Using Machine Learning to Predict Oil–Mineral Aggregates Formation
Abstract
1. Introduction
2. Materials and Methods
2.1. Materials
2.2. OMA Formation Experiments
2.3. Machine Learning Model
2.4. Model Evaluation
2.5. Machine Learning Quantification of Feature Importance
2.6. Machine Learning-Based Software
- Input parameters: The software requires the following input data to perform predictions:
- Time: Duration of the experiment (min)
- Clay type: Density of the clay used (g/cm3)
- Oil type: Density of the oil used (g/cm3)
- Dispersant: A binary input indicating the presence (Yes) or absence (No) of dispersants
- Oil concentration: Concentration of oil in the mixture (mg/L)
- Clay concentration: Concentration of clay in the mixture (mg/L)
- Salinity: Salinity of the mixture (ppt)
- Shaking rate: Agitation speed (rpm)
- Temperature: Ambient temperature during the experiment (°C)
- Process: The software applies the selected machine-learning algorithm to the input data. This algorithm has been optimized for accuracy and reliability in predicting the median diameter of OMAs based on the input parameters.
- Output: The primary output of the software is the predicted median diameter of OMAs (µm). This aids in understanding the behavior of OMAs under different experimental condition.
3. Results and Discussions
3.1. Statistical Analysis
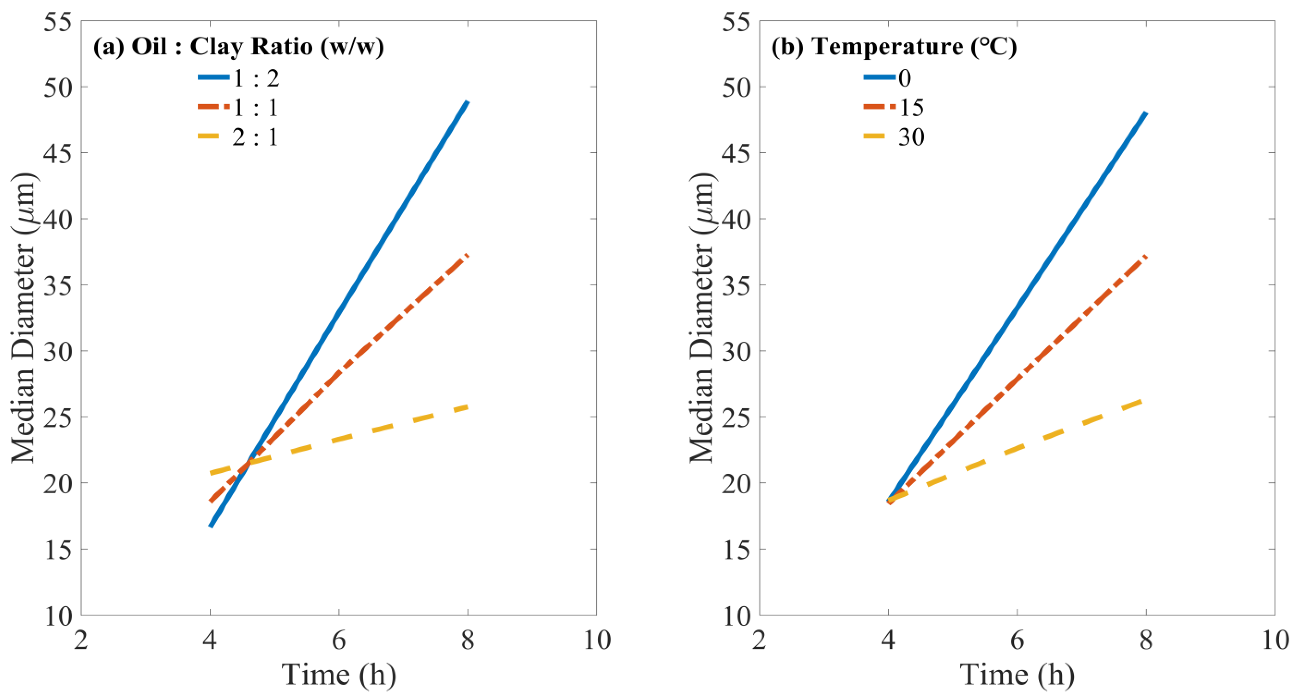
3.1.1. Significance Analysis of the Formation Factors
3.1.2. Interaction Effects
3.2. Machine Learning Prediction
3.2.1. Algorithm Selection
3.2.2. Sensitivity Analysis of Dataset Partitioning
3.2.3. Feature Importance
3.3. Machine Learning-Based Prediction Software
4. Conclusions
Supplementary Materials
Author Contributions
Funding
Institutional Review Board Statement
Informed Consent Statement
Data Availability Statement
Acknowledgments
Conflicts of Interest
References
- ITOPF. Oil Tanker Spill Statistics 2021; International Tanker Owners Pollution Federation (ITOPF): London, UK, 2022; Available online: https://www.itopf.org/fileadmin/uploads/itopf/data/Documents/Company_Lit/Oil_Spill_Stats_2021.pdf (accessed on 12 January 2023).
- Kingston, P.F. Long-Term Environmental Impact of Oil Spills. Spill Sci. Technol. Bull. 2002, 7, 53–61. [Google Scholar] [CrossRef]
- Bragg, J.R.; Owens, E.H. Shoreline Cleansing by Interactions Between Oil and Fine Mineral Particles. Int. Oil Spill Conf. Proc. 1995, 1995, 219–227. [Google Scholar] [CrossRef]
- Lee, K.; Stoffyn-Egli, P.; Wood, P.A.; Lunel, T. Formation and Structure of Oil-Mineral Fines Aggregates in Coastal Environments; Environment Canada: Ottawa, ON, Canada, 1998; pp. 911–921.
- Owens, E.H. The Interaction of Fine Particles with Stranded Oil. Pure Appl. Chem. 1999, 71, 83–93. [Google Scholar] [CrossRef]
- Payne, J.R.; Kirstein, B.E.; Clayton, J.R.; Clary, C.; Redding, R. Integration of Suspended-Particulate Matter and Oil-Transportation Study. Final Report, September 1984–September 1987; Science Applications International Corp.: San Diego, CA, USA, 1987. [Google Scholar]
- Poirier, O.A.; Thiel, G.A. Deposition of Free Oil by Sediments Settling in Sea Water. AAPG Bull. 1941, 25, 2170–2180. [Google Scholar]
- Sterling, M.C.; Bonner, J.S.; Ernest, A.N.S.; Page, C.A.; Autenrieth, R.L. Application of Fractal Flocculation and Vertical Transport Model to Aquatic Sol–Sediment Systems. Water Res. 2005, 39, 1818–1830. [Google Scholar] [CrossRef]
- Spaulding, M.L. State of the Art Review and Future Directions in Oil Spill Modeling. Mar. Pollut. Bull. 2017, 115, 7–19. [Google Scholar] [CrossRef] [PubMed]
- Bragg, J.R.; Yang, S.H.; Roffall, J.C. Experimental Studies of Natural Cleansing of Oil Residue from Rocks in Prince William Sound by Wave/Tidal Action: Unpublished Report; Exxon Production Research Co.: Richardson, TX, USA, 1990; Volume 2189. [Google Scholar]
- Jahns, H.O.; Bragg, J.R.; Dash, L.C.; Owens, E.H. Natural Cleaning of Shorelines Following the Exxon Valdez Spill. Int. Oil Spill Conf. Proc. 1991, 1991, 167–176. [Google Scholar] [CrossRef]
- Bragg, J.R.; Yang, S.H. Clay Oil Flocculation and Its Role in Natural Cleansing in Prince William Sound Following the Exxon Valdez Oil Spill; American Society for Testing and Materials: West Conshohocken, PA, USA, 1995; Volume 28, pp. 178–214. [Google Scholar]
- Lee, K. Oil–Particle Interactions in Aquatic Environments: Influence on the Transport, Fate, Effect and Remediation of Oil Spills. Spill Sci. Technol. Bull. 2002, 8, 3–8. [Google Scholar] [CrossRef]
- Gong, Y.; Zhao, X.; Cai, Z.; O’Reilly, S.E.; Hao, X.; Zhao, D. A Review of Oil, Dispersed Oil and Sediment Interactions in the Aquatic Environment: Influence on the Fate, Transport and Remediation of Oil Spills. Mar. Pollut. Bull. 2014, 79, 16–33. [Google Scholar] [CrossRef]
- Zhong, X.; Niu, H.; Li, P.; Wu, Y.; Liu, L. An Overview of Oil-Mineral-Aggregate Formation, Settling, and Transport Processes in Marine Oil Spill Models. J. Mar. Sci. Eng. 2022, 10, 610. [Google Scholar] [CrossRef]
- Khelifa, A.; Stoffyn-Egli, P.; Hill, P.S.; Lee, K. Characteristics of Oil Droplets Stabilized by Mineral Particles: The Effect of Salinity. Int. Oil Spill Conf. Proc. 2003, 2003, 963–970. [Google Scholar] [CrossRef]
- Le-Floch, S.; Guyomarch, J.; Merlin, F.-X.; Stoffyn-Egli, P.; Dixon, J.; Lee, K. The Influence of Salinity on Oil–Mineral Aggregate Formation. Spill Sci. Technol. Bull. 2002, 8, 65–71. [Google Scholar] [CrossRef]
- Khelifa, A.; Stoffyn-Egli, P.; Hill, P.S.; Lee, K. Effects of Salinity and Clay Type on Oil–Mineral Aggregation. Mar. Environ. Res. 2005, 59, 235–254. [Google Scholar] [CrossRef]
- Kerebel, D. Study of the Influence of Salinity on the Flocculation Oil-Clay; Final Rep. Fr. 20p Annex; Centre de Documentation de Recherche et D’Expérimentations sur les Pollutions Accidentelles des Eaux (Cèdre): Brest, France, 1997. [Google Scholar]
- Guyomarch, J.; Merlin, F.-X.; Bernanose, P. Oil Interaction with Mineral Fines and Chemical Dispersion: Behaviour of the Dispersed Oil in Coastal or Estuarine Conditions. In Proceedings of the AMOP—Arctic and Marine Oil Spill Technical Seminar, Calgary, AB, Canada, 2–4 June 1999; Ministry of Supply and Services: Toronto, ON, Canada, 1999; Volume 1, pp. 137–150. [Google Scholar]
- Qi, Z.; Wang, Z.; Yu, Y.; Yu, X.; Sun, R.; Wang, K.; Xiong, D. Formation of Oil-Particle Aggregates in the Presence of Marine Algae. Environ. Sci. Process. Impacts 2023, 25, 1438–1448. [Google Scholar] [CrossRef] [PubMed]
- Zhang, H.; Khatibi, M.; Zheng, Y.; Lee, K.; Li, Z.; Mullin, J.V. Investigation of OMA Formation and the Effect of Minerals. Mar. Pollut. Bull. 2010, 60, 1433–1441. [Google Scholar] [CrossRef]
- Blainey, P.; Krzywinski, M.; Altman, N. Replication. Nat. Methods 2014, 11, 879–880. [Google Scholar] [CrossRef] [PubMed]
- Cao, Y.; Kang, Q.; Zhang, B.; Zhu, Z.; Dong, G.; Cai, Q.; Lee, K.; Chen, B. Machine Learning-Aided Causal Inference for Unraveling Chemical Dispersant and Salinity Effects on Crude Oil Biodegradation. Bioresour. Technol. 2022, 345, 126468. [Google Scholar] [CrossRef]
- Loh, W.S.; Chin, R.J.; Ling, L.; Lai, S.H.; Soo, E.Z.X. Application of Machine Learning Model for the Prediction of Settling Velocity of Fine Sediments. Mathematics 2021, 9, 3141. [Google Scholar] [CrossRef]
- Yu, J.; Zhong, X.; Huang, Z.; Lin, X.; Weng, H.; Ye, D.; He, Q.S.; Yang, J. Mining the Synergistic Effect in Hydrothermal Co-Liquefaction of Real Feedstocks through Machine Learning Approaches. Fuel 2023, 334, 126715. [Google Scholar] [CrossRef]
- Jézéquel, R.; Receveur, J.; Nedwed, T.; Le Floch, S. Evaluation of the Ability of Calcite, Bentonite and Barite to Enhance Oil Dispersion under Arctic Conditions. Mar. Pollut. Bull. 2018, 127, 626–636. [Google Scholar] [CrossRef]
- Ji, W.; Boufadel, M.; Zhao, L.; Robinson, B.; King, T.; An, C.; Zhang, B.H.; Lee, K. Formation of Oil-Particle Aggregates: Impacts of Mixing Energy and Duration. Sci. Total Environ. 2021, 795, 148781. [Google Scholar] [CrossRef]
- Khelifa, A.; Fingas, M.; Brown, C. Effects of Dispersants on Oil-SPM Aggregation and Fate in US Coastal Waters; Final Report Grant Number NA04NOS4190063; University of New Hampshire: Durham, NH, USA, 2008. [Google Scholar]
- Khelifa, A.; Stoffyn-Egli, P.; Hill, P.S.; Lee, K. Characteristics of Oil Droplets Stabilized by Mineral Particles: Effects of Oil Type and Temperature. Spill Sci. Technol. Bull. 2002, 8, 19–30. [Google Scholar] [CrossRef]
- Sun, J.; Khelifa, A.; Zhao, C.; Zhao, D.; Wang, Z. Laboratory Investigation of Oil–Suspended Particulate Matter Aggregation under Different Mixing Conditions. Sci. Total Environ. 2014, 473–474, 742–749. [Google Scholar] [CrossRef]
- Wang, W.; Zheng, Y.; Lee, K. Chemical Dispersion of Oil with Mineral Fines in a Low Temperature Environment. Mar. Pollut. Bull. 2013, 72, 205–212. [Google Scholar] [CrossRef] [PubMed]
- Murray, H.H. Traditional and New Applications for Kaolin, Smectite, and Palygorskite: A General Overview. Appl. Clay Sci. 2000, 17, 207–221. [Google Scholar] [CrossRef]
- Guyomarch, J.; Le Floch, S.; Merlin, F.-X. Effect of Suspended Mineral Load, Water Salinity and Oil Type on the Size of Oil–Mineral Aggregates in the Presence of Chemical Dispersant. Spill Sci. Technol. Bull. 2002, 8, 95–100. [Google Scholar] [CrossRef]
- SeaTemperature.org. World Water Temperature &|Sea Temperatures. Available online: https://www.seatemperature.org/ (accessed on 20 April 2023).
- Sun, J.; Khelifa, A.; Zheng, X.; Wang, Z.; So, L.L.; Wong, S.; Yang, C.; Fieldhouse, B. A Laboratory Study on the Kinetics of the Formation of Oil-Suspended Particulate Matter Aggregates Using the NIST-1941b Sediment. Mar. Pollut. Bull. 2010, 60, 1701–1707. [Google Scholar] [CrossRef]
- Yu, Y.; Qi, Z.; Xiong, D.; Li, W.; Yu, X.; Sun, R. Experimental Investigations on the Vertical Distribution and Properties of Oil-Mineral Aggregates (OMAs) Formed by Different Clay Minerals. J. Environ. Manag. 2022, 311, 114844. [Google Scholar] [CrossRef]
- Sterling, M.C.; Bonner, J.S.; Ernest, A.N.S.; Page, C.A.; Autenrieth, R.L. Characterizing Aquatic Sediment–Oil Aggregates Using in Situ Instruments. Mar. Pollut. Bull. 2004, 48, 533–542. [Google Scholar] [CrossRef]
- Zhang, W.; Yu, X.; Zhang, J.; Wang, Y. Study of Oil-Particle-Aggregation by Digital Inline Holograph. Geosci. J. 2019, 23, 461–469. [Google Scholar] [CrossRef]
- Pedregosa, F.; Varoquaux, G.; Gramfort, A.; Michel, V.; Thirion, B.; Grisel, O.; Blondel, M.; Prettenhofer, P.; Weiss, R.; Dubourg, V.; et al. Scikit-Learn: Machine Learning in Python. J. Mach. Learn. Res. 2011, 12, 2825–2830. [Google Scholar]
- Staartjes, V.E.; Kernbach, J.M. Foundations of Machine Learning-Based Clinical Prediction Modeling: Part III—Model Evaluation and Other Points of Significance. In Machine Learning in Clinical Neuroscience; Staartjes, V.E., Regli, L., Serra, C., Eds.; Springer International Publishing: Cham, Switzerland, 2022; pp. 23–31. [Google Scholar]
- Ahmad, H. Machine Learning Applications in Oceanography. Aquat. Res. 2019, 2, 161–169. [Google Scholar] [CrossRef]
- Nguyen, Q.H.; Ly, H.-B.; Ho, L.S.; Al-Ansari, N.; Le, H.V.; Tran, V.Q.; Prakash, I.; Pham, B.T. Influence of Data Splitting on Performance of Machine Learning Models in Prediction of Shear Strength of Soil. Math. Probl. Eng. 2021, 2021, e4832864. [Google Scholar] [CrossRef]
- Delvigne, G.A.L.; Sweeney, C.E. Natural Dispersion of Oil. Oil Chem. Pollut. 1988, 4, 281–310. [Google Scholar] [CrossRef]
- Zhao, L.; Torlapati, J.; Boufadel, M.C.; King, T.; Robinson, B.; Lee, K. VDROP: A Comprehensive Model for Droplet Formation of Oils and Gases in Liquids—Incorporation of the Interfacial Tension and Droplet Viscosity. Chem. Eng. J. 2014, 253, 93–106. [Google Scholar] [CrossRef]
- Sathyagal, A.N.; Ramkrishna, D.; Narsimhan, G. Droplet Breakage in Stirred Dispersions. Breakage Functions from Experimental Drop-Size Distributions. Chem. Eng. Sci. 1996, 51, 1377–1391. [Google Scholar] [CrossRef]
- Al-Besharah, J.M.; Akashah, S.A.; Mumford, C.J. The Effect of Temperature and Pressure on the Viscosities of Crude Oils and Their Mixtures. Ind. Eng. Chem. Res. 1989, 28, 213–221. [Google Scholar] [CrossRef]
- Hassan, M.E.; Nielsen, R.F.; Calhoun, J.C. Effect of Pressure and Temperature on Oil-Water Interfacial Tensions for a Series of Hydrocarbons. J. Pet. Technol. 1953, 5, 299–306. [Google Scholar] [CrossRef]
- Ji, W.; Boufadel, M.; Zhao, L.; Robinson, B.; King, T.; Lee, K. Formation of Oil-Particle Aggregates: Particle Penetration and Impact of Particle Properties and Particle-to-Oil Concentration Ratios. Sci. Total Environ. 2021, 760, 144047. [Google Scholar] [CrossRef]
- Zhao, L.; Boufadel, M.C.; Katz, J.; Haspel, G.; Lee, K.; King, T.; Robinson, B. A New Mechanism of Sediment Attachment to Oil in Turbulent Flows: Projectile Particles. Environ. Sci. Technol. 2017, 51, 11020–11028. [Google Scholar] [CrossRef]
- Wang, W.; Zheng, Y.; Li, Z.; Lee, K. PIV Investigation of Oil–Mineral Interaction for an Oil Spill Application. Chem. Eng. J. 2011, 170, 241–249. [Google Scholar] [CrossRef]
- Khabbazi Basmenj, A.; Mirjavan, A.; Ghafoori, M.; Cheshomi, A. Assessment of the Adhesion Potential of Kaolinite and Montmorillonite Using a Pull-out Test Device. Bull. Eng. Geol. Environ. 2017, 76, 1507–1519. [Google Scholar] [CrossRef]
- Stoffyn-Egli, P.; Lee, K. Formation and Characterization of Oil–Mineral Aggregates. Spill Sci. Technol. Bull. 2002, 8, 31–44. [Google Scholar] [CrossRef]
- Kooistra, A.; Verhoef, P.N.W.; Broere, W.; Ngan-Tillard, D.J.M.; van Tol, A.F. Appraisal of Stickiness of Natural Clays from Laboratory Tests. Publ. Appl. Earth Sci. Sect. Eng. Geol. 1998. Available online: https://repository.tudelft.nl/islandora/object/uuid%3A32392fb8-92e7-469d-b78c-b65635f59272 (accessed on 8 January 2024).
- Brandenburg, U.; Lagaly, G. Rheological Properties of Sodium Montmorillonite Dispersions. Appl. Clay Sci. 1988, 3, 263–279. [Google Scholar] [CrossRef]
- Nascimento, G.M.D. Basics of Clay Minerals and Their Characteristic Properties. In Clay and Clay Minerals; BoD—Books on Demand: Norderstedt, Germany, 2021; ISBN 978-1-83969-563-6. [Google Scholar]
- Mohanty, S.P.; Hughes, D.P.; Salathé, M. Using Deep Learning for Image-Based Plant Disease Detection. Front. Plant Sci. 2016, 7, 1419. [Google Scholar] [CrossRef]
- Anifowose, F.; Khoukhi, A.; Abdulraheem, A. Investigating the Effect of Training–Testing Data Stratification on the Performance of Soft Computing Techniques: An Experimental Study. J. Exp. Theor. Artif. Intell. 2017, 29, 517–535. [Google Scholar] [CrossRef]
- Cawley, G.C.; Talbot, N.L.C. On Over-FItting in Model Selection and Subsequent Selection Bias in Performance Evaluation. J. Mach. Learn. Res. 2010, 11, 2079–2107. [Google Scholar]
- Ramezan, C.A.; Warner, T.A.; Maxwell, A.E.; Price, B.S. Effects of Training Set Size on Supervised Machine-Learning Land-Cover Classification of Large-Area High-Resolution Remotely Sensed Data. Remote Sens. 2021, 13, 368. [Google Scholar] [CrossRef]
- Kernbach, J.M.; Staartjes, V.E. Foundations of Machine Learning-Based Clinical Prediction Modeling: Part II—Generalizationng and Overfitting. In Machine Learning in Clinical Neuroscience; Staartjes, V.E., Regli, L., Serra, C., Eds.; Springer International Publishing: Cham, Switzerland, 2022; pp. 15–21. [Google Scholar]
- Payne, J.R. Oil-Ice-Sediment Interactions during Freezeup and Breakup; Final Report, Outer Continental Shelf Environmental Assessment Program; Applied Environmental Sciences Department, Science Applications International Corporation: San Diego, CA, USA, 1989; Volume 64. [Google Scholar]
- Fu, J.; Gong, Y.; Zhao, X.; O’Reilly, S.E.; Zhao, D. Effects of Oil and Dispersant on Formation of Marine Oil Snow and Transport of Oil Hydrocarbons. Environ. Sci. Technol. 2014, 48, 14392–14399. [Google Scholar] [CrossRef]
- Lee, K.; Li, Z.; King, T.; Kepkay, P.; Boufadel, M.C.; Venosa, A.D. Wave Tank Studies on Formation and Transport of OMA from the Chemically Dispersed Oil. In Oil Spill Response: A Global Perspective; Davidson, W.F., Lee, K., Cogswell, A., Eds.; Springer: Dordrecht, The Netherlands, 2008; pp. 159–177. [Google Scholar]
- Page, C.A.; Bonner, J.S.; Sumner, P.L.; McDonald, T.J.; Autenrieth, R.L.; Fuller, C.B. Behavior of a Chemically-Dispersed Oil and a Whole Oil on a near-Shore Environment. Water Res. 2000, 34, 2507–2516. [Google Scholar] [CrossRef]












| Factor | Level | ||
|---|---|---|---|
| Temperature (°C) | 0 | 15 | 30 |
| Salinity (ppt) | 0 | 17 | 34 |
| Time (hour) | 4 | 6 | 8 |
| Agitation (rpm) | 100 | 130 | 160 |
| Mixing ratio (oil/clay, w/w) | 1:2 | 1:1 | 2:1 |
| Clay type | Kaolinite | Montmorillonite | |
| Presence of dispersant | Yes | No | |
| p-Value | F-Value | |
|---|---|---|
| Time | 0.000 | 22.48 |
| Temperature | 0.014 | 6.96 |
| Oil/clay ratio | 0.023 | 5.77 |
| Clay type | 0.069 | 3.58 |
| Time × Oil/clay ratio | 0.004 | 9.64 |
| Time × Temperature | 0.020 | 6.17 |
| Temperature × Oil/clay ratio | 0.041 | 4.62 |
| Algorithm | Average R2 | Standard Deviation |
|---|---|---|
| Random Forest (RF) | 0.930 | 0.036 |
| Gradient Boost Regression (GBR) | 0.886 | 0.051 |
| Adaptive Boosting (AdaBoost) | 0.908 | 0.041 |
Disclaimer/Publisher’s Note: The statements, opinions and data contained in all publications are solely those of the individual author(s) and contributor(s) and not of MDPI and/or the editor(s). MDPI and/or the editor(s) disclaim responsibility for any injury to people or property resulting from any ideas, methods, instructions or products referred to in the content. |
© 2024 by the authors. Licensee MDPI, Basel, Switzerland. This article is an open access article distributed under the terms and conditions of the Creative Commons Attribution (CC BY) license (https://creativecommons.org/licenses/by/4.0/).
Share and Cite
Zhong, X.; Wu, Y.; Yu, J.; Liu, L.; Niu, H. Using Machine Learning to Predict Oil–Mineral Aggregates Formation. J. Mar. Sci. Eng. 2024, 12, 144. https://doi.org/10.3390/jmse12010144
Zhong X, Wu Y, Yu J, Liu L, Niu H. Using Machine Learning to Predict Oil–Mineral Aggregates Formation. Journal of Marine Science and Engineering. 2024; 12(1):144. https://doi.org/10.3390/jmse12010144
Chicago/Turabian StyleZhong, Xiaomei, Yongsheng Wu, Jie Yu, Lei Liu, and Haibo Niu. 2024. "Using Machine Learning to Predict Oil–Mineral Aggregates Formation" Journal of Marine Science and Engineering 12, no. 1: 144. https://doi.org/10.3390/jmse12010144
APA StyleZhong, X., Wu, Y., Yu, J., Liu, L., & Niu, H. (2024). Using Machine Learning to Predict Oil–Mineral Aggregates Formation. Journal of Marine Science and Engineering, 12(1), 144. https://doi.org/10.3390/jmse12010144
