Research on the Influencing Factors of AUV Hovering Control in Null-Speed State
Abstract
1. Introduction
2. Underwater Vehicle Platform
3. Mathematical Model of Suspension Control
3.1. Simplification and Assumptions of Hovering Control
3.1.1. Coordinate Systems
3.1.2. Movement in Horizontal Plane Excluded
3.1.3. Wave and Seabed Excluded
3.1.4. Trimming Excluded
3.2. Influencing Factors Considered in Hovering Control
3.2.1. Unbalanced Force Caused by Density Changes
3.2.2. Buoyancy Change Caused by Compressed Pressure Shell
3.2.3. Initial Imbalance between Weight and Buoyancy Forces When Propulsion Ceases
3.3. Mathematical Model of Hovering Maneuver
4. Analysis of Influencing Factors of Hovering Control Quality
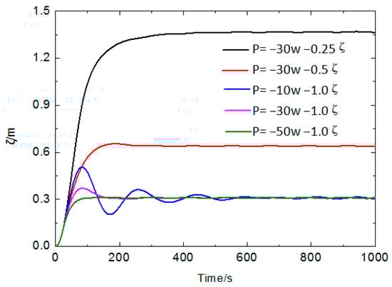
4.1. Influence of Control Parameters on Hovering Control
4.2. Influence of Control Timing on Hovering Control
4.3. Influence of Injection and Drainage Rate on Hovering Control
5. Conclusions
Author Contributions
Funding
Institutional Review Board Statement
Informed Consent Statement
Data Availability Statement
Acknowledgments
Conflicts of Interest
Appendix A
| Symbol | Explanation | Unit |
| Density of seawater | kg/m3 | |
| Drainage volume of the pressure shell | m3 | |
| The relative reduction value of the pressure shell volume as the pressure increases by one unit | m2/kg | |
| Change in buoyancy | N | |
| Hydrostatic pressure | N/m2 | |
| Hlim | Limit diving depth | m |
| Standard atmospheric pressure | N/m2 | |
| g | Gravitational acceleration | m/s2 |
| The mass of the underwater vehicle | kg | |
| The length of the underwater vehicle | m | |
| The vertical speed | m/s | |
| The drag coefficients in the vertical plane | / | |
| The drag coefficients in the vertical plane | / | |
| The drag coefficients in the vertical plane | / | |
| The depth of the underwater vehicle | m | |
| The lift force generated by the vehicle body as the speed decreases from certain speed to zero | N | |
| The active control force | N | |
| The imbalance item of buoyancy caused by density changes during depth changes | N | |
| The external interference force | N |
References
- Walid, R.; Ahmed, C.; Maarja, K. Inverse-model intelligent control of fin-actuated underwater robots based on drag force propulsion. Ocean Eng. 2021, 239, 109883. [Google Scholar]
- Narakorn, S.; Thanongsak, I.; Chirawat, W. Experimental and Computer Simulation Studies on Badminton Racquet Strings. Sensors 2023, 23, 5957. [Google Scholar] [CrossRef] [PubMed]
- Kumar, A.M.; Jyothi, N.A.K.; Dharmendra, S. Information fusion approach for downscaling coarse resolution scatterometer data. Int. J. Image Data Fusion 2023, 14, 89–106. [Google Scholar]
- Rutkowska, D.; Duda, P.; Cao, J.; Rutkowski, L.; Byrski, A.; Jaworski, M.; Tao, D. The L2 convergence of stream data mining algorithms based on probabilistic neural networks. Inf. Sci. 2023, 631, 346–368. [Google Scholar] [CrossRef]
- Mahdi, M.N.; Abbas, R. Parameters optimization of a nonlinear dynamic absorber for a nonlinear system. Arch. Appl. Mech. 2023, 93, 3243–3258. [Google Scholar]
- Ibtisam, M.G.; Ahmed, I.K.; Sajid, S. Can Nonliterates Interact as Easily as Literates with a Virtual Reality System? A Usability Evaluation of VR Interaction Modalities. Systems 2023, 11, 101. [Google Scholar] [CrossRef]
- Natalia, D.; Javier, S.D.; Mark, C. Connecting the dots in trustworthy Artificial Intelligence: From AI principles, ethics, and key requirements to responsible AI systems and regulation. Inf. Fusion 2023, 99, 101896. [Google Scholar]
- Cao, X.; Ashfaq, R.; Cheng, F. A Tumor–on–a–Chip System with Bioprinted Blood and Lymphatic Vessel Pair. Adv. Funct. Mater. 2023, 33, 7408. [Google Scholar] [CrossRef]
- Robinson, C.M.; Popović, Z.; Lasser, G. Linear broadband interference suppression circuit based on GaN monolithic microwave integrated circuits. IET Circuits Devices Syst. 2023, 17, 213–224. [Google Scholar] [CrossRef]
- Virginie, T.; Klaas, W.; Bleuenn, G. Traditional Dimensions of Seabed Resource Management in the Context of Deep Sea Mining in the Pacific: Learning from the Socio-Ecological Interconnectivity between Island Communities and the Ocean Realm. Front. Mar. Sci. 2021, 8, 637938. [Google Scholar]
- Melchers, R.E. Internal corrosion of seabed ‘parked’ steel oil and gas pipelines. Ocean. Eng. 2023, 276, 114145. [Google Scholar] [CrossRef]
- Mike, C. The application of inspection and monitoring in the reduction of risk for mine tailings dams. Proc. Inst. Civ. Eng.-Geotech. Eng. 2022, 175, 142–150. [Google Scholar]
- Karamitrou, A.; Sturt, F.; Bogiatzis, P. Identification of Black Reef Shipwreck Sites Using AI and Satellite Multispectral Imagery. Remote Sens. 2023, 15, 2030. [Google Scholar] [CrossRef]
- Nikolaos, M.; Yiannis, T. GIS-Based Optimal Route Selection of Submarine Cables Considering Potential Seismic Fault Zones. Appl. Sci. 2023, 13, 2995. [Google Scholar] [CrossRef]
- Zhang, T.Q.; Fan, Z.X.; Ning, N.; Tang, J.Z.; Kou, D.X. Analysis of Engineering and Geological Conditions of International Submarine Optical Fiber Cable Routing in the East China Sea Section. Geofluids 2022, 2022, 2527979. [Google Scholar] [CrossRef]
- Khutornaia, E.; Gnevashev, Y. Development of an Application for Controlling an Underwater Vehicle. Transp. Res. Procedia 2023, 68, 858–862. [Google Scholar] [CrossRef]
- Tholen, C.; El-Mihoub, T.A.; Nolle, L.; Zielinski, O. Artificial Intelligence Search Strategies for Autonomous Underwater Vehicles Applied for Submarine Groundwater Discharge Site Investigation. J. Mar. Sci. Eng. 2021, 10, 7. [Google Scholar] [CrossRef]
- Li, Y.F.; Wang, B.; Li, Y.; Liu, Z.Y.; Huo, W.; Li, Y.M.; Cao, J. Underwater object tracker: UOSTrack for marine organism grasping of underwater vehicles. Ocean Eng. 2023, 285, 115449. [Google Scholar] [CrossRef]
- Tomasz, P. Neural control system for a swarm of autonomous underwater vehicles. Knowl.-Based Syst. 2023, 276, 110783. [Google Scholar]
- Madanipour, V.; Najafi, F. Modal analysis of underwater hull cleaning robot considering environmental interaction. Ocean Eng. 2023, 273, 113821. [Google Scholar] [CrossRef]
- Naderolasli, A.; Shojaei, K.; Chatraei, A. Platoon formation control of autonomous underwater vehicles under LOS range and orientation angles constraints. Ocean Eng. 2023, 271, 113674. [Google Scholar] [CrossRef]
- Jin, S.; Bak, J.; Kim, J.; Seo, T.W.; Kim, H.S. Switching PD-Based Sliding Mode Control for Hovering of a Tilting-Thruster Underwater Robot. PLoS ONE 2018, 13, e0194427. [Google Scholar] [CrossRef] [PubMed]
- Salumäe, T.; Chemori, A.; Kruusmaa, M. Motion Control of a Hovering Biomimetic Four-Fin Underwater Robot. IEEE J. Ocean Eng. 2019, 44, 54–71. [Google Scholar] [CrossRef]
- Hong, S.H.; Chung, D.H.; Kim, J.W.; Kim, Y.J.; Kim, A.; Yoon, H.K. In–water visual ship hull inspection using a hover–capable underwater vehicle with stereo vision. J. Field Robot. 2019, 36, 531–546. [Google Scholar] [CrossRef]
- Bak, J.; Moon, Y.; Kim, J.W.; Mohan, S.; Seo, T.W.; Jin, S.R. Hovering control of an underwater robot with tilting thrusters using the decomposition and compensation method based on a redundant actuation model. Robot. Auton. Syst. 2022, 150, 103995. [Google Scholar] [CrossRef]
- Przybylski Michał. Selection of the Depth Controller for the Biomimetic Underwater Vehicle. Electronics 2023, 12, 1469. [Google Scholar] [CrossRef]
- Rosendo, J.L.; Clement, B.; Garelli, F. Experimental validation of constraint mitigation algorithm in underwater robot depth control. Proc. Inst. Mech. Eng. Part I J. Syst. Control Eng. 2019, 233, 264–275. [Google Scholar] [CrossRef]
- He, Y.; Xie, Y.; Pan, G.; Cao, Y.H.; Huang, Q.G.; Ma, S.M.; Zhang, D.L.; Cao, Y. Depth and Heading Control of a Manta Robot Based on S-Plane Control. J. Mar. Sci. Eng. 2022, 10, 1698. [Google Scholar] [CrossRef]
- Davidenko, Y.; Zadorozhnaya, V.H.; Bashkeev, A.; Parshin, A. Semi-Airborne UAV–TEM System Data Inversion with S-Plane Method–Case Study over Lake Baikal. Remote Sens. 2023, 15, 5310. [Google Scholar] [CrossRef]
- Li, J.C.; Chen, P.Y.; Chang, Z.; Zhang, G.B.; Guo, L.J.; Zhao, C.B. Trajectory Tracking Control of Quadrotor Based on Fractional-Order S-Plane Model. Machines 2023, 11, 672. [Google Scholar] [CrossRef]
- Jiang, C.; Lv, J.; Wan, L.; Wang, J.; He, B.; Wu, G. An Improved S-Plane Controller for High-Speed Multi-Purpose AUVs with Situational Static Loads. J. Mar. Sci. Eng. 2023, 11, 646. [Google Scholar] [CrossRef]
- Jiang, C.; Zhang, H.; Wan, L.; Lv, J.; Wang, J.; Tang, J.; Wu, G.; He, B. Design and Verification of Deep Submergence Rescue Vehicle Motion Control System. Sensors 2023, 23, 6772. [Google Scholar] [CrossRef] [PubMed]
- Xiang, B.; Wang, C.Y. The electrostatic levitation system for active suspension control of test sample in horizontal and vertical axes. Sens. Actuators A Phys. 2022, 337, 113404. [Google Scholar] [CrossRef]
- Wang, N.N.; Cai, B.; Chu, X.G.; Su, B.L. Research on suspension control strategy based on finite control set model predictive control with state feedback control-PID for maglev yaw system of wind turbine. IET Electr. Power Appl. 2021, 15, 255–270. [Google Scholar] [CrossRef]
- Cui, G.D.; Cai, B.; Su, B.L.; Chu, X.G. Radial basis function neural network–based adaptive sliding mode suspension control for maglev yaw system of wind turbines. Proc. Inst. Mech. Eng. Part I J. Syst. Control Eng. 2022, 236, 66–75. [Google Scholar] [CrossRef]
- Zou, X.Y.; Jiang, G.H.; Ye, L.C. Underwater Radiated Noise Evaluation and Experimental Analysis of the Support Mother Ship for a Manned Submersible. J. Mar. Sci. Appl. 2022, 22, 343. [Google Scholar] [CrossRef]
- Fang, X.; Liu, F.; Gao, X. Composite Learning Control of Overactuated Manned Submersible Vehicle with Disturbance/Uncertainty and Measurement Noise. IEEE Trans. Neural Netw. Learn. Syst. 2021, 32, 5575–5583. [Google Scholar] [CrossRef] [PubMed]
- Tiwari, K.B.; Sharma, R. Design and Analysis of a Variable Buoyancy System for Efficient Hovering Control of Underwater Vehicles with State Feedback Controller. J. Mar. Sci. Eng. 2020, 8, 263. [Google Scholar] [CrossRef]
- Jin, H.S.; Cho, H.J.; Huang, J.F.; Lee, J.H.; Kim, M.-J.; Jeong, S.-K.; Ji, D.-H.; Joo, K.B.; Jung, D.W.; Choi, H.-S. Hovering control of UUV through underwater object detection based on deep learning. Ocean Eng. 2022, 253, 111321. [Google Scholar] [CrossRef]
- Jyothi, V.B.N.; Ramesh, R.; Vedachalam, N.; Ramadass, G.A. Assessment of the Technological Maturity of Manned Submersible Navigation Positioning Systems. Mar. Technol. Soc. J. 2021, 55, 129–137. [Google Scholar] [CrossRef]
- Kuptsov, V.; Fajri, P.; Rasheduzzaman, M.; Magdaleno-Adame, S.; Hadziristic, K. Combined Propulsion and Levitation Control for Maglev/Hyperloop Systems Utilizing Asymmetric Double-Sided Linear Induction Motors. Machines 2022, 10, 131. [Google Scholar] [CrossRef]
- Nasrollahzadeh, S.; Moghadam, M.B.; Farnoosh, R. A Shewhart-type nonparametric multivariate depth-based control chart for monitoring location. Commun. Stat.-Theory Methods 2023, 52, 7385–7404. [Google Scholar] [CrossRef]
- Joseph, M.; Choi, H.J.; Chen, Y.X.; Umesh, V. Data-driven optimal control via linear transfer operators: A convex approach. Automatica 2022, 150, 110841. [Google Scholar]
- Latreche, T. A Numerical Algorithm for the Resolution of Scalar and Matrix Algebraic Equations Using Runge–Kutta Method. Appl. Comput. Math. 2014, 3, 68–74. [Google Scholar] [CrossRef][Green Version]
- Wang, R.; Wang, S.; Wang, Y.; Cai, M.X.; Tan, M. Vision-Based Autonomous Hovering for the Biomimetic Underwater Robot—RobCutt-II. IEEE Trans. Ind. Electron. 2019, 66, 8578–8588. [Google Scholar] [CrossRef]









| Parameter | Symbol | Value | Unit |
|---|---|---|---|
| mass | 44.9 | kg | |
| overall length | 1.56 | m | |
| overall breadth | 0.22 | m | |
| overall height | 0.22 | m | |
| vertical coordinate of buoyancy center | 0.000 | m | |
| vertical coordinate of gravity center | 0.018 | m | |
| hovering reservoir volume | 6.2 × 10−4 | m3 | |
| dimensionless hydrodynamic parameters | −7.0727 × 10−2 | - | |
| −4.6857 × 10−2 | - | ||
| −3.1621 × 10−2 | - |
| Control Element | Initial Mass Imbalance | ||
|---|---|---|---|
| 200 kg | 400 kg | 500 kg | |
| Minimum injection and drainage rate | 18 m3/h | 28.8 m3/h | 39.6 m3/h |
| Maximum depth overshoot | 3.5 m | 4.6 m | 4.5 m |
| Maximum injection and drainage volume at one time | 900 kg | 1200 kg | 1400 kg |
| Fluctuation number | 2 | 3 | 2 |
Disclaimer/Publisher’s Note: The statements, opinions and data contained in all publications are solely those of the individual author(s) and contributor(s) and not of MDPI and/or the editor(s). MDPI and/or the editor(s) disclaim responsibility for any injury to people or property resulting from any ideas, methods, instructions or products referred to in the content. |
© 2024 by the authors. Licensee MDPI, Basel, Switzerland. This article is an open access article distributed under the terms and conditions of the Creative Commons Attribution (CC BY) license (https://creativecommons.org/licenses/by/4.0/).
Share and Cite
Wang, J.; Jiang, C.; Wan, L.; Zhou, Y.; Hu, G.; Cheng, X.; Wu, G. Research on the Influencing Factors of AUV Hovering Control in Null-Speed State. J. Mar. Sci. Eng. 2024, 12, 725. https://doi.org/10.3390/jmse12050725
Wang J, Jiang C, Wan L, Zhou Y, Hu G, Cheng X, Wu G. Research on the Influencing Factors of AUV Hovering Control in Null-Speed State. Journal of Marine Science and Engineering. 2024; 12(5):725. https://doi.org/10.3390/jmse12050725
Chicago/Turabian StyleWang, Jianguo, Chunmeng Jiang, Lei Wan, Yimei Zhou, Gangyi Hu, Xide Cheng, and Gongxing Wu. 2024. "Research on the Influencing Factors of AUV Hovering Control in Null-Speed State" Journal of Marine Science and Engineering 12, no. 5: 725. https://doi.org/10.3390/jmse12050725
APA StyleWang, J., Jiang, C., Wan, L., Zhou, Y., Hu, G., Cheng, X., & Wu, G. (2024). Research on the Influencing Factors of AUV Hovering Control in Null-Speed State. Journal of Marine Science and Engineering, 12(5), 725. https://doi.org/10.3390/jmse12050725
