Experimental Study on the Vibration Characteristics of a Wave-Induced Oscillation Heaving Plate Energy Capture Device
Abstract
1. Introduction
- (1)
- Higher power generation efficiency. The flat vibrator is conducive to energy capture, and the adjustable spring can adapt to complex ocean conditions and improve power generation efficiency.
- (2)
- More secure structure. According to the relevant literature research, because the vertical size of the plate is small, the horizontal force is small, which is beneficial to the safety of the device.
- (3)
- More in line with the requirements of marine engineering. The device is a permeable structure, which is conducive to the exchange of marine water and has little impact on marine organisms, which meets the development requirements of modern marine engineering.
- (4)
- Lower cost. Compared with other wave energy converters, this device has a simple structure and small size. Therefore, the overall manufacturing and construction costs are reduced and its comprehensive benefits are outstanding.
- (5)
- Suitable for large-scale layouts. The simple and regular structure is conducive to array and optimal arrangement in small sea areas. For the vibrating structure, the biological attachment is less and will fall off with continuous vibration, which is conducive to the later maintenance of the device.
2. Experiment Setup
2.1. Experiment Site and Test Model
2.2. Experimental Design
2.3. Experiment Layout and Equipment
2.4. System Basic Parameter Calculation and Error Analysis
3. Experiment Results
3.1. System Vibration Period
3.2. Influence of Test Parameters on Amplitude
3.2.1. Influence of Period T on Amplitude A
3.2.2. Influence of Wave Height H on Amplitude A
3.2.3. Influence of Stiffness K on Amplitude A
3.3. Effect of Each Parameter on the Amplitude Ratio A*
3.3.1. Influence of Wave Period T on the Amplitude Ratio A*
3.3.2. Influence of Wave Height H on A*
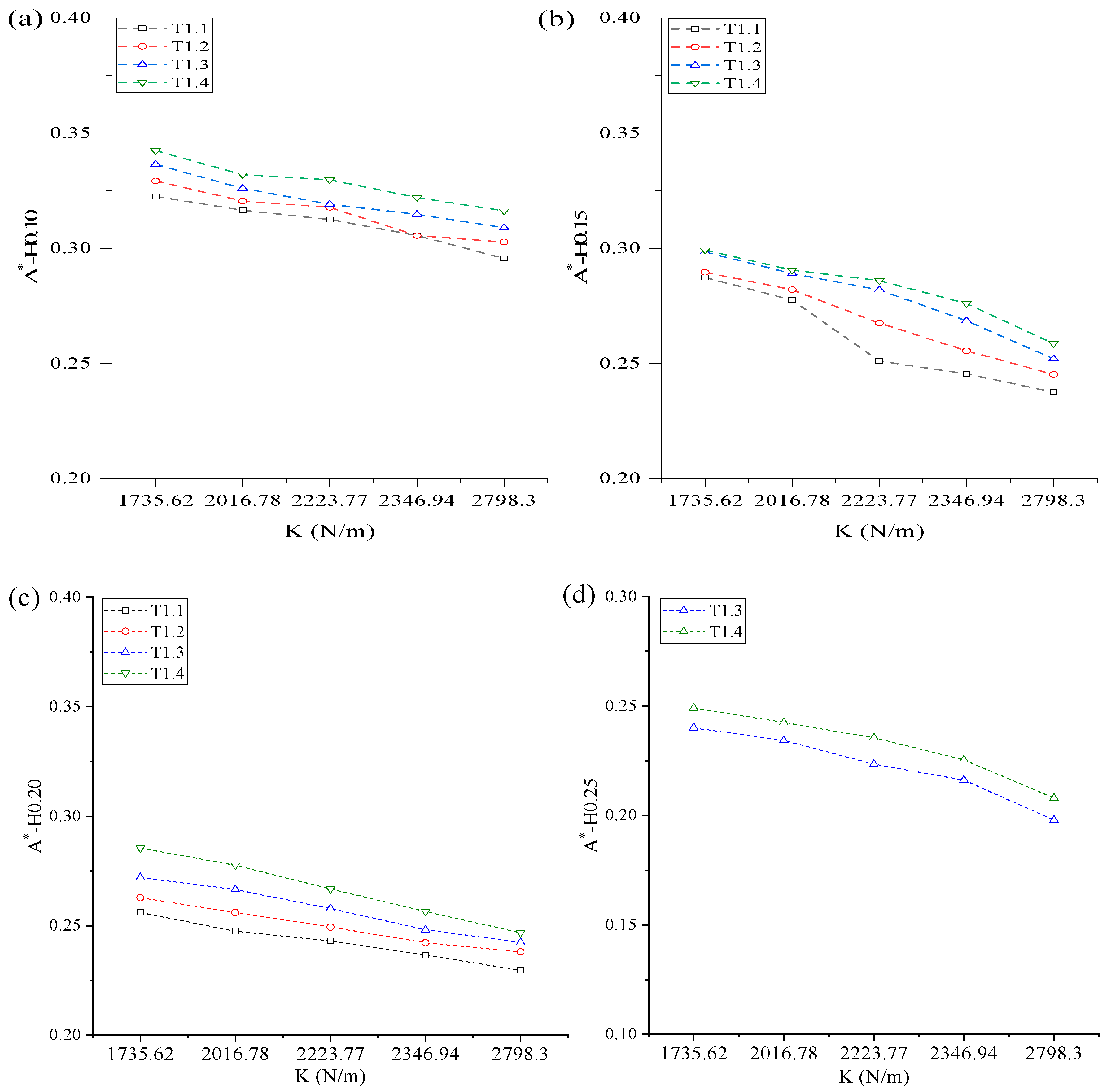
3.3.3. Influence of System Stiffness K on A*
4. Conclusions and Limitations
4.1. Conclusions
- (1)
- The motion frequency of the pendant plate device under the action of a wave is the same as the wave frequency, and it is the same as the wave frequency regardless of the natural vibration period.
- (2)
- The amplitude A increases with the increase in the wave period T and wave height H and decreases with the increase in system stiffness K. The amplitude increases more rapidly with the wave height than with the period. Under the experiment conditions, the maximum amplitude is Amax = 6.23 cm (H = 0.25 m, T = 1.4 s, K = 1735.62 N/m).
- (3)
- The amplitude response A* increases slightly with the wave period T and decreases with the wave height H and system stiffness K. Amax = 0.34 (H = 0.10 m, T = 1.4 s, K = 1735.62 N/m).
- (4)
- The closer the natural frequency is to the wave period, the greater the amplitude and amplitude ratio.
4.2. Limitations
Author Contributions
Funding
Data Availability Statement
Conflicts of Interest
References
- Shi, J.; Li, D.; Li, D. Design and experimental research of jack-up wave energy power generation device. Adv. Mech. Eng. 2015, 7, 1687814015581254. [Google Scholar] [CrossRef]
- Yang, Z.; Liu, X. The Experimental Study on Overtopping Discharge and Wave Pressure of an Overtopping Wave Energy Converter. Coast. Eng. 2016, 35, 63–73. [Google Scholar]
- Hur, D.S.; Jeong, Y.M.; Lee, J.L.; Kim, I.H.; Lee, W.D. Energy generation efficiency due to wave overtopping on floating-overflow-type wave energy converter. J. Coast. Res. 2018, 85, 1341–1345. [Google Scholar] [CrossRef]
- Shi, H.; Shang, R.; Liu, Z.; Jiao, J. Owc Experimental Study on Pressure Drop of the Impulse Turbine of OWC. Period. Ocean Univ. China 2012, 42, 113–119. [Google Scholar]
- He, F.; Huang, Z.; Law, A.W.K. An experimental study of a floating breakwater with asymmetric pneumatic chambers for wave energy extraction. Appl. Energy 2013, 106, 222–231. [Google Scholar] [CrossRef]
- He, F.; Leng, J.; Zhao, X. An experimental investigation into the wave power extraction of a floating box-type breakwater with dual pneumatic chambers. Appl. Ocean Res. 2017, 67, 21–30. [Google Scholar] [CrossRef]
- Henriques, J.C.C.; Portillo, J.C.C.; Sheng, W.; Gato, L.M.C.; Falcão, A.D.O. Dynamics and control of air turbines in oscillating-water-column wave energy converters: Analyses and case study. Renew. Sustain. Energy Rev. 2019, 112, 571–589. [Google Scholar] [CrossRef]
- Ciappi, L.; Simonetti, I.; Bianchini, A.; Cappietti, L.; Manfrida, G. Application of integrated wave-to-wire modelling for the preliminary design of oscillating water column systems for installations in moderate wave climates. Renew. Energy 2022, 192, 232–248. [Google Scholar] [CrossRef]
- Zheng, X.; Zhang, L.; Jiang, J.; Ma, Y. Movement and Energy Conversion Performance of the Wave Energy Device. Sci. Technol. Rev. 2014, 32, 15–18. [Google Scholar]
- Ning, D.; Zhao, X.; Göteman, M.; Kang, H. Hydrodynamic performance of a pile-restrained WEC-type floating breakwater: An experimental study. Renew. Energy 2016, 95, 531–541. [Google Scholar] [CrossRef]
- Zhang, H.; Zhou, B.; Vogel, C.; Willden, R.; Zang, J.; Zhang, L. Hydrodynamic performance of a floating breakwater as an oscillating-buoy type wave energy converter. Appl. Energy 2020, 257, 113996. [Google Scholar] [CrossRef]
- Chen, Q.; Zang, J.; Birchall, J.; Ning, D.; Zhao, X.; Gao, J. On the hydrodynamic performance of a vertical pile-restrained WEC-type floating breakwater. Renew. Energy 2020, 146, 414–425. [Google Scholar] [CrossRef]
- Ji, Q.; Xu, C.; Jiao, C. Numerical investigation on the hydrodynamic performance of a vertical pile-restrained reversed L type floating breakwater integrated with WEC. Ocean Eng. 2021, 238, 109635. [Google Scholar] [CrossRef]
- Lian, J.; Wang, X.; Wang, X.; Wu, D. Research on Wave Energy Converters. Energies 2024, 17, 1577. [Google Scholar] [CrossRef]
- Liu, P.L.-F.; Iskandarani, M. Scattering of short-wave groups by submerged horizontal plate. J. Waterw. Port Coast. Ocean. Eng. 1991, 117, 235–246. [Google Scholar] [CrossRef]
- Carter, R.W.; Ertekin, R.C.; Lin, P. On the reverse flow beneath a submerged plate due to wave action. In Proceedings of the International Conference on Offshore Mechanics and Arctic Engineering, OMAE 2006, Hamburg, Germany, 4–9 June 2006; pp. 1–8. [Google Scholar]
- Brossard, J.; Perret, G.; Blonce, L.; Diedhiou, A. Higher harmonics induced by a submerged horizontal plate and a submerged rectangular step in a wave flume. Coast. Eng. 2009, 56, 11–22. [Google Scholar] [CrossRef]
- Hayatdavoodi, M.; Ertekin, R.C.; Valentine, B.D. Solitary and cnoidal wave scattering by a submerged horizontal plate in shallow water. AIP Adv. 2017, 7, 065212–065229. [Google Scholar] [CrossRef]
- Huang, L.; Li, Y. Design of the submerged horizontal plate breakwater using a fully coupled hydroelastic approach. Comput.-Aided Civ. Infrastruct. Eng. 2022, 37, 915–932. [Google Scholar] [CrossRef]
- Zheng, S.; Liang, H.; Michele, S.; Greaves, D. Water wave interaction with an array of submerged circular plates: Hankel transform approach. Phys. Rev. Fluids 2023, 8, 014803. [Google Scholar] [CrossRef]
- Song, Z.; Ren, B.; Sun, J.; Liu, M.; Wang, G. Experimental study of the wave impact pressure onhorizontal deck with elastic braces. Chin. J. Hydrodyn. A 2014, 4, 435–443. [Google Scholar]
- Liu, C.; Huang, Z.; Chen, W. A numerical study of a submerged horizontal heaving plate as a breakwater. J. Coast. Res. 2017, 33, 917–930. [Google Scholar] [CrossRef]
- He, M.; Xu, W.; Gao, X.; Ren, B. SPH simulation of wave scattering by a heaving submerged horizontal plate. Int. J. Ocean Coast. Eng. 2018, 1, 1840004. [Google Scholar] [CrossRef]
- Wang, X.; Zhao, X.; Fu, D. Numerical simulation of water wave interaction with a floating plate breakwater. Ocean Eng. 2019, 3, 61–68. [Google Scholar]
- Fu, D.; Zhao, X.; Wang, S.; Yan, D. Numerical study on the wave dissipating performance of a submerged heaving plate breakwater. Ocean Eng. 2021, 219, 108310. [Google Scholar] [CrossRef]
- Wang, S.; Zhao, X. A method for obtaining the optimal support stiffness of heaving plate breakwater. Ocean Eng. 2023, 2, 161–168. [Google Scholar]
- Hayatdavoodi, M.; Chen, Y.; Zhao, B.; Ertekin, R.C. Experiments and computations of wave-induced oscillations of submerged horizontal plates. Phys. Fluids 2023, 35, 017121. [Google Scholar] [CrossRef]
- Chen, Y.; Hayatdavoodi, M.; Zhao, B.; Cengiz Ertekin, R. Scattering of long waves by freely oscillating submerged plates. J. Offshore Mech. Arct. Eng. 2024, 146, 021201. [Google Scholar] [CrossRef]
- Yan, X. Study on Mechanism and Characteristics of Energy Conversion from Flow-Induced Motion Coupled with Electromagnetic. Ph.D. Thesis, Tianjin University, Tianjin, China, 2017. [Google Scholar]


















| Spring Type | A | B | C | D | E | F | G |
|---|---|---|---|---|---|---|---|
| Spring specification Line diameter × diameter × length (mm) | 1.4 × 14 × 220 | 1.4 × 14 × 240 | 1.4 × 14 × 260 | 1.6 × 15 × 240 | 1.6 × 15 × 260 | 1.8 × 18 × 220 | 1.8 × 18 × 260 |
| Spring Combination (Combination Type) | Hook Position | |||
|---|---|---|---|---|
| U1, U9, U10, U18 | U5, U14 | UN1, UN9, UN10, UN18 | UN5, UN14 | |
| 2G + C (6-4) | G | C | G | |
| 2G + E (6-4) | G | E | G | |
| 2G + C (6-6) | G | C | G | C |
| 2D + B (6-6) | D | B | D | B |
| 2F + A (6-6) | F | A | F | A |
| Spring Type | Single Spring Stiffness (N/m) | Linear Interval (cm) | Single Spring Mass (kg) |
|---|---|---|---|
| A | 138.68 | 2.00–25.20 | 0.06 |
| B | 136.93 | 2.10–26.20 | 0.10 |
| C | 119.9 | 1.90–27.80 | 0.08 |
| D | 199.45 | 2.00–26.70 | 0.08 |
| E | 171.83 | 1.80–27.80 | 0.10 |
| F | 250.31 | 2.00–26.90 | 0.10 |
| G | 193.33 | 4.90–15.80 | 0.12 |
| Spring Combination (Combination Type) | Balanced Position | Spring Length of Upper Plate (cm) | Spring Length of Under Plate (cm) | Stretch Length Range at Balance (cm) | Stretch Length Range under Test (cm) |
|---|---|---|---|---|---|
| 2G + C (6-4) | 60.90 | 35.10 | 36.90 | 9.10~10.90 | 2.80–17.20 |
| 2G + E (6-4) | 61.50 | 34.50 | 37.50 | 8.50–11.50 | 2.40–17.60 |
| 2G + C (6-6) | 58.40 | 37.60 | 34.40 | 8.40–11.60 | 2.80–17.20 |
| 2D + B (6-6) | 58.70 | 37.30 | 34.70 | 10.70–13.30 | 5.10–18.90 |
| 2F + A (6-6) | 59.50 | 36.50 | 35.50 | 13.50–14.50 | 8.30–19.70 |
| Experimental Factor | Test Level | Remaks | |
|---|---|---|---|
| Depth of water | 0.70 m | The spring combination corresponding to the stiffness are 2G + C (6-4), 2D + B (6-4), 2G + C(6-6), 2D + B (6-6), 2F + A (6-6) | |
| T = 1.1 s | H(m) | 0.10, 0.15, 0.20 m | |
| T = 1.2 s | H(m) | 0.10, 0.15, 0.20, 0.23 m | |
| T = 1.3 s | H(m) | 0.10, 0.15, 0.20, 0.25 m | |
| T = 1.4 s | H(m) | 0.10, 0.15, 0.20, 0.25 m | |
| System stiffness (N/m) | 1735.62 (K1), 2016.78 (K2), 2223.77 (K3), 2346.94 (K4), 2798.30 (K5) | ||
| Spring Combination (Combination Type) | System Stiffness (N/m) | mosc (kg) | mcyl (kg) | mspr (kg) | fair | ζair | C (N∙s/m) |
|---|---|---|---|---|---|---|---|
| (rad/s) | |||||||
| 2L + E (6-4) | 1735.62 | 7.130 | 6.780 | 1.040 | 2.480 | 0.088 | 4.89 |
| 2L + H (6-4) | 2016.78 | 7.150 | 6.780 | 1.120 | 2.670 | 0.081 | 4.86 |
| 2L + E (6-6) | 2223.77 | 7.180 | 6.780 | 1.200 | 2.800 | 0.079 | 4.99 |
| 2G + D (6-6) | 2346.94 | 7.140 | 6.780 | 1.080 | 2.890 | 0.078 | 5.06 |
| 2J + C (6-6) | 2798.30 | 7.100 | 6.780 | 0.960 | 3.160 | 0.073 | 5.15 |
| Spring Combination | System Stiffness of Test (N/m) | System Stiffness of Formula (N/m) | Stiffness Error (%) | Remarks |
|---|---|---|---|---|
| 2G + C (6-4) | 1735.62 | 1786.44 | −2.84 | 8 L and 2 E springs |
| 2G + E (6-4) | 2016.78 | 1890.30 | 6.69 | 8 L and 2 H springs |
| 2G + C (6-6) | 2223.77 | 2026.24 | 9.75 | 8 L and 4 E springs |
| 2D + B (6-6) | 2346.94 | 2143.32 | 9.50 | 8 G and 4 D springs |
| 2F + A (6-6) | 2798.30 | 2557.20 | 9.43 | 8 J and 4 C springs |
| Wave Period T (s) | Wave Height H (m) | K1 | K2 | K3 | K4 | K5 |
|---|---|---|---|---|---|---|
| 1.10 | 0.10 | 1.10 | 1.10 | 1.10 | 1.10 | 1.10 |
| 0.15 | 1.10 | 1.10 | 1.10 | 1.11 | 1.10 | |
| 0.20 | 1.10 | 1.10 | 1.10 | 1.10 | 1.10 | |
| 1.20 | 0.10 | 1.20 | 1.20 | 1.20 | 1.20 | 1.20 |
| 0.15 | 1.20 | 1.20 | 1.20 | 1.20 | 1.20 | |
| 0.20 | 1.21 | 1.20 | 1.21 | 1.21 | 1.21 | |
| 0.23 | 1.20 | 1.21 | 1.20 | 1.20 | 1.21 | |
| 1.30 | 0.10 | 1.30 | 1.30 | 1.30 | 1.30 | 1.30 |
| 0.15 | 1.30 | 1.30 | 1.30 | 1.30 | 1.30 | |
| 0.20 | 1.30 | 1.30 | 1.30 | 1.30 | 1.30 | |
| 0.25 | 1.31 | 1.31 | 1.31 | 1.30 | 1.31 | |
| 1.40 | 0.10 | 1.40 | 1.41 | 1.41 | 1.41 | 1.40 |
| 0.15 | 1.40 | 1.40 | 1.40 | 1.40 | 1.41 | |
| 0.20 | 1.40 | 1.41 | 1.41 | 1.41 | 1.41 | |
| 0.25 | 1.41 | 1.41 | 1.41 | 1.41 | 1.41 |
Disclaimer/Publisher’s Note: The statements, opinions and data contained in all publications are solely those of the individual author(s) and contributor(s) and not of MDPI and/or the editor(s). MDPI and/or the editor(s) disclaim responsibility for any injury to people or property resulting from any ideas, methods, instructions or products referred to in the content. |
© 2024 by the authors. Licensee MDPI, Basel, Switzerland. This article is an open access article distributed under the terms and conditions of the Creative Commons Attribution (CC BY) license (https://creativecommons.org/licenses/by/4.0/).
Share and Cite
Lian, J.; Wang, X.; Wang, X.; Chen, Y.; Liu, L.; Li, X.; Xu, L. Experimental Study on the Vibration Characteristics of a Wave-Induced Oscillation Heaving Plate Energy Capture Device. J. Mar. Sci. Eng. 2024, 12, 1797. https://doi.org/10.3390/jmse12101797
Lian J, Wang X, Wang X, Chen Y, Liu L, Li X, Xu L. Experimental Study on the Vibration Characteristics of a Wave-Induced Oscillation Heaving Plate Energy Capture Device. Journal of Marine Science and Engineering. 2024; 12(10):1797. https://doi.org/10.3390/jmse12101797
Chicago/Turabian StyleLian, Jijian, Xiaowei Wang, Xiaoqun Wang, Yanjia Chen, Likun Liu, Xin Li, and Lingyue Xu. 2024. "Experimental Study on the Vibration Characteristics of a Wave-Induced Oscillation Heaving Plate Energy Capture Device" Journal of Marine Science and Engineering 12, no. 10: 1797. https://doi.org/10.3390/jmse12101797
APA StyleLian, J., Wang, X., Wang, X., Chen, Y., Liu, L., Li, X., & Xu, L. (2024). Experimental Study on the Vibration Characteristics of a Wave-Induced Oscillation Heaving Plate Energy Capture Device. Journal of Marine Science and Engineering, 12(10), 1797. https://doi.org/10.3390/jmse12101797

