DAPNet: A Dual-Attention Parallel Network for the Prediction of Ship Fuel Consumption Based on Multi-Source Data
Abstract
1. Introduction
2. Methodology Design of DAPNet
2.1. Overview of DAPNet for SFC Prediction
2.2. Design of Parallel Network
2.2.1. Variable Selection and Separation
2.2.2. Data Alignment Based on Framing
2.2.3. Design of Parallel Network Based on LSTM
2.2.4. Design of Parallel Network Based on TCN
2.3. Design of Dual Attention
2.3.1. Local Attention for Feature Extraction and Alignment
2.3.2. Global Attention for Feature Fusion
3. Experiments and Comparisons
3.1. Variable Definition and Data Explanation
3.2. Parameters and Criteria
3.2.1. Parameter Settings
| Algorithm 1 Training Process of DAPNet in SFC Prediction Tasks |
| Input: ;//Fuel consumption related variables |
| Output: ;//The predicted fuel consumption |
| Initialization: All the parameters U. |
| for each epoch do |
| ;//Process Fuel consumption feature through networks ( = LSTM, TCN, and improved TCN) to obtain feature representations |
| ;//Apply local attention mechanism on to enhance the feature representations and obtain |
| ;//Fuse using global attention to get global features |
| ;//The predicted fuel consumption through fully connected layer |
| Update (U);//Update and optimize the parameters U of DAPNet by minimization loss |
| end for |
| return The trained DAPNet and the predicted fuel consumption |
3.2.2. Evaluation Criteria
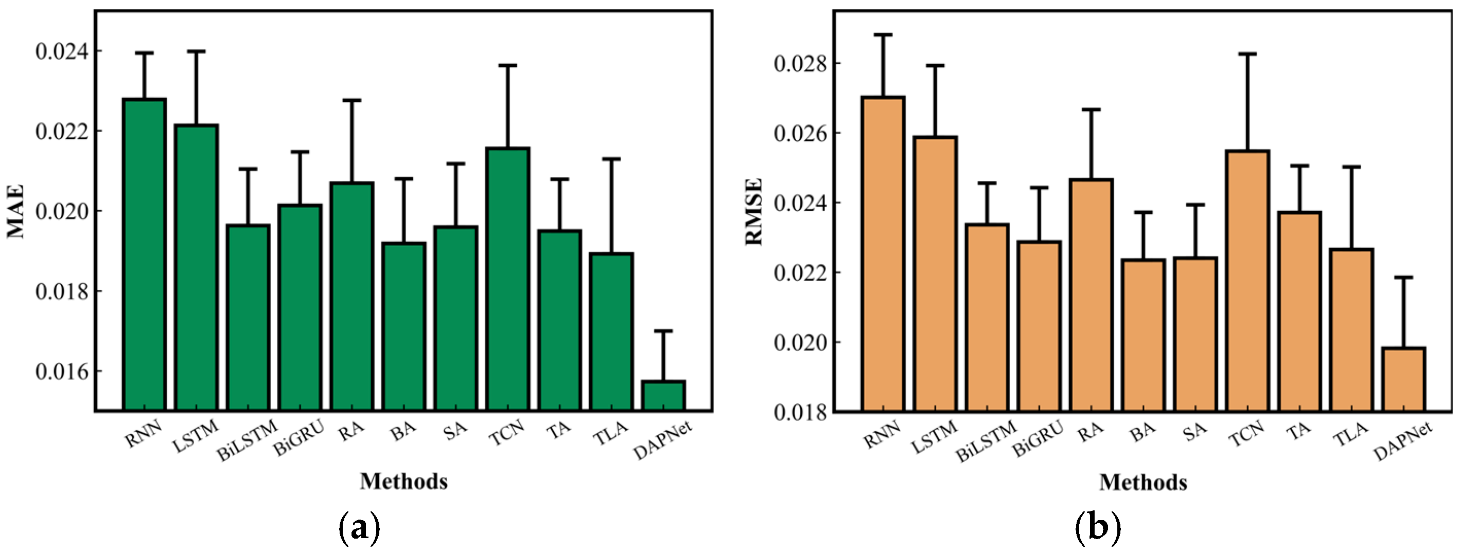
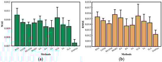
3.3. Results and Analyses
3.4. Comparisons and Discussions
4. Conclusions and Future Work
Author Contributions
Funding
Institutional Review Board Statement
Informed Consent Statement
Data Availability Statement
Conflicts of Interest
References
- Xu, L.; Yang, Z.; Chen, J.; Zou, Z.; Wang, Y. Spatial-temporal evolution characteristics and spillover effects of carbon emissions from shipping trade in EU coastal countries. Ocean Coast. Manag. 2024, 250, 107029. [Google Scholar] [CrossRef]
- Chen, X.; Zhou, J.; Wang, Y. Marine fuel restrictions and air pollution: A study on Chinese ports considering transboundary spillovers. Mar. Policy 2024, 163, 106136. [Google Scholar] [CrossRef]
- Luo, X.; Yan, R.; Xu, L.; Wang, S. Accuracy and applicability of ship’s fuel consumption prediction models: A comprehensive comparative analysis. Energy 2024, 310, 133187. [Google Scholar] [CrossRef]
- Zhi, L.; Zuo, Y. Collaborative Path Planning of Multiple AUVs Based on Adaptive Multi-Population PSO. J. Mar. Sci. Eng. 2024, 12, 223. [Google Scholar] [CrossRef]
- Ferlita, A.; Qi, Y.; Nardo, E.; El Moctar, O.; Schellin, T.E.; Ciaramella, A. A framework of a data-driven model for ship performance. Ocean Eng. 2024, 309, 118486. [Google Scholar] [CrossRef]
- Fan, A.; Yang, J.; Yang, L.; Wu, D.; Vladimir, N. A review of ship fuel consumption models. Ocean Eng. 2022, 264, 112405. [Google Scholar] [CrossRef]
- Fan, A.; Yan, X.; Bucknall, R.; Yin, Q.; Ji, S.; Liu, Y.; Song, R.; Chen, X. A novel ship energy efficiency model considering random environmental parameters. J. Mar. Eng. Technol. 2020, 19, 215–228. [Google Scholar] [CrossRef]
- Yang, L.; Chen, G.; Zhao, J.; Rytter, N.G.M. Ship speed optimization considering ocean currents to enhance environmental sustainability in maritime shipping. Sustainability 2020, 12, 3649. [Google Scholar] [CrossRef]
- Wei, N.; Yin, L.; Li, C.; Li, C.; Chan, C.; Zeng, F. Forecasting the daily natural gas consumption with an accurate white-box model. Energy 2021, 232, 121036. [Google Scholar] [CrossRef]
- Zhu, Y.; Zuo, Y.; Li, T. Modeling of Ship Fuel Consumption Based on Multisource and Heterogeneous Data: Case Study of Passenger Ship. J. Mar. Sci. Eng. 2021, 9, 273. [Google Scholar] [CrossRef]
- Yaseen, Z.M.; El-Shafie, A.; Jaafar, O.; Afan, H.A.; Sayl, K.N. Artificial intelligence based models for stream-flow forecasting 2000–2015. J. Hydrol. 2015, 530, 829–844. [Google Scholar] [CrossRef]
- Hajli, K.; Rönnqvist, M.; Dadouchi, C.; Audy, J.-F.; Cordeau, J.-F.; Warya, G.; Ngo, T. A fuel consumption prediction model for ships based on historical voyages and meteorological data. J. Mar. Eng. Technol. 2024, 23, 439–450. [Google Scholar] [CrossRef]
- Han, P.; Liu, Z.; Sun, Z.; Yan, C. A novel prediction model for ship fuel consumption considering shipping data privacy: An XGBoost-IGWO-LSTM-based personalized federated learning approach. Ocean Eng. 2024, 302, 117668. [Google Scholar] [CrossRef]
- Chen, Y.; Sun, B.; Xie, X.; Li, X.; Li, Y.; Zhao, Y. Short-term forecasting for ship fuel consumption based on deep learning. Ocean Eng. 2024, 301, 117398. [Google Scholar] [CrossRef]
- Wang, Z.; Lu, T.; Han, Y.; Zhang, C.; Zeng, X.; Li, W. Improving ship fuel consumption and carbon intensity prediction accuracy based on a long short-term memory model with self-attention mechanism. Appl. Sci. 2024, 14, 8526. [Google Scholar] [CrossRef]
- Ganaie, M.A.; Hu, M.; Malik, A.K.; Tanveer, M.; Suganthan, P. Ensemble deep learning: A review. Eng. Appl. Artif. Intell. 2022, 115, 105151. [Google Scholar] [CrossRef]
- Zhang, Y.; Wen, Q.; Wang, X. OneNet: Enhancing time series forecasting models under concept drift by online ensembling. In Proceedings of the 37th Conference on Neural Information Processing Systems, New Orleans, LA, USA, 22 September 2023. [Google Scholar]
- Xie, Y.; Sun, W.; Ren, M.; Chen, S.; Huang, Z.; Pan, X. Stacking ensemble learning models for daily runoff prediction using 1D and 2D CNNs. Expert Syst. Appl. 2023, 217, 119469. [Google Scholar] [CrossRef]
- Hochreiter, S.; Schmidhuber, J. Long short-term memory. Neural Comput. 1997, 9, 1735–1780. [Google Scholar] [CrossRef]
- Bao, K.; Bi, J.; Gao, M.; Sun, Y.; Zhang, X.; Zhang, W. An improved ship trajectory prediction based on AIS data using MHA-BiGRU. J. Mar. Sci. Eng. 2022, 10, 804. [Google Scholar] [CrossRef]
- Xiao, Y.; Li, X.; Yao, W.; Chen, J.; Hu, Y. Bidirectional data-driven trajectory prediction for intelligent maritime traffic. IEEE Trans. Intell. Transp. Syst. 2022, 24, 1773–1785. [Google Scholar] [CrossRef]
- Liu, R.W.; Hu, K.; Liang, M.; Li, Y.; Liu, X.; Yang, D. QSD-LSTM: Vessel trajectory prediction using long short-term memory with quaternion ship domain. Appl. Ocean Res. 2023, 136, 103592. [Google Scholar] [CrossRef]
- Jiang, J.; Zuo, Y.; Xiao, Y.; Zhang, W.; Li, T. STMGF-Net: A Spatiotemporal Multi-Graph Fusion Network for Vessel Trajectory Forecasting in Intelligent Maritime Navigation. IEEE Trans. Intell. Transp. Syst. 2024, 1–13. [Google Scholar] [CrossRef]
- Ashish, V.; Noam, S.; Niki, P.; Jakob, U.; Llion, J.; Aidan, G.; Lukasz, K.; Illia, P. Attention Is All You Need. In Proceedings of the 31st International Conference on Neural Information Processing Systems, Auckland, New Zealand, 4 December 2017. [Google Scholar]
- Bin, Y.; Yang, Y.; Shen, F.; Xie, N.; Shen, H.T.; Li, X. Describing video with attention-based bidirectional LSTM. IEEE Trans. Cybern. 2018, 49, 2631–2641. [Google Scholar] [CrossRef] [PubMed]
- Yang, H.; Yuan, C.; Zhang, L.; Sun, Y.; Hu, W.; Maybank, S.J. STA-CNN: Convolutional spatial-temporal attention learning for action recognition. IEEE Trans. Image Process. 2020, 29, 5783–5793. [Google Scholar] [CrossRef]
- Capobianco, S.; Forti, N.; Millefiori, L.; Braca, P.; Willett, P. Recurrent encoder–decoder networks for vessel trajectory prediction with uncertainty estimation. IEEE Trans. Aerosp. Electron. Syst. 2023, 59, 2554–2565. [Google Scholar] [CrossRef]
- Hao, H.; Wang, Y.; Xue, S.; Xia, Y.; Zhao, J.; Shen, F. Temporal convolutional attention-based network for sequence modeling. arXiv 2002, arXiv:2002.12530. [Google Scholar] [CrossRef]
- Song, C.; Han, H.; Avrithis, Y. All the attention you need: Global-local, spatial-channel attention for image retrieval. In Proceedings of the 2022 IEEE/CVF Winter Conference on Applications of Computer Vision, Waikoloa, HI, USA, 16 July 2022. [Google Scholar]
- Connor, J.T.; Martin, R.D.; Atlas, L.E. Recurrent neural networks and robust time series prediction. IEEE Trans. Neural Netw. Learn. Syst. 1994, 5, 240–254. [Google Scholar] [CrossRef]
- Liu, Y.; Zhang, Q.; Song, L.; Chen, Y. Attention-based recurrent neural networks for accurate short-term and long-term dissolved oxygen prediction. Comput. Electron. Agric. 2019, 165, 104964. [Google Scholar] [CrossRef]
- Hao, X.; Liu, Y.; Pei, L.; Li, W.; Du, Y. Atmospheric temperature prediction based on a BiLSTM-Attention model. Symmetry 2022, 14, 2470. [Google Scholar] [CrossRef]
















| No. | Variables | Abbreviation |
|---|---|---|
| 1 | Ship Fuel Consumption | SFC |
| 2 | Speed | SPE |
| 3 | Port Pitch | PP |
| 4 | Starboard Pitch | SP |
| 5 | Trim | TR |
| 6 | Port Draft | PD |
| 7 | Starboard Draft | SD |
| 8 | Head Wind | HW |
| 9 | Cross Wind | CW |
| No. | Model | Parameter Setting and The Range of Adjustments |
|---|---|---|
| 1 | Standard RNN (RNN) [30] | Hidden Layer Dimension (HLD) HLD = {128, 64, 32, 16, 8} |
| 2 | Standard LSTM (LSTM) [19] | |
| 3 | BiGRU [20] | |
| 4 | BiLSTM [21] | |
| 5 | RNN-Attention (RA) [31] | |
| 6 | BiLSTM-Attention (BA) [32] | |
| 7 | Seq2Seq-Attention (SA) [27] | |
| 8 | TCN [26] | Number of Res Block = {1, 2, 3} Kernel size = {2, 4, 8} d = {1, 2, 4} |
| 9 | TCN-Attention (TA) [28] | |
| 10 | TCN-LSTM-Attention (TLA) | Number of Res Block = {1, 2, 3} Kernel size = {2, 4, 8} d = {1, 2, 4} HLD = {128, 64, 32, 16, 8} |
| 11 | DAPNet |
| Methods | Optimal Parameter Values | MAE | RMSE |
|---|---|---|---|
| RNN [30] | HLD = 32 | 0.0105 ± 0.0008 | 0.0153 ± 0.0009 |
| LSTM [19] | HLD = 16 | 0.0097 ± 0.0004 | 0.0147 ± 0.0004 |
| BiGRU [20] | HLD = 16 | 0.0096 ± 0.0004 | 0.0158 ± 0.0009 |
| BiLSTM [21] | HLD = 64 | 0.0094 ± 0.0003 | 0.0141 ± 0.0005 |
| RA [31] | HLD = 16 | 0.0099 ± 0.0006 | 0.0152 ± 0.0014 |
| BA [32] | HLD = 16 | 0.0092 ± 0.0008 | 0.0137 ± 0.0013 |
| SA [27] | HLD = 64 | 0.0091 ± 0.0008 | 0.0138 ± 0.0013 |
| TCN [26] | Number of Res Block = 2; (Kernel size, d) in each block = {(2, 1), (4, 2)} | 0.0102 ± 0.0012 | 0.0155 ± 0.0021 |
| TA [28] | Number of Res Block = 3; (Kernel size, d) in each block = {(2, 1), (4, 2), (8, 4)} | 0.0094 ± 0.0008 | 0.0146 ± 0.0013 |
| TLA | HLD = 64; Number of Res Block = 3; (Kernel size, d) in each block = {(4, 16), (8, 8), (16, 4)} | 0.0092 ± 0.0007 | 0.0143 ± 0.0011 |
| DAPNet | HLD = 16; Number of Res Block = 3; (Kernel size, d) in each block = {(4, 16), (8, 8), (16, 4)} | 0.0073 ± 0.0003 | 0.0121 ± 0.0007 |
| Methods | MAE | RMSE |
|---|---|---|
| RNN [30] | 0.0228 ± 0.0012 | 0.0270 ± 0.0018 |
| LSTM [19] | 0.0221 ± 0.0018 | 0.0259 ± 0.0021 |
| BiGRU [20] | 0.0201 ± 0.0013 | 0.0229 ± 0.0016 |
| BiLSTM [21] | 0.0196 ± 0.0014 | 0.0234 ± 0.0012 |
| RA [31] | 0.0207 ± 0.0021 | 0.0247 ± 0.0020 |
| BA [32] | 0.0192 ± 0.0016 | 0.0223 ± 0.0014 |
| SA [27] | 0.0196 ± 0.0016 | 0.0224 ± 0.0015 |
| TCN [26] | 0.0216 ± 0.0021 | 0.0255 ± 0.0028 |
| TA [28] | 0.0195 ± 0.0013 | 0.0237 ± 0.0013 |
| TLA | 0.0189 ± 0.0024 | 0.0227 ± 0.0024 |
| DAPNet | 0.0157 ± 0.0012 | 0.0198 ± 0.0018 |
| Methods | MAE | RMSE | Train Time | Test Time |
|---|---|---|---|---|
| DAPNet without data alignment | 0.0190 | 0.0241 | 474.34 s | 2.66 s |
| DAPNet without local attention | 0.0094 | 0.0143 | 408.19 s | 2.05 s |
| DAPNet without global attention | 0.0095 | 0.0146 | 433.98 s | 3.27 s |
| DAPNet without local/global attention | 0.0098 | 0.0148 | 335.68 s | 2.20 s |
| DAPNet using traditional TCN | 0.0096 | 0.0149 | 431.80 s | 3.19 s |
| DAPNet using BiLSTM | 0.0097 | 0.0155 | 456.73 s | 3.84 s |
| Proposed DAPNet | 0.0073 | 0.0121 | 444.26 s | 3.24 s |
Disclaimer/Publisher’s Note: The statements, opinions and data contained in all publications are solely those of the individual author(s) and contributor(s) and not of MDPI and/or the editor(s). MDPI and/or the editor(s) disclaim responsibility for any injury to people or property resulting from any ideas, methods, instructions or products referred to in the content. |
© 2024 by the authors. Licensee MDPI, Basel, Switzerland. This article is an open access article distributed under the terms and conditions of the Creative Commons Attribution (CC BY) license (https://creativecommons.org/licenses/by/4.0/).
Share and Cite
Li, X.; Zuo, Y.; Jiang, J. DAPNet: A Dual-Attention Parallel Network for the Prediction of Ship Fuel Consumption Based on Multi-Source Data. J. Mar. Sci. Eng. 2024, 12, 1945. https://doi.org/10.3390/jmse12111945
Li X, Zuo Y, Jiang J. DAPNet: A Dual-Attention Parallel Network for the Prediction of Ship Fuel Consumption Based on Multi-Source Data. Journal of Marine Science and Engineering. 2024; 12(11):1945. https://doi.org/10.3390/jmse12111945
Chicago/Turabian StyleLi, Xinyu, Yi Zuo, and Junhao Jiang. 2024. "DAPNet: A Dual-Attention Parallel Network for the Prediction of Ship Fuel Consumption Based on Multi-Source Data" Journal of Marine Science and Engineering 12, no. 11: 1945. https://doi.org/10.3390/jmse12111945
APA StyleLi, X., Zuo, Y., & Jiang, J. (2024). DAPNet: A Dual-Attention Parallel Network for the Prediction of Ship Fuel Consumption Based on Multi-Source Data. Journal of Marine Science and Engineering, 12(11), 1945. https://doi.org/10.3390/jmse12111945

