The Effects of Acute Ammonia Nitrogen Stress on Antioxidant Ability, Phosphatases, and Related Gene Expression in the Kidney of Juvenile Yellowfin Tuna (Thunnus albacares)
Abstract
1. Introduction
2. Materials and Methods
2.1. Experimental Fish and Design
- Supplementing ammonia nitrogen in terms of mass (mg) = The volume of water (L) × The difference in ammonia nitrogen concentration (mg/L).
- The molar quantity of ammonium chloride (mol) = Supplementing ammonia nitrogen in terms of mass (mg) / The molar mass of ammonium chloride (g/mol). (The molar mass of ammonium chloride is approximately 53.49 g/mol).
- The mass of ammonium chloride (g) = The molar quantity of ammonium chloride (mol) × The molar mass of ammonium chloride (g/mol).
- The actual mass of ammonium chloride (g) = The mass of ammonium chloride (g)/0.995.
2.2. Sample Collection
2.3. Measurement of Physiological Indicators
2.4. Expression of Antioxidant-Related and Immune-Related Genes
2.5. Statistical Analysis
3. Results
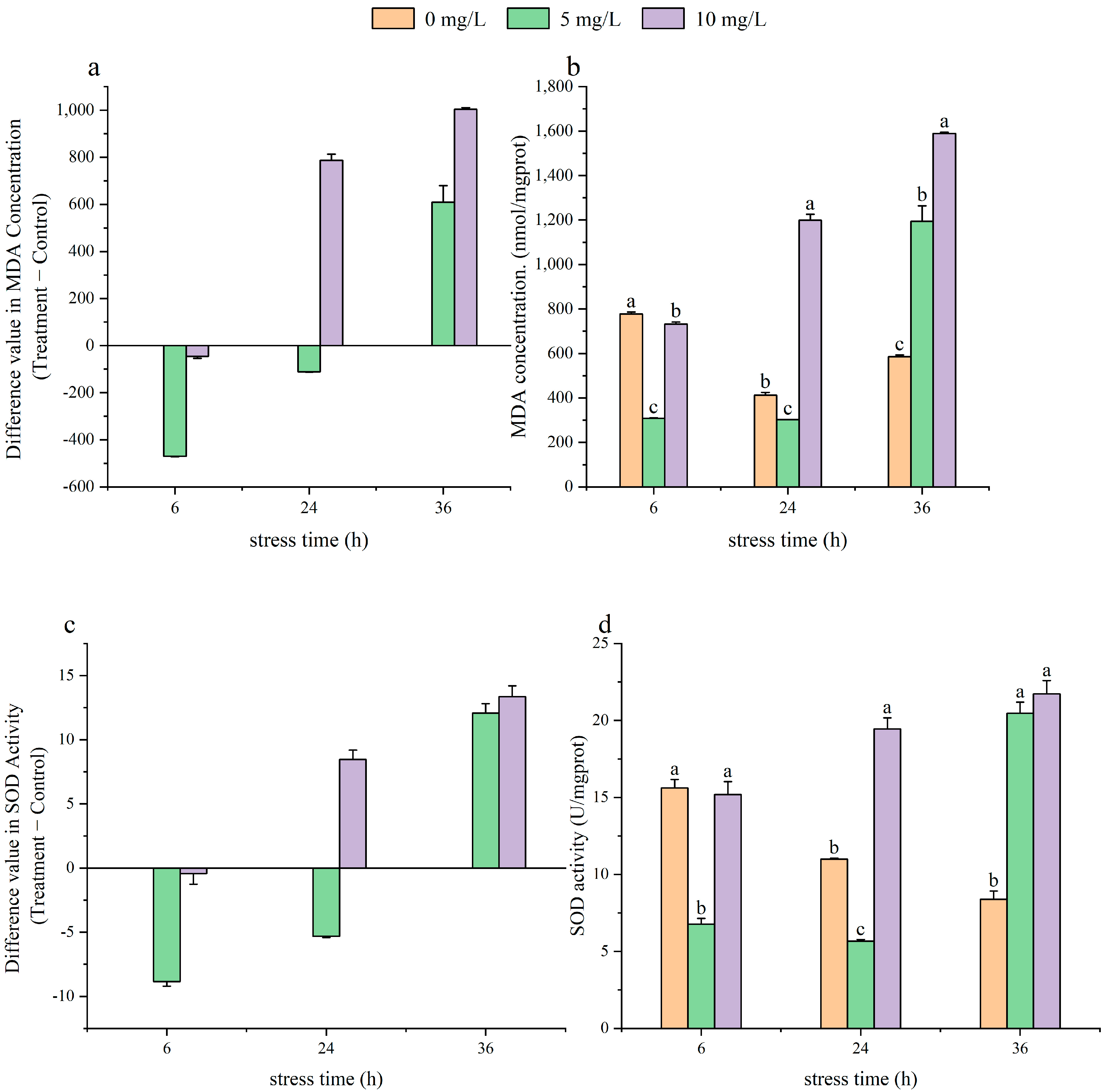
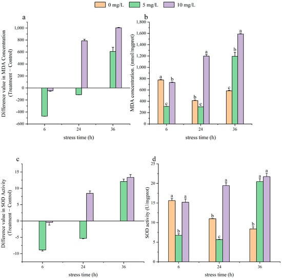
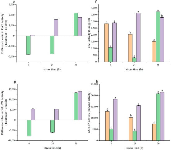
3.1. Effect of Acute Ammonia Nitrogen Stress on the Antioxidant Ability of the Trunk Kidney of Juvenile Yellowfin Tuna
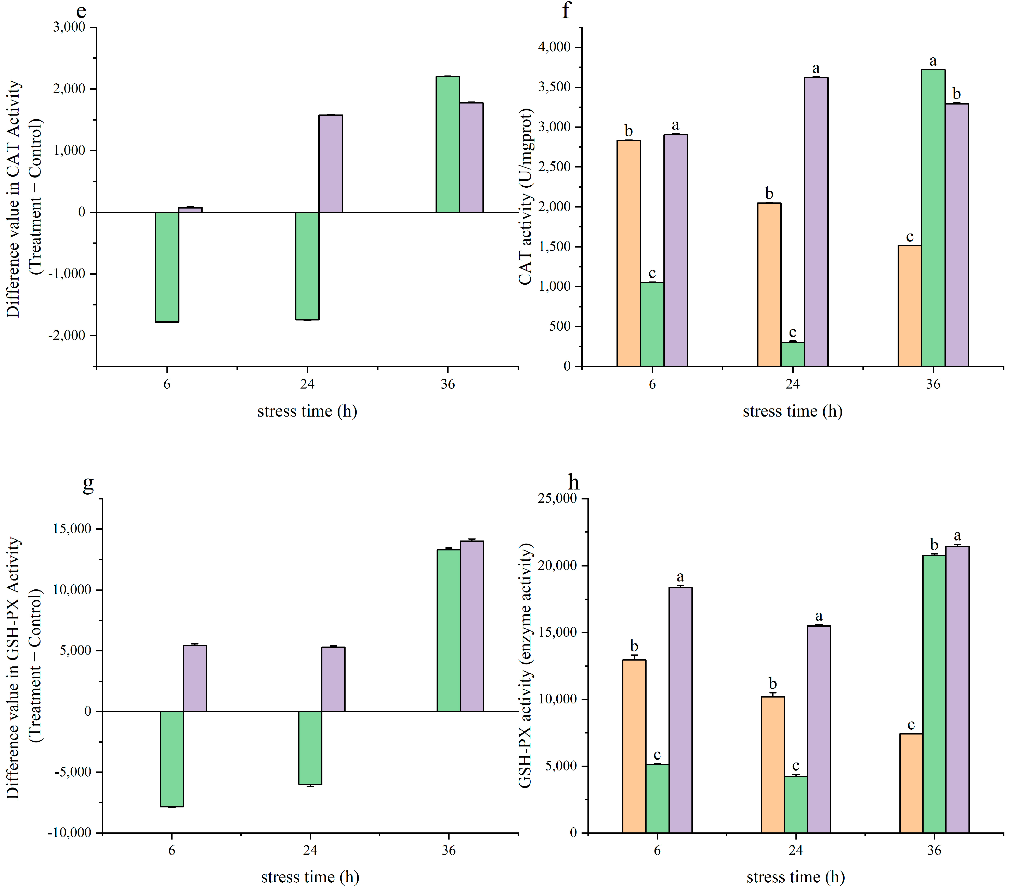
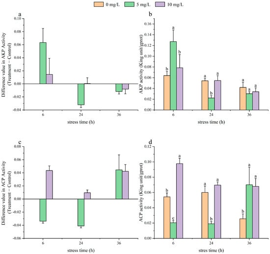
3.2. Effect of Acute Ammonia Nitrogen Stress on the Activity of Phosphatase in the Trunk Kidney of Juvenile Yellowfin Tuna
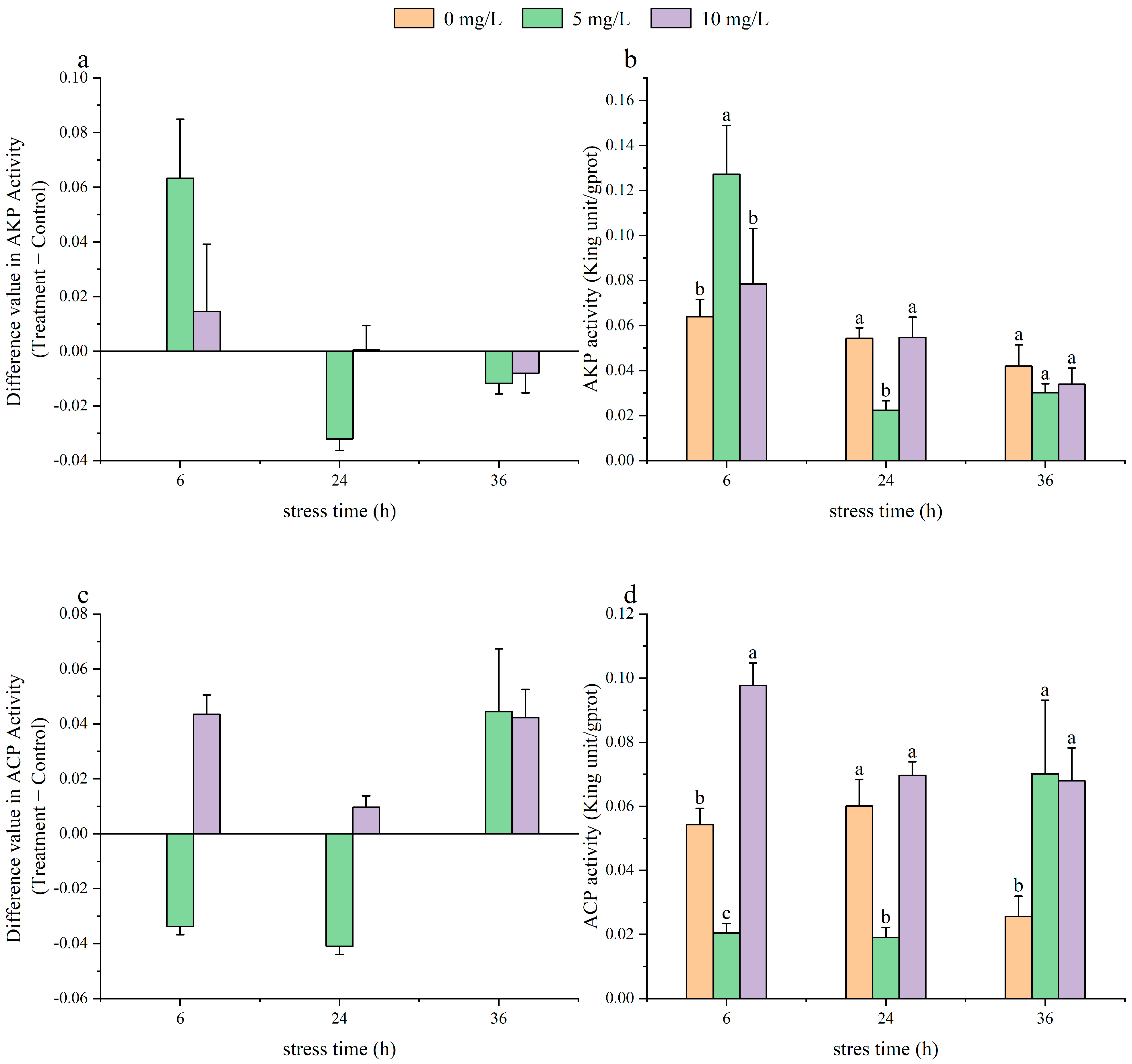
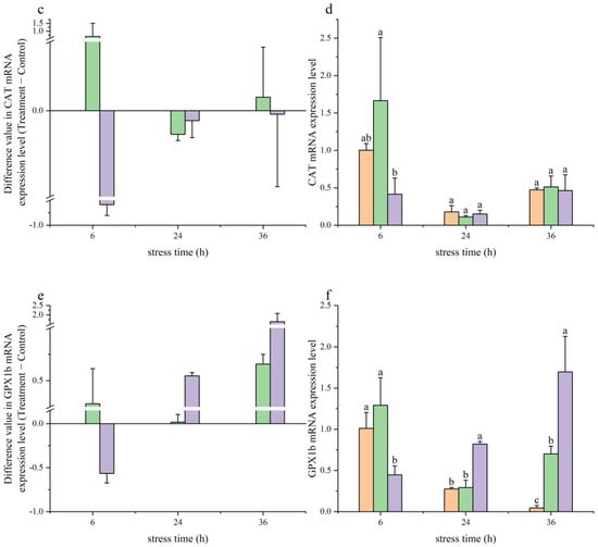
3.3. Effects of Acute Ammonia Nitrogen Stress on Antioxidant Genes in the Head Kidney of Juvenile Yellowfin Tuna
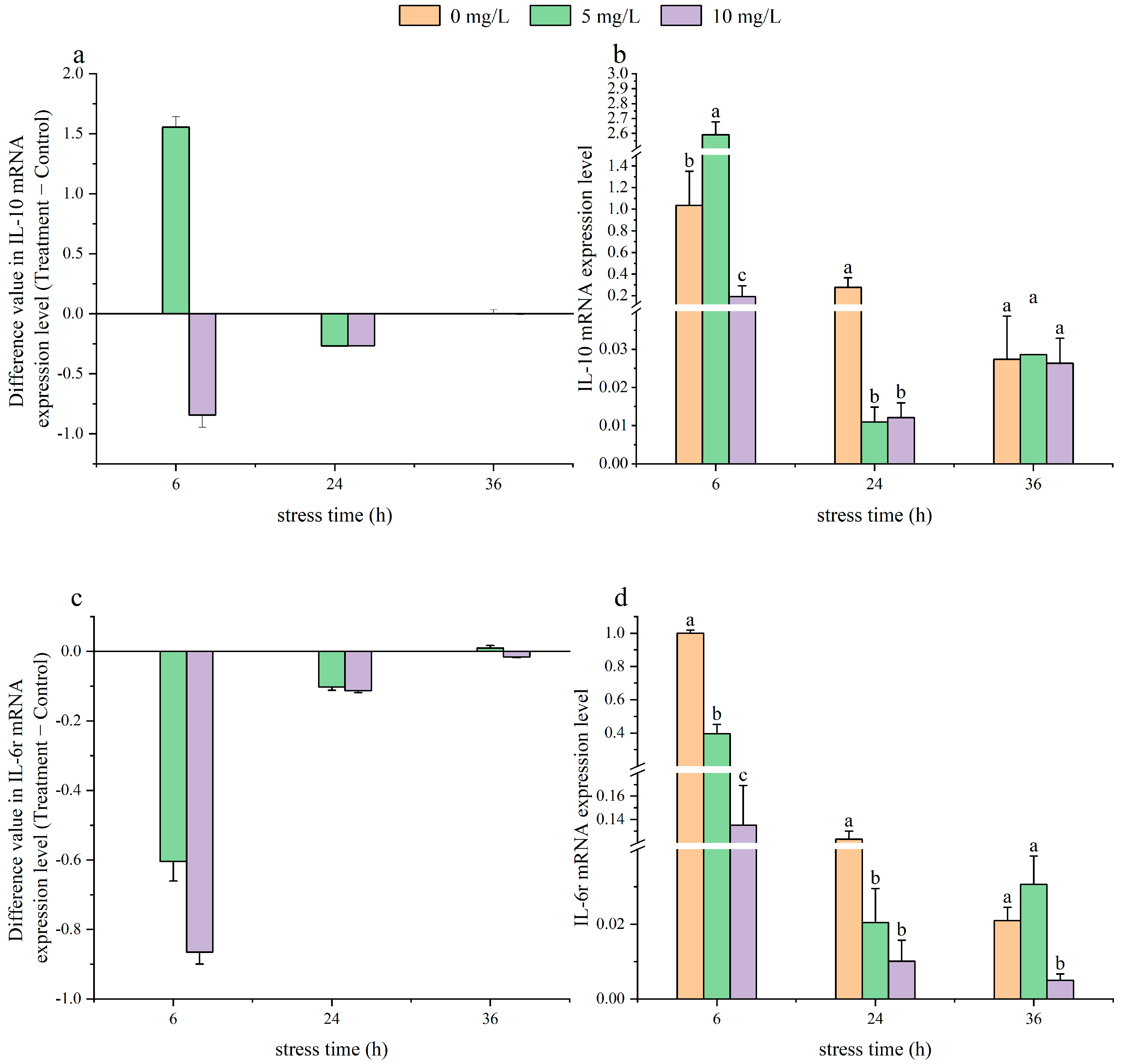
3.4. Effects of Acute Ammonia Nitrogen Stress on Immune-Related Genes in the Head Kidney of Juvenile Yellowfin Tuna
4. Discussion
5. Conclusions
Author Contributions
Funding
Institutional Review Board Statement
Informed Consent Statement
Data Availability Statement
Conflicts of Interest
References
- Lu, J.; Yao, T.; Shi, S.; Ye, L. Effects of acute ammonia nitrogen exposure on metabolic and immunological responses in the Hong Kong oyster Crassostrea hongkongensis. Ecotoxicol. Environ. Saf. 2022, 237, 113518. [Google Scholar] [CrossRef] [PubMed]
- Da Silva, F.J.R.; Lima, F.R.S.; Do Vale, D.A.; Do Carmo, M.V. High levels of total ammonia nitrogen as NH4+ are stressful and harmful to the growth of Nile tilapia juveniles. Acta Scientiarum. Biol. Sci. 2013, 35, 475–481. [Google Scholar]
- Zhang, C.; Ma, J.; Qi, Q.; Xu, M.; Xu, R. Effects of ammonia exposure on anxiety behavior, oxidative stress and inflammation in guppy (Poecilia reticulate). Comp. Biochem. Physiol. Part. C Toxicol. Pharmacol. 2023, 265, 109539. [Google Scholar] [CrossRef] [PubMed]
- Cong, M.; Wu, H.; Cao, T.; Ji, C.; Lv, J. Effects of ammonia nitrogen on gill mitochondria in clam Ruditapes philippinarum. Environ. Toxicol. Pharmacol. 2019, 65, 46–52. [Google Scholar] [CrossRef] [PubMed]
- Rodrigues, R.V.; Schwarz, M.H.; Delbos, B.C. Acute toxicity and sublethal effects of ammonia and nitrite for juvenile cobia Rachycentron canadum. Aquaculture 2007, 271, 553–557. [Google Scholar] [CrossRef]
- Xu, W.; Zhu, Z.; Ge, F.; Han, Z.; Li, J. Analysis of behavior trajectory based on deep learning in ammonia environment for fish. Sensors 2020, 20, 4425. [Google Scholar] [CrossRef] [PubMed]
- Zhang, W.; Xia, S.; Zhu, J.; Miao, L.; Ren, M.; Lin, Y.; Ge, X.; Sun, S. Growth performance, physiological response and histology changes of juvenile blunt snout bream, Megalobrama amblycephala exposed to chronic ammonia. Aquaculture 2019, 506, 424–436. [Google Scholar] [CrossRef]
- Long, S.; Dong, X.; Yan, X.; Liu, H.; Tan, B.; Zhang, S.; Chi, S.; Yang, Q.; Liu, H.; Yang, Y. The effect of oxidized fish oil on antioxidant ability, histology and transcriptome in intestine of the juvenile hybrid grouper (♀ Epinephelus fuscoguttatus × ♂ Epinephelus lanceolatus). Aquac. Rep. 2021, 22, 100921. [Google Scholar] [CrossRef]
- Bao, J.; Li, X.; Xing, Y.; Feng, C.; Jiang, H. Effects of hypoxia on immune responses and carbohydrate metabolism in the Chinese mitten crab, Eriocheir sinensis. Aquac. Res. 2020, 51, 2735–2744. [Google Scholar] [CrossRef]
- Chai, Y.; Peng, R.; Jiang, M.; Jiang, X.; Han, Q.; Han, Z. Effects of ammonia nitrogen stress on the blood cell immunity and liver antioxidant function of Sepia pharaonis. Aquaculture 2022, 546, 737417. [Google Scholar] [CrossRef]
- Chen, S.; Yu, Y.; Gao, Y.; Yin, P.; Tian, L.; Niu, J.; Liu, Y. Exposure to acute ammonia stress influences survival, immune response and antioxidant status of pacific white shrimp (Litopenaeus vannamei) pretreated with diverse levels of inositol. Fish Shellfish Immunol. 2019, 89, 248–256. [Google Scholar] [CrossRef] [PubMed]
- Abdel-Latif, H.M.; Shukry, M.; Abd-Elaziz, R.A. Clinico-pathological findings and expression of inflammatory cytokines, apoptosis, and oxidative stress-related genes draw mechanistic insights in Nile tilapia reared under ammonia-N exposure and Aeromonas hydrophila challenge. Fish Shellfish Immunol. 2022, 127, 1–12. [Google Scholar] [CrossRef] [PubMed]
- Cao, J.; Mei, J.; Xie, J. Combined effects of hypoxia and ammonia-N exposure on the immune response, oxidative stress, tissue injury and apoptosis of hybrid grouper (Epinephelus fuscoguttatus♀ × E. lanceolatus♂). Environ. Sci. Pollut. Res. 2024, 31, 845–856. [Google Scholar] [CrossRef] [PubMed]
- Collet, B. Innate immune responses of salmonid fish to viral infections. Dev. Comp. Immunol. 2014, 43, 160–173. [Google Scholar] [CrossRef] [PubMed]
- Tabaei, S.; Motallebnezhad, M.; Tabaee, S.S. Systematic review and meta-analysis of association of polymorphisms in inflammatory cytokine genes with coronary artery disease. Inflamm. Res. 2020, 69, 1001–1013. [Google Scholar] [CrossRef]
- Yang, P.; Liu, J.; Xiao, J.; Jian, H.; Chen, H. Associations between seven common cytokine gene polymorphisms and coronary artery disease: Evidence from a meta-analysis. Int. Arch. Allergy Immunol. 2020, 181, 301–310. [Google Scholar] [CrossRef]
- Overgard, A.; Nepstad, I.; Nerland, A.H.; Patel, S. Characterisation and expression analysis of the Atlantic halibut (Hippoglossus hippoglossus L.) cytokines: IL-1 beta, IL-6, IL-11, IL-12 beta and IFN gamma. Mol. Biol. Rep. 2012, 39, 2201–2213. [Google Scholar] [CrossRef] [PubMed]
- Furne, M.; Holen, E.; Araujo, P.; Lie, K.K.; Moren, M. Cytokine gene expression and prostaglandin production in head kidney leukocytes isolated from Atlantic cod (Gadus morhua) added different levels of arachidonic acid and eicosapentaenoic acid. Fish Shellfish Immunol. 2013, 34, 770–777. [Google Scholar] [CrossRef]
- Ponce, M.; Zuasti, E.; Anguís, V.; Fernández-Díaz, C. Effects of the sulfated polysaccharide ulvan from Ulva ohnoi on the modulation of the immune response in Senegalese sole (Solea senegalensis). Fish Shellfish Immunol. 2020, 100, 27–40. [Google Scholar] [CrossRef] [PubMed]
- Tharuka, M.N.; Bathige, S.; Oh, M.; Lee, S.; Kim, M.; Priyathilaka, T.T.; Lee, J. Molecular characterization and expression analysis of big-belly seahorse (Hippocampus abdominalis) interleukin-10 and analysis of its potent anti-inflammatory properties in LPS-induced murine macrophage RAW 264.7 cells. Gene 2019, 685, 1–11. [Google Scholar] [CrossRef]
- Peng, Y.; Cai, X.; Zhang, G.; Wang, J.; Li, Y.; Wang, Z.; Wang, B.; Xiong, X.; Wu, Z.; Jian, J. Molecular characterization and expression of interleukin-10 and interleukin-22 in golden pompano (Trachinotus ovatus) in response to Streptococcus agalactiae stimulus. Fish Shellfish Immunol. 2017, 65, 244–255. [Google Scholar] [CrossRef] [PubMed]
- Chen, H.; Lin, H.; Foung, Y.; Lin, J.H. The bioactivity of teleost IL-6: IL-6 protein in orange-spotted grouper (Epinephelus coioides) induces Th2 cell differentiation pathway and antibody production. Dev. Comp. Immunol. 2012, 38, 285–294. [Google Scholar] [CrossRef] [PubMed]
- Block, B.A.; Keen, J.E.; Castillo, B.; Dewar, H.; Freund, E.V.; Marcinek, D.J.; Brill, R.W.; Farwell, C. Environmental preferences of yellowfin tuna (Thunnus albacares) at the northern extent of its range. Mar. Biol. 1997, 130, 119–132. [Google Scholar] [CrossRef]
- Zhang, N.; Yang, R.; Fu, Z.; Yu, G.; Ma, Z. Mechanisms of Digestive Enzyme Response to Acute Salinity Stress in Juvenile Yellowfin Tuna (Thunnus albacares). Animals 2023, 13, 3454. [Google Scholar] [CrossRef] [PubMed]
- Zhou, S.; Zhang, N.; Fu, Z.; Yu, G.; Ma, Z.; Zhao, L. Impact of Salinity Changes on the Antioxidation of Juvenile Yellowfin Tuna (Thunnus albacares). J. Mar. Sci. Eng. 2023, 11, 132. [Google Scholar] [CrossRef]
- Fonteneau, A. An overview of yellowfin tuna stocks, fisheries and stock status worldwide. In Proceedings of the IOTC 7th Working Party on Tropical Tunas, Phuket-Thailand, Phuket, Thailand, 18–22 July 2005. [Google Scholar]
- Grewe, P.M.; Feutry, P.; Hill, P.L.; Gunasekera, R.M.; Schaefer, K.M.; Itano, D.G.; Fuller, D.W.; Foster, S.D.; Davies, C.R. Evidence of discrete yellowfin tuna (Thunnus albacares) populations demands rethink of management for this globally important resource. Sci. Rep. 2015, 5, 1–9. [Google Scholar] [CrossRef] [PubMed]
- Andamari, R.; Hutapea, J.H.; Prisantoso, B.I. Reproduction aspects of the yellowfin tuna (Thunnus albacares). J. Ilmu Teknol. Kelaut. 2012, 4, 1. [Google Scholar]
- Estess, E.E.; Klinger, D.H.; Coffey, D.M.; Gleiss, A.C.; Rowbotham, I.; Seitz, A.C.; Rodriguez, L.; Norton, A.; Block, B.; Farwell, C. Bioenergetics of captive yellowfin tuna (Thunnus albacares). Aquaculture 2017, 468, 71–79. [Google Scholar] [CrossRef]
- Pecoraro, C.; Babbucci, M.; Franch, R.; Rico, C.; Papetti, C.; Chassot, E.; Bodin, N.; Cariani, A.; Bargelloni, L.; Tinti, F. The population genomics of yellowfin tuna (Thunnus albacares) at global geographic scale challenges current stock delineation. Sci. Rep. 2018, 8, 13890. [Google Scholar] [CrossRef]
- He, Y.; Fu, Z.; Dai, S.; Yu, G.; Ma, Z. Dietary curcumin supplementation can enhance health and resistance to ammonia stress in the greater amberjack (Seriola dumerili). Front. Mar. Sci. 2022, 9, 961783. [Google Scholar] [CrossRef]
- Wang, W.; Dai, S.; Liu, L.; Fu, Z.; Yang, R.; Yu, G.; Ma, Z.; Zong, H. Daily Rhythmicity of Muscle-Related and Rhythm Genes Expression in Mackerel Tuna (Euthynnus affinis). Biology 2023, 12, 1211. [Google Scholar] [CrossRef]
- Fu, W. Comparison of Histological and Transcriptome Studies of the Gills between Juvenile and Adult Yellowfin Tuna (Thunnus albacares) from the South China Sea. Master’s Thesis, Hainan University, Haikou, China, 2023. [Google Scholar]
- Livak, K.J.; Schmittgen, T.D. Analysis of relative gene expression data using real-time quantitative PCR and the 2−ΔΔCt method. Methods 2001, 25, 402–408. [Google Scholar] [CrossRef]
- Hamad, A.R. Physiological and Cellular Responses of Marine Medaka Fish (Oryzias dancena) to Ammonia Stress Treatment. Ph.D. Dissertation, Pukyong National University, Busan, Republic of Korea, 2018. [Google Scholar]
- Hamed, S.B.; Guardiola, F.; Cuesta, A.; Martínez, S.; Martínez-Sánchez, M.J.; Pérez-Sirvent, C.; Esteban, M.Á. Head kidney, liver and skin histopathology and gene expression in gilthead seabream (Sparus aurata L.) exposed to highly polluted marine sediments from Portman Bay (Spain). Chemosphere 2017, 174, 563–571. [Google Scholar] [CrossRef]
- Zwollo, P.; Cole, S.; Bromage, E.; Kaattari, S. B cell heterogeneity in the teleost kidney: Evidence for a maturation gradient from anterior to posterior kidney. J. Immunol. 2005, 174, 6608–6616. [Google Scholar] [CrossRef] [PubMed]
- Hong, J.; Fu, Z.; Hu, J.; Zhou, S.; Yu, G.; Ma, Z. Dietary curcumin supplementation enhanced ammonia nitrogen stress tolerance in greater amberjack (Seriola dumerili): Growth, serum biochemistry and expression of stress-related genes. J. Mar. Sci. Eng. 2022, 10, 1796. [Google Scholar] [CrossRef]
- Mani, R.; Rose, S.; Suresh, A.; Sambantham, S.; Anandan, B.; Ibrahim, M.; Meena, B. Cellular alterations and damage to the renal tissue of marine catfish Arius arius following Cd exposure and the possible sequestrant role of Metallothionein. Mar. Pollut. Bull. 2021, 163, 111930. [Google Scholar] [CrossRef]
- Ching, B.; Chew, S.F.; Wong, W.P.; Ip, Y.K. Environmental ammonia exposure induces oxidative stress in gills and brain of Boleophthalmus boddarti (mudskipper). Aquat. Toxicol. 2009, 95, 203–212. [Google Scholar] [CrossRef] [PubMed]
- Guo, M.; Yan, Q.; Dong, Y.; Ding, Z.; Mei, J.; Xie, J. Apoptotic Changes, Oxidative Stress and Immunomodulatory Effects in the Liver of Japanese Seabass (Lateolabrax japonicus) Induced by Ammonia-Nitrogen Stress during Keep-Live Transport. Biology 2023, 12, 769. [Google Scholar] [CrossRef] [PubMed]
- Sun, H.; Lü, K.; Minter, E.J.; Chen, Y.; Yang, Z.; Montagnes, D.J. Combined effects of ammonia and microcystin on survival, growth, antioxidant responses, and lipid peroxidation of bighead carp Hypophthalmythys nobilis larvae. J. Hazard. Mater. 2012, 221, 213–219. [Google Scholar] [CrossRef]
- Zhang, Z.; Liu, Q.; Cai, J.; Yang, J.; Shen, Q.; Xu, S. Chlorpyrifos exposure in common carp (Cyprinus carpio L.) leads to oxidative stress and immune responses. Fish Shellfish. Immunol. 2017, 67, 604–611. [Google Scholar] [CrossRef]
- Rahman, M.F.; Siddiqui, M. Biochemical effects of vepacide (from Azadirachta indica) on Wistar rats during subchronic exposure. Ecotoxicol. Environ. Saf. 2004, 59, 332–339. [Google Scholar] [CrossRef] [PubMed]
- Liu, Y.; Hu, J.; Zhou, S.; Yang, R.; Qin, J.G.; Ma, Z.; Yang, Q. Effect of acute ammonia stress on antioxidant enzymes and digestive enzymes in barramundi Lates calcarifer larvae. Isr. J. Aquac.-Bamidgeh 2018, 70, 70–2018. [Google Scholar] [CrossRef]
- Gao, Y.; Gao, Y.; Wang, J.; Li, M.; Jia, Y.; Mend, Z. Effect of acute ammonia stress on the plasma biochemicalindexes of Sebastes schlegelii. Mar. Sci. 2023, 47, 49–59. [Google Scholar]
- Li, M.; Wang, S.; Zhao, Z.; Luo, L.; Zhang, R.; Guo, K.; Zhang, L.; Yang, Y. Effects of alkalinity on the antioxidant capacity, nonspecific immune response and tissue structure of Chinese Mitten Crab Eriocheir sinensis. Fishes 2022, 7, 206. [Google Scholar] [CrossRef]
- Sinha, A.K.; AbdElgawad, H.; Zinta, G.; Dasan, A.F.; Rasoloniriana, R.; Asard, H.; Blust, R.; De Boeck, G. Nutritional status as the key modulator of antioxidant responses induced by high environmental ammonia and salinity stress in European sea bass (Dicentrarchus labrax). PLoS ONE 2015, 10, e135091. [Google Scholar] [CrossRef] [PubMed]
- Cheng, C.; Guo, Z.; Luo, S.; Wang, A. Effects of high temperature on biochemical parameters, oxidative stress, DNA damage and apoptosis of pufferfish (Takifugu obscurus). Ecotoxicol. Environ. Saf. 2018, 150, 190–198. [Google Scholar] [CrossRef] [PubMed]
- Hegazi, M.M.; Attia, Z.I.; Ashour, O.A. Oxidative stress and antioxidant enzymes in liver and white muscle of Nile tilapia juveniles in chronic ammonia exposure. Aquat. Toxicol. 2010, 99, 118–125. [Google Scholar] [CrossRef] [PubMed]
- Zhao, Y.; Wang, H.; Zhou, J.; Shao, Q. Glutathione peroxidase GPX1 and its dichotomous roles in cancer. Cancers 2022, 14, 2560. [Google Scholar] [CrossRef] [PubMed]
- Liang, X.; Wang, F.; Li, K.; Nie, X.; Fang, H. Effects of norfloxacin nicotinate on the early life stage of zebrafish (Danio rerio): Developmental toxicity, oxidative stress and immunotoxicity. Fish Shellfish Immunol. 2020, 96, 262–269. [Google Scholar] [CrossRef]
- Saraiva, M.; O’Garra, A. The regulation of IL-10 production by immune cells. Nat. Rev. Immunol. 2010, 10, 170–181. [Google Scholar] [CrossRef]
- Uciechowski, P.; Dempke, W. Interleukin-6: A masterplayer in the cytokine network. Oncology 2020, 98, 131–137. [Google Scholar] [CrossRef] [PubMed]
- Baldissera, M.D.; Souza, C.F.; Boaventura, T.P.; Nakayama, C.L.; Baldisserotto, B.; Luz, R.K. Purinergic signaling as a potential target of hypoxia stress-induced impairment of the immune system in freshwater catfish Lophiosilurus alexandri. Aquaculture 2018, 496, 197–202. [Google Scholar] [CrossRef]
- Li, M.; Lai, H.; Li, Q.; Gong, S.; Wang, R. Effects of dietary taurine on growth, immunity and hyperammonemia in juvenile yellow catfish Pelteobagrus fulvidraco fed all-plant protein diets. Aquaculture 2016, 450, 349–355. [Google Scholar] [CrossRef]






| Gene | Acronym | Primer sequences | Mollification Size | |
|---|---|---|---|---|
| Superoxide dismutase 2 | SOD2 SOD2 | F R | CGGGACTTTGGTTCCTTCCA GCACAAGCAGCGATACGAAG | 128 |
| Catalase | CAT CAT | F R | CAGGCAACAACACCCCCA CCAGAAGTCCCACACCAT | 122 |
| Glutathione peroxidase 1b | GPX1b GPX1b | F R | GACCACCAGGGATTACAC GGACGGACATACTTCAGA | 150 |
| Interleukin 6 receptor | IL-6r IL-6r | F R | TTGTCAGTCATTTTGGCT CTCTGGAGATGTTGGGGT | 132 |
| Interleukin 10 | IL-10 IL-10 | F R | CAGCAAGATACCAACAAG CGACAAGAGAACCAGGAC | 190 |
| β-actin | β-actin β-actin | F R | CGCCCTCGTTGTTGAC CCCTTTTGCTCTGTGCC | 170 |
| Stage | Cycle | Temperature | Times | Elements |
|---|---|---|---|---|
| permutability | 1× | 95 °C | 15 min | permutability |
| PCR reaction | 40× | 95 °C | 10 s | denaturation |
| 50–60 °C | 20 s | annealing (metallurgy) | ||
| 72 °C | 20–32 s | extend |
Disclaimer/Publisher’s Note: The statements, opinions and data contained in all publications are solely those of the individual author(s) and contributor(s) and not of MDPI and/or the editor(s). MDPI and/or the editor(s) disclaim responsibility for any injury to people or property resulting from any ideas, methods, instructions or products referred to in the content. |
© 2024 by the authors. Licensee MDPI, Basel, Switzerland. This article is an open access article distributed under the terms and conditions of the Creative Commons Attribution (CC BY) license (https://creativecommons.org/licenses/by/4.0/).
Share and Cite
Sun, Y.; Fu, Z.; Ma, Z. The Effects of Acute Ammonia Nitrogen Stress on Antioxidant Ability, Phosphatases, and Related Gene Expression in the Kidney of Juvenile Yellowfin Tuna (Thunnus albacares). J. Mar. Sci. Eng. 2024, 12, 1009. https://doi.org/10.3390/jmse12061009
Sun Y, Fu Z, Ma Z. The Effects of Acute Ammonia Nitrogen Stress on Antioxidant Ability, Phosphatases, and Related Gene Expression in the Kidney of Juvenile Yellowfin Tuna (Thunnus albacares). Journal of Marine Science and Engineering. 2024; 12(6):1009. https://doi.org/10.3390/jmse12061009
Chicago/Turabian StyleSun, Yongyue, Zhengyi Fu, and Zhenhua Ma. 2024. "The Effects of Acute Ammonia Nitrogen Stress on Antioxidant Ability, Phosphatases, and Related Gene Expression in the Kidney of Juvenile Yellowfin Tuna (Thunnus albacares)" Journal of Marine Science and Engineering 12, no. 6: 1009. https://doi.org/10.3390/jmse12061009
APA StyleSun, Y., Fu, Z., & Ma, Z. (2024). The Effects of Acute Ammonia Nitrogen Stress on Antioxidant Ability, Phosphatases, and Related Gene Expression in the Kidney of Juvenile Yellowfin Tuna (Thunnus albacares). Journal of Marine Science and Engineering, 12(6), 1009. https://doi.org/10.3390/jmse12061009

