Next Article in Journal
Regional Sediment Management in US Coastal States: Historical Trends and Future Predictions
Previous Article in Journal
Environmental Factors Influencing Annual Changes in Bycatch per Unit Effort of Delphinus delphis around Their Main Hotspot in Korean Waters
 
 
Font Type:
Arial Georgia Verdana
Font Size:
Aa Aa Aa
Line Spacing:
Column Width:
Background:
Article

Assessment of Fishing Vessel Vulnerability to Pure Loss of Stability Using a Self-Developed Program

School of Naval Architecture and Ocean Engineering, Dalian University of Technology, Dalian 116081, China
*
Author to whom correspondence should be addressed.
J. Mar. Sci. Eng. 2024, 12(4), 527; https://doi.org/10.3390/jmse12040527
Submission received: 8 February 2024 / Revised: 7 March 2024 / Accepted: 20 March 2024 / Published: 22 March 2024
(This article belongs to the Section Ocean Engineering)

Abstract

A significant proportion of maritime incidents occurring in coastal waters are attributed to small fishing vessels. To analyze the root causes of such maritime accidents, it is imperative to conduct simulations to assess the potential pure loss of stability. This paper proposes a method of using a self-developed program to assess the vulnerability, which could be used in practice for seafarers to maintain shipping safety. To assess the vulnerability of three fishing vessels, the proposed method considers different wave conditions, where the parametric behaviors of the waves relative to the ship’s position ( ξ G / λ ) and wave steepness ( H / λ ) are explored. Additionally, vulnerability is computed systematically under diverse loading conditions, resulting in visual representations such as 2D and 3D plots. We conduct comparative simulations between the proposed method and the ICS-Hydro STAB. The simulation results reveal that the proposed method has superior accuracy in executing failure probability calculations. The prediction error is consistently below 5%.

1. Introduction

The concept of ship stability refers to a ship’s capacity to withstand external forces and revert to its initial balanced state once these external influences have vanished. This matter is vital in the field of marine engineering due to its direct effect on the ship’s safety. A 150 m ro–ro passenger vessel overturned in the North Atlantic during its departure from Japan’s Kii peninsula in 1986, as a result of the quartering sea’s impact [1]. The International Maritime Organization [2] formulated the second generation of intact stability criteria for field regulation, addressing the high rate of ship fatalities due to stability issues leading to considerable property damage and casualties. A multi-tiered approach was employed: Level 1 consisted of vulnerability assessment, and Level 2 consisted of vulnerability assessment, direct stability assessment, and operational measures. Presently, techniques employed in studying ships’ pure loss of stability fall into two primary classifications: experimental fluid dynamics (EFD) and computational fluid dynamics (CFD).
The EFD method for scale modeling in actual wave scenarios has methodically explored various instability modes, including pure of loss stability. Kan et al. [3] and Thomas et al. [4] experimentally investigated pure loss of stability in regular waves, where a static stability imbalance occurs at high speeds ( F r > 0.25 ) and in quartering sea ( λ / L ≈ 1). Olivieri et al. [5,6] conducted experiments with a model connected to a carriage using a specialized joint designed for heave, roll, and pitch. The findings indicate a range of rotational velocities in the approaching waves capable of maintaining a lateral rocking movement. The techniques of EFD are frequently applied to following seas [7,8,9] and astern seas [10,11,12] for evaluating wave characteristics, sailing velocities, and dynamic stability disparities and instability areas in correlation.
Advancements in computational methods have led to the complete development of CFD techniques, enhancing our comprehension of capsize properties. CFD simulations were conducted by [13,14,15] to evaluate the risks of failure modes during the design phase. The results demonstrate the practicality of using numerical techniques for this purpose. Through the application of CFD methods [16,17,18], stability failure was predicted in head waves, aligning well with EFD data. A simulation was conducted of a ship floating freely in waves with directional control, showcasing the interaction between the hull, propeller, and rudder [19,20]. Liu et al. [21] investigated an innovative application of the CFD method using a proprietary RANS solver combined with a dynamic overlap approach to predict the basic conditions for pure loss of stability, where large and extreme roll motions and possibly even overturning can occur. Nonetheless, it is essential to juxtapose the CFD technique with experimental models for precision assurance [7], constraining its extensive application in certain engineering fields.
Furthermore, to address the issue of pure loss of stability, various theoretical methods, such as effective wave, narrowband wave hypopaper, critical wave theory, and crossing theory, are employed. Hashimoto et al. [7] emphasized the importance of focusing on the alteration in the restoring arm ( G Z ) during a ship’s crest position when validating mathematical methods. Zhu et al. [22] employed Auto-CAD computations in conjunction with VBA code for assessing surface area, relying on the Froude–Krylov hypopaper, to calculate G Z regular waves. Bu et al. [23] analyzed the effect of different components on G Z in waves using a hybrid time-domain panel method and showed that the components due to radiation and diffraction forces have a negligible effect on the ship in following waves, but play an important role in heading waves.
EFD provides results from actual ship experiments and can capture complex potential flow behavior in ship operation. Non-linear dynamics methods based on potential flow theory require empirical estimates or ship pool test results as inputs, such as hydrodynamic coefficients, damping and restoring moment coefficients, coupling coefficients, and maneuvering coefficients, which limits the applicability of such methods [14]. CFD methods make it possible to directly predict the non-linear motion of ships without relying on these input parameters. While HydroSTAB [24], developed using CFD, offers advantages in second-generation stability analysis, it currently lacks the capability to simulate vulnerability assessments for pure loss of stability under varying wave conditions. This study employs static equilibrium conditions in heave and pitch to determine ship attitude and calculates the wave-restoring arm based on the Froude–Krylov assumption. A hybrid programming approach using Visual Basic 6.0 and MATLAB is developed to compute the vulnerability of pure stability loss layers under different loading and wave conditions, followed by data visualization. Therefore, this paper makes the following contributions to the assessment of the vulnerability of pure loss of stability:
  • Introduced is a self-developed program evaluation method aimed at meeting the scientific need for instant and accurate stability assessment. This method constructs a detailed framework, including both first- and second-layer vulnerabilities, providing an efficient and reliable tool for a deeper understanding of ship stability. Furthermore, specifically designed for use by seafarers, this method enables effective response to basic requirements in navigation operations.
  • Different wave conditions are considered in the proposed method in order to provide a complete solution for practice. A comprehensive analysis of stability margin under diverse wave conditions is also conducted to provide insights into wave effects on the pure loss of stability.
The remaining sections of this paper are structured as follows: Section 2 describes the numerical theory associated with modeling and pure loss of stability. Section 3 describes polynomial fitting and data visualization. Finally, conclusions are given in Section 4.

2. Model Building and Vulnerability Calculation

When a large wave travels just slightly faster than the ship, it may take a long time for the wave to pass or catch up to the ship. This extended duration, significantly longer than the natural roll period, can reduce the ship’s restoring moment as the wave crest approaches the midship section. This prolonged condition may lead to a large heel angle, increasing the risk of capsize. This phenomenon is known as pure loss of stability. In order to plot the pure loss of stability vulnerability, a pre-processing step is required that calculates the pure loss of stability vulnerability for different conditions and pairs the analyzed and processed data sets (in the form of polynomials). This is shown in Figure 1.
Figure 1 illustrates the fundamental framework of this study, which involves the parametric modeling of the vessel, followed by the extraction of design point data using CAESES software 4.4.2 Subsequently, computational programs for restoring moment calculations and the assessment of first- and second-level vulnerabilities to pure loss of stability are developed. These programs are utilized to analyze the stability characteristics of the vessel under various loading conditions and wave condition. The vulnerability parameters (steady heeling angles and vanishing stability angles) for pure loss of stability are intricately linked to the restoring arm, a critical factor that exhibits distinct characteristics in wave-induced and calm water conditions, as depicted in Figure 2. Specifically, steady heeling angles for G Z = l P L 2 . When the heeling angle of the vessel exceeds a certain value, it continues to heel to a specific angle at which the restoring arm (moment) diminishes to zero, leading to loss of stability. This specific angle is referred to as the angle of vanishing stability.
In this section, three types of vessels are selected for calculation, namely, 250-, 300-, and 400-ton vessels, whose main parameters are shown in Table 1.
Provided that the duration of contact with the large wave’s crest is sufficiently extended and the wave’s length matches that of the ship, stability failure may occur [25]. Therefore, for numerical calculations in this paper, the relative wavelength ( λ / L ) condition of 1 is chosen. It is noted that χ = 0° for following waves. Wave speed (c) equals ship speed.

2.1. Restoring Arm Calculation

The study of the change rule of the restoring arm and the establishment of the corresponding numerical calculation and simulation method are essential for understanding the occurrence mechanism of wave stability and improving the corresponding prediction accuracy. The calculation process of the restoring arm is shown in Figure 3.
Figure 3 shows that the calculation of the restoring arm is divided into two main parts: one part is the calculation of the restoring arm in waves, and the other part is the calculation of the hydrostatic restoring arm. The ship’s restoring arm determines the ship’s attitude according to the instantaneous static equilibrium conditions in the two directions of heave and longitudinal inclination, and the effect of waves on the restoring arm of transverse rocking can be calculated by adopting the Froude–Krylov assumption [25]. The restoring arm in calm water is calculated using optimization methods.

2.1.1. Calculation of the Restoring Arm in Calm Water

If the ship is tilted sideways by a small angle φ , the position of the center of gravity G of the ship remains unchanged at this time, and the position of the center of buoyancy of the ship moves from point B 0 to point B φ . As shown in Figure 4, the ship will then have a restoring arm, as in Equation (1), because the point of action of gravity and the point of action of buoyancy are not on the same plumb line.
G Z = G M s i n φ
The metacentric height G M can be obtained from the positional relationship between the center of buoyancy B, the center of gravity G, and the center of stability M. When the ship is not in a small angle heel, there is a non-linear relationship of the restoring moment, as shown in Equation (2).
M R = ρ g V · G Z = ( C 1 φ + C 3 φ 3 + C 5 φ 5 )
where V is the displacement volume in cubic meters, C 1 , C 3 , C 5 is moment coefficient.

2.1.2. Calculation of the Restoring Arm in Waves

Due to the complexity and irregularity of the waves, the restoring arm is different when a ship sails in calm water than the restoring arm is calculated using the Froude–Krylov assumption principle when the ship is in a wave environment. The conditions of static equilibrium of the ship in an arbitrary regular wave at a transverse inclination of A degrees are shown in Equations (3) and (4):
ρ V g ρ g 2 / L 2 / L A ( x ) d x ρ g 2 / L 2 / L F ( x ) A ( x ) c o s k ( ξ G + x c o s χ ) d x = 0
ρ g 2 / L 2 / L x A ( x ) d x + ρ g 2 / L 2 / L x F ( x ) A ( x ) c o s k ( ξ G + x c o s χ ) d x = 0
F ( x ) = a k s i n ( k B ( x ) 2 s i n χ ) k B ( x ) 2 s i n χ e k d ( x )
where F ( x ) is the pressure gradient coefficient of the transverse cross-section, B ( x ) is the waterline width of each transverse cross-section in the positive floating state of the ship in calm water, A ( x ) is the submerged profile area of each transverse cross-section, and ξ is the instantaneous attitude parameter of the ship in waves (axis down is positive) [11]. The longitudinal position of the ship’s center of gravity from a wave trough in a fixed spatial coordinate system is denoted by ξ G , where χ is the heading angle, and k is the wave number. The x-axis is in the center line plane, parallel to the base plane and pointing towards the bow as positive. From Equations (3) and (4), the width and height of the ship’s waterline surface at the wave interface can be obtained, and then combined with strip theory [26], the parameters required for calculating the ship’s restoring arm in various floating states can be computed, such as the waterline surface area, the volume of water discharge, the center of the area, the heart of the type, and the moment of the area. Therefore, the formula for calculating the restoring arm of the ship is shown in Equation (6).
ρ v g · G Z = ρ g 2 / L 2 / L y B ( x ) A ( x ) d x + ρ g 2 / L 2 / L z B ( x ) F ( x ) A ( x ) s i n k ( ξ G + x c o s x ) d x
where y B ( x ) and z B ( x ) are the area-centered coordinates of the submerged transverse section.

2.2. Pure Loss of Stability Vulnerability Criteria

With the continuous updating and refinement of the vulnerability assessment criteria for pure loss of stability, the basic framework has been established [27]. The weighing program must meet two basic conditions:
  • The length of the vessel should be greater than or equal to 24 m.
  • The Froude number F r should exceed 0.24 for ships serving higher speeds.
The F r of the ro–ro ship that was involved in the shipwreck in Sweden was 0.255, and the F r of the model tests conducted during co-operative research on container ships between Germany and Japan in the 1990s was 0.26. The limiting value of F r was selected on the basis of the above data, and at the same time the choice of the ship’s length was made to meet the co-ordination relationship between the various layers [2].

2.2.1. Level 1 Vulnerability Assessment

The non-vulnerable condition of the ship in the first level of the pure loss of stability is:
G M m i n > R P L A a n d V D V A W ( D d ) 1.0
where R P L A is 0.05 m.
Based on the vulnerability judgment conditions, the numerical calculation procedure for the loss of the first layer of pure stability has been developed in this study. The algorithmic steps of the calculation procedure are described in detail in Figure 5.
Where T d is the structural draught (m), B is the ship’s breadth (m), D is the molded depth (m), d is the draught (m), S W = 0.0334, V D is the volume of displacement at waterline equal to D (m3), V is the volume of displacement corresponding to the loading condition under consideration (m3), and A ( d ) is the water plane area at the draft equal to d (m2). If V D V A W ( D d ) 1, G M m i n can be obtained by simplifying Equation (8) based on the parameters in calm water.
G M m i n = K B + I L V K G

2.2.2. Level 2 Vulnerability Assessment

According to the IMO proposal [2], a ship is considered to be less vulnerable to pure loss of stability if Equation (9) is satisfied.
m a x ( C R 1 , C R 2 ) < R P L 0
where the coefficients C R 1 and C R 2 are the weighted averages of certain stability parameters under certain wave conditions, calculated according to Equations (10) and (11), and R P L 0 is 0.06 m.
C R 1 = i = 1 n W i C 1 i
C R 2 = i = 1 n W i C 2 i
where W i is the weighting coefficient, which is determined according to the wave conditions; in particular, since the sea state in the actual ocean environment exhibits strong randomness and uncertainty, the irregular characteristics of the waves in the actual ocean must be taken into account in the calculation of the second layer of pure loss of stability to ensure that the results of the calculation are closer to the actual situation. However, this also raises a number of stability boundary problems for random waves [28]. The coefficients C 1 i and C 2 i are the coefficients corresponding to the different waves and are determined by Equations (12) and (13).
C 1 i = 1 φ v < K P L 1 0 e l s e
C 2 i = 1 φ s w > K P L 2 0 e l s e
l P L 2 = 8 H i λ d F r 2
where φ v is the free surface corrected vanishing stability angle, φ s w is the free surface corrected stable heel angle, K P L 1 is the second layer of the scale values for the vanishing stability angle, and K P L 2 is the second layer of the scale values for the stable heel angle (15 degrees for passenger ships; 25 degrees for other ship types).
Based on the second level of equilibrium for the pure loss of stability mentioned above, the random waves in the real ocean can be transformed into a series of regular waves related to probability in order to simplify the calculation and to take into account the convenience of practical engineering applications [29]. Due to the stochastic nature of waves, an efficient and straightforward way to describe waves is to use wave spectra. The wave spectrum considered is the ITTC spectrum. A demonstration of the detailed algorithm used to calculate the vulnerability in Layer 2 is shown in Figure 6.
Where m 0 is given by:
m 0 = 0.01 ω L 3 ω L ω 2 L g s i n ω 2 L 2 g π 2 ω 2 L 2 g 2 A ω 5 e x p B ω 4 d ω
In this framework, interpolation function a 1 is used to systematically evaluate the relationship between the calculated equivalent wave height H e f f and wave height H i , and thus derive a new constant steady heeling and constant vanishing stability angle under this equivalent wave height condition.

3. Results of the Study and Data Analysis

3.1. Vulnerability Verification

To verify the reliability of the self-developed computing program in accurately predicting the vulnerability for pure loss of stability, four loading conditions were selected, and the information for the selected loading conditions is shown in Table 2.
The self-developed computing program and the ICS-HydroSTAB 1.0 software are used to calculate the pure loss of stability of the first vulnerability layer and the second vulnerability layer in Figure 7, respectively. ICS-HydroSTAB is a software developed by the China Ship Scientific Research Centre (CSRC) with the advantage of the United Nations with completely independent intellectual property rights for the assessment of the International Maritime Organization second-generation integrity stability scale. It encompasses a module for prediction of pure loss of stability failure [24,30].
For the first level of pure loss of stability, the error rates for Conditions 1 to 4 are 0.96%, 2.65%, 2.76%, and 1.17%, all of which are below 3%; For the second level of pure loss of stability, the error rates for Conditions 1 to 4 are 2.48%, 5.44%, 4.13%, and 6.27%, the average error rate across all conditions is 4.58%, indicating that the average error rate for the second-layer vulnerability is higher compared to the first layer, likely due to its higher complexity in vulnerability calculation. Overall, the error rates for both the first and second levels of pure loss of stability vulnerability are relatively low, demonstrating the high precision of in-house programs in the assessment of pure loss of stability vulnerability.

3.2. Data Point Information

In this paper, ship data points are obtained by modeling using CAESES software 4.4.2 [31]. It contains information related to hull geometry, waterline length, and hull volume, which provide the necessary data to calculate the pure loss of stability of the ship structure. The type line diagrams for a total of 21 station number sections of the ship’s structure are shown separately in Figure 8. The station number is the longitudinal sequence number of the vessel, which serves as the longitudinal coordinates of the position of the transported cargo.
The model is used to obtain input data for the calculation of the pure loss of stability, which mainly includes the value point data and the main parameters of the ship. The value point data include information on the hull geometry, waterline length, and hull volume, while the main parameters of the ship type include the width, draught, and height of the center of gravity of the ship’s length. Then, different conditions (loading and wave conditions) are considered for the calculation of the pure loss of stability of vulnerability. It should be noted that prior to the hierarchical approach vulnerability calculation, an analysis of the ship’s restoring arm in waves and calm water is carried out to determine different metacentric heights and steady heeling angles and vanishing stability angles.

3.3. Calculate the Restoring Arm

Based on the data of the main parameters of the vessel type, this section explores the variation pattern of the restoring arm under a hydrostatic environment by changing the height of the center of gravity and the draught. For the Dalian 250-ton fishing vessel, the selected range of center of gravity height is from 2.20 to 2.40 m, and the range of draught is from 2.35 to 2.75 m. For the Dalian 300-ton fishing vessel, the selected range of center of gravity height is from 2.50 to 2.70 m, and the draught range is from 2.55 to 2.95 m. For the Dalian 400-ton fishing vessel, the range of the center of gravity height value is from 3.90 to 4.10 m, and the draught range is from 4.3 to 4.7 m. Relevant studies have shown that the change in the center of gravity height has a more significant effect on the pure loss of stability than the draught [32], so the interval for the center of gravity height is chosen to be 0.1 m, while the interval for the draught is 0.2 m.

3.3.1. Calculating the Restoring Arm in Calm Water

As shown in Figure 9a–c, as the displacement of the ship increases, the extreme points of the restoring arm are 37°, 40°, and 45°, respectively. As the height of the center of gravity of the ship increases, the restoring arm of the ship changes significantly in the ranges of 16 100 , 18 100 , and 10 100 , respectively, but the overall decreasing trend of the restoring arm does not change. At the same time, the inflection point of the restoring arm from increasing to decreasing does not change significantly. With the increase in the center of gravity height and displacement of the ship, the maximum value of the restoring arm also decreases, which is 0.98 m, 0.87 m, and 0.86 m. As shown in Figure 9d–f, with the increase in the draught, the restoring arm of the ship obviously changes within the range of 20°, 23°, and 25°, but the overall decreasing trend of the restoring arm also remains unchanged. The change of the heeling angle causes the moment of inertia of the waterline surface to increase and then decrease, [33] has also come to this conclusion. At the same time, an increase in the height of the center of gravity leads to a decrease in the metacentric height, and an increase in the displacement of the ship leads to an increase in the displacement volume, both of which ultimately contribute to the restoring arm. The height of the ship’s center of buoyancy is only related to the shape of the submerged part of the ship [34], which is proportional to the ship’s draught, which in turn affects the restoring arm through the metacentric height.

3.3.2. Calculating the Restoring Arm in Waves

When a ship is operating in a wave environment, the restoring arm calculated using the Froude–Krylov assumptions is affected by several factors such as the steepness of the wave and the relative position of the wave. The steepness of a wave is actually the ratio of wave height to wavelength ( H / λ ). The different positions of the wave in the ship are generally denoted by ξ G / λ . ξ G / λ = 0.50 denotes the case when amidships is at the crest of the wave, then ξ G / λ = 1 denotes the case when amidships is at the trough of the wave, and ξ G / λ = 0.75 is between the crest and the trough of the wave.
Figure 10 shows the variation curve of the ship’s restoring arm as the relative position of the ship’s center to the wave changes while the ship is sailing in following waves. As shown in Figure 10a, the extreme points of the maximum restoring arm under different relative wave positions are 45°, 48°, and 55°, and the extreme values are 1.02 m, 0.87 m, and 0.57 m, respectively. As shown in Figure 10a–c, the maximum values of the restoring arm with the increase in the displacement are 1.02 m, 1.00 m, and 0.95 m, respectively. The effect of the change in the ship’s transverse angle of inclination on the restoring arm follows the rule of the change in the hydrostatic state. Due to the change in displacement volume caused by the displacement, the restoring arm decreases. When the midship section is located on the wave trough, the restoring arm is the largest; when the midship section is located on the wave crest, the restoring arm becomes smaller [35].
In addition to the different positions of the wave in the boat, different wave steepnesses also affect the size of the restoring arm. From Figure 9, it can be seen that in the same situation, the height of the center of gravity has a greater influence on the restoring arm relative to the draught, so it is assumed that the midship section is located on the wave crest and the wave speed is 10.28 m/s; the draught of the Dalian 250-ton, Dalian 300-ton, and Dalian 400-ton vessels is assumed to be fixed and unchanged, which is 2.35 m, 2.55 m, and 4.30 m, respectively. In this paper, the effect of different center of gravity heights of each vessel on the restoring arm is considered under different wave steepness environments.
As shown in Figure 11a, when the heeling angle is fixed, the higher the wave height, the lower the restoring arm. As shown in Figure 11a–c, as the height of the center of gravity increases, the maximum restoring arm is 0.88 m, 0.82 m, and 0.75 m, respectively. The maximum restoring arm corresponds to the heeling angle of 43°, 41°, and 40°, respectively. As shown in Figure 11c,f,i, with the influence of the ship’s displacement and center of gravity, the decrease in the maximum restoring arm is 0.38 m, 0.38 m, and 0.55 m, respectively. The increase in displacement and the influence of the height of the center of gravity follow the law of change in calm water, but the change in the restoring arm caused by the change in displacement is more drastic, because by analyzing the Froude–Krylov hypopaper, the displacement change is more important in the restoring arm, whereas the displacement change in calm water only acts directly on the radius of the transverse center of gravity. Zhang et al. [36] deduced that as the ratio of wave height to wavelength increases, the change in stability is due to the increase or decrease in the moment of inertia of the waterline surface at the front and rear of the hull. At the same time, the change in K G due to the change in height of the center of gravity ultimately affects the gradual decrease in the metacentric height.

3.4. Calculation of Vulnerability in Pure Loss of Stability

When the length, molded depth, and beam shape of a ship remain unchanged, this study varies the load characteristics and sea state characteristics of three parent ships and takes three stability characteristic parameters (steady heeling angle φ s w , minimum metacentric height G M m i n , and maximum failure probability C R m a x ) as the main calculations, analyzes the results by polynomial fitting, and finally draws graphs that can be used to quickly assess the pure loss of stability vulnerability.

3.4.1. Layer 1 of Pure of Loss Stability for Different Loading Conditions

As shown in Figure 12a–c, the minimum value of the metacentric height decreases with the increasing center of gravity height, and with increasing draught, the extreme points for the first two vessels are 2.43 m and 2.87 m, respectively, whereas for the Dalian 400-ton vessel, there is no extreme point in the range of draught from 4.3 to 4.7 m. The minimum value of the metacentric height decreases with increasing center of gravity height from 0.92 m to 0.72 m. If the draught is fixed at 4.30 m, the minimum value of the metacentric height decreases from 0.92 m to 0.72 m as the center of gravity height increases. At the same time, as the displacement increases, the minimum value of the metacentric height gradually decreases from 1.53 m to 0.72 m. In addition, the range of the minimum value of the metacentric height for this type of vessel is from 0.72 m to 1.01 m, which represents a significant difference, which is a significantly smaller characteristic compared to the range of the other two ship types from 1.5 m to 1.65 m. Finally, the maximum values of the calculated results for the three ship types were 1.67 m, 1.74 m, and 1.01 m. These values were less than the standard value of pure loss of stability vulnerability in the first layer. It can therefore be concluded that all these hull types meet the criterion for first-layer vulnerability. The increase in the height of the center of gravity and in the displacement leads to a decrease in the restoring arm. Kim et al. [37] deduced that there may be a limiting plane of the ship and that the different position of the draught relative to this plane has a different effect on the initial stability. At the same time, the Dalian 400-ton fishing vessel has a lower restoring arm in a calm water environment.

3.4.2. Layer 2 of Pure Loss of Stability Loss for Different Loading Conditions

Figure 13 shows the maximum failure probability under different loading conditions, with different colors representing different probability values. As shown in Figure 13b, the maximum probability of failure gradually increases from 0 to 0.0011 with increasing center of gravity height, and with increasing draught, the corresponding stability index is close to the minimum value when the critical point of pure loss of stability in the first plane reaches 2.87 m. As shown in Figure 13a–c, with the increasing center of gravity height and displacement, the extreme values reach 0.0011, 0.0016, and 0.0354, respectively, which are lower than the standard value of the second level R P L 0 . This indicates that the ship has met the second level of the criterion for pure loss of stability vulnerability. In addition, according to the calculation results, there is a 20-fold difference between the calculation results of the Dalian 400-ton ship and the other two ships, indicating that it is more prone to the pure loss of stability phenomenon. This is due to the relatively small metacentric height of the Dalian 400-ton vessel, which ranges from 0.72 m to 1.01 m. As the height of the center of gravity increases, the restoring arm in the waves decreases, with a corresponding increase in the maximum failure probability. At the same time, the increase in displacement leads to a decrease in the restoring arm of the ship, which affects the calculation of the maximum failure probability.
In all stability accidents, a steady heeling angle is usually considered to be the main cause of the accident [38]. Therefore, the aim of this study is to assess the vulnerability of the second layer of pure loss of stability through the study of steady heeling angle. At the same time, it is assumed that other wave parameters remain constant.
Figure 14 shows the steady heeling angle for different wave conditions. As shown in Figure 14a, when the ratio of the length of the wave to the length of the ship is 1, the steady heeling angle increases as the steepness of the wave increases with the higher wave height; when the midship section is located on the wave trough, the steady heeling angle is minimum; when the midship section is located on the wave crest, the steady heeling angle becomes very large, leading to a higher maximum failure probability. Consequently, ships are more prone to pure loss of stability under such conditions, as shown in Figure 14a–c. The extremes of stable lateral inclination for different types of ships are ξ G / λ = 0.5, H / λ = 0.1, and the extremes are 12.34°, 13.89°, and 16.07°, respectively. As shown in Figure 14a,d,g, as the height of the center of gravity and the displacement of the ship increase, the maximum values of the steady heeling angle also increase, which are 12.34°, 13.24°, and 25.53°, respectively. This is all due to the change in steady heeling angle caused by the increase or decrease in the restoring arm in the fore and aft part of the hull. This is because the increase in the height of the center of gravity leads to a decrease in the restoring arm, and the increase in the displacement of the ship leads to a decrease in the restoring arm, and both ultimately act on the steady heeling angle.

4. Conclusions

This study aims to assess the vulnerability of ships to pure loss of stability by the intact stability criteria (IMO 2020). The proposed methodology underwent validation through the use of ICS-HydroSTAB 1.0 software. The main findings of the research are as follows:
  • The self-developed computing program proposed in this study demonstrates its effectiveness in forecasting vulnerability to pure loss of stability. The prediction accuracy for first-layer vulnerability consistently remains below 3%, and for second-layer pure loss of stability, it remains under 6%.
  • By analyzing the vulnerability of ships in wave and calm water conditions, it has been observed that the primary factor leading to pure loss of stability in a specific ship type is height of the center of gravity. The height of the center of gravity directly impacts the metacentric height, which in turn affects the restoring arm. As a result, a proportional relationship can be established between vulnerability and height of the center of gravity.
  • Wave parameters, such as the ship-wave relative position to the waves and wave steepness, significantly impact the stability of ships. The stability performance of a ship varies depending on its position relative to the waves, where the most maximum and minimum stability values are observed at the wave trough and crest, respectively. Furthermore, as the ship’s amidships position approaches the wave crest or trough, the change in stability is monotonic. The alteration in the shape of the water plane as it transitions from the wave crest to the trough leads to an increase in the moment of inertia of the water plane. This increase exerts a noticeable positive effect on the restoring arm of the ship. When the amidships are at the wave crest, the change in the moment of inertia of the water plane due to wave steepness is primarily influenced by the shape of the water plane, making higher wave steepness more detrimental to stability.

Author Contributions

Conceptualization, H.Z. and K.L.; methodology, H.Z. and K.L.; software, H.Z. and K.L.; validation, H.Z. and K.L.; formal analysis, K.L.; investigation, K.L.; resources, K.L.; data curation, H.Z.; writing—original draft preparation, H.Z.; writing—review and editing, H.Z.; visualization, H.Z. and K.L.; supervision, K.L.; project administration, K.L.; funding acquisition, K.L. All authors have read and agreed to the published version of the manuscript.

Funding

This work was supported by the National Natural Science Foundation of China (Grant No. 51509033).

Institutional Review Board Statement

Not applicable.

Informed Consent Statement

Not applicable.

Data Availability Statement

Data are contained within the article.

Conflicts of Interest

The authors declare that the research was conducted in the absence of any commercial or financial relationships that could be construed as a potential conflict of interest.

References

  1. Umeda, N.; Osugi, M.; Ikenaga, Y.; Matsuda, A. Pure loss of stability in stern quartering waves: Revisited with numerical simulations reproducing accidents. In Proceedings of the 17th International Ship Stability Workshop, Helsinki, Finland, 10–12 June 2019. [Google Scholar]
  2. IMO, H. Interim Guidelines on the Second Generation Intact Stability Criteria; International Maritime Organization: London, UK, 2020. [Google Scholar]
  3. Kan, M.; Saruta, T.; Taguchi, H. Comparative Model Tests on Capsizing of Ships in Quartering Seas; The National Academies of Sciences, Engineering, and Medicine: Washington, DC, USA, 1994. [Google Scholar]
  4. Thomas, W., III. Extreme Rolling, Broaching, and Capsizing-Model Tests and Simulations of a Steered Ship in Waves. In Proceedings of the 22nd Symposium on Naval Hydrodynamics, National Academies Press, Washington, DC, USA, 17–22 September 2000; p. 359. [Google Scholar]
  5. Olivieri, A.; Francescutto, A.; Campana, E.; Stern, F. Capsize high-quality data for validation of U-RANS codes. In Proceedings of the 26th Symposium on Naval Hydrodynamics, INSEAN, Rome, Italy, 17–22 September 2006; Volume 3, pp. 313–329. [Google Scholar]
  6. Olivieri, A.; Francescutto, A.; Campana, E.; Stern, F. Parametric roll: Highly controlled experiments for an innovative ship design. In Proceedings of the 27th International Conference on Offshore Mechanics and Arctic Engineering, Estoril, Portugal, 15–20 June 2008; Volume 4, pp. 291–299. [Google Scholar]
  7. Hashimoto, H. Pure loss of stability of a tumblehome hull in following seas. In Proceedings of the 19th International Offshore and Polar Engineering Conference, ISOPE, Osaka, Japan, 21–26 June 2009; p. ISOPE–I. [Google Scholar]
  8. Lilienthal, T.; Matsuda, A.; Thomas, G. Dynamic stability in following seas: Predictive and experimental approaches. J. Mar. Sci. Technol. 2007, 12, 111–118. [Google Scholar] [CrossRef]
  9. Lu, J.; Gu, M.; Boulougouris, E. Model experiments and direct stability assessments on pure loss of stability of the ONR tumblehome in following seas. Ocean Eng. 2019, 194, 106640. [Google Scholar] [CrossRef]
  10. Htun, S.S.; Umeda, N.; Sakai, M.; Matsuda, A.; Terada, D. Water-on-deck effects on roll motions of an offshore supply vessel in regular stern quartering waves. Ocean Eng. 2019, 188, 106225. [Google Scholar] [CrossRef]
  11. Lu, J.; Gu, M.; Boulougouris, E. Model experiments and direct stability assessments on pure loss of stability in stern quartering waves. Ocean Eng. 2020, 216, 108035. [Google Scholar] [CrossRef]
  12. Umeda, N.; Osugi, M.; Sakai, M.; Matsuda, A.; Terada, D. Model experiment on pure loss of stability for a ship in astern waves and its relationship with the Second Generation Intact Stability Criteria. In Proceedings of the 16th International Ship Stability Workshop, Belgrade, Serbia, 5–7 June 2017; pp. 21–26. [Google Scholar]
  13. Carrica, P.M.; Paik, K.J.; Hosseini, H.S.; Stern, F. URANS analysis of a broaching event in irregular quartering seas. J. Mar. Sci. Technol. 2008, 13, 395–407. [Google Scholar] [CrossRef]
  14. Sadat-Hosseini, H.; Carrica, P.; Stern, F.; Umeda, N.; Hashimoto, H.; Yamamura, S.; Mastuda, A. CFD, system-based and EFD study of ship dynamic instability events: Surf-riding, periodic motion, and broaching. Ocean Eng. 2011, 38, 88–110. [Google Scholar] [CrossRef]
  15. Begovic, E.; Gatin, I.; Jasak, H.; Rinauro, B. CFD simulations for surf-riding occurrence assessment. Ocean Eng. 2020, 218, 107975. [Google Scholar] [CrossRef]
  16. Sadat-Hosseini, H.; Stern, F.; Olivieri, A.; Campana, E.F.; Hashimoto, H.; Umeda, N.; Bulian, G.; Francescutto, A. Head-wave parametric rolling of a surface combatant. Ocean Eng. 2010, 37, 859–878. [Google Scholar] [CrossRef]
  17. Zhou, Y.; Ma, N.; Lu, J.; Gu, X. A Study on Applicability of CFD Approach for Predicting Ship Parametric Rolling; STAB: Glasgow, UK, 2015; p. 465. [Google Scholar]
  18. Liu, L.; Chen, M.; Wang, X.; Zhang, Z.; Yu, J.; Feng, D. CFD prediction of full-scale ship parametric roll in head wave. Ocean Eng. 2021, 233, 109180. [Google Scholar] [CrossRef]
  19. Wang, J.; Zhao, W.; Wan, D. Free maneuvering simulation of ONR Tumblehome using overset grid method in naoe-FOAM-SJTU solver. In Proceedings of the 31th Symposium on Naval Hydrodynamics, Monterey, CA, USA, 11–16 September 2016. [Google Scholar]
  20. Wang, J.; Zou, L.; Wan, D. CFD simulations of free running ship under course keeping control. Ocean Eng. 2017, 141, 450–464. [Google Scholar] [CrossRef]
  21. Liu, L.; Feng, D.; Wang, X.; Zhang, Z.; Yu, J.; Chen, M. Study on extreme roll event with capsizing induced by pure loss of stability for the free-running ONR Tumblehome. Ocean Eng. 2022, 257, 111656. [Google Scholar] [CrossRef]
  22. Zhu, J.; Liu, R.; Ge, Y.; Wang, Z.; Huang, K. Pure loss of stability calculation of naval ships in regular waves. Chin. J. Ship Res. 2017, 12, 1–6. [Google Scholar]
  23. Bu, S.X.; Lu, J.; Gu, M. Study on the effects of radiation and diffraction forces on roll restoring arm with flared and tumblehome vessels. Ocean Eng. 2021, 239, 109777. [Google Scholar] [CrossRef]
  24. Zeng, K.; Lu, J.; Gu, M.; Yang, C. A Comparative Analysis of CFD and the Potential Flow Method for the Pure Loss of Stability in Following Waves. J. Mar. Sci. Eng. 2023, 11, 2135. [Google Scholar] [CrossRef]
  25. Lu, J.; Gu, M.; Shi, C.; Wang, T.-H. Study on numerical approach on pure loss of stability in following waves. J. Ship Mech. 2018, 22, 1198–1204. [Google Scholar]
  26. Silva, S.R.; Soares, C.G. Prediction of parametric rolling in waves with a time domain non-linear strip theory model. Ocean Eng. 2013, 72, 453–469. [Google Scholar] [CrossRef]
  27. Chung, J.; Shin, D.M.; Kim, W.D.; Moon, B.Y. Current status of the 2nd generation of intact stability: Investigation of the pure loss of stability and parametric roll mode. J. Ocean Eng. Technol. 2020, 34, 55–65. [Google Scholar] [CrossRef]
  28. Yasukawa, H.; Hirata, N. Effects of wave direction on ship turning in regular waves. Ocean Eng. 2023, 286, 115581. [Google Scholar] [CrossRef]
  29. Newman, J.N. The theory of ship motions. Adv. Appl. Mech. 1979, 18, 221–283. [Google Scholar]
  30. Lu, J.; Gu, M.; Boulougouris, E. A unified numerical method for broaching and loss of stability in astern seas. J. Mar. Sci. Eng. 2023, 11, 1555. [Google Scholar] [CrossRef]
  31. Harries, S.; Abt, C. CAESES—The HOLISHIP platform for process integration and design optimization. In A Holistic Approach to Ship Design: Volume 1: Optimisation of Ship Design and Operation for Life Cycle; Springer: Cham, Switzerland, 2019; pp. 247–293. [Google Scholar]
  32. Santos, T.A.; Soares, C.G. Numerical assessment of factors affecting the survivability of damaged ro–ro ships in waves. Ocean Eng. 2009, 36, 797–809. [Google Scholar] [CrossRef]
  33. Ma, K.; Lu, J. Theoretical study on roll stability of ships in regular wave. Ship Eng. 2011, 33, 21–25. [Google Scholar]
  34. Yu, L.; Ma, N.; Gu, X. On the mitigation of surf-riding by adjusting center of buoyancy in design stage. Int. J. Nav. Archit. Ocean Eng. 2017, 9, 292–304. [Google Scholar] [CrossRef]
  35. Bu, S.X.; Gu, M.; Abdel-Maksoud, M. Study on roll restoring arm variation using a three-dimensional hybrid panel method. J. Ship Res. 2019, 63, 94–107. [Google Scholar] [CrossRef]
  36. Zhang, Z.; Sun, S.; Chen, B.; Ren, H. Numerical investigation of a semi-submersible platform interacting with steep waves using a fully nonlinear method. Ocean Eng. 2024, 294, 116755. [Google Scholar] [CrossRef]
  37. Kim, D.J.; Yeo, D.J. Estimation of drafts and metacentric heights of small fishing vessels according to loading conditions. Int. J. Nav. Archit. Ocean Eng. 2020, 12, 199–212. [Google Scholar] [CrossRef]
  38. Chai, W.; Naess, A.; Leira, B.J. Stochastic roll response for a vessel with nonlinear damping models and steady heeling angles in random beam seas. Ocean Eng. 2016, 120, 202–211. [Google Scholar] [CrossRef]
Figure 1. Integrated framework for modeling, vulnerability assessment, and data visualization. This pre-processing pipeline combines modeling and vulnerability calculation.
Figure 1. Integrated framework for modeling, vulnerability assessment, and data visualization. This pre-processing pipeline combines modeling and vulnerability calculation.
Jmse 12 00527 g001
Figure 2. Restoring arm curve.
Figure 2. Restoring arm curve.
Jmse 12 00527 g002
Figure 3. Restoring arm calculation process.
Figure 3. Restoring arm calculation process.
Jmse 12 00527 g003
Figure 4. Ship in small heeling angle.
Figure 4. Ship in small heeling angle.
Jmse 12 00527 g004
Figure 5. Calculation of pure loss of stability first Level of vulnerability process.
Figure 5. Calculation of pure loss of stability first Level of vulnerability process.
Jmse 12 00527 g005
Figure 6. Calculation of pure loss of stability second layer of vulnerability process.
Figure 6. Calculation of pure loss of stability second layer of vulnerability process.
Jmse 12 00527 g006
Figure 7. The calculation of pure loss of stability vulnerability across different software: (a) is the first level, and (b) is the second level.
Figure 7. The calculation of pure loss of stability vulnerability across different software: (a) is the first level, and (b) is the second level.
Jmse 12 00527 g007
Figure 8. Three-dimensional model drawing of the parent vessel: (a) Dalian 250-ton fishing vessel, (b) Dalian 300-ton fishing vessel, and (c) Dalian 400-ton fishing vessel. Different numbers represent different station numbers.
Figure 8. Three-dimensional model drawing of the parent vessel: (a) Dalian 250-ton fishing vessel, (b) Dalian 300-ton fishing vessel, and (c) Dalian 400-ton fishing vessel. Different numbers represent different station numbers.
Jmse 12 00527 g008
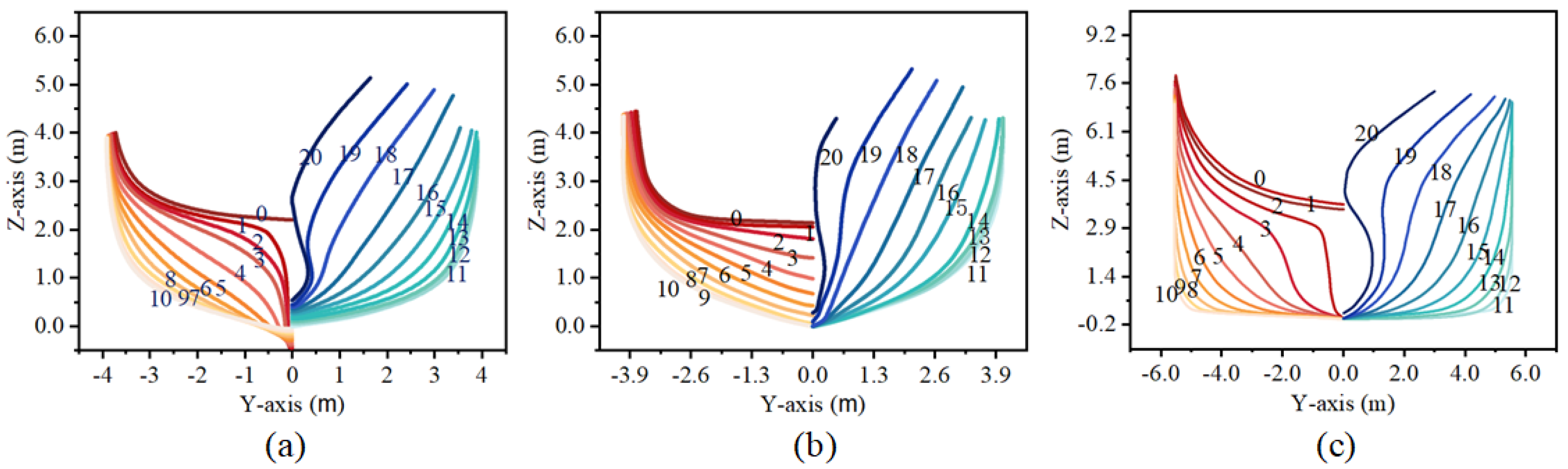
Figure 9. Restoring arm curves for different loading conditions. (a): a 250-ton ship at draught of 2.35 m; (b): a 300-ton ship at draught of 2.55 m; (c): a 400-ton ship at draught of 4.30 m; (d): a 250-ton ship at height of center of gravity of 2.20 m; (e): a 300-ton ship at height of center of gravity of 2.50 m; (f): a 400-ton ship at height of center of gravity of 3.00 m.
Figure 9. Restoring arm curves for different loading conditions. (a): a 250-ton ship at draught of 2.35 m; (b): a 300-ton ship at draught of 2.55 m; (c): a 400-ton ship at draught of 4.30 m; (d): a 250-ton ship at height of center of gravity of 2.20 m; (e): a 300-ton ship at height of center of gravity of 2.50 m; (f): a 400-ton ship at height of center of gravity of 3.00 m.
Jmse 12 00527 g009
Figure 10. The restoring arm at the relative position of ship and wave: H / λ = 0.1 , χ = 0 ° , λ = L , and c / v = 1 . (a): 250-ton ship; (b): 300-ton ship; (c) 400-ton ship.
Figure 10. The restoring arm at the relative position of ship and wave: H / λ = 0.1 , χ = 0 ° , λ = L , and c / v = 1 . (a): 250-ton ship; (b): 300-ton ship; (c) 400-ton ship.
Jmse 12 00527 g010
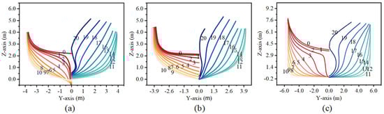
Figure 11. Restoring arm under different wave steepness. χ = 0°, ξ G / λ = 0.50, λ = L, c / v = 1 . a 250-ton ship at center of gravity heights of 2.20 m, 2.30 m, and 2.40 m in cases (ac); a 300-ton ship at center of gravity heights of 2.20 m, 2.30 m, and 2.40 m in cases (df); a 4000-ton ship at center of gravity heights of 2.20 m, 2.30 m, and 2.40 m in cases (gi).
Figure 11. Restoring arm under different wave steepness. χ = 0°, ξ G / λ = 0.50, λ = L, c / v = 1 . a 250-ton ship at center of gravity heights of 2.20 m, 2.30 m, and 2.40 m in cases (ac); a 300-ton ship at center of gravity heights of 2.20 m, 2.30 m, and 2.40 m in cases (df); a 4000-ton ship at center of gravity heights of 2.20 m, 2.30 m, and 2.40 m in cases (gi).
Jmse 12 00527 g011
Figure 12. Layer 1 vulnerability in calm water: (a) 250-ton fishing vessel, (b) 300-ton fishing vessel, and (c) 400-ton fishing vessel.
Figure 12. Layer 1 vulnerability in calm water: (a) 250-ton fishing vessel, (b) 300-ton fishing vessel, and (c) 400-ton fishing vessel.
Jmse 12 00527 g012
Figure 13. Layer 2 vulnerability: (a) 250-ton fishing vessel, (b) 300-ton fishing vessel, and (c) 400-ton fishing vessel. c / v = 1, χ = 0°, and λ = L.
Figure 13. Layer 2 vulnerability: (a) 250-ton fishing vessel, (b) 300-ton fishing vessel, and (c) 400-ton fishing vessel. c / v = 1, χ = 0°, and λ = L.
Jmse 12 00527 g013
Figure 14. Steady heel angle calculation. Wave speed c / v = 1 , χ = 0 ° , and λ = L . a 250-ton ship at center of gravity heights of 2.20 m, 2.30 m, and 2.40 m in cases (ac); a 300-ton ship at center of gravity heights of 2.20 m, 2.30 m, and 2.40 m in cases (df); a 4000-ton ship at center of gravity heights of 2.20 m, 2.30 m, and 2.40 m in cases (gi).
Figure 14. Steady heel angle calculation. Wave speed c / v = 1 , χ = 0 ° , and λ = L . a 250-ton ship at center of gravity heights of 2.20 m, 2.30 m, and 2.40 m in cases (ac); a 300-ton ship at center of gravity heights of 2.20 m, 2.30 m, and 2.40 m in cases (df); a 4000-ton ship at center of gravity heights of 2.20 m, 2.30 m, and 2.40 m in cases (gi).
Jmse 12 00527 g014
Table 1. Main parameters of ships.
Table 1. Main parameters of ships.
NoPropertySymbol250 ton Ship300 ton Ship400 ton ShipUnit
1BeamB7.884.8m
2Scantling draftTd2.73.14.5m
3Molded depthD3.94.37m
4Ship speedv161514.3mile/h
5LengthL42.448.665.6m
6Beam camberf0.150.160.22m
7Starting angle∠A000°
8Ending angle∠B100100100°
9relative wavelength λ / L 111-
10heading angle χ 000-
Table 2. Load condition information.
Table 2. Load condition information.
Condition 1Condition 2Condition 3Condition 4
height of center of gravity (m)2.562.503.903.91
Draft (m)2.932.864.504.28
Displacement (m3)568.60546.842268.062130.44
Disclaimer/Publisher’s Note: The statements, opinions and data contained in all publications are solely those of the individual author(s) and contributor(s) and not of MDPI and/or the editor(s). MDPI and/or the editor(s) disclaim responsibility for any injury to people or property resulting from any ideas, methods, instructions or products referred to in the content.

Share and Cite

MDPI and ACS Style

Zhang, H.; Li, K. Assessment of Fishing Vessel Vulnerability to Pure Loss of Stability Using a Self-Developed Program. J. Mar. Sci. Eng. 2024, 12, 527. https://doi.org/10.3390/jmse12040527

AMA Style

Zhang H, Li K. Assessment of Fishing Vessel Vulnerability to Pure Loss of Stability Using a Self-Developed Program. Journal of Marine Science and Engineering. 2024; 12(4):527. https://doi.org/10.3390/jmse12040527

Chicago/Turabian Style

Zhang, Hangming, and Kai Li. 2024. "Assessment of Fishing Vessel Vulnerability to Pure Loss of Stability Using a Self-Developed Program" Journal of Marine Science and Engineering 12, no. 4: 527. https://doi.org/10.3390/jmse12040527

APA Style

Zhang, H., & Li, K. (2024). Assessment of Fishing Vessel Vulnerability to Pure Loss of Stability Using a Self-Developed Program. Journal of Marine Science and Engineering, 12(4), 527. https://doi.org/10.3390/jmse12040527

Note that from the first issue of 2016, this journal uses article numbers instead of page numbers. See further details here.

Article Metrics

Back to TopTop