Indication of Deep-Water Gravity Flow Types by Shelf-Edge Trajectory Migration Patterns: A Case Study of the Quaternary Qiongdongnan Basin, South China Sea
Abstract
1. Introduction
2. Geological Setting
2.1. Regional Structural Division
2.2. Structural Evolution and Sedimentary Filling
3. Data and Methods
3.1. Data
3.2. Methods
4. Results
4.1. Sequence Stratigraphic Framework
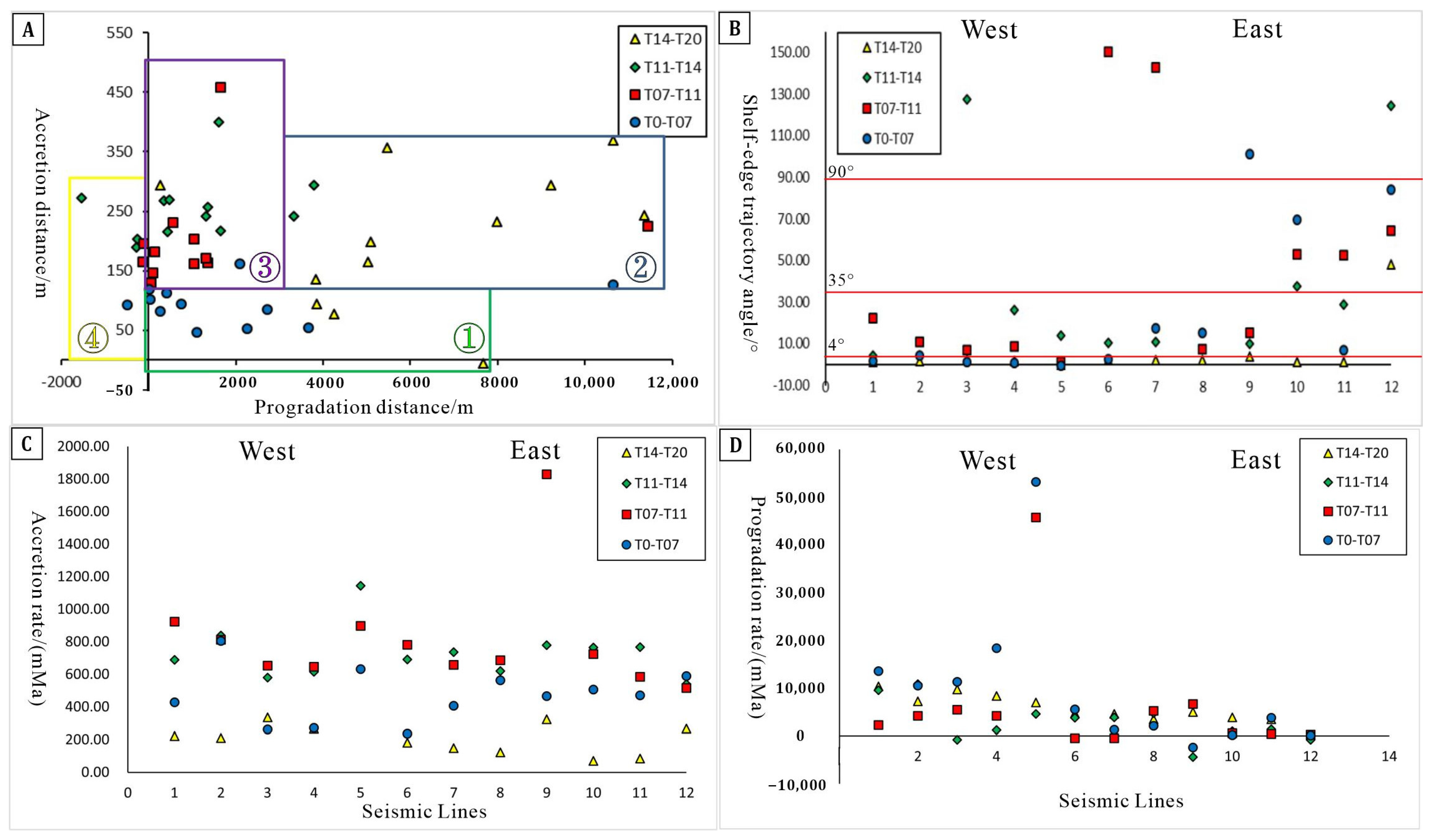
4.2. Types of Shelf-Edge Migration
4.3. Migration and Evolution of Shelf-Edge Trajectory
4.3.1. S1 (T20-T14)
4.3.2. S2 (T14-T11)
4.3.3. S3 (T11-T07)
4.3.4. S4 (T07-T0)
4.4. Types of Gravity Flow Deposits in Deep Water
4.4.1. Submarine Fan
4.4.2. Mass Transport Deposits
4.4.3. Canyon Filled Deposit
5. Discussion
5.1. The Evolution of Systems Tract Indicating by the Shelf-Edge Trajectory
5.1.1. Lowstand Systems Tract (LST)
5.1.2. Transgressive Systems Tract (TST)
5.1.3. Highstand System Tract (HST)
5.2. Relationship Between Shelf-Edge Migration and Deep-Water Gravity Flow Deposition
5.3. Shelf-Edge Trajectory Driven by Multiple Factors
5.3.1. Influence of Relative Sea Level Change on Shelf-Edge Trajectory
5.3.2. Source Supply
5.3.3. Climate Change

6. Conclusions
Supplementary Materials
Author Contributions
Funding
Data Availability Statement
Conflicts of Interest
References
- Helland-Hansen, W.; Martinsen, O.J. Shoreline Trajectories and Sequences; Description of Variable Depositional-Dip Scenarios. J. Sediment. Res. 1996, 66, 670–688. [Google Scholar]
- Løseth, T.M.; Helland-Hansen, W. Predicting the Pinchout Distance of Shoreline Tongues. Terra Nova 2001, 13, 241–248. [Google Scholar] [CrossRef]
- Payton, C.E. Seismic Stratigraphy—Applications to Hydrocarbon Exploration; American Association of Petroleum Geologists: Tulsa, OK, USA, 1977. [Google Scholar]
- Steel, R.; Olsen, T. Clinoforms, Clinoform Trajectories and Deepwater Sands. In Sequence Stratigraphic Models for Exploration and Production: Evolving Methodology, Emerging Models, and Application Histories: 22nd Annual; SEPM Society for Sedimentary Geology: Tulsa, OK, USA, 2002; pp. 367–380. [Google Scholar]
- Chenglin, G.; Wang, Y.; Steel, R.J.; Olariu, C.; Xu, Q.; Liu, X.; Zhao, Q. Growth Styles of Shelf-Margin Clinoforms: Prediction of Sand-and Sediment-Budget Partitioning into and across the Shelf. J. Sediment. Res. 2015, 85, 209–229. [Google Scholar]
- Tugdual, G.; Rovere, M.; Pellegrini, C.; Cattaneo, A.; Campiani, E.; Trincardi, F. Factors Controlling Margin Instability During the Plio-Quaternary in the Gela Basin (Strait of Sicily, Mediterranean Sea). Mar. Pet. Geol. 2021, 123, 104767. [Google Scholar]
- Helland-Hansen, W.; Hampson, G.J. Trajectory Analysis: Concepts and Applications. Basin Res. 2009, 21, 454–483. [Google Scholar] [CrossRef]
- Gemma, E.; Casas, D.; Estrada, F.; Vázquez, J.T.; Iglesias, J.; García, M.; Gómez, M.; Acosta, J.; Gallart, J.; Maestro-González, A. Morphosedimentary Features and Recent Depositional Architectural Model of the Cantabrian Continental Margin. Mar. Geol. 2008, 247, 61–83. [Google Scholar]
- Stefano, P.; Scisciani, V.; Helland-Hansen, W.; D’Intino, N.; Reid, W.; Pellegrini, C. Upslope-Climbing Shelf-Edge Clinoforms and the Stepwise Evolution of the Northern European Glaciation (Lower Pleistocene Eridanos Delta System, Uk North Sea): When Sediment Supply Overwhelms Accommodation. Basin Res. 2020, 32, 224–239. [Google Scholar]
- Si, C.; Steel, R.; Olariu, C.; Li, S. Growth of the Paleo-Orinoco Shelf-Margin Prism: Process Regimes, Delta Evolution, and Sediment Budget Beyond the Shelf Edge. Bulletin 2018, 130, 35–63. [Google Scholar]
- Mengnan, L.; Liu, H.; van Loon, A.J.; Xu, J.; Hao, S.; Zhang, Y. Analysis of the Geometric Characteristics of Clinothems and the Relationship with Shelf-Edge Trajectories of the Plio-Pleistocene Continental Slope in the Qiongdongnan Basin, South China Sea. Sedimentology 2023, 70, 5–30. [Google Scholar]
- Chenglin, G.; Steel, R.J.; Wang, Y.; Lin, C.; Olariu, C. Shelf-Margin Architecture Variability and Its Role in Sediment-Budget Partitioning into Deep-Water Areas. Earth-Sci. Rev. 2016, 154, 72–101. [Google Scholar]
- Chenglin, G.; Wang, Y.; Zhu, W.; Li, W.; Xu, Q.; Zhang, J. The Central Submarine Canyon in the Qiongdongnan Basin, Northwestern South China Sea: Architecture, Sequence Stratigraphy, and Depositional Processes. Mar. Pet. Geol. 2011, 28, 1690–1702. [Google Scholar]
- Chen Percy, P.H.; Chen, Z.Y.; Zhang, Q.M. Sequence Stratigraphy and Continental Margin Development of the Northwestern Shelf of the South China Sea. AAPG Bull. 1993, 77, 842–862. [Google Scholar]
- Ming, S.; Xinong, X.; Junliang, L.; Tao, J.; Cheng, Z.; Yunlong, H.; Shanshan, T.; Cuimei, Z. Gravity Flow on Slope and Abyssal Systems in the Qiongdongnan Basin, Northern South China Sea. Acta Geol. Sin. Engl. Ed. 2011, 85, 243–253. [Google Scholar] [CrossRef]
- Si, C.; Steel, R.; Wang, H.; Zhao, R.; Olariu, C. Clinoform Growth and Sediment Flux into Late Cenozoic Qiongdongnan Shelf Margin, South China Sea. Basin Res. 2020, 32, 302–319. [Google Scholar]
- Dawei, W.; Wu, S.; Yao, G.; Lü, F.; Strasser, M. Analysis of Quaternary Mass Transport Deposits Based on Seismic Data in Southern Deep-Water Region of Qiongdongnan Basin, South China Sea. In Landslide Science for a Safer Geoenvironment; Springer: Cham, Switzerland, 2014; Volume 3. [Google Scholar]
- Yuhong, X.; Zhang, G.; Sun, Z.; Zeng, Q.; Zhao, Z.; Guo, S. Reservoir Forming Conditions and Key Exploration Technologies of Lingshui 17-2 Giant Gas Field in Deepwater Area of Qiongdongnan Basin. Pet. Res. 2019, 4, 1–18. [Google Scholar]
- Tao, J.; Xie, X.; Wang, Z.; Li, X.; Zhang, Y.; Sun, H. Seismic Features and Origin of Sediment Waves in the Qiongdongnan Basin, Northern South China Sea. Mar. Geophys. Res. 2013, 34, 281–294. [Google Scholar]
- Shi, X.; Kohn, B.; Spencer, S.; Guo, X.; Li, Y.; Yang, X.; Shi, H.; Gleadow, A. Cenozoic Denudation History of Southern Hainan Island, South China Sea: Constraints from Low Temperature Thermochronology. Tectonophysics 2011, 504, 100–115. [Google Scholar] [CrossRef]
- Jianye, R.; Zhang, D.; Tong, D.; Huang, A.; Wang, Y.; Lei, C.; Zuo, Q.; Zhao, Y.; He, W.; Yang, L. Characterising the Nature, Evolution and Origin of Detachment Fault in Central Depression Belt, Qiongdongnan Basin of South China Sea: Evidence from Seismic Reflection Data. Acta Oceanol. Sin. 2014, 33, 118–126. [Google Scholar]
- Cao, L.; Jiang, T.; Wang, Z.; Zhang, Y.; Sun, H. Provenance of Upper Miocene Sediments in the Yinggehai and Qiongdongnan Basins, Northwestern South China Sea: Evidence from Ree, Heavy Minerals and Zircon U–Pb Ages. Mar. Geol. 2015, 361, 136–146. [Google Scholar] [CrossRef]
- Stefan, N.; Granjeon, D.; Willett, S.; Lin, A.T.-S.; Castelltort, S. Stratigraphic Modeling of the Western Taiwan Foreland Basin: Sediment Flux from a Growing Mountain Range and Tectonic Implications. Mar. Pet. Geol. 2018, 96, 331–347. [Google Scholar]
- Lei, C.; Ren, J. Hyper-Extended Rift Systems in the Xisha Trough, Northwestern South China Sea: Implications for Extreme Crustal Thinning Ahead of a Propagating Ocean. Mar. Pet. Geol. 2016, 77, 846–864. [Google Scholar] [CrossRef]
- Zhao, Z.; Sun, Z.; Sun, L.; Wang, Z.; Sun, Z. Cenozoic Tectonic Subsidence in the Qiongdongnan Basin, Northern South China Sea. Basin Res. 2018, 30, 269–288. [Google Scholar] [CrossRef]
- Mao, K.; Xie, X.; Xie, Y.; Ren, J.; Chen, H. Post-Rift Tectonic Reactivation and Its Effect on Deep-Water Deposits in the Qiongdongnan Basin, Northwestern South China Sea. Mar. Geophys. Res. 2015, 36, 227–242. [Google Scholar] [CrossRef]
- Zhao, Z.; Sun, Z.; Wang, Z.; Sun, Z.; Liu, J.; Zhang, C. The High Resolution Sedimentary Filling in Qiongdongnan Basin, Northern South China Sea. Mar. Geol. 2015, 361, 11–24. [Google Scholar] [CrossRef]
- Jie, H.; Wan, S.; Xiong, Z.; Zhao, D.; Liu, X.; Li, A.; Li, T. Geochemical Records of Taiwan-Sourced Sediments in the South China Sea Linked to Holocene Climate Changes. Palaeogeogr. Palaeoclimatol. Palaeoecol. 2016, 441, 871–881. [Google Scholar]
- Xiao, X.M.; Xiong, M.; Tian, H.; Wilkins, R.W.; Huang, B.; Tang, Y. Determination of the Source Area of the Ya13-1 Gas Pool in the Qiongdongnan Basin, South China Sea. Org. Geochem. 2006, 37, 990–1002. [Google Scholar] [CrossRef]
- Huang, H.; Huang, B.; Huang, Y.; Xing, L.; Hui, T. Condensate Origin and Hydrocarbon Accumulation Mechanism of the Deepwater Giant Gas Field in Western South China Sea: A Case Study of Lingshui 17-2 Gas Field in Qiongdongnan Basin. Pet. Explor. Dev. 2017, 44, 409–417. [Google Scholar] [CrossRef]
- Huang, B.; Tian, H.; Li, X.; Wang, Z.; Xiao, X. Geochemistry, Origin and Accumulation of Natural Gases in the Deepwater Area of the Qiongdongnan Basin, South China Sea. Mar. Pet. Geol. 2016, 72, 254–267. [Google Scholar] [CrossRef]
- Wan, S.; Li, A.; Clift, P.D.; Jiang, H. Development of the East Asian Summer Monsoon: Evidence from the Sediment Record in the South China Sea since 8.5 Ma. Palaeogeogr. Palaeoclimatol. Palaeoecol. 2006, 241, 139–159. [Google Scholar] [CrossRef]
- Xiaoming, Z.; Qi, K.; Patacci, M.; Tan, C.; Xie, T. Submarine Channel Network Evolution above an Extensive Mass-Transport Complex: A 3d Seismic Case Study from the Niger Delta Continental Slope. Mar. Pet. Geol. 2019, 104, 231–248. [Google Scholar]
- Cheng, C.; Jiang, T.; Kuang, Z.; Ren, J.; Liang, J.; Lai, H.; Xiong, P. Seismic Characteristics and Distributions of Quaternary Mass Transport Deposits in the Qiongdongnan Basin, Northern South China Sea. Mar. Pet. Geol. 2021, 129, 105118. [Google Scholar] [CrossRef]
- Wang, Z.; Jiang, T.; Zhang, D.; Wang, Y.; Zuo, Q.; He, W. Evolution of Deepwater Sedimentary Environments and Its Implication for Hydrocarbon Exploration in Qiongdongnan Basin, Northwestern South China Sea. Acta Oceanol. Sin. 2015, 34, 1–10. [Google Scholar] [CrossRef]
- Zhuo, H.; Wang, Y.; Shi, H.; He, M.; Chen, W.; Li, H.; Wang, Y.; Yan, W. Contrasting Fluvial Styles across the Mid-Pleistocene Climate Transition in the Northern Shelf of the South China Sea: Evidence from 3d Seismic Data. Quat. Sci. Rev. 2015, 129, 128–146. [Google Scholar] [CrossRef]
- Bilal U, H.; Hardenbol, J.A.; Vail, P.R. Chronology of Fluctuating Sea Levels since the Triassic. Science 1987, 235, 1156–1167. [Google Scholar]
- Li, Q.; Zhong, G.; Tian, J. Stratigraphy and Sea Level Changes. In The South China Sea: Paleoceanography and Sedimentology; Springer: Berlin/Heidelberg, Germany, 2009; pp. 75–170. [Google Scholar]
- Wei, L.; Alves, T.M.; Wu, S.; Völker, D.; Zhao, F.; Mi, L.; Kopf, A. Recurrent Slope Failure and Submarine Channel Incision as Key Factors Controlling Reservoir Potential in the South China Sea (Qiongdongnan Basin, South Hainan Island). Mar. Pet. Geol. 2015, 64, 17–30. [Google Scholar]
- Vall, P.R. The Stratigraphic Signatures of Tectonics, Eustacy and Sedimentology-an Overview. In Cycles Events Stratigraphy; Springer: Berlin/Heidelberg, Germany, 1991; pp. 617–659. [Google Scholar]
- Pyles, D.R.; Syvitski, J.P.; Slatt, R.M. Defining the Concept of Stratigraphic Grade and Applying It to Stratal (Reservoir) Architecture and Evolution of the Slope-to-Basin Profile: An Outcrop Perspective. Mar. Pet. Geol. 2011, 28, 675–697. [Google Scholar] [CrossRef]
- Rotzien, J.R.; Caldwell, R.L.; Goggin, L.R. Deepwater Depositional Environments. In Deepwater Sedimentary Systems; Elsevier: Amsterdam, The Netherlands, 2022; pp. 251–300. [Google Scholar]
- Xiaoming, Z.; Li, M.; Qi, K.; Liu, L.; Hu, G.; Wu, W.; Zhang, W.; Ge, J. Development of a Distinct Submarine Depositional System on a Topographically Complex Niger Delta Slope. Geol. J. 2020, 55, 3732–3747. [Google Scholar]
- Rui, Z.; Chen, S.; Olariu, C.; Steel, R.; Zhang, J.; Wang, H. A Model for Oblique Accretion on the South China Sea Margin; Red River (Song Hong) Sediment Transport into Qiongdongnan Basin since Upper Miocene. Mar. Geol. 2019, 416, 106001. [Google Scholar]
- Jinhua, L.; Peimin, Z.H. Gravity Induced Deposits in the Continental Slope of Qiongdongnan Basin Based on Ultrahigh Resolution Auv Data. Geol. Sci. Technol. Inf. 2019, 38, 42–50. [Google Scholar]
- Pickering, K.T.; Hiscott, R.N. Deep Marine Systems: Processes, Deposits, Environments, Tectonics and Sedimentation; John Wiley & Sons: Hoboken, NJ, USA, 2015. [Google Scholar]
- Jon R, R.; Hernández-Molina, F.J.; Fonnesu, M.; Thieblemont, A. Deepwater Sedimentation Units. In Deepwater Sedimentary Systems; Elsevier: Amsterdam, The Netherlands, 2022; pp. 203–249. [Google Scholar]
- Hampson, G.J.; Storms, J.E.A. Geomorphological and Sequence Stratigraphic Variability in Wave-Dominated, Shoreface-Shelf Parasequences. Sedimentology 2003, 50, 667–701. [Google Scholar] [CrossRef]
- Claudio, P.; Asioli, A.; Bohacs, K.M.; Drexler, T.M.; Feldman, H.R.; Sweet, M.L.; Maselli, V.; Rovere, M.; Gamberi, F.; Valle, G.D. The Late Pleistocene Po River Lowstand Wedge in the Adriatic Sea: Controls on Architecture Variability and Sediment Partitioning. Mar. Pet. Geol. 2018, 96, 16–50. [Google Scholar]
- Ramon-Duenas, C.; Rudolph, K.W.; Emmet, P.A.; Wellner, J.S. Quantitative Analysis of Siliciclastic Clinoforms: An Example from the North Slope, Alaska. Mar. Pet. Geol. 2018, 93, 127–134. [Google Scholar] [CrossRef]
- Pszonka, J.; Žecová, K.; Wendorff, M. Oligocene Turbidite Fans of the Dukla Basin: New Age Data from the Calcareous Nannofossils and Paleoenvironmental Conditions (Cergowa Beds, Polish–Slovakian Borderland). Geol. Carpathica 2019, 70, 311–324. [Google Scholar] [CrossRef]
- Pszonka, J.; Wendorff, M.; Godlewski, P. Sensitivity of Marginal Basins in Recording Global Icehouse and Regional Tectonic Controls on Sedimentation. Example of the Cergowa Basin, (Oligocene) Outer Carpathians. Sediment. Geol. 2023, 444, 106326. [Google Scholar] [CrossRef]
- Anell, I.; Midtkandal, I.; Braathen, A. Trajectory Analysis and Inferences on Geometric Relationships of an Early Triassic Prograding Clinoform Succession on the Northern Barents Shelf. Mar. Pet. Geol. 2014, 54, 167–179. [Google Scholar] [CrossRef]
- Xi, X.; Müller, R.D.; Ren, J.; Jiang, T.; Zhang, C. Stratigraphic Architecture and Evolution of the Continental Slope System in Offshore Hainan, Northern South China Sea. Mar. Geol. 2008, 247, 129–144. [Google Scholar] [CrossRef]
- Clift, P.D.; Sun, Z. The Sedimentary and Tectonic Evolution of the Yinggehai–Song Hong Basin and the Southern Hainan Margin, South China Sea: Implications for Tibetan Uplift and Monsoon Intensification. J. Geophys. Res. Solid Earth 2006, 111, B06405. [Google Scholar] [CrossRef]
- Stow, D.A.V.; Howell, D.G.; Nelson, C.H. Sedimentary, Tectonic, and Sea-Level Controls. In Submarine Fans and Related Turbidite Systems; Springer: Berlin/Heidelberg, Germany, 1985; pp. 15–22. [Google Scholar]
- Miller, K.G.; Kominz, M.A.; Browning, J.V.; Wright, J.D.; Mountain, G.S.; Katz, M.E.; Sugarman, P.J.; Cramer, B.S.; Christie-Blick, N.; Pekar, S.F. The Phanerozoic Record of Global Sea-Level Change. Science 2005, 310, 1293–1298. [Google Scholar] [CrossRef]
- Hao, L.; Meng, J.; Zhang, Y.; Yang, L. Pliocene Seismic Stratigraphy and Deep-Water Sedimentation in the Qiongdongnan Basin, South China Sea: Source-to-Sink Systems and Hydrocarbon Accumulation Significance. Geol. J. 2019, 54, 392–408. [Google Scholar]
- Xubiao, L.; Ge, J.; Zhao, X.; Qi, K.; Jones, B.G.; Fang, X. Geochemistry of Quaternary Sediments in the Northwestern South China Sea: Sediment Provenance and Mid-Pleistocene Transition. Mar. Geol. 2024, 477, 107371. [Google Scholar]
- Xu, D.R.; Xia, B.; Li, P.C.; Chen, G.H.; Ma, C.; Zhang, Y.Q. Protolith Natures and U-Pb Sensitive High Mass-Resolution Ion Microprobe (Shrimp) Zircon Ages of the Metabasites in Hainan Island, South China: Implications for Geodynamic Evolution since the Late Precambrian. Isl. Arc 2007, 16, 575–597. [Google Scholar] [CrossRef]
- Long, V.H.; Clift, P.D.; Schwab, A.M.; Huuse, M.; Nguyen, D.A.; Zhen, S. Large-Scale Erosional Response of Se Asia to Monsoon Evolution Reconstructed from Sedimentary Records of the Song Hong-Yinggehai and Qiongdongnan Basins, South China Sea. Geol. Soc. Lond. Spec. Publ. 2010, 342, 219–244. [Google Scholar]
- Alley, R.B. Wally Was Right: Predictive Ability of the North Atlantic “Conveyor Belt” Hypothesis for Abrupt Climate Change. Annu. Rev. Earth Planet. Sci. 2007, 35, 241–272. [Google Scholar] [CrossRef]
- Jie, H.; Li, A.; Wan, S. Sensitive Grain-Size Records of Holocene East Asian Summer Monsoon in Sediments of Northern South China Sea Slope. Quat. Res. 2011, 75, 734–744. [Google Scholar]
- Mei, S.; Wang, X.; Zhang, S.; Chu, G.; Su, Y.; Yang, Z. A 20,000-Year High-Resolution Pollen Record from Huguangyan Maar Lake in Tropical–Subtropical South China. Palaeogeogr. Palaeoclimatol. Palaeoecol. 2017, 472, 83–92. [Google Scholar]
- Tian, J.; Zhao, Q.; Wang, P.; Li, Q.; Cheng, X. Astronomically Modulated Neogene Sediment Records from the South China Sea. Paleoceanography 2008, 23. [Google Scholar] [CrossRef]
- Bates, S.L.; Siddall, M.; Waelbroeck, C. Hydrographic Variations in Deep Ocean Temperature over the Mid-Pleistocene Transition. Quat. Sci. Rev. 2014, 88, 147–158. [Google Scholar] [CrossRef]









Disclaimer/Publisher’s Note: The statements, opinions and data contained in all publications are solely those of the individual author(s) and contributor(s) and not of MDPI and/or the editor(s). MDPI and/or the editor(s) disclaim responsibility for any injury to people or property resulting from any ideas, methods, instructions or products referred to in the content. |
© 2024 by the authors. Licensee MDPI, Basel, Switzerland. This article is an open access article distributed under the terms and conditions of the Creative Commons Attribution (CC BY) license (https://creativecommons.org/licenses/by/4.0/).
Share and Cite
Ma, C.; Qu, H.; Liu, X. Indication of Deep-Water Gravity Flow Types by Shelf-Edge Trajectory Migration Patterns: A Case Study of the Quaternary Qiongdongnan Basin, South China Sea. J. Mar. Sci. Eng. 2024, 12, 2051. https://doi.org/10.3390/jmse12112051
Ma C, Qu H, Liu X. Indication of Deep-Water Gravity Flow Types by Shelf-Edge Trajectory Migration Patterns: A Case Study of the Quaternary Qiongdongnan Basin, South China Sea. Journal of Marine Science and Engineering. 2024; 12(11):2051. https://doi.org/10.3390/jmse12112051
Chicago/Turabian StyleMa, Chang, Hongjun Qu, and Xian Liu. 2024. "Indication of Deep-Water Gravity Flow Types by Shelf-Edge Trajectory Migration Patterns: A Case Study of the Quaternary Qiongdongnan Basin, South China Sea" Journal of Marine Science and Engineering 12, no. 11: 2051. https://doi.org/10.3390/jmse12112051
APA StyleMa, C., Qu, H., & Liu, X. (2024). Indication of Deep-Water Gravity Flow Types by Shelf-Edge Trajectory Migration Patterns: A Case Study of the Quaternary Qiongdongnan Basin, South China Sea. Journal of Marine Science and Engineering, 12(11), 2051. https://doi.org/10.3390/jmse12112051

