Next Article in Journal
A Chattering-Suppression Sliding Mode Controller for an Underwater Manipulator Using Time Delay Estimation
Next Article in Special Issue
Investigation of the Energy Absorption Characteristics and Negative Poisson’s Ratio Effect of an Improved Star-Shaped Honeycomb
Previous Article in Journal
An Innovative Designed Velocimeter Application for Set Net Fishery
Previous Article in Special Issue
Study on the Effect of Nodal Configuration on the Mechanical Properties of Hexa-Ligamentous Chiral Honeycombs
 
 
Font Type:
Arial Georgia Verdana
Font Size:
Aa Aa Aa
Line Spacing:
Column Width:
Background:
Article

The Dynamic Response of a Floating Wind Turbine under Collision Load Considering the Coupling of Wind-Wave-Mooring Loads

1
School of Naval Architecture and Ocean Engineering, Jiangsu University of Science and Technology, Zhenjiang 212003, China
2
State Key Laboratory of Ocean Engineering, Shanghai Jiao Tong University, Shanghai 200240, China
3
China Shipbuilding Industry Corporation No. 704 Research Institution, Shanghai 200240, China
*
Author to whom correspondence should be addressed.
J. Mar. Sci. Eng. 2023, 11(9), 1741; https://doi.org/10.3390/jmse11091741
Submission received: 25 July 2023 / Revised: 21 August 2023 / Accepted: 22 August 2023 / Published: 4 September 2023
(This article belongs to the Special Issue Advances in Marine Mechanical and Structural Engineering)

Abstract

:
As the number of offshore wind turbines continues to rise and their proximity to navigational routes decreases, the risk of collisions between passing vessels and wind turbines increases, thereby presenting serious threats to the safety of personnel and equipment. Given that collisions between floating wind turbines and vessels entail a complex interplay of wind, wave, and mooring loads, this study established a bidirectional fluid-structure coupling simulation methodology based on Star-CCM+ and ABAQUS. Under the combined influences of wind, wave, and mooring loads, the study investigated the dynamic response of floating wind turbines following bow and side impacts from vessels. Analyses were conducted on the structural damage and deformation of floating wind turbines, the transformation of energy during collision processes, and the resultant motion response of the turbines. A sensitivity analysis was performed on parameters such as collision speed, collision angle, wind speed, and wave height. The findings indicate that the amplitude of pitching and heaving motions of the turbine exceed those observed under conditions devoid of collision loads, with the amplitude of motion intensifying with an increase in these parameters. The turbine’s floating body absorbed a minimal amount of internal energy, leading to minor damage, with the stress generated predominantly localized in the collision area of the floating body. The impact of a side collision from vessels exerted a larger influence on the structural dynamic response of floating wind turbines. The analysis results indicate that even though the offshore wind turbine structure is not critically damaged by ship impact, the equipment inside may still fail to work due to the high value of acceleration induced by ship impact. The research outcomes can benefit the safety design of offshore wind turbines in engineering practice.

1. Introduction

Amid escalating concerns over environmental degradation and energy scarcity, the advancement of wind energy has emerged as a pivotal research area. Predominantly, wind energy extraction is realized through the generation of wind power, classifiable into onshore and offshore categories. A significant number of offshore wind installations are strategically located in proximity to navigational routes, thereby subjecting them to the potential risk of maritime collisions. According to data sourced from the UK’s Caithness Windfarm Information Forum [1], there have been multiple instances of structural damage to wind turbines and associated human casualties as a result of such accidents. For example, a collision event at England’s Sheringham Shoal offshore wind farm in 2012 resulted in injuries to five sailors. Similarly, in 2014, a collision involving a high-velocity wind farm service vessel near Kinmel Bay in Wales inflicted considerable damage to a wind turbine tower and caused injuries to three staff members. Moreover, in 2020, an accident at the Borkum Riffgrund 1 offshore wind farm in the North Sea, Germany, led to injuries among three crew members. The accelerating global deployment of floating wind turbines is anticipated to contribute to an upward trend in ship-floating wind turbine collisions. The theoretical construct of the Floating Offshore Wind Turbine (FOWT) was initially conceived in 1972 by Professor Heronemus of the Massachusetts Institute of Technology [2]. Nonetheless, due to limitations in technological capabilities and financial feasibility, the concept remained dormant until the 1990s. With the maturation of onshore and nearshore fixed wind turbine technologies, the FOWT concept was rejuvenated and has swiftly evolved into a contemporary focal point in the domain of offshore wind energy research.
At present, the body of research addressing collision dynamics concerning floating wind turbines remains relatively constrained. Biehl et al. [2] amalgamated numerical simulations of vessel-wind turbine collisions with pertinent statistical data and scenario-specific occurrence probabilities to facilitate a comprehensive assessment of turbine safety. Complementary investigations by Dai [3] and Presencia [4] extended into risk evaluations for offshore wind turbines, encompassing an array of conditions involving diverse vessel types. Biehl [5] elucidated the application of the nonlinear finite element program LS-DYNA for simulating vessel-offshore wind turbine collisions, with an emphasis on the dynamic response characterization during impact events. Moulas et al. [6] leveraged the Sourne [7] analysis methodology to delineate damage deformation modalities of monopile and jacket foundations under varying collision circumstances. Collaborative work by Biehl and Lehman [8] focused on the kinematic response analysis of offshore wind turbines equipped with monopile, tripod, and jacket foundations during vessel impact scenarios. Pire et al. [9] undertook examinations of jacket foundations subsequent to vessel-wind turbine collisions, proffering correspondingly simplified methodologies for anti-collision analysis. Comprehensive studies by Song and Jiang [10,11] scrutinized the collision dynamics between a 4600-ton vessel and a 5 MW monopile offshore wind turbine, encompassing evaluations of parameters such as aerodynamic damping, impact velocity, mean wind speed, wind orientation, and bow rigidity, and their implications on collision response. Additionally, Pire et al. [8] further extended their study of jacket foundations following vessel-wind turbine impacts, with an offering of corresponding simplified models for anti-collision scrutiny. Echevery et al. [12] delved into the collision robustness of spar-type floating offshore wind turbines under vessel impact conditions via numerical simulation approaches, placing particular concentration on the internal dynamic behavior of the structure, including facets such as energy dissipation mechanisms, collision-induced force profiles, and structural deformation patterns.
The mooring platform of offshore floating wind turbines is characterized by flexible movements, and the entire motion system is demonstrably sensitive to influencing factors such as wave load, wind load, and mooring load [13]. Petersen [14] pioneered a coupled simulation methodology, deploying strip theory alongside approximation techniques to compute the sectional added mass and damping. This innovative approach aimed to encapsulate hydrodynamic loads during maritime collisions as well as predict vessel motion within the horizontal plane. Building on this foundation, Tabri et al. [15] broadened the scope of analysis to encompass all six degrees of freedom (DOF), applicable to both the colliding and impacted vessels during collision events. Le [7], utilizing the MCOL code [16] in synergy with the super element technique, embarked on a concurrent exploration of structural responses and extensive overall movements. Subsequent advancements were made by Yu et al. [17], who innovatively employed user-defined subroutines within the LS-DYNA framework, forging an effective coupling between a vessel’s horizontal three-dimensional motion and structural deformation. This was achieved through a 3-DOF coupled approach, tailored to collision computations between offshore maintenance vessels and floating wind turbine platforms, with comparative analyses against predictions yielded by the decoupled method. These investigations later evolved to incorporate 6-DOF overall motion [18], culminating in the successful implementation of linear potential flow theory through this refined technique [19]. Echevery et al. [11] leveraged numerical simulation protocols to scrutinize the collision resilience of spar-type floating offshore wind turbines under vessel impact conditions. Localized structural deformation was processed via the LS-DYNA solver, with overall motion resolved through the MCOL program, facilitating a real-time conversion of collision forces between the LS-DYNA and MCOL frameworks at successive time steps. Further integrative work by Zhang and Hu et al. [20,21] synthesized analytical models with floating wind turbine simulation tools, generating authentic reproductions of vessel-wind turbine collision scenarios. To cultivate a wind-wave synergized collision simulation approach, Zhang et al. [22] pioneered an air-water coupled method, accurately replicating collisions between vessels and floating wind turbines, and concomitantly calculating both external and internal dynamic phenomena. Notably, their findings illuminated that high-velocity impacts could precipitate immediate tower collapse; even in instances of withstanding initial impact, residual structural integrity may prove inadequate to bear subsequent wind loads, and the inherent flexibility of the floating wind turbine tower was determined to have negligible influence on energy dissipation mechanisms.
Research efforts addressing collision phenomena pertaining to offshore floating wind turbines remain conspicuously limited on both national and international fronts. Distinctive characteristics of these turbines manifest in a marked overall motion response coupled with localized structural deformations subsequent to collision events. The intricate interplay between external forces, including wind, waves, and mooring, and the global motion response gives rise to multifaceted synergistic effects. Moreover, the analysis of localized structural responses necessitates an understanding of coupling dynamics with global motions, introducing substantial complexity into the entire response assessment process. In light of these challenges, the present study deploys a synergistic simulation methodology, utilizing Star-CCM+ in conjunction with ABAQUS, to undertake an in-depth examination of the dynamic behavior of floating wind turbines under the influence of impact loads within a wind, wave, and mooring system coupled framework. The overarching objective of this research initiative is to furnish a comprehensive insight into the post-collision dynamic behavior of floating wind turbines. Furthermore, this investigative pursuit aspires to contribute substantively to the theoretical underpinnings and technological scaffolding requisite for the independent design and proliferation of deep-sea floating wind turbines within the domestic context.

2. Method for Collision Analysis of Ship-Floating Wind Turbine under the Coupled Effect of Wind, Wave, and Mooring

2.1. Fluid-Structure Interaction (FSI) Method between STAR-CCM+ and Abaqus

Within the domain of marine engineering, naval and offshore structures including vessels and ocean platforms are subject to continuous and multifaceted interactions with the diverse loading conditions prevailing in their aquatic environment. Such loads encompass wind-induced forces above the waterline and wave-induced forces at the water surface interface. The cumulative effect of these disparate loading conditions gives rise to a complex fluid-structure interaction (FSI) problem. The governing principles underpinning this interaction can be delineated as follows:
  • Taking into account the cumulative effect of a multitude of load factors, including wind, current, waves, and collision inertia forces, on the foundation platform of the floating wind turbine, a precise computation must be conducted to ascertain the magnitude of wind, wave, current, and inertia loads exerted on various integral structural components of the wind turbine system.
  • The pressure is transmitted from the fluid field in the Star-CCM+ domain to the structural domain within ABAQUS for the computation of the corresponding structural response.
  • Within the ABAQUS structural domain, considering the effects of wind, wave, current loads, and collision inertia forces on the floating wind turbine, ABAQUS is employed to compute the nodal pressures and displacements of the floating wind turbine system.
  • Utilizing ABAQUS, the nodal pressures and displacements within the structural domain are transferred to Star-CCM+ for the updating of fluid field boundaries. Subsequently, a recalculation is performed to determine the magnitude of the loads exerted on various structural components of the floating wind turbine.
Utilizing the synergistic capabilities of Star-CCM+ and ABAQUS, a cohesive integration of transient dynamic structural analysis and Computational Fluid Dynamics (CFD) is realized. This unification has enabled an in-depth examination of the motion response and structural deformation of a semi-submersible floating wind turbine subject to collision loads within the context of the compounded effects of wind, wave, and mooring forces. This innovative methodology provides a robust simulation platform for capturing the dynamic behavior of a semi-submersible floating wind turbine during an impact event. Figure 1 presents the schematic of the bi-directional coupling methodology between the semi-submersible floating wind turbine models in Star-CCM+ and ABAQUS. Figure 2 illustrates the kinematic sequence of the offshore wind turbine during a ship collision under the influences of wind-wave-mooring load.

2.2. Boundary Condition

Given the specific characteristics of semi-submersible wind turbines, the mooring system is treated as a boundary condition within the computational framework. To balance computational efficiency with requisite accuracy, this study has judiciously undertaken a simplification of the mooring system inherent to the semi-submersible wind turbine. In scenarios where the semi-submersible wind turbine undergoes only minimal angular motion and associated displacements remain comparatively restricted, the mooring cable may be appropriately modeled as a linear elastic system. Within the STAR-CCM+ environment, partial derivatives are derived by employing the central difference method, resulting in the formulation of the elasticity stiffness matrix for the mooring cable as delineated in Equation (1):
C i j L i n e s = 7 . 08 × 10 4 N / m 0 0 0 1 . 08 × 10 5 N / rad 0 0 7 . 08 × 10 4 N / m 0 1 . 08 × 10 5 N / rad 0 0 0 0 1 . 91 × 10 4 N / m 0 0 0 0 1 . 07 × 10 5 N / m 0 8 . 73 × 10 7 Nm / rad 0 0 1 . 07 × 10 5 Nm / m 0 0 0 8 . 73 × 10 7 Nm / rad 0 0 0 0 0 0 1 . 17 × 10 8 Nm / rad
In the context of the ABAQUS simulation environment, the mooring system of the semi-submersible wind turbine is represented through the application of three rotational and three translational spring elements at each of the trio of mooring connection points, a configuration schematically illustrated in Figure 3.

3. Wind Turbine Models and Environmental Conditions

3.1. Parameters of OC4-DeepCwind Semi-Submersible Wind Turbine and Impacting Vessel Model

In the present investigation, the object of study is the OC4-DeepCwind semi-submersible wind turbine system, a product of development by the National Renewable Energy Laboratory (NREL) in the United States [23]. The upper structure features the NREL-designed 5 MW wind turbine unit, with the complete model visualized in Figure 4a, and the fundamental parameters enumerated in Table 1. Constituting the base of the semi-submersible wind turbine is a supporting platform, fundamentally comprising a central hull (incorporating the wind turbine), a trio of peripheral buoyancy compartments, and an array of transverse and diagonal support rods. The architectural modeling is methodically executed using information extracted from pertinent scholarly literature, with the primary and plan views of the semi-submersible platform delineated in Figure 4b.
The blades of the floating wind turbine system are conceptualized on the 5 MW wind turbine model promulgated by the National Renewable Energy Laboratory (NREL) in the United States. The fundamental attributes of this model encompass a tri-blade configuration, horizontal axis, and upwind orientation. Specific parameters pertinent to the blades are delineated and tabulated in Table 2.
In the context of this investigation, a wind farm service vessel has been designated as the impacting vessel. The principal parameters characterizing the impacting vessel are itemized in Table 3. To economize on computational resources and truncate the computational duration, the superstructure was consciously excluded during the vessel model formulation, and the inherent structure of the hull was judiciously simplified. The finite element representation and mesh topology of the vessel are depicted in Figure 5, wherein the mesh cell dimensions are precisely configured to 0.5 m. Quadrilateral cells are employed in the mesh, culminating in an aggregate of 6202 cells and 6804 nodal points.

3.2. Selection of Material Model Parameters

Due to the primary focus on the structural dynamic response of floating wind turbines during collisions, in order to conserve computational resources and reduce calculation duration, the upper structure of the colliding vessel was omitted and the internal structure of the vessel hull was simplified during the ship modeling for collision. The materials used for the semi-submersible wind turbine and the colliding vessel are marine-grade high-strength steel (Q345) and low-carbon steel (Q235), respectively. The material parameters for these components are provided in the Table 4.

3.3. Anchor Chain Parameters

The mooring configuration of the semi-submersible wind turbine comprises three sets of catenary mooring chains, equidistantly aligned along the central pillar’s longitudinal axis. Each chain in this configuration is affixed at its lower extremity to an anchorage point embedded within the seabed and at its upper end to the fairlead aperture of the semi-submersible platform. A comprehensive listing of the relevant parameters governing this mooring system is methodically delineated in Table 5.

3.4. Fluid Domain Model

In the collaborative simulation utilizing Star-CCM+ and ABAQUS, the interplay between fluid and structure manifests as an implicitly bi-directional coupled process. The turbulence is modeled via the K-ω SST formulation, while wave simulation is achieved through the application of the Volume of Fluid (VOF) method. The overlapping grid technique is employed to facilitate the movement analysis of the wind turbine. This approach is depicted in Figure 6, where Figure 6a delineates the boundary conditions governing the fluid domain, comprising velocity inlets at the top and left, a pressure outlet to the right, and a wall at the bottom. The water depth, representing the vertical separation between the still water surface and the seabed, is specified as 200 m. For the overlapping area (170 m × 170 m × 230 m), the model surface is stipulated as a physical surface condition, while the interface between the overlapping and background areas is designated as an overset boundary condition. Figure 6b illustrates the cross-sectional view of the grid configuration. In the context of both the vessel and the floating platform base, a refined mesh is generated across the entire surface region. Guided by the model convergence analysis results of Zhang et al. [24], the grid dimensions are determined with maximum and minimum sizes of 2 m and 0.25 m, respectively. Adjacent to the platform’s surface, three layers of boundary grids are constructed, amounting to a total thickness of 0.2 m, with a stretching ratio for the boundary layer of 1.2. The grid generation process described herein results in a total count of approximately 6.15 million cells, of which the interior overlapping grids constitute 80% of the aggregate.

3.5. Model Experimental Verification

The attenuation observed in the amplitude of motion during free decay motion principally originates from the viscous damping effect imparted by the fluid and the dynamics of the mooring system. The numerical simulations of this free decay motion not only provide insights into the intrinsic frequency and additional characteristics of the wind turbine platform but also serve as an essential validation tool for the reliability of the coupled numerical simulation technique. This validation is particularly critical in the context of addressing hydrodynamic challenges associated with floating structures [25].
In the present investigation, numerical simulations were executed to analyze the free decay motion of the platform in three distinct degrees of freedom: surge, heave, and roll. During the simulation of free decay in each singular degree of freedom, substantial initial displacements were allocated (22 m for surge, 6 m for heave, and 8° for roll), whilst the remaining degrees of freedom were constrained. Subjected to the forces exerted by the wind turbine’s inherent gravitational pull and the intricate mooring system, the platform endeavors to regain equilibrium following any deviation from its stabilized position. Modulated by fluid damping, the amplitude of the platform’s motion progressively attenuates, asymptotically approaching equilibrium. The congruence between the simulation outcomes and those presented in reference [26] is further corroborated by the analogous free decay curves illustrated in Figure 7.
The outcomes of the bi-directional coupled method simulation presented in this manuscript were juxtaposed with the MARIN tank experimental findings as reported by Coulling et al. [25], along with the direct computational results obtained using FAST V8.10. The semi-submersible platform was adapted for the purpose of modeling, employing the NREL-5MW wind turbine design. Within the context of the MARIN tank experiment, an approximation congruent with the NREL-5MW served as the wind turbine representation. This test model of the wind turbine exhibited slight variations in mass and blade configuration when compared to the archetype, leading to minor disparities in the computation of the platform motion’s natural period. According to the delineated natural periods of the platform in Table 6, the coupled analysis model established through the methodology presented herein reveals a more pronounced discrepancy in the surge direction, quantified by an error rate of 5.79%. Nevertheless, the cumulative error rate of the model remains confined within a 6% margin, a deviation considered to be within acceptable boundaries. The hydro-aerodynamic coupled analysis model, forged by the means delineated in this study, aligns favorably with extant experimental data, thereby corroborating the fidelity of the software-based modeling and the validity of the numerical simulation approach for the semi-submersible wind turbine.

4. Scenarios for Collision

In compliance with the standards stipulated in DNVGL-ST-0126 and DNV-ST-0119 by the ship classification society, the requisite velocity of the ship during a collision event is mandated to be no less than 0.5 m/s [27,28]. Drawing from empirical collision incidents, the impact velocities of the colliding ship were systematically evaluated at 2.0 m/s, 1.5 m/s, and 1.0 m/s. This analysis was conducted to scrutinize the ramifications of varied collision velocities on the dynamic response characteristics of the floating wind turbine structure. Both frontal and lateral collisions were established at an impact speed of 2.0 m/s. To faithfully emulate the circumstances preceding a collision with a floating wind turbine in motion, an initial separation distance of 20 m between the colliding vessel and the wind turbine was designated. The locus of collision was meticulously chosen near the draft line of the floating wind turbine. Throughout the collision dynamics involving the maintenance ship and the offshore wind turbine, a definable angular relationship typically exists at the moment of impact. Collisions were simulated at a speed of 1.5 m/s, encompassing the collision angles of 0°, 45°, and 90°—angles representative of conventional collision scenarios. Subsequent analyses were conducted to decipher the influence of these distinct collision angles on the wind turbine’s structural response. Environmental parameters were calibrated to a wind speed of 11.4 m/s, corresponding to the rated wind speed for the floating wind turbine, accompanied by a wave height of 2 m. Both the wind and wave directions were aligned with the negative x-axis. Figure 8 elucidates these conditions, wherein subfigure (a) illustrates the schematic of the bow collision, and subfigure (b) portrays the side collision schematic. Table 7 enumerates the specific collision conditions pertinent to offshore wind turbines. The temporal domain of the simulation extended over 100 s, discretized using a time increment of 0.02 s.
To meticulously investigate the influence of environmental parameters on the collision response dynamics of floating wind turbines, a comprehensive examination was conducted utilizing selected wind speeds of 11.4 m/s, 10.0 m/s, and 8.0 m/s. This examination aimed to elucidate the consequences of disparate wind speeds on the dynamic response characteristics of the turbines. Concurrently, a spectrum of wave heights—namely 2.5 m, 2.0 m, and 1.5 m—was chosen for the analysis, intending to shed light on the impact of variations in wave heights on the turbines’ dynamic behavior. Standardized conditions for the collision scenario were established, incorporating a typical collision angle of 0° and a vessel speed of 2 m/s. The orientation of both wind and wave directions was presumed to coincide with the negative x-axis direction. The numerical simulation extended over a temporal span of 100 s, adopting a timestep resolution of 0.02 s. A detailed depiction of the specifications pertinent to these carefully defined scenarios can be found in Table 8.

5. Dynamic Simulation Analysis of Semi-Submersible Wind Turbine under Multi-Field Coupling Collision Load

To systematically investigate the influence of collision loads on the dynamic response of floating wind turbines, comparative analyses were conducted, juxtaposing the responses of turbines subjected to both head-on and lateral collisions with those devoid of collision-induced loads. Within the scope of this rigorous examination, during the discrete scenarios encompassing head-on and lateral collisions, the vessel’s collision velocity was meticulously fixed at 2.0 m/s. As for the environmental parameters under consideration, the wind velocity was calibrated to correspond to the designated rated wind speed of the floating turbines, precisely 11.4 m/s, while the wave height was uniformly stipulated at 2 m.

5.1. Results and Analysis of Bow Collision Simulation

5.1.1. Collision Force

Figure 9 elucidates the temporal progression of the collision force during the bow impact, when the impacting vessel engages the floating wind turbine. As depicted in the figure, the entire collision sequence transpires within an approximate time frame of 0.15 s, manifesting a marked non-linearity in the force profile. Upon the initiation of the contact between the vessel’s bow and the floating wind turbine’s pontoon, a pronounced surge in collision force occurs, escalating rapidly within a mere 0.04 s. Concurrently, as the interface between the ship and the wind turbine pontoon progressively expands, the bow of the impacting vessel encounters a commensurate increase in resistance, culminating in a peak force magnitude of 4.913 × 1064.913 × 106 N at 0.04 s. In the ensuing interval spanning from 0.04 s to 0.15 s, the collision force commences a decremental phase. This reduction is primarily attributed to the attenuating velocity of the impacting vessel as it engages with the wind turbine pontoon. This engagement precipitates a corresponding depletion in kinetic energy, culminating in the termination of the collision process, whereupon the collision force abates to nullity.

5.1.2. Energy Analysis

Figure 10 delineates the comprehensive energy conversion process of the wind turbine. Considering that the spatial orientation of the floating wind turbine system is constrained by the mooring system, the structure is primarily subject to aerial and wave-induced loads prior to collision. Consequently, only a nominal quantity of kinetic and internal energy is manifest. During the collision phase, a predominant fraction of the impacting vessel’s kinetic energy is transmuted into the aggregate kinetic energy of the floating wind turbine. This is complemented by minor contributions from internal energy, hourglass energy, damping energy, and frictional energy components. Owing to their diminutive magnitudes, the contributions from damping and friction energies are excluded from the representation in the figure. The kinetic energy attains an apex value of 1.37 × 1081.37 × 108 J. This observation underscores the substantial influence of the impact on the motion response characteristics of the floating wind turbine during the collision dynamics with the ship. Nevertheless, the collision culminates in negligible structural deformation and damage to the system.

5.1.3. Structure Stress Analysis

Figure 11 portrays the cumulative structural stress contour diagram in the course of a head-on collision between the vessel and the DeepCwind floating wind turbine at 18.14 s. A scrutiny of the diagram reveals that the stress engendered in the collision interaction between the ship and the floating wind turbine is principally localized within the pontoon’s collision zone, exhibiting a marked spatial specificity. Subsequent sections are dedicated to a comprehensive examination of the stress-strain response of the pontoon subjected to impact dynamics.
Figure 12 presents the contour plot of the pontoon’s structural stress during the frontal collision between the vessel and the floating wind turbine. A comparative analysis of the figures within the temporal span from 18.14 s to 18.20 s reveals an escalating trend in the peak value of the pontoon’s structural stress, culminating in a zenith of 3.546 × 108 Pa at 18.16 s. Subsequent to this peak, the stress commences a reduction phase, corresponding to the dissipation of the collision force, and the spatial distribution of the structural stress displays pronounced localization.

5.1.4. Motion Response

Utilizing the motion response of the floating wind turbine under the combined influences of wind, wave, and mooring loads (without the effect of ship collision) as a benchmark, a more insightful juxtaposition of the floating wind turbine’s motion responses can be conducted, both with and without the imposition of impact loads subsequent to the collision event. Figure 13 furnishes a comparative portrayal of the pitch and heave motion responses of the floating wind turbine under these differing scenarios. Owing to the orientation of the wind, waves, and ship impact, all of which are aligned towards the negative direction of the x-axis, the roll and sway motion components manifest with relatively diminutive magnitudes and are therefore omitted from the analysis.
As depicted in the figure, the collision transpired at 18.14 s. Subsequent to the collision, the motion response curves corresponding to pitch and heave degrees of freedom both manifest conspicuous nonlinearities, with the amplitudes of pitch and heave motions in the impacted state exceeding those in the non-impacted state. The maximum pitch angle attained a value of 3.71°, while the maximum heave amplitude reached 1.12 m. These observations elucidate that the impact load exerts a pronounced influence on the motion response of the floating wind turbine. This phenomenon can be attributed to the transformation of the majority of the kinetic energy generated by the colliding vessel into the kinetic energy of the wind turbine, culminating in an augmented amplitude of the pitch and heave motions of the floating wind turbine.

5.2. Results and Analysis of Ship Side Collision Simulation

In contrast to a bow collision, a side collision with a floating wind turbine typically involves a larger contact area, which may consequently affect both the structural integrity and motion response of the floating wind turbine under the interconnected influence of wind, wave, and mooring system. Hence, this section is devoted to a detailed numerical simulation analysis, scrutinizing the ramifications of a side impact exerted by a ship on the floating wind turbine structure.

5.2.1. Collision Force

Figure 14 delineates the temporal progression of the collision force during a side impact from a service vessel on the floating wind turbine. In this scenario of side impact, parameters such as the kinetic energy of the impact vessel and wind speed are maintained constant, yet the magnitude of the impact wave fluctuates as a result of variations in the timing of the collision. The duration of the collision under the side impact conditions extends to 0.17 s, constituting an increase of 0.05 s in comparison to the bow impact. The force exerted during the collision reaches its maximum value at 0.09 s, culminating in a peak force of 5.195 × 106 N, a value that surpasses the corresponding force observed in the bow impact. This phenomenon indicates that the side collision mode prolongs the interaction time between the impacting vessel and the floating wind turbine, thereby amplifying the collision force.

5.2.2. Energy Analysis

Figure 15 delineates the comprehensive energy transformation within the system during a side collision event. As manifestly demonstrated by the figure, the collision commences at 19.30 s, and, akin to the scenario of the bow collision, the energy conversion curve in the case of a side collision exhibits a pronounced nonlinear behavior. The preponderance of the kinetic energy originating from the colliding vessel is transmuted into the floating wind turbine’s kinetic energy, with a subordinate fraction being diverted into the internal energy and hourglass energy of the turbine. It is noteworthy that the aggregate energy of the system during a side collision slightly surpasses that during a bow collision, and the occurrence of peak values is more frequent. This leads to an elevation in both the kinetic energy transmitted to the wind turbine and the absorbed internal energy in comparison to the bow collision, thus underscoring the distinct dynamical consequences of the collision orientation.

5.2.3. Structure Stress Analysis

Figure 16 exhibits the global equivalent stress cloud diagram at the temporal instance of 19.29 s during a side collision between the ship and the DeepCwind floating wind turbine. The distribution of equivalent stress ensuing from the ship’s side collision predominantly localizes at the impacted pontoon region of the wind turbine. A comparative analysis elucidates that the magnitude of the equivalent stress attributed to the side collision is notably inferior to that induced by the frontal collision. This observation underscores the intrinsic disparity in the stress response behavior contingent on the direction of collision, with the side collision yielding a less intense stress concentration within the specified structural components.
Figure 17 delineates the stress contour map of the pontoon during the side collision process between the vessel and the floating wind turbine. The visualization manifestly reveals that the equivalent stress engendered by the vessel’s lateral impact is principally localized at the point of collision on the pontoon. Commencing at 19.30 s, the collision stress initiates at a value of 2.475 × 108 Pa, subsequently augmenting to its zenith of 3.73 × 108 Pa by 19.32 s. Contrasted with the evidence presented in Figure 16, it can be deduced that the equivalent stress resultant from a side collision is somewhat attenuated relative to that emanating from a bow collision. Nevertheless, the extended temporal duration of the collision in the side impact case potentially amplifies the deleterious influence on the structural integrity and functional performance of the floating wind turbine. This insight accentuates the complex interplay of collision geometry and mechanical response, necessitating a nuanced understanding for comprehensive structural assessment and design.

5.2.4. Motion Response

Figure 18 provides an illustrative comparison of the roll and heave motion responses of the floating wind turbine under conditions with and without side impact. From the graphical representation, it is evident that both the roll and heave motion responses subsequent to the lateral engagement of the vessel with the floating wind turbine are accentuated relative to their non-impact counterparts. When juxtaposed with Figure 13, which elucidates the motion responses following a bow collision, an increase in both roll and heave motion amplitudes is discernible in the context of a side collision. This empirical observation underscores that a side collision imparts a more pronounced influence on the floating wind turbine’s motion response. This comparative analysis not only elucidates the differential response mechanisms of the structure under various collision orientations but also reinforces the necessity for an in-depth examination of collision dynamics, especially in the scenario of lateral impacts. Such insights bear significant implications for the design, evaluation, and risk mitigation strategies of floating wind turbine structures, catering to the multifold complexity of maritime collision phenomena.

6. Results and Discussions

6.1. Sensitivity Analysis of Different Collision Parameters on Floating Wind Turbine Collision

6.1.1. Collision Velocity

(1) Collision force
Figure 19 delineates the time-history curve of the collision force exerted on the floating wind turbine, specifically capturing the dynamics at varying impact speeds. Within the visual representation, the onset of the collision phase is marked by a significant generation of collision force in the localized contact area between the vessel and the floater component of the wind turbine. Through a comparative analysis of the collision force curves encapsulated in Figure 19, distinct response patterns can be discerned across different impact velocities. Specifically, at impact speeds of 2.0 m/s, 1.5 m/s, and 1.0 m/s, the corresponding collision durations are measured at 0.15 s, 0.12 s, and 0.11 s, with the resultant peak collision forces registered at 4.913 × 106 N, 3.487 × 106 N, and 2.001 × 106 N, respectively. This analytical observation clearly underscores the direct correlation between vessel impact speeds and both the magnitude and duration of the collision process. In scenarios where the vessel impact speed is elevated (v = 2 m/s), the collision event between the vessel and the wind turbine floater manifests heightened severity. This amplification can be attributed to the corresponding increase in kinetic energy associated with the elevated vessel velocity, culminating in both an augmented peak collision force and an extended collision process. These findings impart critical insights into collision dynamics, offering quantitative evidence of the sensitivity of collision parameters to the varying speed of impact. Such understanding is imperative for the optimization of design, safety assessment, and risk management strategies in the realm of floating wind turbine installations, further emphasizing the necessity for thorough investigation and characterization of collision phenomena within marine environments.
(2) Energy analysis
In the event of a collision between a vessel and a floating wind turbine, the kinetic energy of the impacting vessel is predominantly transmuted into the kinetic energy of the floating wind turbine, while only a fractional conversion into the system’s internal energy and other energy modalities is observed. Figure 20 offers a comprehensive visual representation of the transformation ratio between kinetic and internal energy within the floating wind turbine system, conditioned on various collision speeds. The data presented in Figure 20 unequivocally illustrates the consequential influence that different impact speeds exert on both the kinetic and internal energy curves. Specifically, when the impacting vessel’s speed is registered at 1.0 m/s, the conversion of kinetic and internal energy transferred to the floating wind turbine is at its nadir. Conversely, as the speed of the impacting vessel incrementally ascends, a corresponding amplification is observed in the kinetic and internal energy imparted to the floating wind turbine. This relationship elucidates a critical insight into the dynamics of collision phenomena: the motion response and structural integrity of the floating wind turbine are intrinsically linked to the velocity of the impact. The escalating nature of the transferred energies as a function of increasing impact speed implies a progressive exacerbation in both the motion response and the structural duress experienced by the floating wind turbine. The understanding gleaned from this analysis provides an imperative foundation for the engineering, design, and risk mitigation strategies pertinent to floating wind turbine systems. Recognizing the kinetic dependencies and the transformation characteristics of collision energies contributes to a more robust predictive modeling capability, further enabling the development of resilient structures and adaptive response mechanisms to mitigate the multifaceted effects of vessel collisions within the maritime renewable energy sector.
(3) Structure stress analysis
Figure 21 shows the distribution of equivalent stress in the floating wind turbine system under different collision speeds. From the information depicted in the figure, it is evident that variations in the collision speed result in different deformation characteristics of the spar. When the collision speeds are 1.0 m/s and 1.5 m/s, the peak equivalent stress in the spar occurs at 18.24 s, with magnitudes of 2.795 × 108 N and 3.347 × 108 N, respectively. For a collision speed of 2.0 m/s, the peak equivalent stress in the spar is reached at 18.14 s with a magnitude of 3.846 × 108 N. These observations indicate that an increase in the collision speed of the vessel leads to an augmentation in the structural stress in the spar, thereby causing a larger deformation.
(4) Motion response
Figure 22 portrays the dynamic response of the floating wind turbine system in terms of pitch and heave movements under the impact of varying collision velocities. It can be unequivocally discerned from the figure that as the collision speed of the vessel escalates, the amplitude of the pitch and heave motions of the floating wind turbine also proportionally amplifies. This phenomenon can be attributed to the increased kinetic energy of the impacting vessel due to its augmented speed. This extra kinetic energy, transferred to the floating wind turbine during the collision, subsequently leads to an increased amplitude in the pitch and heave motions of the turbine.

6.1.2. Collision Angle

(1) Collision force
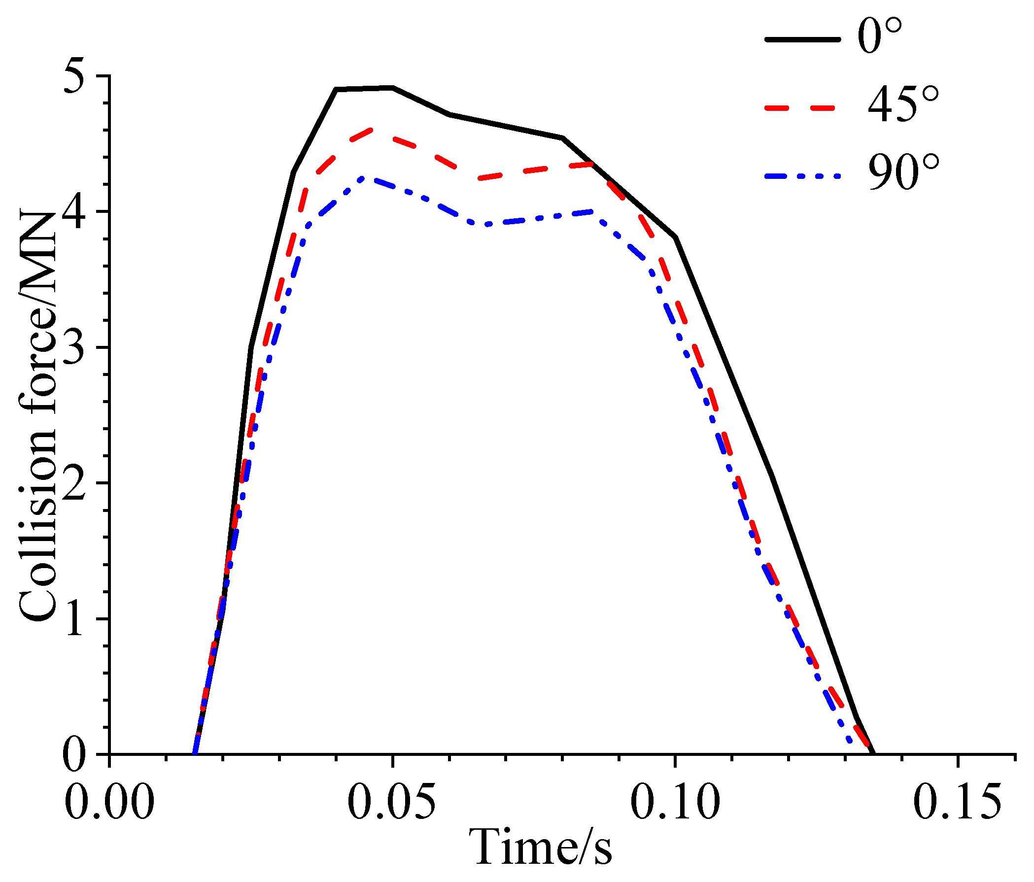
Figure 23 elucidates the chronological evolution of collision forces under disparate impact angles in the context of a collision between a maritime vessel and a floating wind turbine. As delineated by the illustration, the temporal trajectories of the collision forces, despite variations in impact angles, exhibit nominal disparity, consistently demonstrating an immediate acceleration followed by a subsequent decrement. The temporal duration of the collision procedure maintains an approximate constancy across the spectrum of varying impact angles, thereby substantiating the observation that the magnitude of the collision force is relatively invariant with alterations in the impact angle.
(2) Energy analysis
Figure 24 delineates the juxtaposed distribution of kinetic and internal energy within the floating wind turbine system when exposed to collisions under multifarious angular trajectories. As can be inferred from the illustration, the variations in the impact angle impose only a negligible influence upon the kinetic and internal energy contours within the system. This marginal effect can be principally attributed to the invariability of the kinetic energy of the colliding vessel, assuming a constant velocity, in conjunction with unaltered meteorological conditions such as wind velocity and wave amplitude. Collectively, these factors converge to substantiate the minimal perturbation of different impact angles on the integral energy components within the floating wind turbine system.
(3) Structure stress analysis
Figure 25 graphically illustrates the salient disparities in the deformational damage experienced by the buoyant wind turbine system when subjected to impacts at distinct angular orientations. As discerned from the figure, the exertion of maximum stress on the cylindrical structure is moderately reduced at an impact angle of 90°, compared to alternative angular configurations, achieving its zenith at 3.530 × 108 N at precisely 18.02 s, subsequently culminating in a relatively attenuated structural impairment. Conversely, an impact angle of 45° induces the superlative stress level among the investigated angles, reaching an apex of 3.996 × 108 N at 18.34 s. When the system is exposed to an impact angle of 0°, the zenithal stress on the cylinder peaks at 3.846 × 108 N at 18.14 s. Cumulatively, these empirical observations underscore that the structural damage inflicted upon the floating wind turbine system is most pronounced and deleterious at an impact angle of 45°.
(4) Motion response
Figure 26 methodically delineates the dynamic response of the floating wind turbine system in both pitch and heave motion subjected to disparate impact angles. The graphical representation elucidates that the amplitude of pitch motion consequent to an impact at 0° perceptibly surpasses that resultant from impacts at 45° and 90°. In parallel, variations in the angle of impact manifest a marginal influence on the heave motion response within the floating wind turbine system. This seemingly subdued effect can be ascribed to the relatively diminutive disparities in the collision forces engendered under various angular impacts, compounded by invariant meteorological conditions such as wind velocity and wave state. Collectively, these factors coalesce to exert only minimal perturbations on both the pitch and heave motion response characteristics within the floating wind turbine system.

6.2. Sensitivity Analysis of the Impact of Different Environmental Parameters on the Collision of Floating Wind Turbines

6.2.1. Wind Velocity

(1) Collision force
Figure 27 provides a detailed illustration of the collision force-time curves corresponding to different wind speeds within a comprehensive framework. From a critical analysis of the depiction, it becomes manifest that the trajectories of the collision force-time curves under varying wind speeds exhibit a remarkable consistency, characterized by an expeditious augmentation followed by a subsequent diminution. Nevertheless, a concomitant elevation in wind speed is correlated with a proportional increase in both the collision force and the duration of the collision event. This phenomenon can be systematically attributed to the fact that the responsive dynamics in pitch, roll, and sway degrees of freedom escalate in direct correspondence with the wind speed. This escalation engenders an augmented resistance encountered by the bow of the colliding vessel, thereby culminating in a consequential amplification in the peak collision force. This analytical observation serves to deepen the understanding of the complex interplay between wind speed and the corresponding collision dynamics within the studied system.
(2) Energy analysis
Figure 28 meticulously illustrates a comparative analysis of the kinetic and internal energy distribution within a floating wind turbine system, consequent to collisions under varied speed conditions. A scrupulous examination of the figure reveals that divergent wind speeds exert a palpable and significant influence on both the kinetic and internal energy profiles of the system. Particularly, when the wind speed reaches a magnitude of 11.4 m/s, the transferred kinetic and internal energy to the floating wind turbine system attain their respective zeniths. Conversely, a decrement in wind speed is concomitantly associated with a proportional diminution in the transferred kinetic and internal energy. This systematic observation accentuates the integral relationship between wind speed and the ensuing motion response and structural integrity of the floating wind turbine system. It establishes a clear corollary that an augmented wind speed invariably leads to an enhancement in motion responsiveness and a corresponding exacerbation in structural damage within the floating wind turbine assembly.
(3) Structure stress analysis
Figure 29 illustrates the equivalent stress cloud diagrams for the floating wind turbine system under different wind speeds. As seen from the figure, different wind speeds result in varying degrees of deformation in the buoyancy can. When the wind speed is 11.4 m/s, the equivalent stress on the buoyancy can peaks at 3.846 × 108 N at 18.14 s. At a wind speed of 10.0 m/s, the buoyancy can reaches its maximum equivalent stress of 3.676 × 108 N at 18.12 s. When the wind speed is 8.0 m/s, the maximum equivalent stress of the buoyancy can is 3.542 × 108 N at 17.98 s. These results indicate that the greater the wind speed acting on the floating wind turbine, the higher the structural stress on the buoyancy can, suggesting an increase in structural stress with the increase in wind speed.
(4) Motion response
Figure 30 elucidates the roll and heave motion response characteristics of the floating wind turbine system subjected to variations in wind speed within a controlled experimental framework. An analytical inspection of the figure reveals a discernible correlation, wherein both the apex roll angle and the maximal heave displacement escalate with the increment of wind speed, attaining their respective maxima at an average wind speed proximate to the rated operational wind speed (11.4 m/s). This observed trend is intrinsically attributable to the concomitant amplification of the system’s kinetic energy as a function of wind speed. Consequently, this systematic analysis permits the inference that the roll and heave motions of the floating wind turbine, in the aftermath of a collision event, manifest augmented magnitudes in direct correspondence with an increase in wind speed.

6.2.2. Wave Height

(1) Collision force
Figure 31 illustrates the collision force-time curves for the interaction between a ship and a floating wind turbine under different wave heights. As depicted in the figure, the collision force-time curves for the floating wind turbine differ under distinct wave heights, with both peak collision force and collision duration increasing with wave height. When wave heights are 2.0 m, 1.5 m, and 1.0 m, the collision durations are 0.15 s, 0.14 s, and 0.13 s, respectively, and peak collision forces reach 5.792 × 106 N, 4.912 × 106 N, and 4.412 × 106 N, respectively. Therefore, as wave height increases, the motion response of the floating wind turbine also increases. Consequently, the resistance force on the ship’s bow heightens, leading to a rise in the peak collision force.
(2) Energy analysis
Figure 32 presents a comparison of kinetic and potential energy responses of the floating wind turbine system subject to varying wave heights. The graph illustrates a significant influence of differing wave heights on both kinetic and potential energy response curves. At a wave height of 2 m, the kinetic and potential energy transferred to the floating wind turbine is at its maximum. As wave height diminishes, the energy transferred to the floating wind turbine—both kinetic and potential—decreases correspondingly. This implies that the larger the wave height the greater the motion response and structural damage the floating wind turbine experiences.
(3) Structure stress analysis
Figure 33 exhibits the cloud diagrams of equivalent stress experienced by the floating wind turbine system under varying impact velocities. The patterns of deformation damage to the buoy differ under varying wave heights. When the wave height is 2.5 m, the equivalent stress value peaks at 4.084 × 108 N at 17.82 s. When the wave height is 2.0 m, the equivalent stress value peaks at 3.846 × 108 N at 18.14 s. Lastly, when the wave height is 1.5 m, the equivalent stress value peaks at 3.696 × 108 N at 18.44 s. This suggests that higher wave heights impose greater structural stress on the floating wind turbine system, thus intensifying deformation damage to the structure with an increase in wave height.
(4) Motion response
Figure 34 illustrates the pitch and heave responses of the floating wind turbine system under different collision speeds. As clearly observed from the figure, with the increment in wave heights experienced by the floating wind turbine system, the amplitudes of both pitch and heave motions also increase correspondingly. This could be attributed to the fact that the kinetic energy of the floating wind turbine system escalates with increasing wave height, which in turn augments the motion amplitudes in both the pitching and heaving directions.

7. Conclusions

A sophisticated bidirectional fluid-structure coupling joint simulation methodology has been formulated, utilizing both Star-CCM+ and ABAQUS. This methodology enables the precise determination of the collision dynamics response analysis procedure for floating wind turbines, considering the comprehensive and coupled effects of wind, wave, and mooring forces. An exhaustive study on the dynamic response of floating wind turbines under collision loads, taking into account the aforementioned coupled effects, was conducted, employing the joint simulation capabilities of Star-CCM+ and ABAQUS. The outcomes of this research provide essential insights into the specific conditions leading to turbine structural damage and the associated motion response patterns. In addition, a detailed analysis was undertaken to elucidate the governing rules for the impact of varying collision parameters and environmental conditions on the dynamic response of floating wind turbines. A focused investigation was performed to assess the influences of disparate collision velocities, collision angles, wind velocities, and wave amplitudes on the structural response dynamics of floating wind turbine systems. The principal conclusions derived from this comprehensive research are as follows:
1. Due to the implementation of a mooring system for floating wind turbines, the floating platform possesses certain flexibility. Hence, when a ship collides with a floating wind turbine, a substantial part of the kinetic energy of the colliding ship is transformed into the kinetic energy of the floating wind turbine. The pitch and heave motion amplitudes of the turbine are all greater than the motion amplitudes in the absence of collision load.
2. The turbine’s floating column absorbed minimal internal energy; thus, it did not sustain extensive damage. The stress generated was primarily distributed in the collision region of the floating column. Furthermore, a comparison of bow collision and side collision reveals that side collision has a more significant impact on the dynamic response of the floating wind turbine structure.
3. For different collision angles, given the identical kinetic energy of the colliding ship, there is minimal difference in the trend and peak of the collision force time history curve. However, the structural stress is slightly higher at a collision angle of 45° compared to the other two angles. The pitch and heave motion responses of the floating wind turbine under a 0° collision are larger than those under 45° and 90° collisions.

Author Contributions

Conceptualization, S.Z. and Y.Z.; Writing—original draft, S.Z.; Writing—review and editing, X.Y. and K.L.; Visualization, K.L. and Y.W. All authors have read and agreed to the published version of the manuscript.

Funding

This research was funded by the National Natural Science Foundation of China (Grant No. 52171311; Grant No. 52271279).

Data Availability Statement

MDPI Research Data Policies.

Conflicts of Interest

The authors declare no conflict of interest.

References

  1. Caithnness Wind Farm Information Forum. Wind Turbine Accident Compilation 2014. Available online: http://www.caithnesswindfarms.co.uk (accessed on 30 September 2014).
  2. Ladeira, I.; Márquez, L.; Echeverry, S.; Le Sourne, H.; Rigo, P. Review of methods to assess the structural response of offshore wind turbines subjected to ship impacts. Ships Offshore Struc. 2023, 18, 755–774. [Google Scholar] [CrossRef]
  3. Dai, L.; Ehlers, S.; Rausand, M.; Utne, I.B. Risk of collision between service vessels and offshore wind turbines. Reliab. Eng. Syst. Safe 2013, 109, 18–31. [Google Scholar] [CrossRef]
  4. Presencia, C.E.; Shafiee, M. Risk analysis of maintenance ship collisions with offshore wind turbines. Int. J. Sustain. Energy 2018, 37, 576–596. [Google Scholar] [CrossRef]
  5. Biehl, F. Collision safety analysis of offshore wind turbines. In Proceedings of the 4th LSDYNA European Conference, Ulm, Germany, 12 September 2005; pp. 28–30. [Google Scholar]
  6. Moulas, D.; Shafiee, M.; Mehmanparast, A. Damage analysis of ship collisions with offshore wind turbine foundations. Ocean Eng. 2017, 143, 149–162. [Google Scholar] [CrossRef]
  7. Le Sourne, H.; Besnard, N.; Cheylan, C.; Buannic, N. A ship collision analysis program based on super-element method coupled with large rotational ship movement analysis tool. J. Appl. Math. 2012, 2012, 375686. [Google Scholar] [CrossRef]
  8. Biehl, F.; Lehmann, E. Collisions of Ships and Offshore Wind Turbines: Calculation and Risk Evaluation. In Proceedings of the 25th International Conference on Offshore Mechanics and Arctic Engineering, Hamburg, Germany, 4–9 June 2006; pp. 281–304. [Google Scholar]
  9. Pire, T.; Le Sourne, H.; Echeverry, S.; Rigo, P. Analytical formulations to assess the energy dissipated at the base of an offshore wind turbine jacket impacted by a ship. Mar. Struct. 2018, 59, 192–218. [Google Scholar] [CrossRef]
  10. Song, M.; Jiang, Z.; Yuan, W. Numerical and analytical analysis of a monopile-supported offshore wind turbine under ship impacts. Renew. Energy 2021, 167, 457–472. [Google Scholar] [CrossRef]
  11. Jiang, Z.; Gao, Z.; Ren, Z.; Li, Y.; Duan, L. A parametric study on the final blade installation process for monopile wind turbines under rough environmental conditions. Eng. Struct. 2018, 172, 1042–1056. [Google Scholar] [CrossRef]
  12. Echeverry, S.; Márquez, L.; Rigo, P.; Le Sourne, H. Numerical crashworthiness analysis of a spar floating offshore wind turbine impacted by a ship. In Developments in the Collision and Grounding of Ships and Offshore Structures; CRC Press: Boca Raton, FL, USA, 2019; pp. 85–95. [Google Scholar]
  13. Chen, P.; Chen, J.; Hu, Z. Software-in-the-Loop Combined Reinforcement Learning Method for Dynamic Response Analysis of FOWTs. Front. Mar. Sci. 2021, 7, 628225. [Google Scholar] [CrossRef]
  14. Petersen, M.J. Dynamics of ship collisions. Ocean Eng. 1982, 9, 295–329. [Google Scholar] [CrossRef]
  15. Tabri, K.; Varsta, P.; Matusiak, J. Numerical and experimental motion simulations of nonsymmetric ship collisions. J. Mar. Sci. Technol. 2010, 15, 87–101. [Google Scholar] [CrossRef]
  16. Ferry, M. MCOL User’s Manual. Principia Mar. 2002. [Google Scholar]
  17. Yu, Z.; Amdahl, J.; Storheim, M. A new approach for coupling external dynamics and internal mechanics in ship collisions. Mar. Struct. 2016, 45, 110–132. [Google Scholar] [CrossRef]
  18. Yu, Z.; Amdahl, J. Full six degrees of freedom coupled dynamic simulation of ship collision and grounding accidents. Mar. Struct. 2016, 47, 1–22. [Google Scholar] [CrossRef]
  19. Yu, Z.; Shen, Y.; Amdahl, J.; Greco, M. Implementation of linear potential-flow theory in the 6DOF coupled simulation of ship collision and grounding accidents. J. Ship Res. 2016, 60, 114–119. [Google Scholar] [CrossRef]
  20. Zhang, Y.; Hu, Z.; Ng, C.; Jia, C.; Jiang, Z. Dynamic responses analysis of a 5 MW spar-type floating wind turbine under accidental ship-impact scenario. Mar. Struct. 2021, 75, 102885. [Google Scholar] [CrossRef]
  21. Chen, J.; Hu, Z.; Liu, G.; Wan, D. Coupled aero-hydro-servo-elastic methods for floating wind turbines. Renew. Energy 2019, 130, 139–153. [Google Scholar] [CrossRef]
  22. Zhang, Y.; Hu, Z. An aero-hydro coupled method for investigating ship collision against a floating offshore wind turbine. Mar. Struct. 2022, 83, 103177. [Google Scholar] [CrossRef]
  23. Jonkman, J.; Butterfield, W. Definition of a 5-MW Reference Wind Turbine for Offshore System Development; (No. NREL/TP-500-38060); National Renewable Energy Lab. (NREL): Golden, CO, USA, 2009.
  24. Zhang, H.; Ding, X.; Zhou, B.; Zhang, L.; Yuan, Z. Hydrodynamic Performance Study of Wave Energy—Type Floating Breakwaters. J. Mar. Sci. Appl. 2019, 18, 64–71. [Google Scholar] [CrossRef]
  25. Coulling, A.J.; Goupee, A.J.; Robertson, A.N.; Jonkman, J.M.; Dagher, H.J. Validation of a FAST semi-submersible floating wind turbine numerical model with DeepCwind test data. J. Renew. Sustain. Energy 2013, 5, 557–569. [Google Scholar] [CrossRef]
  26. Tran, T.T.; Kim, D.-H. The Coupled Dynamic Response Computation for a Semi-Submersible Platform of Floating Offshore Wind Turbine. J. Wind. Eng. Ind. Aerodyn. 2015, 147, 104–119. [Google Scholar] [CrossRef]
  27. D.N.V., G.L. A.S. Standard DNVGL-ST-0126; Support Structures for Wind Turbines. DNV: Oslo, Norway, 2016.
  28. D.N.V., AS. Offshore Standard DNV-ST-0119; Floating Wind Turbines Structures. DNV: Oslo, Norway, 2018.
Figure 1. Fluid-Structure Interaction (FSI) Flowchart between Star-CCM+ and ABAQUS.
Figure 1. Fluid-Structure Interaction (FSI) Flowchart between Star-CCM+ and ABAQUS.
Jmse 11 01741 g001
Figure 2. Influence of platform motion.
Figure 2. Influence of platform motion.
Jmse 11 01741 g002
Figure 3. FEM of spring elements.
Figure 3. FEM of spring elements.
Jmse 11 01741 g003
Figure 4. (a) DeepCwind floating wind system (b) DeepCwind Floating platform top view (left) and main view (right).
Figure 4. (a) DeepCwind floating wind system (b) DeepCwind Floating platform top view (left) and main view (right).
Jmse 11 01741 g004
Figure 5. Finite element model and mesh generation of colliding ship.
Figure 5. Finite element model and mesh generation of colliding ship.
Jmse 11 01741 g005
Figure 6. Overlaid mesh area for offshore floating wind turbines. (a) Computational domain boundary conditions. (b) Grid section diagram.
Figure 6. Overlaid mesh area for offshore floating wind turbines. (a) Computational domain boundary conditions. (b) Grid section diagram.
Jmse 11 01741 g006
Figure 7. Platform free decay motion contrast: (a) Surge; (b) Pitch; (c) Heave.
Figure 7. Platform free decay motion contrast: (a) Surge; (b) Pitch; (c) Heave.
Jmse 11 01741 g007
Figure 8. Simplification of collision scenarios: (a) bow collision scene and (b) ship-side collision scene.
Figure 8. Simplification of collision scenarios: (a) bow collision scene and (b) ship-side collision scene.
Jmse 11 01741 g008
Figure 9. Curves of collision force-time.
Figure 9. Curves of collision force-time.
Jmse 11 01741 g009
Figure 10. Curve of energy conversion of system.
Figure 10. Curve of energy conversion of system.
Jmse 11 01741 g010
Figure 11. Effective stress contours of front collision between the DeepCwind and vessel.
Figure 11. Effective stress contours of front collision between the DeepCwind and vessel.
Jmse 11 01741 g011
Figure 12. Effective stress contours of upper column: (a) 18.14 s; (b) 18.16 s; (c) 18.18 s; (d) 18.20 s.
Figure 12. Effective stress contours of upper column: (a) 18.14 s; (b) 18.16 s; (c) 18.18 s; (d) 18.20 s.
Jmse 11 01741 g012
Figure 13. Comparison of motion response: (a) comparison diagram of Pitch and (b) comparison diagram of Heave.
Figure 13. Comparison of motion response: (a) comparison diagram of Pitch and (b) comparison diagram of Heave.
Jmse 11 01741 g013
Figure 14. Curves of collision force-time.
Figure 14. Curves of collision force-time.
Jmse 11 01741 g014
Figure 15. Curve of energy conversion of system.
Figure 15. Curve of energy conversion of system.
Jmse 11 01741 g015
Figure 16. Effective stress contours of side collision between the DeepCwind and vessel.
Figure 16. Effective stress contours of side collision between the DeepCwind and vessel.
Jmse 11 01741 g016
Figure 17. Plastic strain contours of upper column: (a) 19.30 s; (b) 19.32 s; (c) 19.34 s; (d) 19.36 s.
Figure 17. Plastic strain contours of upper column: (a) 19.30 s; (b) 19.32 s; (c) 19.34 s; (d) 19.36 s.
Jmse 11 01741 g017
Figure 18. Comparison of motion response: (a) comparison diagram of Pitch and (b) comparison diagram of Heave.
Figure 18. Comparison of motion response: (a) comparison diagram of Pitch and (b) comparison diagram of Heave.
Jmse 11 01741 g018
Figure 19. Curves of collision force-time under different impact velocities.
Figure 19. Curves of collision force-time under different impact velocities.
Jmse 11 01741 g019
Figure 20. Curves of energy of system under different impact velocities: (a) Kinetic Energy and (b) Internal Energy.
Figure 20. Curves of energy of system under different impact velocities: (a) Kinetic Energy and (b) Internal Energy.
Jmse 11 01741 g020
Figure 21. Effective stress contours of upper column under different impact velocities: (a) v = 1 m/s; (b) v = 1.5 m/s; (c) v = 2 m/s.
Figure 21. Effective stress contours of upper column under different impact velocities: (a) v = 1 m/s; (b) v = 1.5 m/s; (c) v = 2 m/s.
Jmse 11 01741 g021
Figure 22. Comparison of motion response under different impact velocities: (a) comparison diagram of Pitch and (b) comparison diagram of Heave.
Figure 22. Comparison of motion response under different impact velocities: (a) comparison diagram of Pitch and (b) comparison diagram of Heave.
Jmse 11 01741 g022
Figure 23. Curves of collision force-time under different impact angles.
Figure 23. Curves of collision force-time under different impact angles.
Jmse 11 01741 g023
Figure 24. Curves of energy of system under different impact angles: (a) Kinetic Energy and (b) Internal Energy.
Figure 24. Curves of energy of system under different impact angles: (a) Kinetic Energy and (b) Internal Energy.
Jmse 11 01741 g024
Figure 25. Effective stress contours of upper column under different impact angles: (a) 0°; (b) 45°; (c) 90°.
Figure 25. Effective stress contours of upper column under different impact angles: (a) 0°; (b) 45°; (c) 90°.
Jmse 11 01741 g025
Figure 26. Comparison of motion response under different impact angles: (a) comparison diagram of Pitch and (b) comparison diagram of Heave.
Figure 26. Comparison of motion response under different impact angles: (a) comparison diagram of Pitch and (b) comparison diagram of Heave.
Jmse 11 01741 g026
Figure 27. Curves of collision force-time under different wind speeds.
Figure 27. Curves of collision force-time under different wind speeds.
Jmse 11 01741 g027
Figure 28. Curves of energy of system under different wind speeds: (a) Kinetic Energy and (b) Internal Energy.
Figure 28. Curves of energy of system under different wind speeds: (a) Kinetic Energy and (b) Internal Energy.
Jmse 11 01741 g028
Figure 29. Effective stress contours of upper column under different wind speeds: (a) wind = 11.4 m/s; (b) wind = 10.0 m/s; (c) wind = 8.0 m/s.
Figure 29. Effective stress contours of upper column under different wind speeds: (a) wind = 11.4 m/s; (b) wind = 10.0 m/s; (c) wind = 8.0 m/s.
Jmse 11 01741 g029
Figure 30. Comparison of motion response under different wind speeds: (a) comparison diagram of Pitch and (b) comparison diagram of Heave.
Figure 30. Comparison of motion response under different wind speeds: (a) comparison diagram of Pitch and (b) comparison diagram of Heave.
Jmse 11 01741 g030
Figure 31. Curves of collision force-time under different wind speeds.
Figure 31. Curves of collision force-time under different wind speeds.
Jmse 11 01741 g031
Figure 32. Curves of energy of system under different wave heights: (a) Kinetic Energy and (b) Internal Energy.
Figure 32. Curves of energy of system under different wave heights: (a) Kinetic Energy and (b) Internal Energy.
Jmse 11 01741 g032
Figure 33. Effective stress contours of upper column under different wave heights: (a) wave = 2.5 m; (b) wave = 2 m; (c) wave = 1.5 m.
Figure 33. Effective stress contours of upper column under different wave heights: (a) wave = 2.5 m; (b) wave = 2 m; (c) wave = 1.5 m.
Jmse 11 01741 g033
Figure 34. Comparison of motion response under different wave heights: (a) comparison diagram of Pitch and (b) comparison diagram of Heave.
Figure 34. Comparison of motion response under different wave heights: (a) comparison diagram of Pitch and (b) comparison diagram of Heave.
Jmse 11 01741 g034
Table 1. Main parameters of DeepCwind [23].
Table 1. Main parameters of DeepCwind [23].
Principal Dimensions (m)Weight Parameter
Bottom buoy diameter/height24/6Engine room quality (kg)240,000
Upper buoy diameter/height12/26Platform quality (ballast water) (kg)1.3473 × 107
Main buoy diameter/height6.5/30Platform roll inertia moment (kg·m2)6.827 × 109
Diameter of horizontal and inclined support rod1.6Platform pitch moment of inertia (kg·m2)6.827 × 109
Tower height77.6Rocking platform moment of inertia (kg·m2)1.226 × 1010
Number of leaves (pieces)3Displacement volume (m3)13,874.255
Overall draught (m)20
Table 2. Gross properties of DeepCwind.
Table 2. Gross properties of DeepCwind.
Parameter NameNumerical Value
leaf quality (kg)16,450
The distance between blade centroid and root (m)23.4
Blade moment of inertia (kg·m2)1.39 × 107
Table 3. Main scale of the colliding ship.
Table 3. Main scale of the colliding ship.
VesselLength (m)Width (m)Height (m)Load Draught (m)Total Weight (t)
support vessel2810.83.72.2238
Table 4. The material parameters.
Table 4. The material parameters.
MaterialDensityElasticity ModulusPoisson’s RatioYield Strength
(kg/m3)(GPa)(MPa)
Q34578502060.28345
Q23578502060.3235
Table 5. Mooring parameters.
Table 5. Mooring parameters.
Mooring ParametersMooring Parameters
ParameterMooring valueParameterMooring value
Number of anchor chains3Anchor chain diameter (m)0.092
Angle between each anchor chain120Anchor chain equivalent density (kg/m)113.35
Staggered point depth (m)200Equivalent density of anchor chain in water (kg·m)108.63
Guide cable hole height (m)14Equivalent tensile stiffness (MN)753.6
Mooring point radius (m)837.6Breaking Strength (kN)6090
Radius of guide cable hole (m)40.868Pretension (kN)1100
Anchor chain length (m)835.5
Table 6. Comparison of calculation results of platform natural period test.
Table 6. Comparison of calculation results of platform natural period test.
ParameterPlatform Inherent Period/(s)Error (Compared to Test)
Experiment
(Coulling)
FAST V8.10Calculates
Surge107.0 120.0113.25.79%
Heave17.517.717.71.14%
Pitch26.825.025.74.1%
Table 7. Case definitions.
Table 7. Case definitions.
CaseImpact Velocity (m/s)Impact Angle (°)Wind (m/s)Wave (m)
LC11011.42
LC21.5011.42
LC32011.42
LC41.54511.42
LC51.59011.42
Table 8. Case definitions.
Table 8. Case definitions.
CaseImpact Velocity (m/s)Impact Angle (°)Wind (m/s)Wave (m)
LC62011.42
LC720102
LC82082
LC92011.42.5
LC102011.41.5
Disclaimer/Publisher’s Note: The statements, opinions and data contained in all publications are solely those of the individual author(s) and contributor(s) and not of MDPI and/or the editor(s). MDPI and/or the editor(s) disclaim responsibility for any injury to people or property resulting from any ideas, methods, instructions or products referred to in the content.

Share and Cite

MDPI and ACS Style

Zong, S.; Liu, K.; Zhang, Y.; Yan, X.; Wang, Y. The Dynamic Response of a Floating Wind Turbine under Collision Load Considering the Coupling of Wind-Wave-Mooring Loads. J. Mar. Sci. Eng. 2023, 11, 1741. https://doi.org/10.3390/jmse11091741

AMA Style

Zong S, Liu K, Zhang Y, Yan X, Wang Y. The Dynamic Response of a Floating Wind Turbine under Collision Load Considering the Coupling of Wind-Wave-Mooring Loads. Journal of Marine Science and Engineering. 2023; 11(9):1741. https://doi.org/10.3390/jmse11091741

Chicago/Turabian Style

Zong, Shuai, Kun Liu, Yichi Zhang, Xingpeng Yan, and Yukai Wang. 2023. "The Dynamic Response of a Floating Wind Turbine under Collision Load Considering the Coupling of Wind-Wave-Mooring Loads" Journal of Marine Science and Engineering 11, no. 9: 1741. https://doi.org/10.3390/jmse11091741

APA Style

Zong, S., Liu, K., Zhang, Y., Yan, X., & Wang, Y. (2023). The Dynamic Response of a Floating Wind Turbine under Collision Load Considering the Coupling of Wind-Wave-Mooring Loads. Journal of Marine Science and Engineering, 11(9), 1741. https://doi.org/10.3390/jmse11091741

Note that from the first issue of 2016, this journal uses article numbers instead of page numbers. See further details here.

Article Metrics

Back to TopTop