On the Wind-Driven Formation of Plankton Patches in Island Wakes
Abstract
1. Introduction
2. Theoretical Background and Methodology
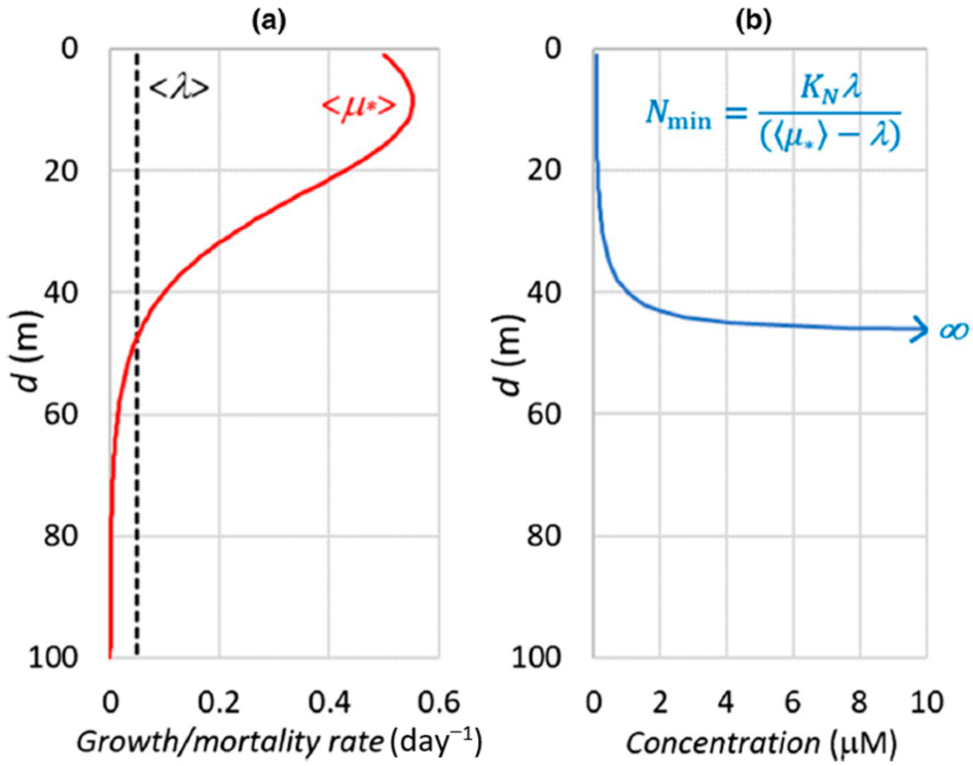
2.1. Theoretical Background
2.2. Model Description
2.3. Forcing and Boundary Conditions
2.4. Experimental Design
3. Results and Discussion
3.1. First Scenario (U = 5 cm/s)
3.2. Second Scenario (U = 20 cm/s)
4. Final Discussion
5. Conclusions
Funding
Institutional Review Board Statement
Informed Consent Statement
Data Availability Statement
Acknowledgments
Conflicts of Interest
References
- Hutchinson, G.E. The concept of pattern in ecology. Proc. Acad. Nat. Sci. USA 1953, 105, 1–12. [Google Scholar]
- Frontier, S. Étude statistique de la dispersion du zooplancton. J. Exp. Mar. Biol. Ecol. 1973, 12, 229–262. [Google Scholar] [CrossRef]
- Cassie, R.M. Frequency distribution models in the ecology of plankton and other organisms. J. Anim. Ecol. 1962, 31, 65–92. [Google Scholar] [CrossRef]
- Cassie, R.M. Microdistribution of plankton. Oceanogr. Mar. Biol. 1963, 1, 223–252. [Google Scholar]
- Levin, S.A.; Segel, L.A. Hypothesis for origin of planktonic patchiness. Nature 1976, 259, 659. [Google Scholar] [CrossRef]
- Owen, R.W. Microscale and finescale variations of small plankton in coastal and pelagic environments. J. Mar. Res. 1989, 47, 197–240. [Google Scholar] [CrossRef]
- Davis, C.S.; Gallager, S.M.; Solow, A.R. Microaggregations of oceanic plankton observed by towed video microscopy. Science 1992, 257, 230–232. [Google Scholar] [CrossRef]
- Pinel-Alloul, P. Spatial heterogeneity as a multiscale characteristic of zooplankton community. Hydrobiologia 1995, 300–301, 17–42. [Google Scholar] [CrossRef]
- Benoit-Bird, K.J.; Shroyer, E.L.; McManus, M.A. A critical scale in plankton aggregations across coastal ecosystems. Geophys. Res. Lett. 2013, 40, 3968–3974. [Google Scholar] [CrossRef]
- Haury, L.R.; McGowan, J.A.; Wiebe, P.H. Patterns and processes in the time-space scales of plankton distributions. In Spatial Patterns in Plankton Communities; Steele, J.H., Ed.; Plenum Press: New York, NY, USA, 1978; pp. 277–327. [Google Scholar]
- Robinson, K.L.; Sponaugle, S.; Luo, J.Y.; Gleiber, M.R.; Cowen, R.K. Big or small, patchy all: Resolution of marine plankton patch structure at micro- to submesoscales for 36 taxa. Sci. Adv. 2021, 7, 2904. [Google Scholar] [CrossRef]
- Doty, M.S.; Oguri, M. The island mass effect. J. Cons. Int. Explor. Mer. 1956, 22, 33–37. [Google Scholar] [CrossRef]
- Mann, K.H.; Lazier, J.R.N. Dynamics of Marine Ecosystems: Biological-Physical Interactions in the Oceans, 3rd ed.; Blackwell Publishing: Cambridge, UK, 2005. [Google Scholar]
- Kodaira, T.; Waseda, T. Tidally generated island wakes and surface water cooling over Izu Ridge. Ocean Dyn. 2019, 69, 1373–1385. [Google Scholar] [CrossRef]
- Griffin, D.A.; Middleton, J.H.; Bode, L. The tidal and longer-period circulation of Capricornia, southern Great Barrier Reef. Austr. J. Mar. Freshw. Res. 1987, 38, 461–474. [Google Scholar] [CrossRef]
- Hasegawa, D.; Yamazaki, H.; Lueck, R.G.; Seuront, L. How islands stir and fertilize the upper ocean. Geophys. Res. Lett. 2004, 31, L16303. [Google Scholar] [CrossRef]
- Bell, P.R.F. Eutrophication and coral reefs—Some examples in the Great Barrier Reef Lagoon. Water Res. 1992, 26, 553–568. [Google Scholar] [CrossRef]
- Gove, J.M.; McManus, M.A.; Neuheimer, A.B.; Polovina, J.J.; Drazen, J.C.; Smith, C.R.; Merrifield, M.A.; Friedlander, A.M.; Ehses, J.S.; Young, C.W.; et al. Near-island biological hotspots in barren ocean basins. Nat. Commun. 2016, 7, 10581. [Google Scholar] [CrossRef] [PubMed]
- Street, J.H.; Knee, K.L.; Grossman, E.E.; Paytan, A. Submarine groundwater discharge and nutrient addition to the coastal zone and coral reefs of leeward Hawai’i. Mar. Chem. 2008, 109, 355–376. [Google Scholar] [CrossRef]
- Vitousek, P.M.; Mooney, H.A.; Lubchenco, J.; Melillo, J.M. Human domination of Earth’s ecosystems. Science 1997, 277, 494–499. [Google Scholar] [CrossRef]
- Batchelor, G.K. An Introduction to Fluid Dynamics; Cambridge University Press: Cambridge, UK, 1967. [Google Scholar]
- Barkley, R. Johnston Atol’s wake. J. Mar. Res. 1972, 30, 201–216. [Google Scholar]
- Pattiaratchi, C.; James, A.; Collins, M. Island wakes and headland eddies: A comparison between remotely sensed data and laboratory experiments. J. Geophys. Res. 1987, 92, 783–794. [Google Scholar] [CrossRef]
- Wolanski, E.; Hamner, W.M. Topographically controlled fronts in the ocean and their biological influence. Science 1988, 241, 177–181. [Google Scholar] [CrossRef] [PubMed]
- Tomczak, M. Island wakes in deep and shallow water. J. Geophys. Res. 1988, 93, 5153–5154. [Google Scholar] [CrossRef]
- Aristegui, J.; Sangra, P.; Hernandez-Leon, S.; Canton, M.; Hernandez-Guerra, A.; Kerling, J. Island-induced eddies in the Canary Islands. Deep-Sea Res. Part I 1994, 41, 1509–1525. [Google Scholar] [CrossRef]
- Heywood, K.J.; Stevens, D.P.; Bigg, G.R. Eddy formation behind the tropical island of Aldabra. Deep-Sea Res. Part I 1996, 43, 555–578. [Google Scholar] [CrossRef]
- Dietrich, D.E.; Bowman, M.J.; Lin, C.A. Numerical studies of small island wakes in the ocean. Geophys. Astrophys. Fluid Dyn. 1996, 83, 195–231. [Google Scholar] [CrossRef]
- Barton, E.; Basterretxea, G.; Flament, P.; Mitchelson-Jacob, E.; Jones, B.; Aristegui, J.; Herrera, F. Lee region of Gran Canaria. J. Geophys. Res. 2000, 105, 17173–17193. [Google Scholar] [CrossRef]
- Aiken, C.; Moore, A.; Middleton, J. The non-normality of coastal ocean flows around obstacles, and their response to stochastic forcing. J. Phys. Oceanogr. 2002, 32, 2955–2974. [Google Scholar] [CrossRef]
- Coutis, P.; Middleton, J. The physical and biological impact of a small island wake in the deep ocean. Deep-Sea Res. Part I 2002, 49, 1341–1361. [Google Scholar] [CrossRef]
- Harlan, J.A.; Swearer, S.E.; Leben, R.R.; Fox, C.A. Surface circulation in a Caribbean Island wake. Cont. Shelf Res. 2002, 22, 417–434. [Google Scholar] [CrossRef]
- Neill, S.P.; Elliott, A.J. Observations and simulations of an unsteady island wake in the Firth of Forth, Scotland. Ocean Dyn. 2004, 54, 324–332. [Google Scholar] [CrossRef]
- Caldeira, R.M.A.; Marchesiello, P.; Nezlin, N.P.; DiGiacomo, P.M.; McWilliams, J.C. Island wakes in the Southern California Bight. J. Geophys. Res. 2005, 110, C11012. [Google Scholar] [CrossRef]
- Kämpf, J.; Möller, L.; Baring, R.; Shute, A.; Cheesman, C. The island mass effect: A study of wind-driven nutrient upwelling around reef islands. J. Oceanogr. 2023, 79, 161–174. [Google Scholar] [CrossRef]
- Hamner, W.M.; Hauri, I.R. Effects of island mass: Water flow and plankton pattern around a reef in the Great Barrier Reef lagoon, Australia. Limnol. Oceanogr. 1981, 26, 1084–1102. [Google Scholar] [CrossRef]
- Hernandez-Leon, S. Accumulation of mesozooplankton in a wake area as a causative mechanism of the “island-mass effect”. Mar. Biol. 1991, 109, 141–147. [Google Scholar] [CrossRef]
- Martinez, E.; Maamaatuaiahutapu, K. Island mass effect in the Marquesas Islands: Time variation. Geophys. Res. Lett. 2004, 31, L18307. [Google Scholar] [CrossRef]
- Hasegawa, D.; Matsuno, T.; Tsutsumi, E.; Senjyu, T.; Endoh, T.; Tanaka, T.; Yoshie, N.; Nakamura, H.; Nishina, A.; Kobari, T.; et al. How a small reef in the Kuroshio cultivates the ocean. Geophys. Res. Lett. 2021, 48, e2020GL092063. [Google Scholar] [CrossRef]
- De Falco, C.; Desbiolles, F.; Bracco, A.; Pasquero, C. Island mass effect: A review of oceanic physical processes. Front. Mar. Sci. 2022, 9, 894860. [Google Scholar] [CrossRef]
- Dong, C.; McWilliams, J.C.; Shchepetkin, A.F. Island wakes in deep water. J. Phys. Oceanogr. 2007, 37, 962–981. [Google Scholar] [CrossRef]
- Teinturier, S.; Stegner, A.; Didelle, H.; Viboud, S. Small-scale instabilities of an island wake flow in a rotating shallow-water layer. Dyn. Atmos. Oceans 2010, 49, 1–24. [Google Scholar] [CrossRef][Green Version]
- Chang, M.-H.; Tang, T.Y.; Ho, C.-R.; Chao, S.-Y. Kuroshio-induced wake in the lee of Green Island off Taiwan. J. Geophys. Res. 2013, 118, 1508–1519. [Google Scholar] [CrossRef]
- Sangrà, P.; Auladell, M.; Marrero-Díaz, A.; Pelegrí, J.; Fraile-Nuez, E.; Rodríguez-Santana, A.; Martín, J.; Mason, E.; Hernández-Guerra, A. On the nature of oceanic eddies shed by the island of Gran Canaria. Deep Sea. Res. Part I 2007, 54, 687–709. [Google Scholar] [CrossRef]
- Schütte, F.; Brandt, P.; Karstensen, J. Occurrence and characteristics of mesoscale eddies in the tropical northeastern Atlantic Ocean. Ocean. Sci. 2016, 12, 663–685. [Google Scholar] [CrossRef]
- Hasegawa, D.; Yamazaki, H.; Ishimaru, T.; Nagashima, H.; Koike, Y. Apparent phytoplankton bloom due to island mass effect. J. Mar. Syst. 2008, 69, 238–246. [Google Scholar] [CrossRef]
- Friedrich, T.; Powell, B.S.; Stock, C.A.; Hahn-Woernle, L.; Dussin, R.; Curchitser, E.N. Drivers of Phytoplankton Blooms in Hawaii: A Regional Model Study. J. Geophys. Res. 2021, 126, e2020JC017069. [Google Scholar] [CrossRef]
- Kämpf, J. Ocean Modelling for Beginners; Springer: Berlin/Heidelberg, Germany, 2009. [Google Scholar]
- Okubo, A. Oceanic diffusion diagrams. Deep-Sea Res. 1971, 18, 789–802. [Google Scholar] [CrossRef]
- Lawrence, G.A.; Ashley, K.I.; Yonemitsu, N.; Ellis, J.R. Natural dispersion in a small lake. Limnol. Oceanogr. 1995, 40, 1519–1526. [Google Scholar] [CrossRef]
- Luyten, P.J.; Jones, J.E.; Proctor, R.; Tabor, A.; Tett, P.; Wild-Allen, K. COHERENS—A Coupled Hydrodynamical-Ecological Model for Regional and Shelf Seas: User Documentation; MUMM Report; Management Unit of the North Sea: Brussels, Belgium, 1999; 914p, Available online: https://uol.de/f/5/inst/icbm/ag/physoz/download/from_emil/COHERENS/print/userguide.pdf (accessed on 20 November 2023).
- Smagorinsky, J. General circulation experiments with the primitive equations. I: The basic experiment. Mon. Weather Rev. 1963, 91, 99–164. [Google Scholar] [CrossRef]
- Kämpf, J. Advanced Ocean Modelling; Springer: Berlin/Heidelberg, Germany, 2010. [Google Scholar]
- Jakobsen, H.H.; Markager, S. Carbon-to-chlorophyll ratio for phytoplankton in temperate coastal waters: Seasonal patterns and relationship to nutrients. Limnol. Oceanogr. 2016, 61, 1853–1868. [Google Scholar] [CrossRef]
- Large, W.G.; Pond, S. Open ocean momentum flux measurements in moderate to strong winds. J. Phys. Oceanogr. 1981, 11, 324–336. [Google Scholar] [CrossRef]
- Kämpf, J.; Chapman, P. Upwelling System of the World; Springer Nature: New York, NY, USA, 2016. [Google Scholar]
- Su, Z.; Wang, J.; Klein, P.; Thompson, A.F.; Menemenlis, D. Ocean submesoscales as a key component of the global heat budget. Nat. Commun. 2018, 9, 775. [Google Scholar] [CrossRef]
- Su, Z.; Torres, H.; Klein, P.; Thompson, A.F.; Siegelman, L.; Wang, J.; Menemenlis, D.; Hill, C. High-frequency submesoscale motions enhance the upward vertical heat transport in the global ocean. J. Geophys. Res. Oceans 2020, 125, e2020JC016544. [Google Scholar] [CrossRef]













Disclaimer/Publisher’s Note: The statements, opinions and data contained in all publications are solely those of the individual author(s) and contributor(s) and not of MDPI and/or the editor(s). MDPI and/or the editor(s) disclaim responsibility for any injury to people or property resulting from any ideas, methods, instructions or products referred to in the content. |
© 2024 by the author. Licensee MDPI, Basel, Switzerland. This article is an open access article distributed under the terms and conditions of the Creative Commons Attribution (CC BY) license (https://creativecommons.org/licenses/by/4.0/).
Share and Cite
Kämpf, J. On the Wind-Driven Formation of Plankton Patches in Island Wakes. J. Mar. Sci. Eng. 2024, 12, 193. https://doi.org/10.3390/jmse12010193
Kämpf J. On the Wind-Driven Formation of Plankton Patches in Island Wakes. Journal of Marine Science and Engineering. 2024; 12(1):193. https://doi.org/10.3390/jmse12010193
Chicago/Turabian StyleKämpf, Jochen. 2024. "On the Wind-Driven Formation of Plankton Patches in Island Wakes" Journal of Marine Science and Engineering 12, no. 1: 193. https://doi.org/10.3390/jmse12010193
APA StyleKämpf, J. (2024). On the Wind-Driven Formation of Plankton Patches in Island Wakes. Journal of Marine Science and Engineering, 12(1), 193. https://doi.org/10.3390/jmse12010193
