Next Article in Journal
Numerical Modeling on Ocean-Bottom Seismograph P-Wave Receiver Function to Analyze Influences of Seawater and Sedimentary Layers
Previous Article in Journal
Indication of Deep-Water Gravity Flow Types by Shelf-Edge Trajectory Migration Patterns: A Case Study of the Quaternary Qiongdongnan Basin, South China Sea
 
 
Font Type:
Arial Georgia Verdana
Font Size:
Aa Aa Aa
Line Spacing:
Column Width:
Background:
Article

An Analytical Study of Tsunamis Generated by Submarine Landslides

by
Francisco Uribe
*,†,
Mauricio Fuentes
and
Jaime Campos
Department of Geophysics, University of Chile, Blanco Encalada 2002, Santiago 8370449, Chile
*
Author to whom correspondence should be addressed.
These authors contributed equally to this work.
J. Mar. Sci. Eng. 2024, 12(11), 2052; https://doi.org/10.3390/jmse12112052
Submission received: 4 August 2024 / Revised: 5 September 2024 / Accepted: 9 September 2024 / Published: 13 November 2024
(This article belongs to the Section Geological Oceanography)

Abstract

In this work, the problem of tsunamis generated by underwater landslides is addressed. Two new solutions are derived in the framework of the linear shallow water equations and linear potential wave theory, respectively. Those solutions are analytical (1 + 1D) and another is semi-analytical (2 + 1D). The 1 + 1D model considers a solid body sliding over a sloping beach at a constant speed, and the 2 + 1D model considers a solid landslide that moves at a constant velocity on a flat bottom. The solution 1 + 1D is checked numerically using a different finite scheme. The 2 + 1D model examines the kinematic and geometric features of the landslide at a constant ocean depth and its influence on the generation of tsunamis. Landslide geometry significantly influences run-up height. Our results reveal a power law relationship between normalized run-up and landslide velocity within a realistic range and a negative power law for the landslide length–thickness. Additionally, a critical aspect ratio between the length and width of the sliding body is identified, which enhances the tsunamigenic process. Finally, the results show that the landslide shape does not have a decisive influence on the pattern of tsunami wave generation and propagation.

1. Introduction

After earthquakes, landslides (including the collapse of the volcano flank) are the second leading cause of tsunamis in the world [1]. There are major differences between tsunamis generated by earthquakes and submarine landslides: for example, the seafloor deformation area caused by underwater tectonic displacements is normally of hundreds of kilometers, whereas the dimensions of landslide sources may be up to a few kilometers. Another difference is the initial uplift or subsidence caused by submarine earthquakes, which is normally of the order of meters, but the seafloor change due to landslides may be up to hundreds of meters [2]. The radiation pattern is an important parameter to differentiate a seismic source from a landslide. Ref. [3] showed that the large dislocation sources in the far field can generate tsunamis featuring strong directivity, unlike the tsunamis generated by landslides.
Tsunamis generated by landslides depend on the initial location of the landslide relative to the still water level, and, therefore, landslides are classified as submarine (underwater), partially submerged or subaerial landslides [4]. Submarine landslides can exhibit large volumes, ranging up to more than 1000 km3, and they are often tsunamigenic [5].
In the last 150 years, several events of underwater landslide tsunamis have caused large run-up heights in the near field, such as 13 m for the 1929 Grand Banks event [6], 42 m for the 1946 Aleutian tsunami [7], and 15 m for the 1998 Papua New Guinea event [8]. Nevertheless, a few large landslides have generated tsunami waves in the far field. The emblematic case of the Storegga Slide occurred at 8150 BP and had an estimated volume of 2400 km3. According to [9], this gigantic landslide had regional shoreline water levels of >3 m in Hommelstø, 6–7 m in Bjugn, 9–13 m in Bergsøy, >14 m in the Faeroe Islands, >20 m in the Shetland Islands, and 3–6 m in Scotland. Moreover, [10] simulated this event, providing near-shore amplitudes of 30 m but assuming a volume of 5500 km3.
Both 1929 Grand Banks and 1975 Kalapana (Hawaii) are large submarine landslides which generated huge tsunamis. They were triggered by large earthquakes in coastal areas [11].
The lateral flank collapse of the Cumbre Vieja Volcano produced tsunami deposits in the Canary Islands that were observed up to 188 m above sea level, probably following a 830,000-year BP lateral collapse at the neighbouring Tenerife Island [12]. Ref. [13] found that in the near field (on the Canary Islands and the shores of Morocco, Spain, and Portugal), the tsunami waves were of great height, but in the far field, the waves arrived attenuated.
Tsunamis generated by landslide are mostly classified as intermediate waves or deep-water waves (relatively small wavelength), whereas tsunamis induced by earthquakes are mainly long-wave. For example, for deep water waves, dispersion plays an important role in their propagation; as the phase wave velocity depends on the wavelength, longer waves travel faster than shorter ones. Therefore, long-wave equations may be applied cautiously in modeling landslide tsunamis, or an alternative set of equations needs to be employed [2].
With respect to tsunamis caused by earthquakes, as seafloor deformation due to the speed of seismic waves occurs faster than the propagation speed of long water waves, it is assumed that the perturbation bottom is instantaneous. This is not a valid assumption for tsunamis generated by landslide because of the relatively lower speed of landslide movement on the seafloor (∼0.01–0.1 km/s). This means that the relatively slow motion of landslides during the generation process of a tsunami needs to be taken into consideration [2].
Traditionally, submarine landslide tsunamis are treated with simplified source models [5,6,14,15]. Regarding the one-dimensional models of landslide tsunamis, [16] proposed a tsunami model generated by a forcing term on a sloping beach using the linear long-wave equations. Ref. [17] used analytical methods to study a tsunami generated by a submarine landslide. They proposed a model where a sliding rigid body is a forcing term in the linear shallow water equation. They concluded that the Froude number plays an essential role in determining the characteristics of the resulting waves. Thus, in the sub-critical regime (slide velocity is lower than the tsunami phase velocity), the slide produces two main types of waves. The pulse advancing is positive in amplitude, and it moves in the same direction as the slide. Meanwhile, the regressing pulse is negative, and a third pulse (negative) moves together with the slide at the same velocity. Furthermore, [17] highlighted the dependence of the wave elevation on the acceleration of the solid moving landslide. Ref. [18] studied tsunamis generated by landslides using the linear shallow water theory. This model is one-dimensional, and the forcing term is modeled like a flat and a non-flat bottom with sliding bodies of arbitrary shapes and velocities, obtaining analytical solutions for water wave elevations and velocities by means of the Duhamel theorem (see, for instance, [19]). Ref. [20] obtained a semi-analytical solution while studying one-dimensional linear shallow water equations in a dimensionless form for tsunamis generated by a submarine landslide on a constant slope. The solution found by the authors is expressed in integral-form, which can be evaluated with numerical methods. Ref. [21] found an analytical solution derived from the linear shoreline motion for any given initial wave generated over an inclined bathymetry. Ref. [22] found several one-dimensional (1 + 1D) analytical solutions for water waves generated by a rigid (non-deformable) landslide for the linear, weakly linear, and fully dispersive models. However, the solution imposes a constant speed in a constant water depth, making it too idealized. The model showed that the difference in the initial conditions has a permanent effect on the generated waves. In addition, they advised that a case-by-case convergence test should be performed to ensure the accuracy of the computed analytical solution, since they do not always converge fast enough. Ref. [23] studied tsunamis generated by solid landslides moving at a subcritical speed in a constant water depth. Ref. [23] developed new analytical solutions by using the linear and fully dispersive wave models, consisting of complete integral-form solutions for both the free surface elevation and flow velocities.
On the other hand, great efforts have been made to develop two-dimensional analytical models for tsunamis generated by landslides, but to date, it has not been possible to obtain a closed solution to this problem. For this purpose, the dispersive term is usually dealt with by resorting to numerical methods. Ref. [10] have studied tsunamis generated by submarine landslides using a Green’s function representation from linear shallow water wave theory, generated over a constant depth by an underwater landslide moving with a uniform velocity [14]. Ref. [10] investigated the influence of submarine landslides in the wave generation for sub-critical, critical, and super-critical regimes with a frequency domain method for linear potential flow, assuming a constant landslide speed and water depth, choosing to ignore the effects of the acceleration and deceleration of the landslide. Ref. [24] studied landslide tsunamis based on the two-dimensional linear shallow water equations on a plane beach and obtained a general integral-form landslide-wave solution, expressed in terms of an infinite series of two nested integrals over infinite domains. They analyzed the large-time asymptotic behavior of the generated waves with the method of stationary phase. Then, [25] extended the analysis to consider the wave propagation around a conical island. Although these two proposed models are accurate and consider a more realistic configuration than a 1D model, it is mandatory to evaluate them numerically because these solutions contain series and integrals [22]. It is worth mentioning that [24,25] consider that the landslide moves on a slope, instead of having a constant depth.
In this study, we obtain analytical and semi-analytical solutions for the problem of a tsunami generated by a submarine landslide; these models are one-dimensional (1 + 1D) and two-dimensional (2 + 1D), respectively. While our analysis leverages the general solution for shoreline amplitude derived by [16] within the framework of linear theory, it is important to note a key difference. Ref. [16] assumed null initial conditions, meaning the landslide started from rest (zero position and velocity). Consequently, their final (1 + 1D) solution differs from ours, which incorporates non-zero initial conditions. Similarly to our work, [21] leveraged the solution from [16]. However, a key difference lies in their initial conditions. Ref. [21] assumed null initial conditions because their focus was modeling earthquake-generated tsunamis. Our model offers a more comprehensive approach compared with [22]. While they employed an analytical solution to the dimensionless linear shallow water equation for a landslide on an inclined plane, their model incorporates several limitations. Notably, [22] assumed a fixed landslide velocity, and the geometric shape was restricted to a ramp function. This limitation prevents the inclusion of landslide length as an explicit input parameter. Consequently, their model is not suitable for studying the influence of landslide length or velocity on run-up behavior through sensitivity or parametric analysis. Finally, the model proposed by [22] exhibits limitations in realism. Firstly, the landslide volume is unrealistically assumed to grow infinitely as it travels downslope. Secondly, the model fixes the landslide’s position at the origin ( x = 0 ) throughout the motion. For the 1 + 1D model, we work with the linear shallow water equation, and for the 2 + 1D model, the governing equation is the linear potential wave theory. On the other hand, one advantage of our 2 + 1D semi-analytic model is that it was solved without having to numerically invert the Laplace transform, reducing the computational time of the simulations. Additionally, we can investigate the impact of landslide kinematics on water elevation amplification for various landslide geometries. Although we rely on the general solution obtained by [16], our model deals with landslide tsunamis, while [16] focused on solving the earthquake-generated tsunami, assuming zero initial conditions. The same reason differentiates our analytical solution from [21]. Our 2 + 1D and 1 + 1D models assume an irrotational, non-viscous, and incompressible fluid. Additionally, we modeled the landslide as a rigid, non-deformable body moving at a constant velocity. It is worth mentioning that the notation (1 + 1D) is equal to ( x , t ) , and (2 + 1D) means ( x , y , t ) .
The purpose of our study is to obtain a 1 + 1D (closed) analytical solution, which does not depend on numerically solving integrals, series, etc. This solution will allow us to evaluate the run-up (shoreline amplitude) very quickly. With this solution, parametric analysis and sensitivity of the landslide geometry and kinematics can be performed, along with testing the relevance of the initial conditions in the analytical solution. Our 2 + 1D semi-analytical solution is relatively simple to numerically implement by avoiding the inversion of the Laplace transform (solution in dual space), leaving only the use of numerical tools (such as the FFT) to obtain a fast solution in the space–time domain ( x , y , t ) . We have termed our solution “semi-analytical” due to its combination of an analytical formulation and a numerical algorithm (FFT), enabling us to achieve accurate and efficient results. This solution will allow for the evaluation of landslide configurations that generate maximum water amplitudes, with maximum water amplifications based on combinations of landslide velocities and the landslide time. In addition, it evaluates how the water elevation behaves based on different values of landslide velocity and water depths.
The analytical and semi-numerical models and the assumptions are presented in Section 2. In Section 3, a 1 + 1D numerical method for linear shallow water equation is presented. In Section 4, the obtained results are analyzed from the numerical method and the 1 + 1D and 2 + 1D solutions. Finally, the discussion and conclusions of this study are presented in Section 5. Appendix A describes in detail the calculation of the new analytical solution obtained.

2. Analytical Model

To mathematically model a large submarine landslide, the 1 + 1D linear shallow water equations are employed. This model assumes a shallow depth (long wave) and a non-viscous, irrotational, and incompressible fluid. This approach allows us to analytically evaluate the run-up behavior in the near field.
In Figure 1a, η ( x , t ) is the free-surface elevation, ξ ( x , t ) is a time-dependent perturbation of the sea floor, and h 0 is the water depth.
The linear shallow water equations can be expressed in a single second-order partial differential equation,
η t t α g ( x η x ) x = ξ t t
where g is the gravity acceleration. The sloping beach model (see Figure 1a) considers an inclined plane, where h 0 = α x , α being the slope of the beach. The landslide moves at a constant speed (v) indefinitely.
The initial conditions in our model are
η ( x , 0 ) = 0
and
η t ( x , 0 ) = ξ t ( x , 0 )
The system of governing equations, represented by Equations (1)–(3), provides a mathematical framework for modeling the propagation of a tsunami generated by a submarine landslide.
Ref. [16] introduced a modified ground motion term, which considers the initial conditions (velocity and initial elevation) of the free surface and the transient ground motion. This term is expressed as
ξ 1 ( x , t ) = ξ ( x , t ) + [ η ( x , 0 ) + t η t ( x , 0 ) ] H ( t )
where H ( · ) denotes the Heaviside step function.
The forcing function for our model is defined by the coupled system of Equations (2)–(4). Therefore, ξ 1 ( x , t ) is
ξ 1 ( x , t ) = ξ ( x , t ) + t ξ t ( x , 0 ) H ( t )
In Equation (5), ξ 1 ( x , t ) allows for the modeling of the underwater landslide.

2.1. 1 + 1D Model: Parabolic Shape

An analytical model of a landslide-generated tsunami is presented below, where the forcing term has a parabolic shape (rigid); see Figure 1b. We use the Hankel–Laplace transform approach. The landslide is moving on a slope at a constant speed v offshore, indefinitely, as the depth of the ocean tends to infinity. Ref. [16] provided a general solution for a sloping beach,
η ( x , t ) = 2 α g 0 J 0 ( 2 k x ) 0 J 0 ( 2 k ψ ) 0 t ξ 1 t t ( ψ , τ ) sin ( α g k ( t τ ) ) d τ d ψ d k
where J 0 ( · ) is a Bessel function of the first kind of order zero. The Equation (6) is employed to obtain the approximated linear run-up when x = 0 , R : = max t > 0 { η ( 0 , t ) } . This statement was validated by [26]. In our setting, ξ ( x , t ) is modeled as follows:
ξ ( x , t ) = H f ( x v t )
where H is the maximum thickness of the hump.
Based on assumptions (5) and (7), underwater landslides can be described by the following function:
f ( x ) = 4 ( x x 1 ) ( x 2 x ) ( x 2 x 1 ) 2 H ( x x 1 ) H ( x 2 x )
where x 1 and x 2 are the front and tail of the landslide, respectively (see Figure 1b).
The detailed mathematical derivation of this model is presented in Appendix A. The analytical solution of Equation (6) based on (5) is divided into two terms: one that depends on the shape of the landslide (first term in Equation (5)), ξ ( x , t ) , and the other that depends on the initial velocity of the landslide (second term in Equation (5)), which we denote as η 1 ( 0 , t ) and η 2 ( 0 , t ) , respectively. Therefore, η 1 ( 0 , t ) is
η 1 ( 0 , t ) = 4 H v 2 ( x 2 x 1 ) 2 { 4 ( x 2 x 1 ) α g G 1 ( t ) H ( t t c , 1 ) + G 2 ( t ) H ( t t c , 2 ) F 1 ( t ) H ( t t c , 1 ) H ( t c , 2 t ) + F 1 ( t ) H ( t t c , 2 ) F 2 ( t ) H ( t t c , 2 ) }
and η 2 ( 0 , t ) is
η 2 ( 0 , t ) = 2 H v H ( t ) ( x 2 x 1 ) 2 { ( 2 ( x 1 + x 2 ) α g t 2 ) E 1 ( t ) H ( t t c , 1 ) E 0 ( t ) H ( t t c , 0 ) + α g 3 E 1 3 ( t ) H ( t t c , 1 ) E 0 3 ( t ) H ( t t c , 0 ) }
Finally, the analytical solution for the shoreline motion of Equation (6) is
η ( 0 , t ) = η 1 ( 0 , t ) + η 2 ( 0 , t )
where
E m ( t ) = t 2 t c , m 2 , m = 0 , 1
G i ( t ) = 1 2 ln E i ( t ) + t + 2 v α g t + 2 v α g 2 E i 2 ( t ) , i = 1 , 2
F i ( t ) = 2 t + 2 v α g 2 E i 2 ( t ) G i ( t ) + t + 2 v α g E i ( t ) , i = 1 , 2
t c , i 2 = 4 x i α g , i = 1 , 2
and t c , 0 = m i n ( t c , 2 ; t ) . Equation (11) represents the analytical solution of Equation (6), whose forcing term corresponds to a parabolic slide. This solution is continuous and differentiable (except in x = x 1 and x = x 2 ), but note that the solution (11) does not have singularities in the space domain.

2.2. 2 + 1D Model

For this model, we consider a constant layer of ideal and incompressible fluid of an infinite extent over the x y plane at a constant ocean depth. This approach enables us to examine wave propagation behavior far from the landslide source and investigate wave interactions. The reference system is set on the unperturbed free surface, and the positive z-axis is upward (see Figure 2a). The water wave equations for the velocity potential φ ( x , y , z , t ) , the free surface elevation η ( x , y , t ) , and the underwater perturbation ξ ( x , y , t ) are
Δ φ = 0 , φ z = ξ t + φ · ( h + ξ ) , at z = h + ξ , φ z = η t + φ · η , at z = η , φ t = 1 2 | φ | 2 g η , at z = η ,
where φ represents the flow velocity field. For the purposes of this paper, the above equations are reduced to their linear form,
Δ φ = 0 , φ z = ξ t , at z = h , φ z = η t , at z = 0 , φ t = g η , at z = 0 ,
The definitions of the Fourier and Laplace transform, respectively, are
F { f } ( k ) : = f ^ ( k ) = f ( r ) e i k · r d r
L { h ( t ) } ( s ) : = h ¯ ( s ) = 0 h ( t ) e s t d t
Through the definitions (18) and (19), the system of Equation (17) gives an analytical expression for η ¯ ^ ( k x , k y , s ) . Then, the general solution is
η ¯ ^ ( k x , k y , s ) = s s 2 + ω 2 ξ ¯ ^ t ( k x , k y , s ) cosh ( k h ) + η ^ 0 ( k x , k y )
where η 0 ( x , y ) is the initial condition, k 2 = k x 2 + k y 2 . Recall that this solution captures the dispersive effects accounted for by the dispersion equation: ω 2 = c 2 k 2 tanh ( k h ) k h , c = g h is the linear long-wave phase velocity, h is the ocean depth, and g is the gravity acceleration.
Assuming zero initial conditions and inspired by the study of [27], we use the convolution theorem to solve Equation (20), which can be rewritten as follows:
η ^ ( k x , k y , t ) = R ξ ^ t ( k x , k y , τ ) cosh ( k h ) cos ( ω ( t τ ) ) H ( t τ ) d τ
where H ( · ) denotes the Heaviside step function and R corresponds to a set of real numbers. In our model, ξ ( x , y , t ) models the underwater landslide that travels along the x-axis, and can be written in the form
ξ ( x , y , t ) = ξ 0 ( x x 0 ( t ) , y )
Applying the space-shifting property of the Fourier transform to Equation (22), we obtain
ξ ^ ( k x , k y , t ) = e i k x x 0 ( t ) ξ ^ 0 ( k x , k y )
Then, we calculate the derivative of ξ ^ ( k x , k y , t ) with respect to t,
ξ ^ t ( k x , k y , t ) = i k x x ˙ 0 ( t ) e i k x x 0 ( t ) ξ ^ 0 ( k x , k y )
In this model, we assume that x ˙ 0 ( t ) = v [ H ( t ) H ( t T ) ] , where T is the slide duration. Replacing Equation (24) in Equation (21),
η ^ ( k x , k y , t ) = i k x v ξ ^ 0 ( k x , k y ) cosh ( k h ) R e i k x x 0 ( τ ) cos ( ω ( τ t ) ) H ( τ ) H ( t τ ) [ H ( τ ) H ( τ T ) ] d τ
From the Equation (25), two cases are extracted where the integral has a non-zero value, such that 0 < τ < t τ < T . Based on these cases, we define the new limits of integration. Equation (25) yields
η ^ ( k x , k y , t ) = i k x v ξ ^ 0 ( k x , k y ) cosh ( k h ) 0 t * e i k x v τ cos ( ω ( t τ ) ) d τ
where t * = min ( t , T ) . The integral in Equation (26) is simple to compute, and then, the solution reduces to
η ^ ( k x , k y , t ) = i k x v ξ ^ 0 ( k x , k y ) cosh ( k h ) e i k x v t F c ( k x v , ω , t ) F c ( k x v , ω , t t * )
and F c ( a , b , t ) is defined as
F c ( a , b , t ) = e i a t b sin ( b t ) i a cos ( b t ) b 2 a 2
In order to return to the physical space in Equation (27), it is necessary to apply the inverse Fourier transform. Due to the complexity of the problem, the Fourier inversion relies on the Fast Fourier Transform (FFT), which makes this solution a semi-analytical one. We model two cases of landslides; the first has a sinusoidal shape, and the second is trapezoidal. The cases are presented below.

2.2.1. Case I: Sinusoidal Shape

From Equation (20), ξ 0 ( x , y ) models the landslide in space, and is defined by
ξ 0 ( x , y ) = H sin π x L H x ( L x ) W 2 | y |
where H is the maximum thickness of the landslide, W is the slide width, and L is the landslide length (see Figure 2b). We define V 0 as the volume of the landslide. Applying the Fourier transform to x and y, we obtain
ξ ^ 0 ( k x , k y ) = π 2 V 0 2 sinc k y W 2 1 + e i k x L π 2 ( k x L ) 2 , sinc ( x ) = sin ( x ) x

2.2.2. Case II: Trapezoidal Shape

For this case, ξ 0 ( x , y ) is defined as an isosceles trapezoid function
ξ 0 ( x , y ) = H δ x , 0 x δ , | y | W 2 , H , δ x L δ , | y | W 2 , H δ ( L x ) , L δ x L , | y | W 2 , 0 , otherwise
where δ is the slope section at the beginning and end of the trapezoid (see Figure 2c). Taking the Fourier transform of Equation (31), we obtain
ξ ^ 0 ( k x , k y ) = V 0 δ ( L δ ) k x 2 sinc k y W 2 e i k x δ 1 + e i k x L ( e i k x δ 1 )
The advantage of modeling the landslide with Equations (30) and (32) is that it is easy to code by simply entering them as inputs in Equation (27).

3. Numerical Method for the 1 + 1D Model

In this section, we numerically solve the same problem of Section 2 by using the difference finite method. In our model, η j m corresponds to the value of an approximated discrete solution at the point ( x j , t m ) of the exact solution η ( x , t ) . We consider a uniform grid defined by the points x j = j Δ x , j = 0 , 1 , , N , with the cell boundaries of interval ( x j 1 2 , x j + 1 2 ) . Thus, we use a forward difference at space x j and a second-order central difference for the time derivative at t m . The numerical solution of systems (1)–(3) is
η j m + 1 = 2 [ 1 j γ ] η j m + γ j + 1 2 η j + 1 m + j 1 2 η j 1 m η j m 1 + ξ j m + 1 2 ξ j m + ξ j m 1
where
γ = α g ( Δ t ) 2 Δ x
The orders of Equation (33) are O ( Δ x , Δ t 2 ) . With Equation (33), η j m + 1 can be obtained in terms of two previous time steps, m and ( m 1 ) . Using the initial conditions, we obtain η j 1 and η j 2 . Assuming that the initial displacement is zero,
η j 0 = 0 , m = 0
Based on the initial velocity on the free surface being zero, η j 2 results in
η j 1 = ξ j 1 ξ j 0 , m = 1
Now, we establish the boundary condition of a vertical wall at the first point of the domain
η 1 m η 1 m 2 Δ t = 0 , j = 0
Thus, replacing Equation (37) in (33), we obtain the boundary condition of a vertical wall. Finally, we calculate the transparent boundary condition at the domain limits,
η N m + 1 = η N m 1 2 γ 0 ( η N m η N 1 m ) , γ 0 = Δ t Δ x g h max
where h max = α x N , and N is the index for the domain limit. The final equation for the transparent boundary condition is reached by replacing (38) in (33). As a stability criterion for the numerical simulation, the Courant–Friedrichs–Lewy (CFL) condition needs to be respected;
Δ t Δ x g h max

4. Analysis and Results

This section is composed of two main subsections where the results of a series of analyses of the analytical and semi-analytical models are presented, exploring the behavior of both solutions and finding the limits of and influence that the inputs have on these solutions.

4.1. Analytical Solution 1 + 1 D

This subsection is divided into four parts. First, Equations (10) and (11) are compared to show how the shape and velocity of landslides contribute the tsunami generation. Second, we compare our analytical solution with a numerical scheme for fictitious landslides. Third, we perform a parametric analysis, focusing on the length–thickness and velocity of the landslide. Finally, we present the results of the run-up behavior when the range of the length–thickness and velocity of the landslide values is wide.

4.1.1. Contribution of the Landslide Shape and Initial Condition

The current experiment consists of showing the contribution of η 1 ( 0 , t ) and η 2 ( 0 , t ) to the analytical solution, η ( 0 , t ) . For this purpose, a theoretical landslide is used, and the inputs are as follows: x 1 = 1000 m, x 2 = 2000 m, α = 0.2679 , and v = 10 m/s.
In Figure 3, it is shown that the largest contribution to Equation (11) is η 2 ( 0 , t ) . This result has a great consequence, as we can state that it is very important to determine the value of η ( 0 , t ) by correctly assuming the initial conditions of the problem, and not only the shape of the landslide, since its contribution is smaller.

4.1.2. Comparison: Analytical and Numerical Solution

For the same inputs as in Section 4.1.1 (for example: x 1 , x 2 , α , and v), the numerical and analytical models are compared. This exercise seeks to give completeness to the Equation (11). The results are displayed in Figure 4. The selected inputs for the numerical model are Δ x = 1 m and Δ t = 0.0086 s (given by the CFL condition).
In Figure 4, the analytical and numerical solutions are in good agreement. In addition, it is possible to capture the maximum run-up and run-down together with the arrival times. Therefore, for theoretical analyses where the governing equations’ assumptions hold, the analytical solution is preferred due to its efficiency in reducing the calculation time.

4.1.3. Parametric Analysis: Consistency with the Linear Shallow Water Equation

Here, we study the influence of the velocity and length–thickness of the landslide in Equation (11). In this subsection, we do not to study the contribution of the slope because we are interested in analyzing only the kinematics and geometry of the landslide, not external factors such as bathymetry. If α = 0.2679 , x 1 = 1000 m, L = x 2 x 1 = 1000 m, and H = 100 m, then S 0 : = 2 3 L H = 6.67 × 10 4 m2, where S 0 is the cross-sectional area of the landslide. The purpose of this experiment is to find the behavior of η ( 0 , t ) / H when x 1 , S 0 and α are fixed, and only v (see Figure 5a), and x 2 with H (see Figure 5b) are modified.
For the velocities of the submarine landslide, ref. [28] established that 1 < v < 100 m/s. However, in Figure 5a, because the run-up spans several orders of magnitude, we take the observation window for the landslide velocity as 5 v 40 m/s. In Figure 5a, a slight increase in R is observed for an increase of eight-fold in the landslide velocity, as from v = 5 m/s to v = 40 m/s, R increases 5.6 times. Figure 5b shows that R = 22 m when H = 60 m, and R = 68 m when H = 130 m (producing a three-fold increase). Therefore, this shows that in the observation window, R increases faster for the landslide length–thickness than for the landslide velocity. For the previous case, we assume that x 1 = 1000 m, and x 2 = x 1 + 1.5 S 0 H ; for this reason, x 2 and H change for each curve.

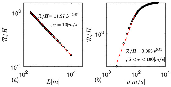
4.1.4. Trend of the Run-Up

We analyze how the maximum run-up generated by a landslide varies when the length–thickness and velocity of the landslide are modified. This experiment seeks to explore the behavior of run-ups and set the limits of Equation (11) by covering realistic and unrealistic values for the velocity and length–thickness of the landslides. In Figure 6a,b, each point corresponds to a landslide whose configuration is the same as that studied in Section 4.1.2 and Section 4.1.3.
Figure 6a depicts a negative power law relationship between landslide length–thickness and normalized run-up. It would be expected that R decreases as L increases. Figure 6a shows that R and L follow a relationship that is proportional to the square root. On the other hand, in Figure 6b, R / H increases as the landslide velocity increases but is a non-linear curve when v > 100 m/s. Therefore, we can say that it presents logarithmic behavior (slow growth, but not asymptotic). For Figure 6a,b, a first-order fit is applied with a coefficient of determination ( R C D 2 ) of 0.9997 and R C D 2 = 0.9732 , respectively.
To provide a clear understanding of the experiments conducted in Section 4.1.1, Section 4.1.2, Section 4.1.3 and Section 4.1.4, Table 1 presents a comprehensive summary of the dimensional input parameters employed in the 1 + 1D analytical models. This table details the geometric characteristics of the submarine landslide, including its dimensions, as well as the landslide velocity and the slope of the beach.

4.2. Semi-Analytical Solution 2 + 1 D

While analytical solutions for potential wave theory on a sloping beach remain elusive, the 1 + 1D case, as commonly found in the literature, allows for closed-form solutions using the linear shallow water equations (SWE). Here, we present a novel analytical solution for this scenario. However, transitioning to a 2 + 1D analytical solution necessitates a simplification to a flat bottom, where the linear SWE reduces to the 2D wave equation; for this reason, the linear potential wave theory is employed. In exchange for a less complex bathymetry, the analytical approach allows for the inclusion of wave dispersion.
Next, a series of analyses of the 2 + 1D model are presented. First, we model a large landslide moving at low velocities. A velocity of 20 m/s was chosen, which is representative of this type of event (see, for instance, [5,9,29] ). For landslide dimensions, we selected a range informed by two well-documented events: the 1998 Papua New Guinea landslide [30] and the Storegga Slide [9]. Second, an experiment was performed to visualize the maximum amplification of the tsunami waves generated by a gigantic landslide. Third was a test that seeks to find the landslide configuration that generates the highest elevation of the water surface. Fourth was a time series of a landslide moving at different velocities under different water depths. The last experiment shows how the normalized tsunami peak amplitude ( R / H ) changes with respect to a variation in the ratio between landslide thickness and water depth ( H / h ) for different locations.

4.2.1. Simulation of a Gigantic Landslide

A simulation of a gigantic (idealized) landslide with a sinusoidal and trapezoidal shape is performed, whose inputs are h = 4 km (water depth), H = 100 m (thickness of landslide), v = 20 m/s (velocity of landslide), T = 60 s (slide duration), L = 64 km (length of landslide), and W = 25 km (width of landslide), and the domain limits are 350 ( x , y ) 350 km.
Figure 7 shows the characteristic pattern of tsunamis generated by gigantic submarine landslides, which starts with dipoles in the source zone (the wave crest moves in the same direction as the landslide displacement; the trough moves in the opposite direction), and their propagation is symmetric with respect to the y-axis. Also, a clear fading of the leading waves is observed as one moves away from the source and as time progresses (see Figure 8).
The time series of the three tide gauges presented in Figure 8 belong to the simulation of the event mentioned above (Figure 7).
Figure 8 shows the comparisons of free surface elevations of the synthetic stations located at ( 0 , 0 ) , ( L + v T , 0 ) , and ( 3 L + v T , 0 ) for the same event presented in Figure 7. A similarity of the η ( x , y , t ) / H curves is observed between the sinusoidal and trapezoidal landslides, independent of the location of the stations. In addition, a rapid decrease in the absolute value of the amplitude is observed.

4.2.2. Wave Amplification Due to Combined Effect of Landslide Velocity and Slide Duration

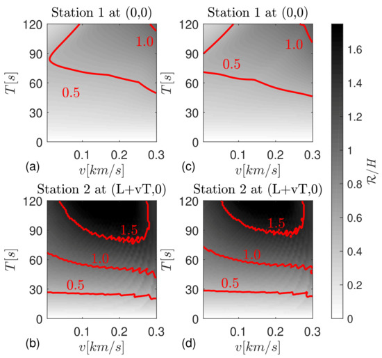
A set of simulations were performed by varying the landslide velocity ( 5 v 300 m/s) and slide duration ( 0 T 120 s). The idea is to find where amplification effects are present. The inputs for this test are h = 4 km, H = 0.1 km, L = 64 km, W = 25 km, and T sim = 5 min, and the domain limits are 350 ( x , y ) 350 km. The results of this experiment are displayed in Figure 9.
Figure 9 presents a broad variation of the run-up in terms of the slide duration and landslide velocity. Here, the maximum run-up relative to the two stations is displayed. The station at ( L + v T , 0 ) presents the higher amplification, where the directivity effects are stronger. In Figure 9b,d, it is observed that the amplification is the highest due to a landslide velocity with nearly critical velocity.

4.2.3. Optimal Landslide Aspect Ratio for Wave Amplification

The analytical nature of the problem enables us to investigate the landslide configuration ( L / W ratio) that maximizes tsunami wave amplification. In the following experiment, the width W and volume of the landslide V 0 = H L W are fixed; only length L and thickness H are investigated. The purpose is to determine the optimal shape of the landslide, given its aspect-ratio L / W , that maximizes the wave amplification.
Figure 10a presents a series of simulations for trapezoidal and sinusoidal landslide shapes, where the yellow point corresponds to the maximum value of R / H , and its coordinate is (0.84, 25.13). For this analysis, we assume that h = 4 km, H = 100 m, L = 64 km, W = 25 km, T = 60 s, T sim = 5 min, and the domain limits are 350 ( x , y ) 350 km; V 0 = 101.86 km3, and as the landslide length changes for each simulation, the landslide thickness must also change (to keep V 0 constant). Therefore, the expressions for H are as follows: sinusoidal shape, H = H ( L ) = π 2 V 0 W L ; trapezoidal shape, H ( L ) = V 0 W ( L δ ) .

4.2.4. Influence of the Water Depth on Tsunami Waves

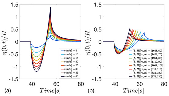
While the Froude number is a significant factor in landslide-generated tsunamis, our study aims to quantify the influence of all model parameters, including water depth. Here, we assume that H < h , so the landslide is always submerged. Furthermore, we consider that the landslide moves at a subcritical velocity (v), and the waves generated are recorded by two stations, located at ( 0 , 0 ) and ( L + v T , 0 ) . The objective of this test is to show how the waves change when the water depth changes (keeping the landslide parameters fixed). The inputs for this test are L = 64 km, W = 25 km, H = 100 m, v = 0.1 g h m/s, T = 60 s, T sim = 8 min, and 0.2 h 3.9 km.
In Figure 11, time series of water surface elevation varying with water depth and landslide velocity are shown. Figure 11a,c shows that for Station 1, the waveform is mostly negative (negative pole), while for Station 2, the waveform is mostly positive. Station 1 experiences this behavior because it is situated near the negative dipole, which propagates in the opposite direction compared with the landslide motion. Conversely, at Station 2, the positive waveform travels in the same direction as the landslide movement. It is observed that for the trapezoidal landslide (Figure 11c,d), there is a greater frequency dispersion for times greater than 4 min. In Figure 11a,b (sinusoidal shape), the η / H curve shows no clear wave dispersion. One explanation for this phenomenon might be the shape of the landslide, which, not being a smooth function, can generate these disturbances in the records. However, the range of the values of η / H is similar for both shapes of landslides.
The next test compares the time series for sinusoidal and trapezoidal landslides for different subcritical velocities, water depths, and coordinates of the stations in Figure 11. Our purpose with this test is to make a comparison between the time series generated by the sinusoidal and trapezoidal landslide, varying water depth, and landslide velocity. The inputs are L = 64 km, W = 25 km, H = 100 m, v = 0.1 g h m/s, T = 60 s, and T sim = 8 min.
A comparison between the time series generated by the sinusoidal and trapezoidal landslide for different depths and velocities of the landslide is presented in Figure 12. A similarity between the two curves is observed for Station 1, especially when h H and the time is less than 3 min. However, the similarity between the two curves for Station 2 is not as good as for Station 1. For Figure 11 and Figure 12, a plateau is observed when h < 0.5 km, but when h > 3.5 km, this plateau is not present. This is due to frequency dispersion, since when H h , this phenomenon is weak, so the wave travels as a wave packet at a constant speed (phase velocity). This does not occur when h H , because there is an attenuation of waves as they travel away from the source.
The final experiment shows how the normalized run-up behaves when the water depth varies. The inputs are L = 64 km, W = 25 km, H = 100 m, v = 0.1 g h m/s, T sim = 8 min, T = 60 s, 0.025 H / h 0.5 , and 350 ( x , y ) 350 km. Two stations were used to record the waves: one is located at (0,0) and the second is at ( L + v T , 0 ) . This test aims to investigate the behavior of the normalized run-up at two stations across a wide range of H / h values.
In Figure 13, the maximum amplification of the tsunami generated by the sinusoidal and trapezoidal landslide for different H / h values is presented. In Figure 13a, for both models, it is observed that η m a x / H tends to 0.016 when H / h 0.125 . On the other hand, for Station 2 (Figure 13b), the trend is similar, but the values of η m a x / H are slightly lower for the trapezoidal shape. In addition, there is a vertical gap at H / h = 0.143 , and for H / h > 0.143 , there is a plateau in both curves η m a x / H 0.015 . For Figure 13a, the η m a x / H curve for the sinusoidal shape tends to 0.005, but the trapezoidal shape has a different curve, reaching a maximum η m a x / H = 0.0116 at H / h = 0.25 .
Table 2 below presents the key input parameters required for our 2 + 1D semi-analytical simulations. The purpose of this table is to provide a comprehensive overview of the input parameters utilized in Section 4.2.1, Section 4.2.2, Section 4.2.3 and Section 4.2.4.

5. Discussion and Conclusions

Despite their limitations due to the idealized conditions, analytical solutions are invaluable tools for studying tsunamis. These solutions provide a foundational understanding of wave propagation, enabling the development of initial mathematical and physical models. While theoretical scenarios may diverge from real-world complexities, insights from analytical models serve as a cornerstone for refining numerical simulations and expanding our knowledge of tsunami behavior. Ultimately, this enhanced understanding contributes to improved risk assessment and mitigation strategies.
We obtained a new analytical solution for the 1 + 1D linear shallow water equation. We derived an analytical solution by inverting the Hankel–Laplace transform. Unlike [22], who modeled a tsunami generated by a submarine landslide moving at a constant velocity on a sloping beach using a 1 + 1D model, our analytical solution enables the analysis of tsunami run-up from a submarine landslide with a variable (modifiable) velocity and thinner dimensions on a sloping beach. Additionally, we derived a semi-analytical solution for the 2 + 1D linear potential wave theory. This solution modeled the landslide by calculating the Fourier transform of forcing terms. This approach allowed for the analysis of tsunami generation and propagation triggered by submarine landslides of sinusoidal and trapezoidal shapes. However, this solution was limited to calculating the elevation of the water surface and did not include the tsunami run-up. The Table 3 provides a detailed summary of the proposed models.
The initial conditions are of great relevance to the analytical solution of our 1 + 1D model, especially the initial velocity, since it has a large contribution to the analytical solution (11). This implies that the landslide shape has a minor contribution to the final solution (Figure 3). While previous studies have not fully elucidated the influence of initial velocity on shoreline motion, our 1 + 1D solution offers a valuable contribution. This is due to our innovative approach to solving Equation (11), which decomposes the final solution into two distinct components. One component is directly linked to the landslide geometry, while the other is explicitly dependent on the initial landslide velocity.
While experimental results would be valuable, the focus of this study is to compare our findings with numerical methods. Numerical models can simulate a wide range of conditions and parameters, allowing us to investigate the sensitivity of our solution to various factors that may be difficult or expensive to reproduce in a physical laboratory. For the 1 + 1D model, there is good agreement between the analytical and numerical solution. The analytical solutions obtained have the advantage of being faster to calculate. The landslide shape does not necessarily have to be smooth, which is the reason we use parabolic functions.
Based on our sloping beach model, the run-up height increases as the landslide velocity and maximum landslide thickness increase because in Equation (11), both parameters are directly proportional to η ( 0 , t ) . Nevertheless, during real events, the landslides do not move faster than the critical regime because water resistance prevents the landslide from reaching high velocities [18].
We show that the length–thickness of the landslide is the most efficient parameter for generating tsunamis, and not the landslide velocity (Figure 5a,b and Figure 6a,b). Furthermore, we find that for realistic landslide velocity values, the increase in run-up is a power law relationship.
Our 2 + 1D model confirms that the maximum amplitudes of the generated waves are in the same direction as the landslide movement. Additionally, the waves generated by landslides decay quickly in space and time (Figure 8). Moreover, frequency dispersion influences wave propagation, and we confirm that the maximum water surface height occurs in a range of velocities close to the critical value (Figure 9).
For both landslide shapes (sinusoidal and trapezoidal), the optimal value for generating tsunami waves is L / W = 0.84 (Figure 10a). Landslides with a greater width (W) than length (L) moving at low velocities exhibit more efficient sideways flow of the free surface elevation compared with the opposite scenario ( L > W ). This leads to a superposition of waves, resulting in constructive interference. A consequence of this result is that landslide volume in itself is not the only parameter in the estimation of tsunami magnitude, and landslide dimensions should also be considered in the calculation of tsunami efficiency. Therefore, landslide volume along with its configuration are important variables for tsunami hazard assessment.
We confirm the findings from [22,23,27], that a far-field leading wave over a constant depth is independent of the shapes of landslides but related to the cross-sectional area of the landslide in 1 + 1D (or the volume of the landslide in 2 + 1D). We found that the leading waves obtained by the sinusoidal and trapezoidal landslides become similar as the water depth increases (Figure 11 and Figure 12). In addition, our findings indicate that near the source of the landslide (origin of slide motion), the normalized peak amplitude of the tsunami is highly sensitive to the landslide shape, particularly as the landslide height (h) increases. However, at the stopping point of the landslide, the normalized peak amplitude becomes insensitive to landslide geometry (Figure 13).
For future works, in the 1 + 1D model, we recommend including parameters such as the acceleration and deceleration of the landslide and finite slide duration of the forcing term. Another important task for further studies is to develop the non-linear theory of a submarine landslide with analytical solutions using techniques similar to those employed in this paper. Furthermore, to enhance the robustness of the 1 + 1D solution, we propose comparing it with laboratory experiments. For the 2 + 1D model, we recommend including a sloping beach in the mathematical formulation. For future research, a case study of the 1998 Papua New Guinea event is recommended.

Author Contributions

All authors contributed to the study conception and design. Material preparation and analysis were performed by F.U., M.F. and J.C. The first draft of the manuscript was written by F.U. and all authors commented on previous versions of the manuscript. All authors have read and agreed to the published version of the manuscript.

Funding

Francisco Uribe has received research support from National Agency for Research and Development (ANID)/DOCTORADO BECAS CHILE/2024-21211877.

Institutional Review Board Statement

Not applicable.

Informed Consent Statement

Not applicable.

Data Availability Statement

Data are contained within the article.

Acknowledgments

The authors wish to thank the three anonymous reviewers for their valuable comments, which helped to improve this manuscript. This work was partially funded by the Programa de Riesgo Sísmico (PRS).

Conflicts of Interest

The authors declare no conflicts of interest.

Abbreviations

The following abbreviations are used in this manuscript:
1 + 1DOne-dimensional
2 + 1DTwo-dimensional
CFLCourant–Friedrichs–Lewy condition

Appendix A. Detailed Mathematical Derivation

Parabolic Shape

The second derivative of ξ 1 ( x , t ) with respect to t is solved according to the theory of distributions, resulting in
ξ 1 ( x , t ) , ϕ ( t ) = 4 H v 2 ( x 2 x 1 ) 2 { x 2 x 1 v δ t x x 1 v + δ t x x 2 v 2 H t x x 2 v x x 1 v t } 4 H v ( x 2 x 1 ) 2 ( x 1 + x 2 2 x ) · H ( ( x x 1 ) ( x 2 x ) ) δ ( t )
The Equation (A1) is replaced in (6), and we obtain
η ( 0 , t ) = η 1 ( 0 , t ) + η 2 ( 0 , t )
where
η 1 ( 0 , t ) = 4 H v 2 ( x 2 x 1 ) 2 x 2 x 1 v I 2 ( t ) + I 3 ( t ) 2 I 1 ( t )
η 2 ( 0 , t ) = 4 H v ( x 2 x 1 ) 2 I 4 ( t )
I 1 ( t ) , I 2 ( t ) , I 3 ( t ) for Equation (A3) and I 4 ( t ) for Equation (A4) are auxiliary functions. It is observed that the integrals I 2 ( t ) and I 3 are identical, therefore I i ( t ) is the general form to write I 2 ( t ) and I 3 ( t ) :
I i ( t ) = 0 0 J 0 ( 2 k ψ ) H ( τ ) H ( t τ ) δ τ ψ x i v · sin ( α g ( t τ ) k ) d k d τ d ψ i = 2 , 3
First, the integral (A5) is solved with respect to τ ,
I i ( t ) = 0 0 J 0 ( 2 k ψ ) H t ψ x i v H ψ x i v sin α g t ψ x i v k d k d ψ
A way to solve (A6) is to integrate with respect to k:
I i ( t ) = 0 H ψ x i v H t ψ x i v H g α t ψ x i v 2 4 ψ g α t ψ x i v 2 4 ψ d ψ
The result of the integral (A7) is
I i ( t ) = 2 v α g ln ψ 2 ( i ) x i ψ 2 ( i ) ψ 1 ( i ) + ψ 1 ( i ) x i ψ 2 ( i ) ψ 1 ( i ) H ( t t c , i ) , i = 2 , 3
where
ψ 1 , 2 ( i ) = x i + v t + 2 v 2 α g ± 2 v α g x i + v t + 2 v 2 α g 2 ( x i + v t ) 2 , i = 2 , 3
Now, we solve I 1 ( t ) :
I 1 ( t ) = R + R + 0 t J 0 ( 2 k ψ ) sin ( α g ( t τ ) k ) H τ ψ x 2 v ψ x 1 v τ d k d τ d ψ
First, solving the integral I 1 ( t ) with respect to k gives
I 1 ( t ) = H ( τ ) H ( t τ ) S τ d ψ α g ( t τ ) 2 4 ψ d τ
To compute (A11), the cases must be analyzed with respect to ψ , which are contained in S τ :
S τ = [ x 1 + v τ , x 2 + v τ ] 0 , α g 4 ( t τ ) 2
To solve I 1 ( t ) , it is necessary to analyze the cases with respect to ψ and τ .
I 1 ( t ) = α g 4 F 1 ( t ) H ( t t c , 1 ) H ( t c , 2 t ) + F 1 ( t ) H ( t t c , 2 ) F 2 ( t ) H ( t t c , 2 )
Finally, replacing Equations (A8) and (A13) in (A3), we obtain η 1 ( 0 , t ) .
η 1 ( 0 , t ) = 4 H v 2 ( x 2 x 1 ) 2 { 4 ( x 2 x 1 ) α g G 1 ( t ) H ( t t c , 1 ) + G 2 ( t ) H ( t t c , 2 ) F 1 ( t ) H ( t t c , 1 ) H ( t c , 2 t ) + F 1 ( t ) H ( t t c , 2 ) F 2 ( t ) H ( t t c , 2 ) }
where
G i ( t ) = 1 2 ln t 2 t c , i 2 + t + 2 v α g t + 2 v α g 2 + t c , i 2 t 2 , i = 1 , 2
F i ( t ) = 2 t + 2 v α g 2 + t c , i 2 t 2 G i ( t ) + t + 2 v α g t 2 t c , i 2 , i = 1 , 2
t c , i = 4 x i α g , i = 1 , 2
Now, it is necessary to calculate I 4 ( t ) in order to obtain the analytical solution of η ( 0 , t ) .
I 4 ( t ) = 2 α g 0 0 0 t J 0 ( 2 k ψ ) ξ t ( ψ , 0 ) δ ( t τ ) H ( τ ) sin ( α g k τ ) d τ d ψ d k
Based on the property of the integral of the time-delayed Dirac delta, Equation (A18) reduces to
I 4 ( t ) = 2 H ( t ) α g 0 0 J 0 ( 2 k ψ ) ξ t ( ψ , 0 ) sin ( α g k t ) d ψ d k
Solving the integral (A19) with respect to k, we obtain
I 4 ( t ) = 2 H ( t ) α g 0 ξ t ( ψ , 0 ) H ( α g t 2 4 ψ ) α g t 2 4 ψ d ψ
Now, we compute ξ t ( x , 0 ) from Equation (8). This allows us to rewrite (A20) as
I 4 ( t ) = 2 H ( t ) α g 0 H ( α g t 2 4 ψ ) α g t 2 4 ψ ( x 1 + x 2 2 ψ ) H ( ( ψ x 1 ) ( x 2 ψ ) ) d ψ
To solve (A21), it is necessary to determine the integral limits where I 4 ( t ) 0 . Thus,
I 4 ( t ) = 2 H ( t ) α g S ψ x 1 + x 2 2 ψ α g t 2 4 ψ d ψ
where S ψ = [ x 1 , x 2 ] [ 0 , α g 4 t 2 ] . Analyzing the cases for ψ , we determine the limits of integration, so that (A22) becomes
I 4 ( t ) = 2 H ( t ) α g x 1 ψ * x 1 + x 2 2 ψ α g t 2 4 ψ d ψ , ψ * = m i n x 2 , α g 4 t 2
However, Equation (A23) can be rewritten as
I 4 ( t ) = H ( t ) 4 2 ( x 1 + x 2 ) t α g t 3 M 1 ( t ) + α g t 3 M 2 ( t )
where
M 1 ( t ) = 2 ( 1 y 1 1 y 2 )
M 2 ( t ) = 2 3 ( 1 y 1 ) 3 ( 1 y 2 ) 3
And y 1 = t c , 1 t 2 , y 2 = min t c , 2 t 2 , 1 . Substituting (A25) and (A26) in Equation (A24), we obtain I 4 ( t )
I 4 ( t ) = H ( t ) 2 { ( 2 ( x 1 + x 2 ) α g t 2 ) E 1 ( t ) H ( t t c , 1 ) E 0 ( t ) H ( t t c , 0 ) + α g 3 E 1 3 ( t ) H ( t t c , 1 ) E 0 3 ( t ) H ( t t c , 0 ) }
E m ( t ) = t 2 t c , m 2 , m = 0 , 1
Now, we achieve the solution η 2 ( 0 , t ) , replacing Equation (A27) in (A4):
η 2 ( 0 , t ) = 2 H v H ( t ) ( x 2 x 1 ) 2 { ( 2 ( x 1 + x 2 ) α g t 2 ) E 1 ( t ) H ( t t c , 1 ) E 0 ( t ) H ( t t c , 0 ) + α g 3 E 1 3 ( t ) H ( t t c , 1 ) E 0 3 ( t ) H ( t t c , 0 ) }
Thus, the analytical solution of Equation (6) evaluated at x = 0 has been calculated.

References

  1. Harbitz, C.B.; Løvholt, F.; Bungum, H. Submarine landslide tsunamis: How extreme and how likely? Nat. Hazards 2014, 72, 1341–1374. [Google Scholar] [CrossRef]
  2. Heidarzadeh, M.; Krastel, S.; Yalciner, A.C. The State-of-the-Art Numerical Tools for Modeling Landslide Tsunamis: A Short Review. In Submarine Mass Movements and Their Consequences. Advances in Natural and Technological Hazards Research, Volume 37; Krastel, S., Behrmann, J., Völker, D., Stipp, M., Berndt, C., Urgeles, R., Chaytor, J., Huhn, K., Strasser, M., Harbitz, C.B., Eds.; Springer: Cham, Switzerland, 2014; pp. 483–495. [Google Scholar] [CrossRef]
  3. Okal, E.A. Normal mode energetics for far-field tsunamis generated by dislocations and landslides. Pure Appl. Geophys. 2003, 160, 2189–2221. [Google Scholar] [CrossRef]
  4. Heller, V. Landslide Generated Impulse Waves: Prediction of Near Field Characteristics. Ph.D. Thesis, ETH Zurich, Zurich, Switzerland, 2007. [Google Scholar]
  5. Løvholt, F.; Bondevik, S.; Laberg, J.S.; Kim, J.; Boylan, N. Some giant submarine landslides do not produce large tsunamis. Geophys. Res. Lett. 2017, 44, 8463–8472. [Google Scholar] [CrossRef]
  6. Fine, I.V.; Rabinovich, A.B.; Bornhold, B.D.; Thomson, R.E.; Kulikov, E.A. The Grand Banks landslide-generated tsunami of November 18, 1929: Preliminary analysis and numerical modeling. Mar. Geol. 2005, 215, 45–57. [Google Scholar] [CrossRef]
  7. Okal, E.A.; Plafker, G.; Synolakis, C.E.; Borrero, J.C. Near-field survey of the 1946 Aleutian tsunami on Unimak and Sanak Islands. Bull. Seismol. Soc. Am. 2003, 93, 1226–1234. [Google Scholar] [CrossRef]
  8. Tappin, D.R.; Watts, P.; Grilli, S.T. The Papua New Guinea tsunami of 17 July 1998: Anatomy of a catastrophic event. Nat. Hazards Earth Syst. Sci. 2008, 8, 243–266. [Google Scholar] [CrossRef]
  9. Bondevik, S.; Løvholt, F.; Harbitz, C.; Mangerud, J.; Dawson, A.; Inge Svendsen, J. The Storegga Slide tsunami-comparing field observations with numerical simulations. Mar. Pet. Geol. 2005, 22, 195–208. [Google Scholar] [CrossRef]
  10. Ward, S.N. Landslide tsunami. J. Geophys. Res. Solid Earth 2001, 106, 11201–11215. [Google Scholar] [CrossRef]
  11. Bardet, J.-P.; Synolakis, C.E.; Davies, H.L.; Imamura, F.; Okal, E.A. Landslide tsunamis: Recent findings and research directions. Pure Appl. Geophys. 2003, 160, 1793–1809. [Google Scholar] [CrossRef]
  12. McGuire, W.J. Lateral collapse and tsunamigenic potential of marine volcanoes. Geol. Soc. Lond. Spec. Publ. 2006, 269, 121–140. [Google Scholar] [CrossRef]
  13. Gisler, G.; Weaver, R.; Gittings, M. SAGE calculations of the tsunami threat from La Palma. Sci. Tsunami Hazards 2006, 24, 288–301. [Google Scholar]
  14. Grilli, S.T.; Watts, P. Tsunami generation by submarine mass failure. Part I: Modeling, experimental validation, and sensitivity analysis. J. Waterw. Port Coastal Ocean. Eng. 2005, 131, 283–297. [Google Scholar] [CrossRef]
  15. Hill, J.; Collins, G.S.; Avdis, A.; Kramer, S.C.; Piggott, M.D. How does multiscale modelling and inclusion of realistic palaeobathymetry affect numerical simulation of the Storegga Slide tsunami? Ocean. Model. 2014, 83, 11–25. [Google Scholar] [CrossRef]
  16. Tuck, E.O.; Hwang, L.-S. Long wave generation on a sloping beach. J. Fluid Mech. 1972, 51, 449–461. [Google Scholar] [CrossRef]
  17. Tinti, S.; Bortolucci, E. Analytical investigation on tsunamis generated by submarine slides. Ann. Geofis. 2000, 43, 519–536. [Google Scholar] [CrossRef]
  18. Tinti, S.; Bortolucci, E.; Chiavettieri, C. Tsunami excitation by submarine slides in shallow-water approximation. Pure Appl. Geophys. 2001, 158, 759–797. [Google Scholar] [CrossRef]
  19. Folland, B.G. Introduction to Partial Differential Equations, 2nd ed.; Princeton University Press: Princeton, NJ, USA, 1995; pp. 174–176. [Google Scholar]
  20. Liu, P.L.-F.; Lynett, P.; Synolakis, C.E. Analytical solutions for forced long waves on a sloping beach. J. Fluid Mech. 2003, 478, 101–109. [Google Scholar] [CrossRef]
  21. Fuentes, M. Simple estimation of linear 1 + 1D long wave run-up. Geophys. J. Int. 2017, 209, 597–605. [Google Scholar] [CrossRef]
  22. Lo, P.H.-Y.; Liu, P.L.-F. On the analytical solutions for water waves generated by a prescribed landslide. J. Fluid Mech. 2017, 821, 85–116. [Google Scholar] [CrossRef]
  23. Lo, P.H.-Y.; Liu, P.L.-F. On water waves generated by a bottom obstacle translating at a subcritical speed. J. Fluid Mech. 2021, 923, A26. [Google Scholar] [CrossRef]
  24. Sammarco, P.; Renzi, E. Landslide tsunamis propagating along a plane beach. J. Fluid Mech. 2008, 598, 107–119. [Google Scholar] [CrossRef]
  25. Renzi, E.; Sammarco, P. Landslide tsunamis propagating around a conical island. J. Fluid Mech. 2010, 650, 251–285. [Google Scholar] [CrossRef]
  26. Synolakis, C.E. Tsunami runup on steep slopes: How good linear theory really is. Nat. Hazards 1991, 4, 221–234. [Google Scholar] [CrossRef]
  27. Jing, H.; Gao, Y.; Liu, C.; Hou, J. Far-field characteristics of linear water waves generated by a submerged landslide over a flat seabed. J. Mar. Sci. Eng. 2020, 8, 196. [Google Scholar] [CrossRef]
  28. Trifunac, M.D.; Todorovska, M.I. A note on differences in tsunami source parameters for submarine slides and earthquakes. Soil Dyn. Earthq. Eng. 2002, 22, 143–155. [Google Scholar] [CrossRef]
  29. Harbitz, C.B. Model simulations of tsunamis generated by the Storegga slides. Mar. Geol. 1992, 105, 1–21. [Google Scholar] [CrossRef]
  30. Watts, P.; Grilli, S.T.; Kirby, J.T.; Fryer, G.J.; Tappin, D.R. Landslide tsunami case studies using a Boussinesq model and a fully nonlinear tsunami generation model. Nat. Hazards Earth Syst. Sci. 2003, 3, 391–402. [Google Scholar] [CrossRef]
Figure 1. (a) Schematic drawing of the landslide and definition of symbols; (b) sketch of the initial parabolic shape of the landslide.
Figure 1. (a) Schematic drawing of the landslide and definition of symbols; (b) sketch of the initial parabolic shape of the landslide.
Jmse 12 02052 g001
Figure 2. (a) Representative scheme of the coordinates system and of the 2 + 1D tsunami model, (b) sinusoidal landslide shape, and (c) trapezoidal shape of the landslide.
Figure 2. (a) Representative scheme of the coordinates system and of the 2 + 1D tsunami model, (b) sinusoidal landslide shape, and (c) trapezoidal shape of the landslide.
Jmse 12 02052 g002
Figure 3. Comparative of the contribution of the different terms in Equation (11). Blue solid line, η 1 ( 0 , t ) ; red solid line, η 2 ( 0 , t ) ; and black dashed line, η ( 0 , t ) .
Figure 3. Comparative of the contribution of the different terms in Equation (11). Blue solid line, η 1 ( 0 , t ) ; red solid line, η 2 ( 0 , t ) ; and black dashed line, η ( 0 , t ) .
Jmse 12 02052 g003
Figure 4. Comparison of the numerical (33) and analytical (11) solution for the 1 + 1D linear shallow water equations. Blue solid line, analytical solution; red dashed line, numerical solution.
Figure 4. Comparison of the numerical (33) and analytical (11) solution for the 1 + 1D linear shallow water equations. Blue solid line, analytical solution; red dashed line, numerical solution.
Jmse 12 02052 g004
Figure 5. Time series of generated water waves with the analytical solution (11) modifying (a) landslide velocity and (b) length–thickness of the landslide.
Figure 5. Time series of generated water waves with the analytical solution (11) modifying (a) landslide velocity and (b) length–thickness of the landslide.
Jmse 12 02052 g005
Figure 6. Normalized run-up ( R / H ) versus (a) length–thickness of the landslide (inputs: x 1 = 1000 m, α = 0.2679 , v = 10 m/s) and (b) velocity of the landslide (inputs: x 1 = 1000 m, α = 0.2679 , H = 100 m, L = 1000 m). Circle markers correspond to the curve related to R / H ; red dashed line is the logarithmic trend curve. Both sub-figures are Log–Log plots.
Figure 6. Normalized run-up ( R / H ) versus (a) length–thickness of the landslide (inputs: x 1 = 1000 m, α = 0.2679 , v = 10 m/s) and (b) velocity of the landslide (inputs: x 1 = 1000 m, α = 0.2679 , H = 100 m, L = 1000 m). Circle markers correspond to the curve related to R / H ; red dashed line is the logarithmic trend curve. Both sub-figures are Log–Log plots.
Jmse 12 02052 g006
Figure 7. Snapshots of tsunami propagation for a gigantic underwater landslide event, assuming (a,b) sinusoidal shape; (c,d) trapezoidal shape. The inputs to this model are shown in the upper left and lower right of each snapshot. The color palette is scaled with the function f ( σ ) = sign ( σ ) | σ | , and σ = η ( x , y , t ) H . Numbers 1 to 3 represent virtual stations. The simulation time is T sim = 20 min.
Figure 7. Snapshots of tsunami propagation for a gigantic underwater landslide event, assuming (a,b) sinusoidal shape; (c,d) trapezoidal shape. The inputs to this model are shown in the upper left and lower right of each snapshot. The color palette is scaled with the function f ( σ ) = sign ( σ ) | σ | , and σ = η ( x , y , t ) H . Numbers 1 to 3 represent virtual stations. The simulation time is T sim = 20 min.
Jmse 12 02052 g007
Figure 8. Time series of the stations presented in Figure 7. (a) Station 1. (b) Station 2. (c) Station 3. The inputs are h = 4 km, H = 100 m, v = 20 m/s, T = 60 s, L = 40 km, W = 40 km, Δ x = 1 km, Δ y = 1 km, and Δ t = 1 s. For all subplots, blue solid line is for trapezoidal shape, and red dashed line is for sinusoidal shape. The stations 1, 2, and 3 are located in ( 0 , 0 ) , ( L + v T , 0 ) , and ( 3 L + v T , 0 ) , respectively.
Figure 8. Time series of the stations presented in Figure 7. (a) Station 1. (b) Station 2. (c) Station 3. The inputs are h = 4 km, H = 100 m, v = 20 m/s, T = 60 s, L = 40 km, W = 40 km, Δ x = 1 km, Δ y = 1 km, and Δ t = 1 s. For all subplots, blue solid line is for trapezoidal shape, and red dashed line is for sinusoidal shape. The stations 1, 2, and 3 are located in ( 0 , 0 ) , ( L + v T , 0 ) , and ( 3 L + v T , 0 ) , respectively.
Jmse 12 02052 g008
Figure 9. Maximum amplification of the water waves at stations 1 and 2 as a function of landslide velocity and slide duration for the two landslide shapes: (a,b) sinusoidal; (c,d) trapezoidal. All the simulations have the following inputs: T sim = 5 min, h = 4 km, H = 0.1 km, L = 64 km, W = 25 km, Δ t = 1 s, Δ x = Δ y = 1 km, −350 km ( x , y ) 350 km. The stations 1 and 2 are located at ( 0 , 0 ) and ( L + v T , 0 ) , respectively. Some level curves are displayed in red.
Figure 9. Maximum amplification of the water waves at stations 1 and 2 as a function of landslide velocity and slide duration for the two landslide shapes: (a,b) sinusoidal; (c,d) trapezoidal. All the simulations have the following inputs: T sim = 5 min, h = 4 km, H = 0.1 km, L = 64 km, W = 25 km, Δ t = 1 s, Δ x = Δ y = 1 km, −350 km ( x , y ) 350 km. The stations 1 and 2 are located at ( 0 , 0 ) and ( L + v T , 0 ) , respectively. Some level curves are displayed in red.
Jmse 12 02052 g009
Figure 10. (a) Normalized tsunami peak amplitude, R / H versus L / W for the sinusoidal and trapezoidal landslide shapes. Yellow point represents the maximum normalized amplification of tsunami for a given aspect ratio between length and width of landslide. (b) Landslide configuration in the x y plane. Red arrow indicates the direction of landslide movement. All the simulations have the following inputs: T sim = 5 min, h = 4 km, W = 25 km, T = 60 s, v = 20 m/s, Δ t = 1 s, Δ x = Δ y = 1 km, −350 km ( x , y ) 350 km, and 0.04 L / W 2.8. The station is located at ( L + v T , 0 ) .
Figure 10. (a) Normalized tsunami peak amplitude, R / H versus L / W for the sinusoidal and trapezoidal landslide shapes. Yellow point represents the maximum normalized amplification of tsunami for a given aspect ratio between length and width of landslide. (b) Landslide configuration in the x y plane. Red arrow indicates the direction of landslide movement. All the simulations have the following inputs: T sim = 5 min, h = 4 km, W = 25 km, T = 60 s, v = 20 m/s, Δ t = 1 s, Δ x = Δ y = 1 km, −350 km ( x , y ) 350 km, and 0.04 L / W 2.8. The station is located at ( L + v T , 0 ) .
Jmse 12 02052 g010
Figure 11. Time series of the stations for a gigantic submarine landslide. (a,b) Sinusoidal shape. (c,d) Trapezoidal shape. The inputs are T = 60 s, L = 64 km, W = 25 km, H = 100 m, v = 0.1 g h m/s, Δ x = 1 km, Δ y = 1 km, Δ t = 1 s, and −350 km ( x , y ) 350 km. Legend for all subplots is located on the right side. The simulation time is T sim = 8 min.
Figure 11. Time series of the stations for a gigantic submarine landslide. (a,b) Sinusoidal shape. (c,d) Trapezoidal shape. The inputs are T = 60 s, L = 64 km, W = 25 km, H = 100 m, v = 0.1 g h m/s, Δ x = 1 km, Δ y = 1 km, Δ t = 1 s, and −350 km ( x , y ) 350 km. Legend for all subplots is located on the right side. The simulation time is T sim = 8 min.
Jmse 12 02052 g011
Figure 12. Time series of the stations for a gigantic submarine landslide. (a,d) Station 1. (e,h) Station 2. The inputs are T = 60 s, L = 64 km, W = 25 km, H = 100 m, v = 0.1 g h m/s, Δ x = 1 km, Δ y = 1 km, Δ t = 1 s, and −350 km ( x , y ) 350 km. For (ad) at the southeast and (eh) at northeast, the values of h and v used in this experiment are shown. For all subplots, blue solid line is for trapezoidal shape, and red dashed line is for sinusoidal shape. The simulation time is T sim = 8 min.
Figure 12. Time series of the stations for a gigantic submarine landslide. (a,d) Station 1. (e,h) Station 2. The inputs are T = 60 s, L = 64 km, W = 25 km, H = 100 m, v = 0.1 g h m/s, Δ x = 1 km, Δ y = 1 km, Δ t = 1 s, and −350 km ( x , y ) 350 km. For (ad) at the southeast and (eh) at northeast, the values of h and v used in this experiment are shown. For all subplots, blue solid line is for trapezoidal shape, and red dashed line is for sinusoidal shape. The simulation time is T sim = 8 min.
Jmse 12 02052 g012
Figure 13. Normalized tsunami peak amplitude, η m a x / H versus H / h for the sinusoidal and trapezoidal shapes: (a) Station 1; (b) Station 2. All the simulations have the following inputs: T sim = 8 min, T = 60 s, L = 64 km, W = 25 km, H = 100 m, v = 0.1 g h m/s, Δ t = 1 s, Δ x = Δ y = 1 km, −350 km ( x , y ) 350 km, and 0.025 H / h 0.5.
Figure 13. Normalized tsunami peak amplitude, η m a x / H versus H / h for the sinusoidal and trapezoidal shapes: (a) Station 1; (b) Station 2. All the simulations have the following inputs: T sim = 8 min, T = 60 s, L = 64 km, W = 25 km, H = 100 m, v = 0.1 g h m/s, Δ t = 1 s, Δ x = Δ y = 1 km, −350 km ( x , y ) 350 km, and 0.025 H / h 0.5.
Jmse 12 02052 g013
Table 1. Summary of input parameters for 1 + 1D analytical model.
Table 1. Summary of input parameters for 1 + 1D analytical model.
ParametersFigure 3Figure 4Figure 5aFigure 5bFigure 6aFigure 6b
H [m]100100100[60–130][10–500]100
x 1 [m]100010001000100010001000
x 2 [m]100010001000[1700–2668][1200–11,005]1000
L [m]100010001000[770–1668][200–10,000]1000
v [m/s]1010[5–40]1010[5–3000]
Δ x [m]-1----
Δ t [s]-0.0086----
The following values were used in all simulations: α = 0.2679 , and S 0 = 6.67 × 10 4 km2.
Table 2. Summary of input parameters used in simulations of 2 + 1D model.
Table 2. Summary of input parameters used in simulations of 2 + 1D model.
ParametersFigure 7 and Figure 8Figure 9Figure 10Figure 11, Figure 12 and Figure 13
h [km]444[0.25–4]
H [m]100100[90–6400]100
W [km]25252525
L [km]6464[1–70]64
δ [km]23.323.3[0.36–25.44]23.3
v [m/s]20[5–300]20[12.4–49.5]
T [s]60[0–120]6060
T s i m [min]20558
The following values were used in all simulations: Δ x = Δ y = 1 km, Δ t = 1 s, and V 0 = 101.86 km3.
Table 3. Summary of proposed models.
Table 3. Summary of proposed models.
Governing Eq.Long Wave AssumptionNumerical AnalysisBottom ConfigurationBottom Shape
1 + 1D modelShallow water eq.YesYesSlopingParabolic
2 + 1D modelPotential theoryNoNoFlatSinusoidal/Trapezoidal
Disclaimer/Publisher’s Note: The statements, opinions and data contained in all publications are solely those of the individual author(s) and contributor(s) and not of MDPI and/or the editor(s). MDPI and/or the editor(s) disclaim responsibility for any injury to people or property resulting from any ideas, methods, instructions or products referred to in the content.

Share and Cite

MDPI and ACS Style

Uribe, F.; Fuentes, M.; Campos, J. An Analytical Study of Tsunamis Generated by Submarine Landslides. J. Mar. Sci. Eng. 2024, 12, 2052. https://doi.org/10.3390/jmse12112052

AMA Style

Uribe F, Fuentes M, Campos J. An Analytical Study of Tsunamis Generated by Submarine Landslides. Journal of Marine Science and Engineering. 2024; 12(11):2052. https://doi.org/10.3390/jmse12112052

Chicago/Turabian Style

Uribe, Francisco, Mauricio Fuentes, and Jaime Campos. 2024. "An Analytical Study of Tsunamis Generated by Submarine Landslides" Journal of Marine Science and Engineering 12, no. 11: 2052. https://doi.org/10.3390/jmse12112052

APA Style

Uribe, F., Fuentes, M., & Campos, J. (2024). An Analytical Study of Tsunamis Generated by Submarine Landslides. Journal of Marine Science and Engineering, 12(11), 2052. https://doi.org/10.3390/jmse12112052

Note that from the first issue of 2016, this journal uses article numbers instead of page numbers. See further details here.

Article Metrics

Back to TopTop