Numerical Simulation on the Two-Degree-of-Freedom Flow-Induced Vibration of a Submerged Floating Tunnel under Current
Abstract
1. Introduction
2. Numerical Methods
2.1. Governing Equations
2.2. Computational Domain and Meshes
- (1)
- On each time step, Equation (3) is discretely calculated based on the CFD solver first, which provides the pressure and viscous shear force of the fluid acting on the SFT. These forces are then used to integrate Fx(t) and Fz(t) and subsequently determine CD and CL for analyzing the interaction of fluid forces and the structure. In CFD calculations, the pressure–velocity coupling is based on the coupled method. The second-order scheme is applied to discretize the pressure term, and the second-order upwind scheme is adopted to discretize the convection term. The time step satisfies the Courant–Friedrichs–Lewy (CFL) condition (the maximum Courant number is less than 1.0 in this study).
- (2)
- (3)
- Once the displacements are calculated, the fluid mesh is updated, and the process continues for the next time step.
2.3. Model Verification
2.4. Selection of Simulation Parameters
- (1)
- In-line reduced velocity ranged from 0.6 to 10.
- (2)
- Mass ratio ranged from 0.5 to 2.0.
- (3)
- Natural frequency ratio ranged from 0.54 to 1.85. For = 0.54, the in-line and cross-flow natural frequencies were = = 0.45 Hz and = = 0.83 Hz, respectively. For = 1.85, the in-line and cross-flow natural frequencies were = and = . For = 1.0, two cases were addressed (i.e., = = , = = ).
3. Numerical Results
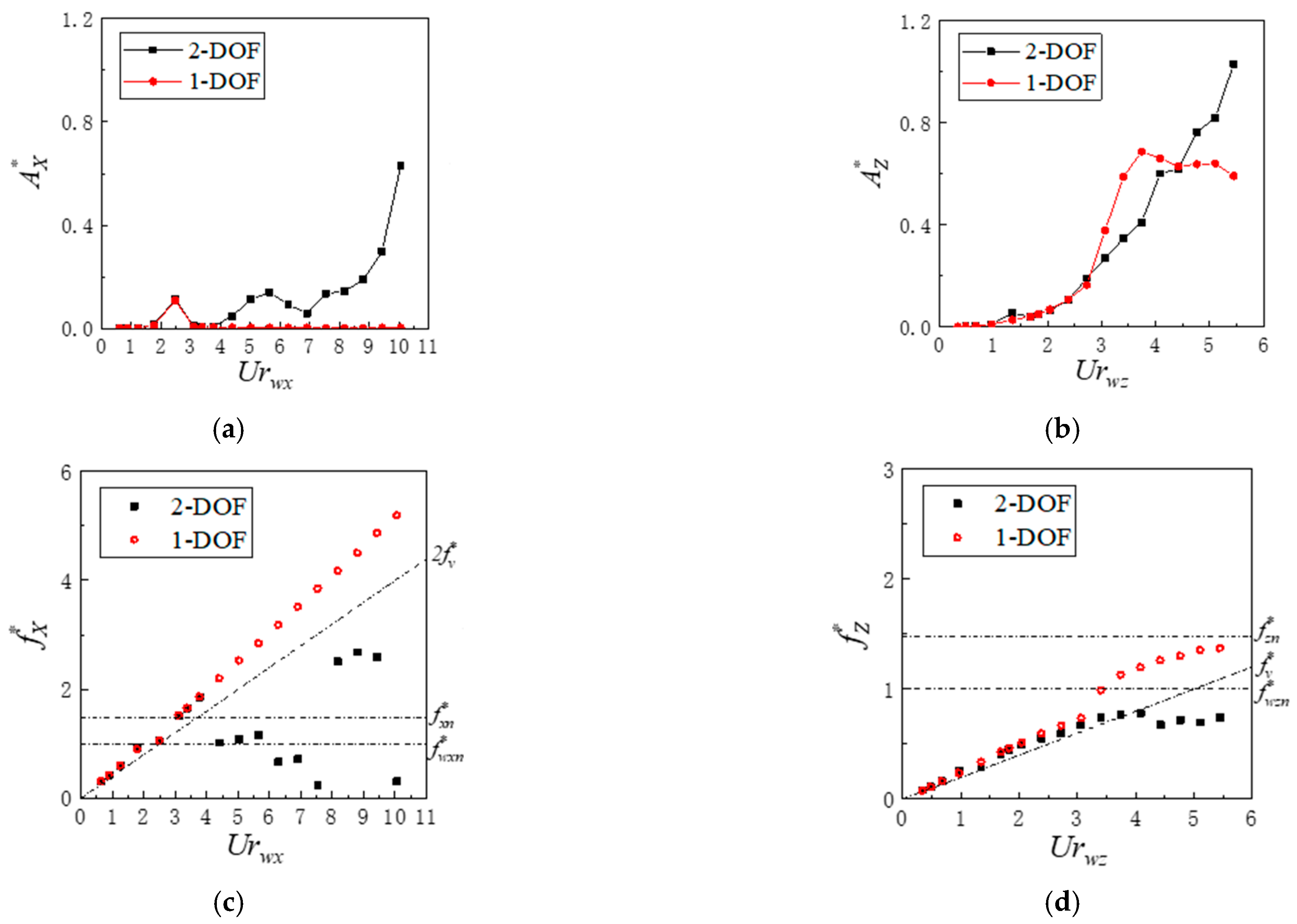
3.1. Two-Degree-of-Freedom FIV
- (1)
- Amplitude
- (2)
- Frequency
- (3)
- Phase difference
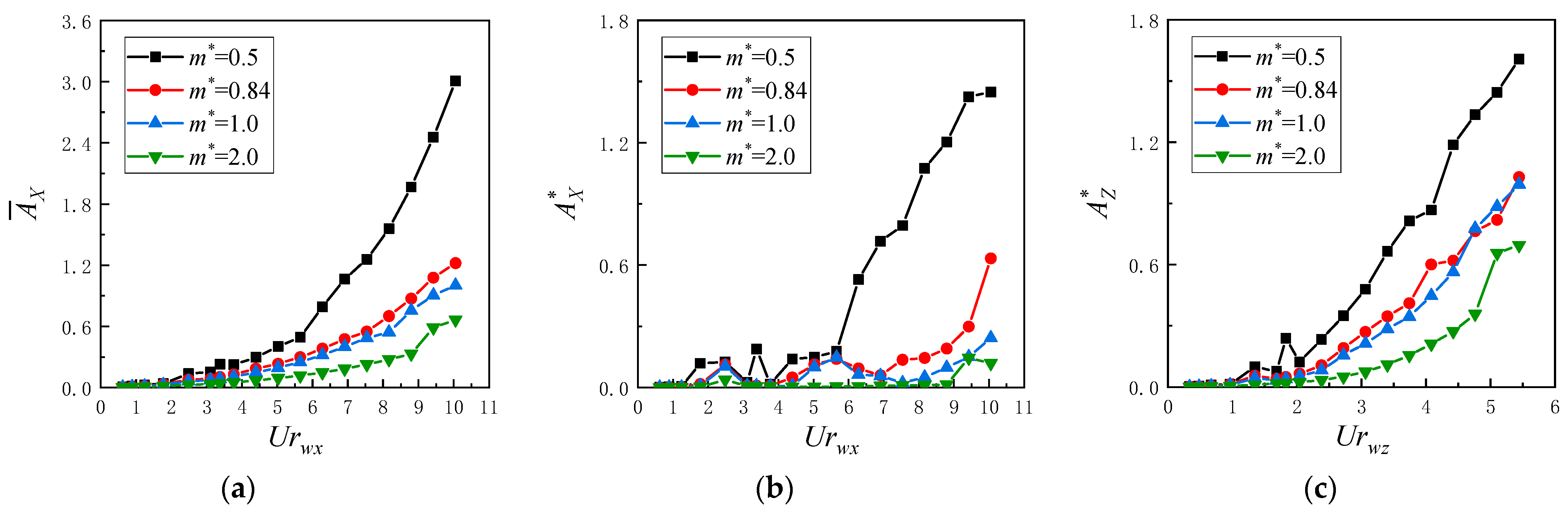
3.2. Effect of Mass Ratio on SFT Vibration
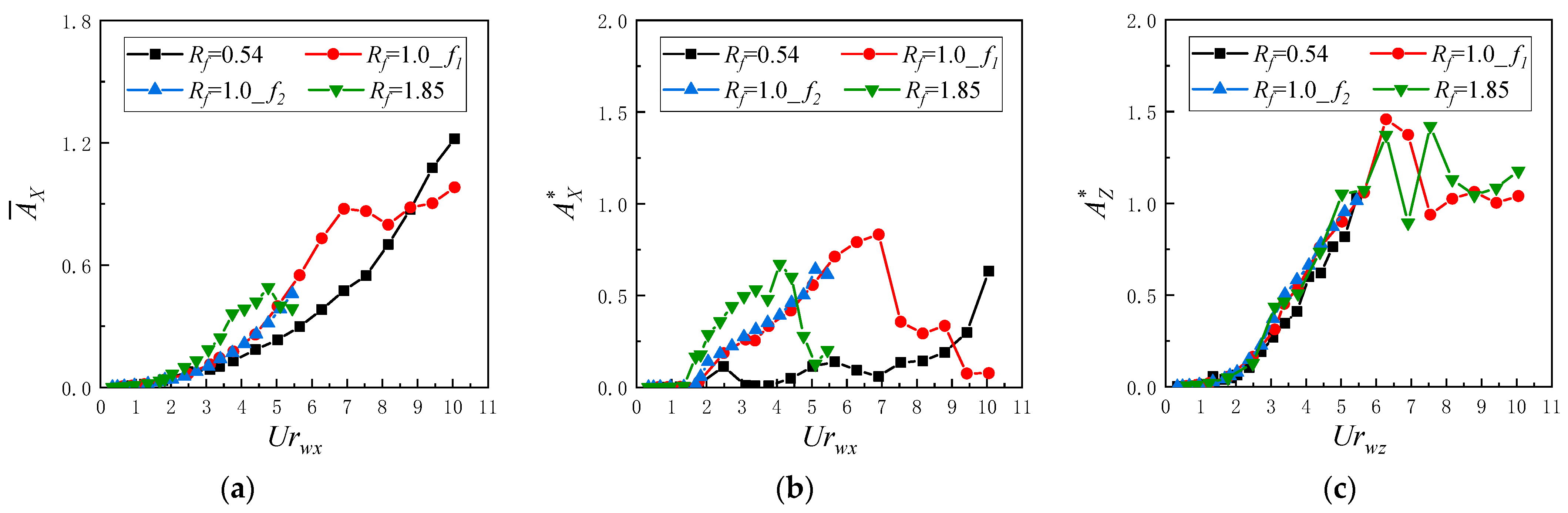
3.3. Effect of Natural Frequency Ratio on SFT Vibration
4. Conclusions
- (1)
- Compared to the 1-DOF numerical results, coupled vibration has a significant impact on SFT response at ≥ 4.4.
- (2)
- A decrease in mass ratio (m* < 1) significantly amplified the 2-DOF vibration amplitudes of the SFT at ≥ 4.4, especially for the in-line vibration. Frequency lock-in was observed in advance for ≤ 1.0, leading to enhanced in-line multi-frequency vibration, and the vortex pattern became more unstable. For = 2.0, the cross-flow vibration of the SFT is dominant.
- (3)
- Decreasing the natural frequency ratio (Rf < 1) significantly suppressed the in-line vibration of the SFT at ≥ 2.5. The peak points and lock-in width of 2-DOF vibration amplitudes versus reduced velocity showed significant variations. For Rf ≤ 1.0, frequency jumping was observed, leading to smaller in-line vibration amplitude, and the vortex pattern became more steady.
Author Contributions
Funding
Institutional Review Board Statement
Informed Consent Statement
Data Availability Statement
Conflicts of Interest
Nomenclature
| X, Y, Z | Space coordinates, m |
| x, z | X- or Z-direction displacement of the SFT, m |
| X-direction mean displacement of the SFT, m | |
| fx, fz | X- or Z-direction vibration frequency of the SFT, Hz |
| , | Non-dimensional X- or Z-direction vibration amplitude of the SFT |
| Non-dimensional X-direction mean displacement of the SFT | |
| , | Non-dimensional X- or Z-direction vibration frequency of the SFT |
| L | SFT length, m |
| D | Outer diameter of the SFT, m |
| m0 | Mass per unit length of the SFT, kg/m |
| ma | Additional mass per unit length, kg/m |
| CA | Added mass coefficient |
| Mass ratio | |
| , | Natural frequency of the SFT, Hz |
| Natural frequency ratio | |
| BWR | Buoyancy/weight ratio |
| kx, kz | X- or Z-direction equivalent stiffness of elastic supports, N/m2 |
| ξx, ξz | X- or Z-direction damping ratio |
| X-direction damping coefficient, N/s | |
| Z-direction damping coefficient, N/s | |
| Fx(t), Fz(t) | X- or Z-direction hydrodynamic load acting on the SFT, N |
| U | Flow velocity, m/s |
| CD | Drag coefficient |
| CL | Lift coefficient |
| X-direction reduced velocity | |
| Z-direction reduced velocity | |
| Root-mean-square value of lift coefficient | |
| Mean drag coefficient | |
| , | Non-dimensional X- or Z-direction spectrum based on fast Fourier transform |
References
- Ingerslev, C. Immersed and floating tunnels. Procedia Eng. 2010, 4, 51–59. [Google Scholar] [CrossRef]
- Østlid, H. When is SFT competitive. Procedia Eng. 2010, 4, 3–11. [Google Scholar] [CrossRef]
- Minoretti, A.; Xu, X.; Johansen, I.L.; Eidem, M. The Future of the Tunnel Crossing: The Submerged Floating Tube Bridge. Struct. Eng. Int. 2020, 30, 493–497. [Google Scholar] [CrossRef]
- Xu, W.H.; Ma, Y.X.; Liu, G.J.; Li, A.; Jia, M.; He, Z.; Du, Z. A review of research on tether-type submerged floating tunnels. Appl. Ocean Res. 2023, 134, 103525. [Google Scholar] [CrossRef]
- Deng, S.; Ren, H.J.; Xu, Y.W.; Fu, S.; Moan, T.; Gao, Z. Experimental Study of Vortex-induced Vibration of a Twin-tube Submerged Floating Tunnel Segment Model. J. Fluids Struct. 2020, 94, 102908. [Google Scholar] [CrossRef]
- Yarramsetty, P.C.R.; Domala, V.; Poluraju, P.; Sharma, R. A study on response analysis of submerged floating tunnel with linear and nonlinear cables. Ocean Syst. Eng. 2019, 9, 219–240. [Google Scholar]
- Deng, S.; Xu, Y.W.; Ren, H.J.; Fu, S.; Li, S.; Moan, T.; Gao, Z. Numerical simulation of wave-induced hydro-elastic response and flow-induced vibration of a twin-tube submerged floating tunnel. Mar. Struct. 2022, 82, 103124. [Google Scholar] [CrossRef]
- Zou, P.X.; Bricker, J.D.; Chen, L.Z. Response of a submerged floating tunnel subject to flow-induced vibration. Eng. Struct. 2022, 253, 113809. [Google Scholar] [CrossRef]
- Sarpkaya, T. Vortex-induced Oscillations: A Selective Review. J. Appl. Mech. 1979, 46, 241–258. [Google Scholar] [CrossRef]
- Williamson, C.H.K.; Govardhan, R. Vortex-induced Vibrations. Annu. Rev. Fluid Mech. 2004, 36, 413–455. [Google Scholar] [CrossRef]
- Sumner, D. Two Circular Cylinders in Cross-flow: A Review. J. Fluids Struct. 2010, 26, 849–899. [Google Scholar] [CrossRef]
- Wu, X.D.; Ge, F.; Hong, Y.S. A Review of Recent Studies on Vortex-Induced Vibrations of Long Slender Cylinders. J. Fluids Struct. 2012, 28, 292–308. [Google Scholar] [CrossRef]
- Feng, C.C. The Measurements of Vortex-Induced Effects in Flow Past Stationary and Oscillating Circular and D-section Cylinder. Master’s Thesis, University of British Columbia, Vancouver, BC, Canada, 1968. [Google Scholar]
- Williamson, C.H.K.; Roshko, A. Vortex Formation in the Wake of an Oscillating Cylinder. J. Fluids Struct. 1988, 2, 355–381. [Google Scholar] [CrossRef]
- Khalak, A.; Williamson, C.H.K. Fluid Forces and Dynamics of a Hydro-elastic Structure with Very Low Mass and Damping. J. Fluids Struct. 1997, 11, 973–982. [Google Scholar] [CrossRef]
- Govardhan, R.; Williamson, C.H.K. Modes of vortex formation and frequency response of a freely vibrating cylinder. J. Fluid Mech. 2000, 420, 85–130. [Google Scholar] [CrossRef]
- Jauvtis, N.; Williamson, C.H.K. The effect of two degree of freedom on vortex-induced vibration at low mass and damping. J. Fluid Mech. 2004, 509, 23–62. [Google Scholar] [CrossRef]
- Khalak, A.; Williamson, C.H.K. Motions, forces and mode transitions in vortex-induced vibrations at low mass-damping. J. Fluids Struct. 1999, 13, 813–851. [Google Scholar] [CrossRef]
- Govardhan, R.; Williamson, C.H.K. Resonance forever: Existence of a critical mass and an infinite regime of resonance in vortex-induced vibration. J. Fluid Mech. 2002, 473, 147–166. [Google Scholar] [CrossRef]
- Singh, S.P.; Mittal, S. Vortex-induced oscillations at low Reynolds numbers: Hysteresis and vortex-shedding modes. J. Fluid Struct. 2005, 20, 1085–1104. [Google Scholar] [CrossRef]
- Kang, Z.; Zhang, C.; Ma, G.; Ni, W. A Numerical Investigation of Two-degree-of-freedom VIV of a Circular Cylinder Using the Modified Turbulence Model. Ocean Eng. 2018, 155, 211–226. [Google Scholar] [CrossRef]
- Zhao, M. Effects of natural frequency ratio on vortex-induced vibration of a circular cylinder in steady flow. Phys. Fluids 2020, 32, 073604. [Google Scholar] [CrossRef]
- Liu, M.M.; Jin, R.J.; Wang, H.C. Numerical investigation of vortex induced vibration of a circular cylinder for mass ratio less than 1.0. Ocean. Eng. 2022, 251, 111130. [Google Scholar] [CrossRef]
- Yu, K.R.; Hay, A.; Pelletier, D.; Étienne, S. Two degrees of freedom vortex-induced vibration responses with zero mass and damping at low Reynolds number. J. Fluids Struct. 2018, 83, 218–237. [Google Scholar] [CrossRef]
- Williamson, C.H.K.; Govardhan, R. Defining the ´modified Griffin plotín vortex-induced vibration: Revealing the effect of Reynolds number using controlled damping. J. Fluid Mech. 2006, 561, 147–180. [Google Scholar]
- Wang, G.N.; Zhang, N.C.; Huang, G.X. Coupled effect of multi-factor on the vibration of submerged floating tunnel under impact load. Ocean Eng. 2022, 262, 112181. [Google Scholar] [CrossRef]
- Boussinesq, J. Essai sur la Théorie des Eaux Courantes; Imprimerie Nationale: Paris, France, 1877. [Google Scholar]
- Menter, F.R.; Kuntz, M.; Langtry, R. Ten Years of Industrial Experience with the SST Turbulence Model. Turbul. Heat Mass Transf. 2003, 4, 625–632. [Google Scholar]
- Zhang, H.Q.; Yang, Z.W.; Li, J.Z.; Yuan, C.; Xie, M.; Yang, H.; Yin, H. A Global Review for the Hydrodynamic Response Investigation Method of Submerged Floating Tunnels. Ocean Eng. 2021, 225, 108825. [Google Scholar] [CrossRef]























| Normalized Parameters | Expression |
|---|---|
| Non-dimensional mean in-line displacement | |
| Non-dimensional amplitude of in-line displacement | |
| Non-dimensional amplitude of cross-flow displacement | |
| Non-dimensional in-line vibration frequency | |
| Non-dimensional cross-flow vibration frequency | |
| In-line reduced velocity | |
| Cross-flow reduced velocity | |
| Root-mean-square value of lift coefficient | |
| Mean drag coefficient |
| Mesh | Ns | Elements | Nodes | |||||||
|---|---|---|---|---|---|---|---|---|---|---|
| Mesh 1 | 100 | 20,400 | 20,726 | 0.0005 | 0.0115 | 0.0416 | 1.440 | 0.425 | 1.04 | 1.002 |
| Mesh 2 | 160 | 58,025 | 58,588 | 0.0096 | 0.0401 | 1.515 | 0.410 | 1.033 | 0.986 | |
| Mesh 3 | 220 | 86,400 | 87,076 | 0.0097 (1.0%) | 0.0398 (−0.7%) | 1.516 (0.1%) | 0.413 (0.7%) | 1.03 (−0.3%) | 0.99 (0.4%) | |
| Mesh 2 | 160 | 53,025 | 53,588 | 0.001 | 0.0105 | 0.041 | 1.529 | 0.418 | 1.042 | 1.005 |
| 0.0001 | 0.0095 (−1.0%) | 0.04 (−0.2%) | 1.511 (−0.3%) | 0.411 (0.2%) | 1.033 (0) | 0.985 (−0.1%) |
Disclaimer/Publisher’s Note: The statements, opinions and data contained in all publications are solely those of the individual author(s) and contributor(s) and not of MDPI and/or the editor(s). MDPI and/or the editor(s) disclaim responsibility for any injury to people or property resulting from any ideas, methods, instructions or products referred to in the content. |
© 2024 by the authors. Licensee MDPI, Basel, Switzerland. This article is an open access article distributed under the terms and conditions of the Creative Commons Attribution (CC BY) license (https://creativecommons.org/licenses/by/4.0/).
Share and Cite
Wang, G.; Zhang, N.; Huang, G.; Zhou, Z. Numerical Simulation on the Two-Degree-of-Freedom Flow-Induced Vibration of a Submerged Floating Tunnel under Current. J. Mar. Sci. Eng. 2024, 12, 759. https://doi.org/10.3390/jmse12050759
Wang G, Zhang N, Huang G, Zhou Z. Numerical Simulation on the Two-Degree-of-Freedom Flow-Induced Vibration of a Submerged Floating Tunnel under Current. Journal of Marine Science and Engineering. 2024; 12(5):759. https://doi.org/10.3390/jmse12050759
Chicago/Turabian StyleWang, Guannan, Ningchuan Zhang, Guoxing Huang, and Zhuowei Zhou. 2024. "Numerical Simulation on the Two-Degree-of-Freedom Flow-Induced Vibration of a Submerged Floating Tunnel under Current" Journal of Marine Science and Engineering 12, no. 5: 759. https://doi.org/10.3390/jmse12050759
APA StyleWang, G., Zhang, N., Huang, G., & Zhou, Z. (2024). Numerical Simulation on the Two-Degree-of-Freedom Flow-Induced Vibration of a Submerged Floating Tunnel under Current. Journal of Marine Science and Engineering, 12(5), 759. https://doi.org/10.3390/jmse12050759

