Seasonal Phytoplankton Characteristics Related with Region-Specific Coastal Environments in the Korean Peninsula
Abstract
1. Introduction
2. Materials and Methods
2.1. Field Sampling
2.2. Sample Analyses
2.3. Remote Sensing Analyses
2.4. Statistical Analysis
3. Results
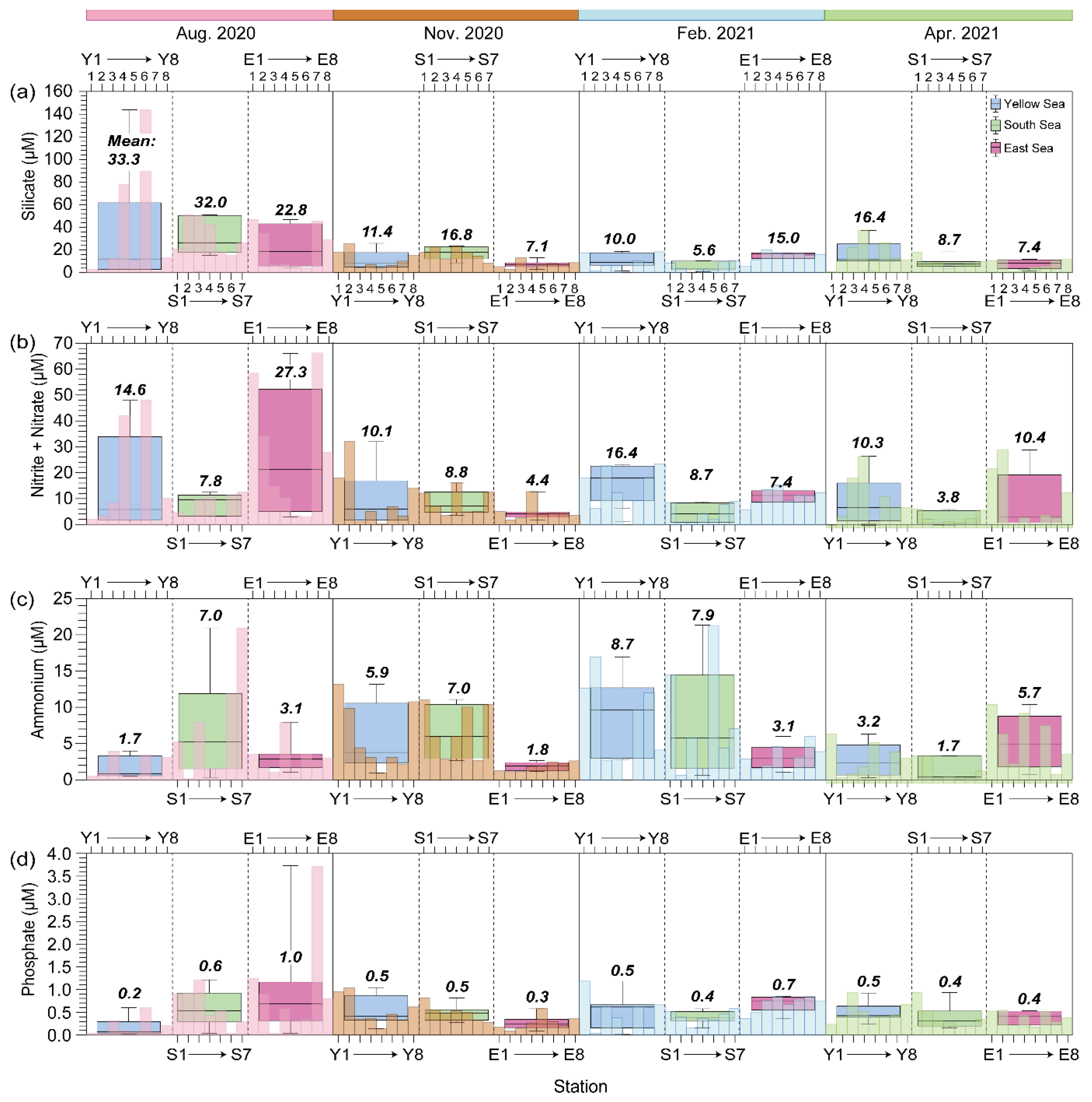
3.1. Environmental Factors in Three Geographical Regions
3.2. Biological Factors and Phytoplankton Community in Each Coastal Region
3.3. Seasonality of Abiotic and Biotic Factors in Korean Coastal Waters
4. Discussion
5. Summaries and Conclusions
Author Contributions
Funding
Institutional Review Board Statement
Informed Consent Statement
Data Availability Statement
Acknowledgments
Conflicts of Interest
References
- Cloern, J.E.; Foster, S.Q.; Kleckner, A.E. Phytoplankton primary production in the world’s estuarine-coastal ecosystems. Biogeosciences 2014, 11, 2477–2501. [Google Scholar] [CrossRef]
- Naselli-Flores, L.; Padisák, J. Ecosystem services provided by marine and freshwater phytoplankton. Hydrobiologia 2023, 850, 2691–2706. [Google Scholar] [CrossRef] [PubMed]
- Basu, S.; Mackey, K.R. Phytoplankton as key mediators of the biological carbon pump: Their responses to a changing climate. Sustainability 2018, 10, 869. [Google Scholar] [CrossRef]
- Ramesh, R.; Chen, Z.; Cummins, V.; Day, J.; D’elia, C.; Dennison, B.; Forbes, D.; Glaeser, B.; Glaser, M.; Glavovic, B. Land–ocean interactions in the coastal zone: Past, present & future. Anthropocene 2015, 12, 85–98. [Google Scholar]
- Neumann, B.; Vafeidis, A.T.; Zimmermann, J.; Nicholls, R.J. Future coastal population growth and exposure to sea-level rise and coastal flooding-a global assessment. PLoS ONE 2015, 10, e0118571. [Google Scholar] [CrossRef] [PubMed]
- Cloern, J.E. Our evolving conceptual model of the coastal eutrophication problem. Mar. Ecol.-Prog. Ser. 2001, 210, 223–253. [Google Scholar] [CrossRef]
- Thompson, P.A.; Bonham, P.I.; Swadling, K.M. Phytoplankton blooms in the Huon Estuary, Tasmania: Top-down or bottom-up control? J. Plankton Res. 2008, 30, 735–753. [Google Scholar] [CrossRef]
- Guinder, V.A.; Popovich, C.A.; Molinero, J.C.; Marcovecchio, J. Phytoplankton summer bloom dynamics in the Bahía Blanca Estuary in relation to changing environmental conditions. Cont. Shelf Res. 2013, 52, 150–158. [Google Scholar] [CrossRef]
- Baek, S.H.; Son, M.; Kim, D.; Choi, H.W.; Kim, Y.O. Assessing the ecosystem health status of Korea Gwangyang and Jinhae bays based on a planktonic index of biotic integrity (P-IBI). Ocean Sci. J. 2014, 49, 291–311. [Google Scholar] [CrossRef]
- Gobler, C.J.; Berry, D.L.; Dyhrman, S.T.; Wilhelm, S.W.; Salamov, A.; Lobanov, A.V.; Zhang, Y.; Collier, J.L.; Wurch, L.L.; Kustka, A.B. Niche of harmful alga Aureococcus anophagefferens revealed through ecogenomics. Proc. Natl. Acad. Sci. USA 2011, 108, 4352–4357. [Google Scholar] [CrossRef]
- Alexander, H.; Rouco, M.; Haley, S.T.; Wilson, S.T.; Karl, D.M.; Dyhrman, S.T. Functional group-specific traits drive phytoplankton dynamics in the oligotrophic ocean. Proc. Natl. Acad. Sci. USA 2015, 112, E5972–E5979. [Google Scholar] [CrossRef] [PubMed]
- Litchman, E.; Edwards, K.F.; Klausmeier, C.A.; Thomas, M.K. Phytoplankton niches, traits and eco-evolutionary responses to global environmental change. Mar. Ecol. -Prog. Ser. 2012, 470, 235–248. [Google Scholar] [CrossRef]
- Brun, P.; Vogt, M.; Payne, M.R.; Gruber, N.; O’brien, C.J.; Buitenhuis, E.T.; Le Quéré, C.; Leblanc, K.; Luo, Y.W. Ecological niches of open ocean phytoplankton taxa. Limnol. Oceanogr. 2015, 60, 1020–1038. [Google Scholar] [CrossRef]
- Alexander, H.; Jenkins, B.D.; Rynearson, T.A.; Dyhrman, S.T. Metatranscriptome analyses indicate resource partitioning between diatoms in the field. Proc. Natl. Acad. Sci. USA 2015, 112, E2182–E2190. [Google Scholar] [CrossRef]
- Lie, H.J.; Cho, C.H. Seasonal circulation patterns of the Yellow and East China Seas derived from satellite-tracked drifter trajectories and hydrographic observations. Prog. Oceanogr. 2016, 146, 121–141. [Google Scholar] [CrossRef]
- Chang, Y.; Chan, J.W.; Huang, Y.C.A.; Lin, W.Q.; Lee, M.A.; Lee, K.T.; Liao, C.H.; Wang, K.Y.; Kuo, Y.C. Typhoon-enhanced upwelling and its influence on fishing activities in the southern East China Sea. Int. J. Remote Sens. 2014, 35, 6561–6572. [Google Scholar] [CrossRef]
- Jin, X.; Tang, Q. Changes in fish species diversity and dominant species composition in the Yellow Sea. Fish Res. 1996, 26, 337–352. [Google Scholar] [CrossRef]
- Isoda, Y.; Saitoh, S.I. The northward intruding eddy along the east coast of Korea. J. Oceanogr. 1993, 49, 443–458. [Google Scholar] [CrossRef]
- Mitchell, D.; Watts, D.; Wimbush, M.; Teague, W.; Tracey, K.; Book, J.; Chang, K.I.; Suk, M.S.; Yoon, J.H. Upper circulation patterns in the Ulleung Basin. Deep-Sea Res. Part II Top. Stud. Oceanogr. 2005, 52, 1617–1638. [Google Scholar] [CrossRef]
- Lee, J.Y.; Kang, D.J.; Kim, I.N.; Rho, T.; Lee, T.; Kang, C.K.; Kim, K.R. Spatial and temporal variability in the pelagic ecosystem of the East Sea (Sea of Japan): A review. J. Mar. Syst. 2009, 78, 288–300. [Google Scholar] [CrossRef]
- Chang, K.I.; Teague, W.; Lyu, S.; Perkins, H.; Lee, D.K.; Watts, D.; Kim, Y.B.; Mitchell, D.; Lee, C.; Kim, K. Circulation and currents in the southwestern East/Japan Sea: Overview and review. Prog. Oceanogr. 2004, 61, 105–156. [Google Scholar] [CrossRef]
- Baek, S.H.; Lee, M.; Park, B.S.; Lim, Y.K. Variation in phytoplankton community due to an autumn typhoon and winter water turbulence in southern Korean coastal waters. Sustainability 2020, 12, 2781. [Google Scholar] [CrossRef]
- Lee, M.; Park, B.S.; Baek, S.H. Tidal influences on biotic and abiotic factors in the Seomjin River Estuary and Gwangyang Bay, Korea. Estuaries Coasts 2018, 41, 1977–1993. [Google Scholar] [CrossRef]
- Baek, S.H.; Kim, D.; Kim, Y.O.; Son, M.; Kim, Y.-J.; Lee, M.; Park, B.S. Seasonal changes in abiotic environmental conditions in the Busan coastal region (South Korea) due to the Nakdong River in 2013 and effect of these changes on phytoplankton communities. Cont. Shelf Res. 2019, 175, 116–126. [Google Scholar] [CrossRef]
- Lim, Y.K.; Hong, S.; Lee, C.H.; Kim, M.G.; Baek, S.H. Influence of region-specific marine environments on phytoplankton and bacterial communities in the Korean coastal waters during winter. Ocean Sci. J. 2024. in submitted. [Google Scholar]
- Sournia, A. Phytoplankton Manual; United Nations Educational, Scientific and Cultural Organization: Paris, France, 1978; ISBN 92-3-101572-9. [Google Scholar]
- Omura, T.; Iwataki, M.; Borja, V.M.; Takayama, H.; Fukuyo, Y. Marine Phytoplankton of the Western Pacific; Kouseisha Kouseikaku: Tokyo, Japan, 2012; p. 160. [Google Scholar]
- Baek, S.H.; Kim, D.; Son, M.; Yun, S.M.; Kim, Y.O. Seasonal distribution of phytoplankton assemblages and nutrient-enriched bioassays as indicators of nutrient limitation of phytoplankton growth in Gwangyang Bay, Korea. Estuar. Coast. Shelf Sci. 2015, 163, 265–278. [Google Scholar] [CrossRef]
- Wang, G.; Cao, W.; Yang, Y.; Zhou, W.; Liu, S.; Yang, D. Variations in light absorption properties during a phytoplankton bloom in the Pearl River estuary. Cont. Shelf Res. 2010, 30, 1085–1094. [Google Scholar] [CrossRef]
- Yoon, J.N.; Lee, M.; Jin, H.; Lim, Y.K.; Ro, H.; Park, Y.G.; Baek, S.H. Summer distributional characteristics of surface phytoplankton related with multiple environmental variables in the Korean coastal waters. J. Mar. Sci. Eng. 2022, 10, 850. [Google Scholar] [CrossRef]
- Marzetz, V.; Spijkerman, E.; Striebel, M.; Wacker, A. Phytoplankton community responses to interactions between light intensity, light variations, and phosphorus supply. Front. Environ. Sci. 2020, 8, 539733. [Google Scholar] [CrossRef]
- Chen, Y.; Sun, X.; Zhun, M. Net-phytoplankton communities in the Western Boundary Currents and their environmental correlations. J. Oceanol. Limnol. 2018, 36, 305–316. [Google Scholar] [CrossRef]
- Tan, Y.; Huang, L.; Chen, Q.; Huang, X. Seasonal variation in zooplankton composition and grazing impact on phytoplankton standing stock in the Pearl River Estuary, China. Cont. Shelf Res. 2004, 24, 1949–1968. [Google Scholar] [CrossRef]
- Jin, H.; Zhang, C.; Meng, S.; Wang, Q.; Ding, X.; Meng, L.; Zhuang, Y.; Yao, X.; Gao, Y.; Shi, F.; et al. Atmospheric deposition and river runoff stimulate the utilization of dissolved organic phosphorus in coastal seas. Nat. Commun. 2024, 15, 658. [Google Scholar] [CrossRef]
- Kim, J.H.; Lee, M.; Lim, Y.K.; Kim, Y.J.; Baek, S.H. Occurrence characteristics of harmful and non-harmful algal species related to coastal environments in the southern sea of Korea. Mar. Freshw. Res. 2019, 70, 794–806. [Google Scholar] [CrossRef]
- Yoshida, K.; Chiba, S.; Ishimaru, T. Long-term variation in the wintertime diatom community structure in Tokyo Bay, Japan (1981–2000). Plankton Benthos Res. 2011, 6, 195–205. [Google Scholar] [CrossRef]
- Nishikawa, T.; Hori, Y.; Tanida, K.; Imai, I. Population dynamics of the harmful diatom Eucampia zodiacus Ehrenberg causing bleachings of Porphyra thalli in aquaculture in Harima-Nada, the Seto Inland Sea, Japan. Harmful Algae 2007, 6, 763–773. [Google Scholar] [CrossRef]
- Ito, Y.; Katano, T.; Fujii, N.; Koriyama, M.; Yoshino, K.; Hayami, Y. Decreases in turbidity during neap tides initiate late winter blooms of Eucampia zodiacus in a macrotidal embayment. J. Oceanogr. 2013, 69, 467–479. [Google Scholar] [CrossRef]
- Kaeriyama, H.; Katsuki, E.; Otsubo, M.; Yamada, M.; Ichimi, K.; Tada, K.; Harrison, P.J. Effects of temperature and irradiance on growth of strains belonging to seven Skeletonema species isolated from Dokai Bay, southern Japan. Eur. J. Phycol. 2011, 46, 113–124. [Google Scholar] [CrossRef]
- Yamada, M.; Katsuki, E.; Otsubo, M.; Kawaguchi, M.; Ichimi, K.; Kaeriyama, H.; Tada, K.; Harrison, P.J. Species diversity of the genus Skeletonema (Bacillariophyceae) in the industrial harbor Dokai Bay, Japan. J. Oceanogr. 2010, 66, 755–771. [Google Scholar] [CrossRef]
- Sin, Y.; Lee, E.; Lee, Y.; Shin, K.H. The river–estuarine continuum of nutrients and phytoplankton communities in an estuary physically divided by a sea dike. Estuar. Coast. Shelf Sci. 2015, 163, 279–289. [Google Scholar] [CrossRef]
- Mönnich, J.; Tebben, J.; Bergemann, J.; Case, R.; Wohlrab, S.; Harder, T. Niche-based assembly of bacterial consortia on the diatom Thalassiosira rotula is stable and reproducible. ISME J. 2020, 14, 1614–1625. [Google Scholar] [CrossRef]
- Malviya, S.; Scalco, E.; Audic, S.; Vincent, F.; Veluchamy, A.; Poulain, J.; Wincker, P.; Iudicone, D.; De Vargas, C.; Bittner, L. Insights into global diatom distribution and diversity in the world’s ocean. Proc. Natl. Acad. Sci. USA 2016, 113, E1516–E1525. [Google Scholar] [CrossRef]
- Suzuki, Y.; Takahashi, M. Growth responses of several diatom species isolated from various environments to temperature. J. Phycol. 1995, 31, 880–888. [Google Scholar] [CrossRef]
- Baek, S.H.; Jung, S.W.; Shin, K. Effects of temperature and salinity on growth of Thalassiosira pseudonana (Bacillariophyceae) isolated from ballast water. J. Freshw. Ecol. 2011, 26, 547–552. [Google Scholar]
- Marshall, H.G.; Lacouture, R. Seasonal patterns of growth and composition of phytoplankton in the lower Chesapeake Bay and vicinity. Estuar. Coast. Shelf Sci. 1986, 23, 115–130. [Google Scholar] [CrossRef]
- Tranvik, L.J.; Porter, K.G.; Sieburth, J.M. Occurrence of bacterivory in Cryptomonas, a common freshwater phytoplankter. Oecologia 1989, 78, 473–476. [Google Scholar] [CrossRef]
- Rottberger, J.; Gruber, A.; Boenigk, J.; Kroth, P.G. Influence of nutrients and light on autotrophic, mixotrophic and heterotrophic freshwater chrysophytes. Aquat. Microb. Ecol. 2013, 71, 179–191. [Google Scholar] [CrossRef]
- Klaveness, D. Biology and ecology of the Cryptophyceae: Status and challenges. Biol. Oceanogr. 1989, 6, 257–270. [Google Scholar]
- Pålsson, C.; Granéli, W. Nutrient limitation of autotrophic and mixotrophic phytoplankton in a temperate and tropical humic lake gradient. J. Plankton Res. 2004, 26, 1005–1014. [Google Scholar] [CrossRef]
- Clay, B.L.; Kugrens, P.; Lee, R.E. A revised classification of Cryptophyta. Bot. J. Linnean Soc. 1999, 131, 131–151. [Google Scholar] [CrossRef]











| August 2020 | November 2020 | February 2021 | April 2021 | ||||||
|---|---|---|---|---|---|---|---|---|---|
| Coastal Region | Station Number | * Chl. a | * P.A. | Chl. a | P.A. | Chl. a | P.A. | Chl. a | P.A. |
| Yellow Sea | Y1 | 6.05 | 11.26 | 0.22 | 0.05 | 0.49 | 0.27 | 0.99 | 1.42 |
| Y2 | 3.86 | 4.02 | 0.36 | 0.19 | 3.69 | 5.58 | 0.56 | 1.09 | |
| Y3 | 2.33 | 12.90 | 0.23 | 0.07 | 0.44 | 0.35 | 1.02 | 0.78 | |
| Y4 | 0.54 | 0.86 | 0.29 | 0.28 | 1.08 | 0.33 | 1.58 | 0.86 | |
| Y5 | 1.80 | 0.61 | 0.64 | 0.31 | 2.01 | 0.75 | 0.71 | 0.09 | |
| Y6 | 1.01 | 0.48 | 0.84 | 0.38 | 0.93 | 0.22 | 0.66 | 0.77 | |
| Y7 | 2.20 | 1.58 | 0.46 | 0.01 | 0.26 | 0.24 | 0.53 | 4.57 | |
| Y8 | 2.62 | 1.09 | 0.38 | 0.05 | 0.36 | 0.11 | 0.74 | 2.46 | |
| South Sea | S1 | 0.69 | 0.13 | 0.27 | 0.13 | 0.20 | 0.05 | 0.75 | 0.31 |
| S2 | 5.14 | 0.87 | 0.40 | 0.11 | 0.84 | 0.79 | 0.61 | 1.21 | |
| S3 | 5.73 | 24.76 | 0.82 | 1.15 | 1.54 | 2.51 | 1.21 | 4.12 | |
| S4 | 3.59 | 1.82 | 0.41 | 0.14 | 0.06 | 2.13 | 1.09 | 13.12 | |
| S5 | 1.88 | 4.55 | 0.30 | 0.11 | 0.66 | 0.59 | 0.85 | 11.65 | |
| S6 | 2.44 | 13.61 | 0.48 | 0.23 | 0.12 | 0.23 | 0.48 | 1.28 | |
| S7 | 3.83 | 59.70 | 0.30 | 1.13 | 0.08 | 0.10 | 0.33 | 0.61 | |
| East Sea | E1 | 1.55 | 10.41 | 0.11 | 0.10 | 0.29 | 0.12 | 1.57 | 3.58 |
| E2 | 0.37 | 1.98 | 0.24 | 0.41 | 0.13 | 0.35 | 1.40 | 4.11 | |
| E3 | 0.43 | 4.61 | 3.37 | 7.17 | 0.06 | 0.57 | 0.12 | 0.78 | |
| E4 | 1.87 | 1.75 | 0.48 | 0.53 | 0.07 | 0.21 | 0.19 | 0.56 | |
| E5 | 2.22 | 10.22 | 0.16 | 0.27 | 0.06 | 0.17 | 0.30 | 0.48 | |
| E6 | 0.12 | 0.27 | 0.37 | 0.28 | 0.14 | 0.09 | 0.32 | 0.23 | |
| E7 | 1.34 | 40.41 | 0.22 | 0.20 | 0.12 | 0.23 | 0.24 | 0.52 | |
| E8 | 3.24 | 19.34 | 0.36 | 0.57 | 0.18 | 0.07 | 0.06 | 0.21 | |
Disclaimer/Publisher’s Note: The statements, opinions and data contained in all publications are solely those of the individual author(s) and contributor(s) and not of MDPI and/or the editor(s). MDPI and/or the editor(s) disclaim responsibility for any injury to people or property resulting from any ideas, methods, instructions or products referred to in the content. |
© 2024 by the authors. Licensee MDPI, Basel, Switzerland. This article is an open access article distributed under the terms and conditions of the Creative Commons Attribution (CC BY) license (https://creativecommons.org/licenses/by/4.0/).
Share and Cite
Lee, C.H.; Lim, Y.K.; Kim, M.; Hong, S.; Baek, S.H. Seasonal Phytoplankton Characteristics Related with Region-Specific Coastal Environments in the Korean Peninsula. J. Mar. Sci. Eng. 2024, 12, 1008. https://doi.org/10.3390/jmse12061008
Lee CH, Lim YK, Kim M, Hong S, Baek SH. Seasonal Phytoplankton Characteristics Related with Region-Specific Coastal Environments in the Korean Peninsula. Journal of Marine Science and Engineering. 2024; 12(6):1008. https://doi.org/10.3390/jmse12061008
Chicago/Turabian StyleLee, Chung Hyeon, Young Kyun Lim, Mungi Kim, Seongjin Hong, and Seung Ho Baek. 2024. "Seasonal Phytoplankton Characteristics Related with Region-Specific Coastal Environments in the Korean Peninsula" Journal of Marine Science and Engineering 12, no. 6: 1008. https://doi.org/10.3390/jmse12061008
APA StyleLee, C. H., Lim, Y. K., Kim, M., Hong, S., & Baek, S. H. (2024). Seasonal Phytoplankton Characteristics Related with Region-Specific Coastal Environments in the Korean Peninsula. Journal of Marine Science and Engineering, 12(6), 1008. https://doi.org/10.3390/jmse12061008

