Experimental Investigation on Particle Breakage Behavior of Marine Silica Sand under High-Stress Triaxial Shear
Abstract
:1. Introduction
2. Materials and Methods
2.1. Triaxial Test Equipment
2.2. Test Material and Condition
2.3. Test Program
3. Results and Analysis
3.1. Examining Similarity of Parallel Specimens
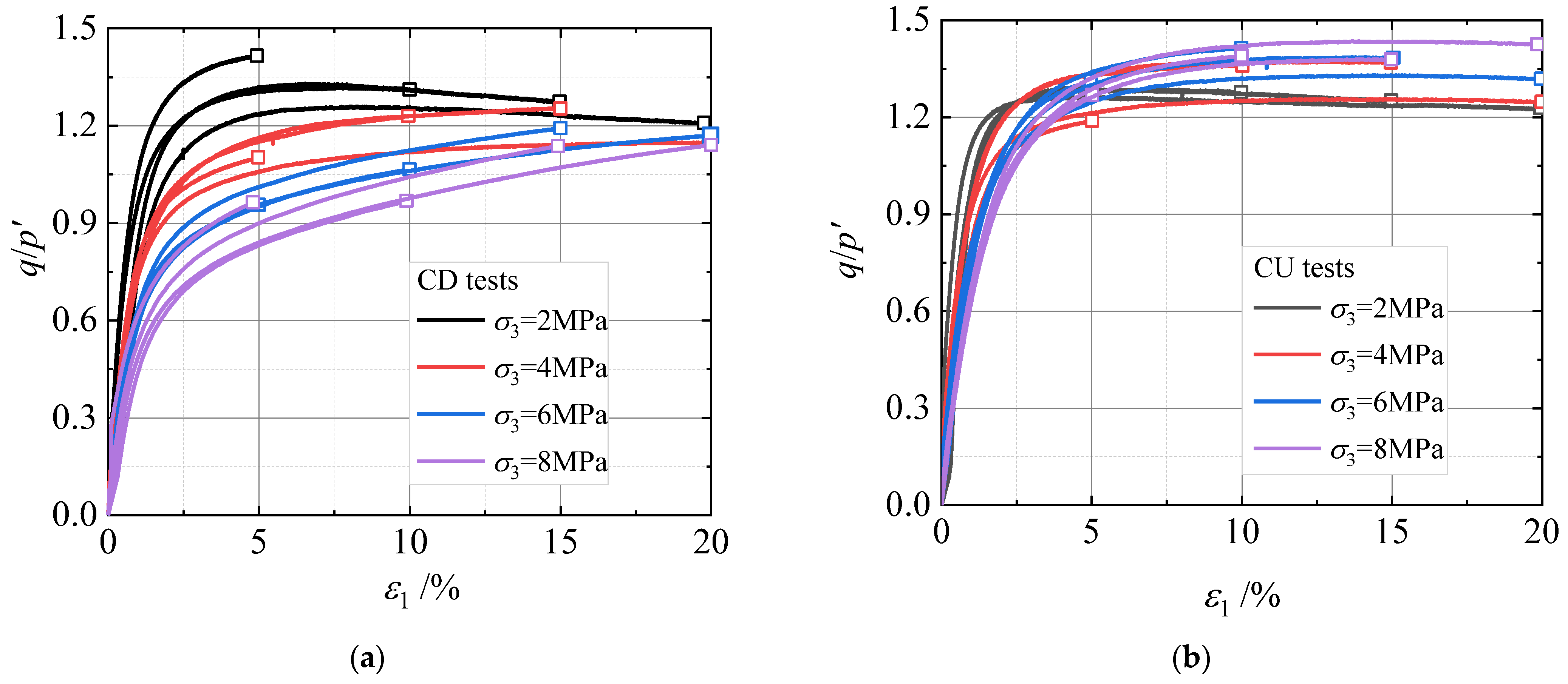
3.2. Mechanical Properties of Silica Sand
3.3. Evolution of PSD Curves with Axial Strain
3.4. Correlations between Relative Breakage and Input Work and Volumetric Strain
3.5. Evolution Law of Particle Breakage of Silica Sand
3.6. Effect of Particle Breakage on Fractal Dimension
4. Conclusions
- In the CD and CU tests, the particle breakage index Br of silica sand increased with increasing confining pressure and axial strain. However, the particle breakage index in the CD test was more evidently affected by the confining pressure and shearing process, whereas that in the CU test exhibited relatively small changes and was generally lower than that in the CD test, mainly because the pore water pressure generated in the CU test reduced the effective stress, thus significantly inhibiting the influence of the confining pressure on particle breakage.
- In the high-stress shearing process, the particle breakage of silica sand increased with an increase in the axial strain in a hyperbolic form, and a mathematical model was developed to describe the change in the particle breakage index of silica sand under CD and CU conditions. A hyperbolic model was proposed to describe the relationship between the particle breakage index amount and the input work per unit volume under different drainage conditions.
- An up-convex hyperbolic model was proposed to correlate all the test results of the fractal dimension and relative fragmentation. The fractal feature terminated at the radius of the particles that were broken to a certain extent. The dividing line between silica sand particles with the fractal features and those without the fractal features was approximately 0.4 mm. For particles with radii less than or equal to 0.4 mm, the fractal dimension increased linearly with increasing particle content.
Author Contributions
Funding
Institutional Review Board Statement
Informed Consent Statement
Data Availability Statement
Conflicts of Interest
References
- Hagerty, M.M.; Hite, D.R.; Ullrich, C.R.; Hagerty, D.J. One-dimensional high-pressure compression of granular media. J. Geotech. Eng. 1993, 119, 1–18. [Google Scholar] [CrossRef]
- Wang, Y.; Zhang, S.; Ao, D.H.; Yu, Y.; Sun, X. Particle breakage characteristics of rockfills under complex stress paths. Chin. J. Geotech. Eng. 2018, 40, 698–706. [Google Scholar]
- Dong, Y.; Wang, D.; Randolph, M.F. Investigation of impact forces on pipeline by submarine landslide with material point method. Ocean. Eng. 2017, 146, 21–28. [Google Scholar] [CrossRef]
- Sun, Q.L.; Wang, Q.; Shi, F.Y.; Alves, T.; Gao, S.; Xie, X.N.; Wu, S.G.; Li, J.B. Runup of landslide-generated tsunamis controlled by paleogeography and sea-level change. Commun. Earth Environ. 2022, 3, 244. [Google Scholar] [CrossRef]
- Fan, N.; Jiang, J.; Nian, T.; Dong, Y.; Guo, L.; Fu, C.; Tian, Z.; Guo, X. Impact action of submarine slides on pipelines: A review of the state-of-the-art since 2008. Ocean. Eng. 2023, 286, 115532. [Google Scholar] [CrossRef]
- Xiao, Y.; Desai, C.S.; Daouadji, A.; Stuedlein, A.W.; Liu, H.; Abuel-Naga, H. Grain crushing in geoscience materials–Key issues on crushing response, measurement and modeling: Review and preface. Geosci. Front. 2020, 11, 363–374. [Google Scholar] [CrossRef]
- Yamamuro, J.A.; Lade, P.V. Drained sand behavior in axisymmetric tests at high pressures. J. Geotech. Eng. 1996, 122, 109–119. [Google Scholar] [CrossRef]
- Wu, Y.; Yamamoto, H.; Cui, J.; Cheng, H. Influence of load mode on particle crushing characteristics of silica sand at high stresses. Int. J. Geomech. 2020, 20, 04019194. [Google Scholar]
- Yu, F. Characteristics of particle breakage of sand in triaxial shear. Powder Technol. 2017, 320, 656–667. [Google Scholar] [CrossRef]
- Yu, F. Particle breakage and the drained shear behavior of sands. Int. J. Geomech. 2017, 17, 04017041. [Google Scholar] [CrossRef]
- Yu, F. Particle breakage and the undrained shear behavior of sands. Int. J. Geomech. 2018, 18, 04018079. [Google Scholar] [CrossRef]
- Nakata, Y.; Hyodo, M.; Hyde, A.F.L.; Kato, Y.; Murata, H. Microscopic particle crushing of sand subjected to high pressure one-dimensional compression. Soils Found. 2001, 41, 69–82. [Google Scholar] [CrossRef]
- Lade, P.V.; Yamamuro, J.A.; Bopp, P.A. Significance of particle crushing in granular materials. J. Geotech. Eng. 1996, 122, 309–316. [Google Scholar] [CrossRef]
- Mehta, A.A.; Patel, A. An investigation on the particle breakage of Indian River sands. Eng. Geol. 2018, 233, 23–37. [Google Scholar] [CrossRef]
- Xiao, Y.; Liu, H.; Ding, X.; Chen, Y.; Jiang, J.; Zhang, W. Influence of particle breakage on critical state line of rockfill material. Int. J. Geomech. 2016, 16, 04015031. [Google Scholar] [CrossRef]
- Xiao, Y.; Liu, H. Elastoplastic constitutive model for rockfill materials considering particle breakage. Int. J. Geomech. 2017, 17, 04016041. [Google Scholar] [CrossRef]
- Yu, F. Influence of particle breakage on behavior of coral sands in triaxial tests. Int. J. Geomech. 2019, 19, 04019131. [Google Scholar] [CrossRef]
- Wu, Y.; Li, N.; Wang, X.; Cui, J.; Chen, Y.; Wu, Y.; Yamamoto, H. Experimental investigation on mechanical behavior and particle crushing of calcareous sand retrieved from South China Sea. Eng. Geol. 2021, 280, 105932. [Google Scholar] [CrossRef]
- Miao, G.; Airey, D. Breakage and ultimate states for a carbonate sand. Géotechnique 2013, 63, 1221–1229. [Google Scholar] [CrossRef]
- Liu, L.; Cai, G.; Liu, S. Compression properties and micro-mechanisms of rubber-sand particle mixtures considering grain breakage. Constr. Build. Mater. 2018, 187, 1061–1072. [Google Scholar] [CrossRef]
- Luzzani, L.; MR, C. On the relationship between particle breakage and the critical state of sands. Soils Found. 2002, 42, 71–82. [Google Scholar] [CrossRef]
- Coop, M.R.; Sorensen, K.K.; Bodas Freitas, T.; Georgoutsos, G. Particle breakage during shearing of a carbonate sand. Géotechnique 2004, 54, 157–163. [Google Scholar] [CrossRef]
- Nakata, Y.; Kato, Y.; Hyodo, M.; Hyde, A.F.; Murata, H. One-dimensional compression behaviour of uniformly graded sand related to single particle crushing strength. Soils Found. 2001, 41, 39–51. [Google Scholar] [CrossRef]
- Mesri, G.; Vardhanabhuti, B. Compression of granular materials. Can. Geotech. J. 2009, 46, 369–392. [Google Scholar] [CrossRef]
- Mun, W.; McCartney, J.S. Roles of particle breakage and drainage in the isotropic compression of sand to high pressures. J. Geotech. Geoenvironmental Eng. 2017, 143, 04017071. [Google Scholar] [CrossRef]
- Altuhafi, F.N.; Coop, M.R. Changes to particle characteristics associated with the compression of sands. Géotechnique 2011, 61, 459–471. [Google Scholar] [CrossRef]
- Xiao, Y.; Liu, H.; Chen, Q.; Ma, Q.; Xiang, Y.; Zheng, Y. Particle breakage and deformation of carbonate sands with wide range of densities during compression loading process. Acta Geotech. 2017, 12, 1177–1184. [Google Scholar] [CrossRef]
- Yu, F.; Su, L. Particle breakage and the mobilized drained shear strengths of sand. J. Mt. Sci. 2016, 13, 1481–1488. [Google Scholar] [CrossRef]
- Xiao, Y.; Liu, H.; Chen, Y.; Chu, J. Influence of intermediate principal stress on the strength and dilatancy behavior of rockfill material. J. Geotech. Geoenvironmental Eng. 2014, 140, 04014064. [Google Scholar] [CrossRef]
- Wang, G.; Zha, J. Particle breakage evolution during cyclic triaxial shearing of a carbonate sand. Soil Dyn. Earthq. Eng. 2020, 138, 106326. [Google Scholar] [CrossRef]
- Hyodo, M.; Wu, Y.; Aramaki, N.; Nakata, Y. Undrained monotonic and cyclic shear response and particle crushing of silica sand at low and high pressures. Can. Geotech. J. 2017, 54, 207–218. [Google Scholar] [CrossRef]
- Ding, Z.; He, S.H.; Sun, Y.F.; Xia, T.-D.; Zhang, Q.-F. Comparative study on cyclic behavior of calcareous sand and terrigenous siliceous sand for transportation infrastructure applications. Constr. Build. Mater. 2021, 283, 122740. [Google Scholar] [CrossRef]
- Xiao, Y.; Yuan, Z.; Desai, C.S.; Zaman, M.; Ma, Q.; Chen, Q.; Liu, H. Effects of load duration and stress level on deformation and particle breakage of carbonate sands. Int. J. Geomech. 2020, 20, 06020014. [Google Scholar] [CrossRef]
- Kikumoto, M.; Wood, D.M.; Russell, A. Particle crushing and deformation behaviour. Soils Found. 2010, 50, 547–563. [Google Scholar] [CrossRef]
- Carrera, A.; Coop, M.R.; Lancellotta, R. Influence of grading on the mechanical behaviour of Stava tailings. Géotechnique 2011, 61, 935–946. [Google Scholar] [CrossRef]
- Bandini, V.; Coop, M.R. The influence of particle breakage on the location of the critical state line of sands. Soils Found. 2011, 51, 591–600. [Google Scholar] [CrossRef]
- Yu, F.W. Particle breakage and the critical state of sands. Géotechnique 2017, 67, 713–719. [Google Scholar] [CrossRef]
- Zhao, B.; Wang, J.; Andò, E.; Viggiani, G.; Coop, M.R. Investigation of particle breakage under one-dimensional compression of sand using X-ray microtomography. Can. Geotech. J. 2020, 57, 754–762. [Google Scholar] [CrossRef]
- De Bono, J.P.; McDowell, G.R. The fractal micro mechanics of normal compression. Comput. Geotech. 2016, 78, 11–24. [Google Scholar] [CrossRef]
- Huang, J.Y.; Hu, S.S.; Xu, S.L.; Luo, S.N. Fractal crushing of granular materials under confined compression at different strain rates. Int. J. Impact Eng. 2017, 106, 259–265. [Google Scholar] [CrossRef]
- Zhou, W.; Wang, D.; Ma, G.; Cao, X.; Hu, C.; Wu, W. Discrete element modeling of particle breakage considering different fragment replacement modes. Powder Technol. 2020, 360, 312–323. [Google Scholar] [CrossRef]
- Hardin, B.O. Crushing of soil particles. J. Geotech. Eng. 1985, 111, 1177–1192. [Google Scholar] [CrossRef]
- Afshar, T.; Disfani, M.M.; Narsilio, G.A.; Arulrajah, A. Post-breakage changes in particle properties using synchrotron tomography. Powder Technol. 2018, 325, 530–544. [Google Scholar] [CrossRef]
- Zhao, B.; Wang, J.; Coop, M.R.; Viggiani, G.; Jiang, M. An investigation of single sand particle fracture using X-ray micro-tomography. Géotechnique 2015, 65, 625–641. [Google Scholar] [CrossRef]
- Negussey, D.; Wijewickreme, W.K.D.; Vaid, Y.P. Constant-volume friction angle of granular materials. Can. Geotech. J. 1988, 25, 50–55. [Google Scholar] [CrossRef]
- Wang, G.; Wang, Z.; Ye, Q.; Wei, X. Particle breakage and deformation behavior of carbonate sand under drained and undrained triaxial compression. Int. J. Geomech. 2020, 20, 04020012. [Google Scholar] [CrossRef]
- Jia, Y.; Xu, B.; Chi, S.; Xiang, B.; Xiao, D.; Zhou, Y. Particle breakage of rockfill material during triaxial tests under complex stress paths. Int. J. Geomech. 2019, 19, 04019124. [Google Scholar] [CrossRef]
- Ciantia, M.O.; Arroyo, M.; O’Sullivan, C.; Gens, A.; Liu, T. Grading evolution and critical state in a discrete numerical model of Fontainebleau sand. Géotechnique 2019, 69, 1–15. [Google Scholar] [CrossRef]
- Xiao, Y.; Wang, C.; Zhang, Z.; Liu, H.; Yin, Z.-Y. Constitutive modeling for two sands under high pressure. Int. J. Geomech. 2021, 21, 04021042. [Google Scholar] [CrossRef]
- McDowell, G.R.; Bolton, M.D. On the micromechanics of crushable aggregates. Géotechnique 1998, 48, 667–679. [Google Scholar] [CrossRef]
- Xiao, Y.; Yuan, Z.; Lv, Y.; Wang, L.; Liu, H. Fractal crushing of carbonate and quartz sands along the specimen height under impact loading. Constr. Build. Mater. 2018, 182, 188–199. [Google Scholar] [CrossRef]























| Property | Value |
|---|---|
| Specific gravity, Gs | 2.65 |
| Average grain size d50: mm | 0.75 |
| Coefficient of uniformity, Cu | 1.45 |
| Curvature coefficient, Cc | 0.96 |
| Maximum void ratio, emax | 0.78 |
| Minimum void ratio, emin | 0.55 |
| Particle size range, mm | 0.5–1.0 |
| Test (No.) | Type of Shear | Termination Axial Strain (%) | σ3 (MPa) | Br | W (MJ/m3) | D | R2 |
|---|---|---|---|---|---|---|---|
| TCD-1 | CD | 5 | 2 | 0.040 | 0.160 | 0.170 | 0.940 |
| TCD-2 | CD | 10 | 2 | 0.065 | 0.319 | 0.390 | 0.975 |
| TCD-3 | CD | 15 | 2 | 0.079 | 0.480 | 0.550 | 0.981 |
| TCD-4 | CD | 20 | 2 | 0.097 | 0.584 | 0.667 | 0.970 |
| TCD-5 | CD | 5 | 4 | 0.070 | 0.367 | 0.302 | 0.983 |
| TCD-6 | CD | 10 | 4 | 0.109 | 0.707 | 0.691 | 0.988 |
| TCD-7 | CD | 15 | 4 | 0.130 | 1.074 | 0.895 | 0.981 |
| TCD-8 | CD | 20 | 4 | 0.160 | 1.323 | 1.142 | 0.976 |
| TCD-9 | CD | 5 | 6 | 0.077 | 0.577 | 0.519 | 0.989 |
| TCD-10 | CD | 10 | 6 | 0.013 | 1.116 | 0.916 | 0.988 |
| TCD-11 | CD | 15 | 6 | 0.175 | 1.713 | 1.244 | 0.986 |
| TCD-12 | CD | 20 | 6 | 0.208 | 2.129 | 1.387 | 0.976 |
| TCD-13 | CD | 5 | 8 | 0.099 | 0.776 | 0.763 | 0.975 |
| TCD-14 | CD | 10 | 8 | 0.015 | 1.538 | 1.239 | 0.994 |
| TCD-15 | CD | 15 | 8 | 0.206 | 2.384 | 1.514 | 0.990 |
| TCD-16 | CD | 20 | 8 | 0.248 | 2.987 | 1.928 | 0.980 |
| TCU-1 | CU | 5 | 2 | 0.057 | 0.176 | 0.197 | 0.923 |
| TCU-2 | CU | 10 | 2 | 0.062 | 0.234 | 0.319 | 0.964 |
| TCU-3 | CU | 15 | 2 | 0.067 | 0.290 | 0.611 | 0.978 |
| TCU-4 | CU | 20 | 2 | 0.071 | 0.341 | 0.917 | 0.987 |
| TCU-5 | CU | 5 | 4 | 0.073 | 0.413 | 0.143 | 0.959 |
| TCU-6 | CU | 10 | 4 | 0.084 | 0.518 | 0.517 | 0.973 |
| TCU-7 | CU | 15 | 4 | 0.091 | 0.617 | 0.839 | 0.982 |
| TCU-8 | CU | 20 | 4 | 0.099 | 0.734 | 0.967 | 0.983 |
| TCU-9 | CU | 5 | 6 | 0.093 | 0.651 | 0.287 | 0.960 |
| TCU-10 | CU | 10 | 6 | 0.105 | 0.798 | 0.727 | 0.960 |
| TCU-11 | CU | 15 | 6 | 0.114 | 0.935 | 0.964 | 0.973 |
| TCU-12 | CU | 20 | 6 | 0.119 | 1.121 | 1.144 | 0.971 |
| TCU-13 | CU | 5 | 8 | 0.103 | 0.879 | 0.477 | 0.962 |
| TCU-14 | CU | 10 | 8 | 0.119 | 1.061 | 0.865 | 0.971 |
| TCU-15 | CU | 15 | 8 | 0.123 | 1.234 | 1.048 | 0.972 |
| TCU-16 | CU | 20 | 8 | 0.129 | 1.484 | 1.158 | 0.976 |
| R2 | ||||
|---|---|---|---|---|
| 0.43 | 0.38 | 96.8 | 1 | 0.997 |
Disclaimer/Publisher’s Note: The statements, opinions and data contained in all publications are solely those of the individual author(s) and contributor(s) and not of MDPI and/or the editor(s). MDPI and/or the editor(s) disclaim responsibility for any injury to people or property resulting from any ideas, methods, instructions or products referred to in the content. |
© 2023 by the authors. Licensee MDPI, Basel, Switzerland. This article is an open access article distributed under the terms and conditions of the Creative Commons Attribution (CC BY) license (https://creativecommons.org/licenses/by/4.0/).
Share and Cite
Chen, R.; Zhao, T.; Wu, Z.; Hao, D.; Xue, N.; Yuan, C. Experimental Investigation on Particle Breakage Behavior of Marine Silica Sand under High-Stress Triaxial Shear. J. Mar. Sci. Eng. 2023, 11, 1825. https://doi.org/10.3390/jmse11091825
Chen R, Zhao T, Wu Z, Hao D, Xue N, Yuan C. Experimental Investigation on Particle Breakage Behavior of Marine Silica Sand under High-Stress Triaxial Shear. Journal of Marine Science and Engineering. 2023; 11(9):1825. https://doi.org/10.3390/jmse11091825
Chicago/Turabian StyleChen, Rong, Tong Zhao, Zhiyong Wu, Dongxue Hao, Nan Xue, and Chi Yuan. 2023. "Experimental Investigation on Particle Breakage Behavior of Marine Silica Sand under High-Stress Triaxial Shear" Journal of Marine Science and Engineering 11, no. 9: 1825. https://doi.org/10.3390/jmse11091825
APA StyleChen, R., Zhao, T., Wu, Z., Hao, D., Xue, N., & Yuan, C. (2023). Experimental Investigation on Particle Breakage Behavior of Marine Silica Sand under High-Stress Triaxial Shear. Journal of Marine Science and Engineering, 11(9), 1825. https://doi.org/10.3390/jmse11091825

