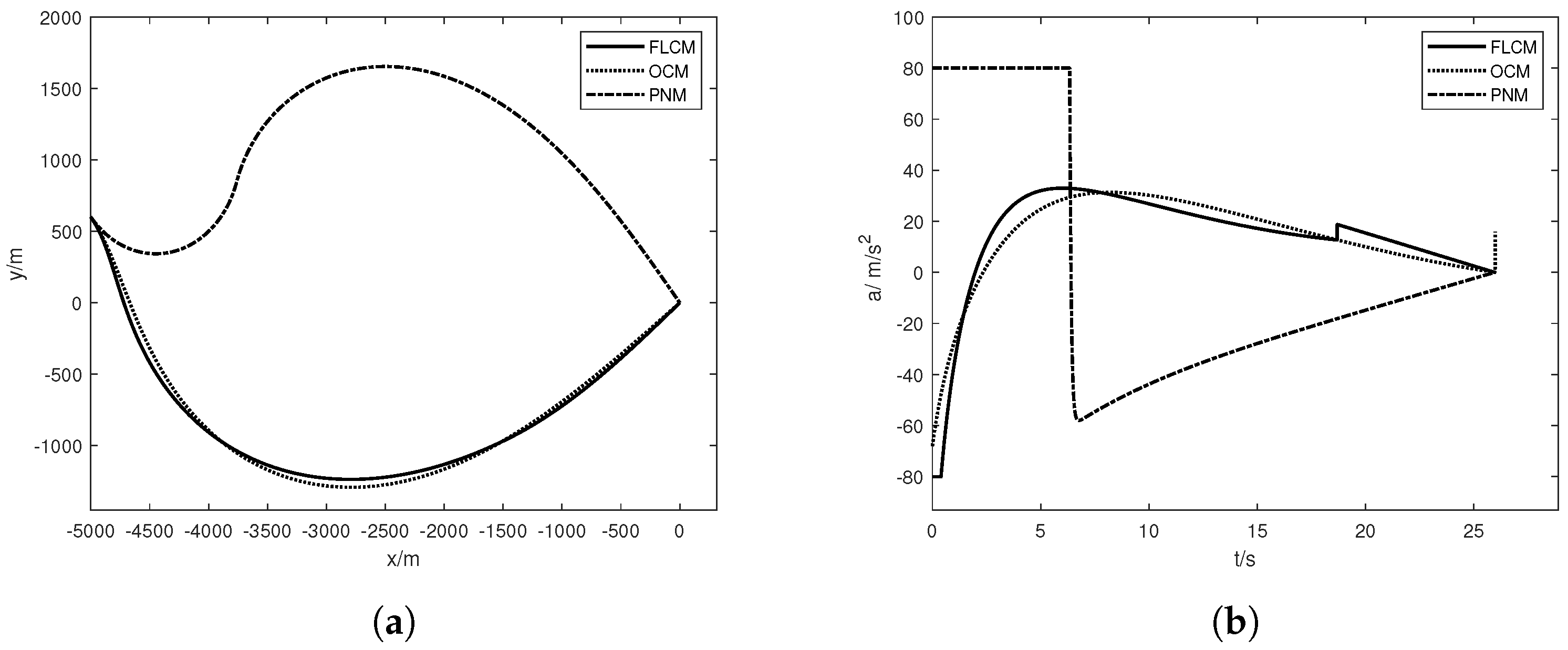
To further validate the effectiveness and superiority of the time-controlled guidance algorithm proposed in this paper, the feedback linearization control method (FLCM) is employed. Under the same simulation conditions, a comparative simulation is conducted specifically for the first UIV with different guidance methods. The compared approaches include the optimal control method (OCM) from [16] and the time-controlled proportional navigation method (PNM) utilized in [23], which incorporates maneuver control terms on top of classical proportional navigation for time control. The comparative simulation results are depicted in Figure 8.
From Figure 8a, it can be observed that all three methods can adjust the navigation time by maneuvering appropriately. The trajectories of the FLCM and the OCM are quite similar, while the PNM yields slightly curved trajectories, implying that larger control inputs are required for UIV during time control, as corroborated in Figure 8b, where PNM exhibits substantial control inputs at the outset. Compared with the other two methods, the FLCM adjusts the attitude relatively faster at the initiation of guidance but at the expense of greater control inputs. Throughout the guidance process, the variation in control inputs is relatively smooth, aiding in alleviating the burden on the guidance system and enhancing system stability, particularly towards the end of guidance, where there is no tendency for control inputs to increase, as observed in the optimal control method, further demonstrating the superiority of the approach proposed in this paper.

6. Conclusions

This paper investigates time-coordinated guidance with evasive maneuvers for multiple UIVs. An innovative segmented control strategy is introduced, which is a key contribution of this paper and effectively reduces the decrement in guidance precision caused by evasion maneuvers. The proposed segmented control strategy divides the UIV’s terminal guidance phase into two stages: evasion maneuver guidance and time-control guidance. The first stage primarily focuses on executing the UIV’s self-evasion maneuvers to enhance its penetration probability, while the second stage aims to maintain guidance precision to ensure the UIV’s successful hit on the target, while also achieving fixed impact-time control. The segmented control strategy for evasion maneuvers and time control holds theoretical and practical significance for the mid-course planning of the UIV’s trajectory, terminal evasion maneuvers, and coordinated attack timing. It is of great practical importance in the guidance and combat process for the UIV to effectively evade the opponent’s interceptors.
The segmented control strategy proposed in this paper has shown remarkable results in resolving the issue of decreased guidance precision due to UIV evasion maneuvers. However, there are limitations to consider, such as computation complexity, sensitivity to parameters, and adaptability to different environments. To further refine and optimize the strategy, future work will focus on reducing the computational complexity, enhancing the robustness of different parameter settings, and improving the strategy’s adaptability within complex and dynamic underwater conditions. Additionally, the strategy’s performance will be evaluated through experimental validation, and the guidance algorithm will be further optimized based on these experimental outcomes. These future directions will provide significant support for enhancing the combat effectiveness and intelligence level of UIVs.

Author Contributions

Conceptualization, Z.F.; methodology, Z.F. and L.S.; software, H.D.; validation, B.L.; formal analysis, L.F.; investigation, L.F.; resources, Z.F.; data curation, L.F.; writing—original draft preparation, Z.F.; writing—review and editing, H.D. and L.S.; visualization, B.L.; supervision, H.D. and L.S.; project administration, L.S.; funding acquisition, L.S. All authors have read and agreed to the published version of the manuscript.

Funding

This research was funded by the Key Laboratory Fund of National Defense Science and Technology under Grant 2022JCJQLB03308, the Joint Fund of Equipment Pre-Research and Ministry of Education under Grant 8091B022235, the National Natural Science Foundation of China under Grant 62203299, and the Oceanic Interdisciplinary Program of Shanghai Jiao Tong University under Grants SL2022MS010.

Institutional Review Board Statement

Not applicable.

Informed Consent Statement

Not applicable.

Data Availability Statement

Data are contained within the article.

Conflicts of Interest

The authors declare no conflicts of interest.

References

  1. Cheng, R.F.; Liu, W.D.; Gao, L.E.; Kang, Z.Q. Differential game trajectory optimization based on receding horizon control for multiple constraints tracking systems with additive disturbance. J. Shanghai Jiaotong Univ. 2017, 51, 1473–1479. [Google Scholar]
  2. Su, X.; Xiang, X.B.; Dong, D.L.; Zhang, J.L. Visual LOS guided docking of over-actuated underwater vehicle. In Proceedings of the Global Oceans 2020: Singapore–US Gulf Coast, Biloxi, MS, USA, 5–30 October 2020. [Google Scholar]
  3. Yuan, C.R.; Shuai, C.G.; Fang, Y.; Ma, J.G. A novel real-time obstacle avoidance method in guidance layer for AUVs’ path following. IEEE Trans. Veh. Technol. 2024, 73, 1845–1856. [Google Scholar] [CrossRef]
  4. Liang, Z.S.; Feng, X.A. Design on adaptive weighted guidance law for underwater vehicle tracking target. J. Northwestern Polytech. Univ. 2021, 39, 302–308. [Google Scholar] [CrossRef]
  5. Xu, L.; Zhai, Y.Y.; Ji, D.X.; Ye, Z.Y.; Zhu, S.M.; Zhang, Y.; Li, G.N. A new path following method of AUV using line-of-sight with sideway. In Proceedings of the 2022 IEEE Bombay Section Signature Conference (IBSSC), Mumbai, India, 8–10 December 2022. [Google Scholar]
  6. Vu, M.T.; Thanh, H.L.N.N.; Huynh, T.-T.; Thang, Q.; Duc, T.; Hoang, Q.-D.; Le, T.H. Station-keeping control of a hovering over-actuated autonomous underwater vehicle under ocean current effects and model uncertainties in horizontal plane. IEEE Access 2021, 9, 6855–6867. [Google Scholar] [CrossRef]
  7. Vu, M.T.; Le, T.-H.; Thanh, H.L.N.N.; Huynh, T.-T.; Van, M.; Hoang, Q.-D.; Do, T.D. Robust Position Control of an Over-actuated Underwater Vehicle under Model Uncertainties and Ocean Current Effects Using Dynamic Sliding Mode Surface and Optimal Allocation Control. Sensors 2021, 21, 747. [Google Scholar] [CrossRef]
  8. Yu, D.; Wang, H.J.; Huang, W.Q.; Huang, S.H. Application of extended game in Multi-UUV pursuit-escape task. In Proceedings of the International Conference on Offshore Mechanics and Arctic Engineering, Melbourne, Australia, 11–16 June 2023. [Google Scholar]
  9. Qi, X.; Cai, Z.J. Cooperative pursuit control for multiple underactuated underwater vehicles with time delay in three-dimensional Space. Robotica 2021, 39, 1101–1115. [Google Scholar] [CrossRef]
  10. Yang, N.K.; Shen, C.; Wang, H.J.; Song, Z.Y.; Johnson-Roberson, M.; Sun, J. Robust energy-optimal control for 3-D path-following of autonomous underwater vehicles under ocean currents. IEEE Trans. Control Syst. Technol. 2024, 32, 680–687. [Google Scholar] [CrossRef]
  11. Lu, X.; Zhao, N.N.; Yang, J.N.; Chen, Y.M.; Gao, J.; Fan, H. Time-cooperative guidance with impact angle constraint for multiple autonomous underwater vehicles. In Proceedings of the OCEANS 2023–Limerick, Limerick, Ireland, 5–8 June 2023. [Google Scholar]
  12. Li, Y.L.; Liu, C.L.; Zhang, Y.; Chen, Y.Y. Fixed-time anti-disturbance average-tracking for multi-UIV systems without velocity measurements. J. Syst. Sci. Complex. 2024, 37, 985–1002. [Google Scholar] [CrossRef]
  13. Wang, X.F.; Zhang, Y.W.; Tian, Z. Cooperative guidance and control law based on decentralized communication topology. Trans. Beijing Inst. Technol. 2018, 38, 593–599. [Google Scholar]
  14. Sinha, A.; Kumar, S.R. Super-twisting control based impact time constrained guidance. In Proceedings of the AIAA SciTech 2020 Forum, Orlando, FL, USA, 6–10 January 2020. [Google Scholar]
  15. Mao, N. Multi-missile cooperative guidance based on fast consistency theory. J. Ordnance Equip. Eng. 2021, 5, 228–234. [Google Scholar]
  16. Jeon, I.S.; Lee, J.I.; Tahk, M.J. Impact-time-control guidance law for anti-ship missiles. IEEE Trans. Control Syst. Technol. 2006, 14, 260–266. [Google Scholar] [CrossRef]
  17. Fan, Z.E. Study on vertical attack penetration probability of anti-ship missile. In Proceedings of the IEEE International Conference on Artificial Intelligence and Computer Applications, Dalian, China, 29–31 March 2019. [Google Scholar]
  18. Zhang, Y.A.; Zhang, Y.G.; Peng, J. An impact-time-control cooperative guidance law for multi-missiles. J. Nav. Aeronaut. Astronaut. Univ. 2009, 24, 34–38. [Google Scholar]
  19. Fan, Z.E. Optimal Guidance with Impact Angle Control Based Time-to-Go Estimation; Lecture Notes in Electrical Engineering; Springer: Singapore, 2023; Volume 845, pp. 104–114. [Google Scholar]
  20. He, L.Y. The Theory and Application of Nonlinear Control; Tsinghua University Press: Beijing, China, 2021. [Google Scholar]
  21. McMahon, J.; Plaku, E. Mission and motion planning for autonomous underwater vehicles operating in spatially and temporally complex environments. IEEE J. Ocean. Eng. 2016, 41, 893–912. [Google Scholar] [CrossRef]
  22. Zhang, T.; Li, Q.; Zhang, C.S.; Liang, H.W.; Li, P.; Wang, T.M.; Li, S.; Zhu, Y.L.; Wu, C. Current trends in the unmanned autonomous systems. Front. Inf. Technol. Electron. Eng. 2017, 18, 68–85. [Google Scholar] [CrossRef]
  23. Wu, F.; Chang, S.J.; Chen, S.F. Impact time control guidance law based on terminal sliding mode theory. J. Ordnance Equip. Eng. 2018, 41, 2334–2342. [Google Scholar]
Figure 1. Sketch of the underwater intelligent vehicles’ cooperative attack.
Figure 1. Sketch of the underwater intelligent vehicles’ cooperative attack.
Jmse 12 01018 g001
Figure 2. The relative motion relationship between the underwater intelligent vehicle and target.
Figure 2. The relative motion relationship between the underwater intelligent vehicle and target.
Jmse 12 01018 g002
Figure 3. Sketch of the expected distance between the missile and target.
Figure 3. Sketch of the expected distance between the missile and target.
Jmse 12 01018 g003
Figure 4. The flow chart of subsection control.
Figure 4. The flow chart of subsection control.
Jmse 12 01018 g004
Figure 5. The strategy of T d subsection control.
Figure 5. The strategy of T d subsection control.
Jmse 12 01018 g005
Figure 6. The sailing trochoid of the intelligent vehicles and target. (a) The proportion guidance law. (b) The method of this paper (without maneuver). (c) The method of this paper (with maneuver).
Figure 6. The sailing trochoid of the intelligent vehicles and target. (a) The proportion guidance law. (b) The method of this paper (without maneuver). (c) The method of this paper (with maneuver).
Jmse 12 01018 g006
Figure 7. The graph of coordinated attack guidance simulation. (a) The graph of control parameter of intelligent vehicles. (b) The graph of distance between intelligent vehicles and target. (c) The graph of lead angle of intelligent vehicles. (d) The graph of R r error of intelligent vehicles. (e) The graph of control parameter of intelligent vehicles under disturbances. (f) The graph of R r error of intelligent vehicles under disturbances.
Figure 7. The graph of coordinated attack guidance simulation. (a) The graph of control parameter of intelligent vehicles. (b) The graph of distance between intelligent vehicles and target. (c) The graph of lead angle of intelligent vehicles. (d) The graph of R r error of intelligent vehicles. (e) The graph of control parameter of intelligent vehicles under disturbances. (f) The graph of R r error of intelligent vehicles under disturbances.
Jmse 12 01018 g007
Figure 8. Results of method comparison. (a) The sailing trochoid of intelligent vehicles. (b) The graph of control parameter of intelligent vehicles.
Figure 8. Results of method comparison. (a) The sailing trochoid of intelligent vehicles. (b) The graph of control parameter of intelligent vehicles.
Jmse 12 01018 g008
Table 1. The simulation parameters of the UIV.
Table 1. The simulation parameters of the UIV.
Length (m)Diameter (mm)Speed (m/s)Detect Distance (m)
6.355326>3000
Table 2. The initial condition of the multi-intelligent vehicle coordinated attack.
Table 2. The initial condition of the multi-intelligent vehicle coordinated attack.
Intelligent VehicleCoordinate (m)The Trajectory Angle θ 0 ( )
U1(−5000, 600)−50
U2(−3500, −3100)30
U3(−1600, −4500)65
U4(2300, −4100)105
Table 3. The simulation data of the multiple intelligent vehicles’ coordinated attack.
Table 3. The simulation data of the multiple intelligent vehicles’ coordinated attack.
The Intelligent VehicleTarget-Missing Quantity/mThe Attacking Time/s
The Method of
This Paper
(with Maneuver)
The Method of
This Paper
(without Maneuver)
The Proportion
Guidance
The Method of
This Paper
(with Maneuver)
The Method of
This Paper
(without Maneuver)
The Proportion
Guidance
U10.260.460.3625.9925.95522.305
U20.480.220.9725.93525.9520.325
U30.100.320.2325.9525.9520.945
U40.290.320.6125.9425.9520.635
Disclaimer/Publisher’s Note: The statements, opinions and data contained in all publications are solely those of the individual author(s) and contributor(s) and not of MDPI and/or the editor(s). MDPI and/or the editor(s) disclaim responsibility for any injury to people or property resulting from any ideas, methods, instructions or products referred to in the content.

Share and Cite

MDPI and ACS Style

Fan, Z.; Ding, H.; Feng, L.; Li, B.; Song, L. Research on Time-Cooperative Guidance with Evasive Maneuver for Multiple Underwater Intelligent Vehicles. J. Mar. Sci. Eng. 2024, 12, 1018. https://doi.org/10.3390/jmse12061018

AMA Style

Fan Z, Ding H, Feng L, Li B, Song L. Research on Time-Cooperative Guidance with Evasive Maneuver for Multiple Underwater Intelligent Vehicles. Journal of Marine Science and Engineering. 2024; 12(6):1018. https://doi.org/10.3390/jmse12061018

Chicago/Turabian Style

Fan, Zuoe, Hao Ding, Linping Feng, Bochen Li, and Lei Song. 2024. "Research on Time-Cooperative Guidance with Evasive Maneuver for Multiple Underwater Intelligent Vehicles" Journal of Marine Science and Engineering 12, no. 6: 1018. https://doi.org/10.3390/jmse12061018

APA Style

Fan, Z., Ding, H., Feng, L., Li, B., & Song, L. (2024). Research on Time-Cooperative Guidance with Evasive Maneuver for Multiple Underwater Intelligent Vehicles. Journal of Marine Science and Engineering, 12(6), 1018. https://doi.org/10.3390/jmse12061018

Note that from the first issue of 2016, this journal uses article numbers instead of page numbers. See further details here.

Article Metrics

Back to TopTop