Next Article in Journal
Characteristics of Early Neoproterozoic Stromatolites from Southern Liaoning, North China: Insights into the Formation of Stromatolites
Previous Article in Journal
A Study on the Transport of 137Cs and 90Sr in Marine Biota in a Hypothetical Scenario of a Nuclear Accident in the Western Mediterranean Sea
 
 
Font Type:
Arial Georgia Verdana
Font Size:
Aa Aa Aa
Line Spacing:
Column Width:
Background:
Article

Research on Aerodynamic Characteristics of a Ducted Propeller Hovering near the Water Surface Based on a Lattice Boltzmann Method

1
State Key Laboratory of Robotics, Shenyang Institute of Automation, Chinese Academy of Sciences, Shenyang 110016, China
2
Institutes for Robotics and Intelligent Manufacturing, Chinese Academy of Sciences, Shenyang 110169, China
3
University of Chinese Academy of Sciences, Beijing 100049, China
*
Author to whom correspondence should be addressed.
J. Mar. Sci. Eng. 2023, 11(9), 1708; https://doi.org/10.3390/jmse11091708
Submission received: 25 July 2023 / Revised: 19 August 2023 / Accepted: 28 August 2023 / Published: 29 August 2023
(This article belongs to the Section Ocean Engineering)

Abstract

:
Water–air cross-domain vehicles (CDVs) are capable of both flight and underwater navigation, showing broad prospects in marine science, such as underwater observation, disaster response, and rescue operations. It is crucial to investigate the dynamic performance of CDVs hovering above water surfaces to enhance safety and stability. In this study, the performance of a CDV’s ducted propeller hovering at various heights above a water surface was analyzed via computational fluid dynamic (CFD) simulations using the lattice Boltzmann method (LBM) and thrust tests. The results indicate that the air–water mixture formed by the wake of the propeller impacting the water surface is sucked in by the duct, causing the propeller to enter an unstable vortex ring state. At the same rotation speed in the air, the thrust of the propeller system decreases and the required power increases. With an increase in the height of the propeller above the water surface, the thrust and power return to normal. Furthermore, a numerical model was proposed to express the correlation among thrust, propeller rotation speed, and distance from the water surface. This study establishes a foundation for the dynamic modeling of CDVs and can be utilized by other related studies.

1. Introduction

In recent years, unmanned underwater vehicles (UUVs) have made significant progress, which promotes the development of marine science. Presently, water–air cross-domain vehicles (CDVs) capable of both flying and diving have attracted widespread attention due to their potential in the field of marine science [1,2]. There are two types of CDVs based on their structure: fixed-wing [3,4,5,6] and rotary-wing [7,8,9,10] CDVs. Regardless of the type, the propeller propulsion system is currently the primary choice due to its power configuration, especially for vehicles with long-distance sailing capabilities. CDVs primarily utilize air propellers to facilitate the process of water–air cross-domain transition. During the vertical take-off and landing (VTOL) process from the water surface, the shaft of the propeller is in a near-vertical position close to the water surface, and the propeller wake is greatly influenced by the water surface. Undoubtedly, one prerequisite for CDVs to realize cross-domain transition is to conduct a thorough study on wake interference during the take-off process and explore potential physical mechanisms.
Ducted propellers are propulsion devices that provide thrust or lift by placing a traditional propeller within a circular duct. The structure is compact, and the ducted body effectively reduces the tip energy loss of the isolated propeller blade and decreases the contraction effect of the incoming flow. Ducted propellers provide more thrust than isolated propellers of similar size under the condition of the same input power [11]. Due to these unique advantages, ducted propellers are rapidly being applied to ground-effect vehicles, VTOL micro aircrafts, and emerging CDVs. In the 1960s, NASA led multiple wind tunnel tests to investigate the feasibility of utilizing ducted propellers in VTOL vehicles and obtained a substantial quantity of experimental data [12,13,14]. Fleming et al. and Martin et al. [15,16] also conducted wind tunnel experiments to investigate the application of ducted propellers on VTOL micro vehicles. They utilized flow visualization techniques, such as particle image velocimetry (PIV), to analyze the complex flow characteristics within ducted propellers. The influence of duct shape and tip clearance on dynamic performance was investigated.
With the improvement of computer performance, researchers around the world have begun using numerical calculation methods to analyze the aerodynamic characteristics of ducted propellers from the perspective of computational fluid dynamics (CFD). For instance, Akturk and Camci [17,18] conducted Reynolds-averaged Naiver–Stokes (RANS) simulations to investigate the impact of inlet flow distortion and tip leakage flow on the aerodynamic characteristics of a ducted propeller. The results reproduced from the simulations were consistent with the PIV experiment results. XU et al. and SU et al. [19,20] conducted comparative studies on the aerodynamic characteristics of ducted propellers and isolated propellers using unsteady numerical simulations based on Euler equations. They analyzed the effects of blade tip clearance and dual propeller spacing on the aerodynamic characteristics of coaxial dual propellers within the duct. Furthermore, Li et al. and Deng et al. [21,22] conducted numerical simulations of unsteady aerodynamic forces acting on ducted propellers in various states using the slipped grid technique. These researchers investigated the impact of various factors, such as tilt process, propeller position, and rotation speed, on the unsteady aerodynamic characteristics of the ducted propeller system.
The widespread utilization of ducted propellers in VTOL vehicles has drawn the attention of researchers to the interference caused by the wake and the ground surface on aerodynamic characteristics. Relevant research has been conducted in this regard, which can serve as a reference for studying the effects of water surfaces. For example, Han et al. [23] conducted a bench test to investigate the aerodynamic characteristics of single and coaxial ducted dual propellers in various environments, including near ground and vertical walls. The mechanism of the impact of ground effect on the aerodynamic characteristics of conduit propellers was studied using numerical calculation methods. Moreover, Gourdain et al. [24] conducted CFD simulations to investigate the interference effects between a ducted propeller and the ground. The results show that an increase in the diffusion process in the duct has a mitigating effect on the influence of the rotor on the ground. Currently, research primarily focuses on investigating the interaction between the surrounding surfaces and the wake of a ducted propeller, with a particular emphasis on the interaction with the ground in a single medium condition. There are few studies on the thrust characteristics of ducted propellers when hovering near a water surface.
Ducted propellers produce a rapidly converging wake that exhibits significant interaction with both the air and water upon contact with a water surface. Traditional CFD methods that rely on finite volume methods (FVMs) struggle to handle the rapid fluctuations in the dynamic interface between two phases. Additionally, the substantial specific surface area of splashing droplets challenges the applicability of the continuity assumption at sub-millimeter scales in two-phase flows, thereby compromising the reliability of employing the N–S equation as a direct solution method for such flows. An LBM is a mesoscopic numerical calculation method that establishes a correlation between microscopic dynamic systems and macroscopic behavior in fluid mechanics problems. An LBM divides the fluid under study into discrete particles in time, position, space, and velocity. These particles have mass but no other properties. They interact with each other according to specific rules, colliding and moving together. Throughout this process, the conservation of mass and energy is maintained. LBMs simplify the calculation of local interactions and flow properties of individual particles at each time interval, making it manageable to deal with interface phenomena like particle collisions and rebounds.
Based on the above advantages, researchers have conducted a series of studies on complex flow situations using LBMs. Ghosh et al. [25] developed a gas–liquid two-phase flow model using an LBM to simulate the motion of bubbles in a pipeline filled with liquid. The results show that the model established using the LBM can effectively track the evolution, rupture, and formation of gas–liquid two-phase separation interfaces. Watanabe et al. [26] studied free-surface flow including floating debris using the cumulant LBM. The simulation results indicate that the free-surface model established based on the LBM is in good agreement with the experimental results. Romani et al. [27] utilized the LBM/large eddy simulation (LES) method to simulate low-Reynolds-number propellers and obtained numerical flow solutions. The far-field noise was calculated through computational aeroacoustics simulations. The numerical results are in good agreement with the measurement results of load and noise. Thibault et al. [28] modeled a quad-rotor UAV with moving rotors using an LBM approach. Two distinct methodologies were employed to generate models: adaptive refinement and a fixed-resolution strategy with two cylindrical refinement regions. While the fixed-resolution approach offers advantages in scenarios like hover, the adaptive method is more suitable for modeling forward flight, climbing, or landing maneuvers.
In this study, an LBM/LES approach incorporating multiple-relaxation-time (MRT) collision operators was employed to model the hovering behavior of a propeller above a water surface. The accuracy of the results of the CFD calculation was verified by comparing it with the results of the thrust tests. The flow field results derived from the CFD calculation were utilized to investigate the mechanism of the influence between the wake and the water surface, specifically in relation to the dynamic characteristics of the ducted propeller system. By integrating the simulation and experimental findings, a comprehensive model was developed and assessed to determine the near-water surface thrust of the ducted propeller. During the process of CDVs crossing between water and air, there needs to be sufficient and strong nonlinear changes in the properties of the medium at the water–air interface. The propeller thrust model for a single medium is not able to accurately describe the thrust situation of the propeller operating near the water surface. The work of this paper can fill this gap and lay the foundation for the subsequent CDV dynamic modeling.
The subsequent sections of this paper are organized as follows: A detailed description of the geometric parameters of the ducted propeller used in this research is presented in Section 2. An explanation of the CFD methodology and the experimental configuration is also presented. Section 3 provides an analysis of the composition of the thrust generated by the ducted propeller. It also discusses the findings derived from the experimental setup, aiming to comprehend the impact of the distance from the water surface and the rotational speed on the propeller’s performance. Section 4 provides a detailed analysis of the visualization techniques used to represent the flow field derived from the numerical simulations. Additionally, it explores the underlying mechanism by which the water surface impacts the dynamic characteristics of the propeller. In Section 5, a data-driven model is proposed and validated for the hovering thrust of the propeller near the water surface. Finally, this paper concludes by drawing insights from the analysis of dynamic characteristics and provides a discussion on potential future research directions.

2. Methodology

2.1. Basic Models

In this study, the designed CDV adopts a tiltrotor configuration, which can take off and land vertically on the water surface, as shown in Figure 1. We plan to install foldable wings in the future. After completing takeoff from a water surface, the vehicle will switch to the fixed-wing mode to achieve higher flight efficiency and longer mission time. At that time, the quadrotor mode is in the transitional state of the entire cross-domain process. Therefore, the power redundancy reserved for takeoff is insufficient, and the thrust-to-weight ratio is only 1.2, which is adequate for the fixed-wing mode. It should be noted that traditional rotor CDVs focus more on air performance, with a thrust-to-weight ratio typically reaching nearly 2.0 [8,10]. Even if there is a loss of thrust near the water surface, traditional rotor CDVs can still take off quickly from the water surface. Due to the low thrust-to-weight ratio of the tiltrotor CDV, the takeoff speed from the water surface is slow. Therefore, during the cross-domain process, the vehicle can be seen as hovering above the water surface.
The blades of the ducted propeller [29] employed in this study utilize the NACA44-series airfoil, manufactured via aluminum alloy machining. The diameter of the propeller disc is 150 mm. The ducted propeller incorporates a duct component that consists of three distinct sections, namely lip, throat, and diffuser. The tip clearance of the propeller is set at 1% of the rotor diameter. Additionally, the height of the duct is 0.15 m, and the diffuser angle is 0°, as depicted in Figure 2a. The distributions of the twist angle (θn) and skew angle (θs) for each blade at various stations, ranging from the hub to the tip, are provided in Table 1. This table also includes other relevant geometric parameters of the ducted propeller system. In the table, the radial position relative to the rotational axis is denoted as r. Specific design instructions and details of the ducted propeller are detailed in [29]. The simulation model has been suitably simplified in comparison to the experimental model. Additionally, the incorporation of gap stitching facilitates the convergence of calculations without compromising the results (see Figure 2b).

2.2. Numerical Methods

An LBM is a mesoscopic calculation method that bridges the gap between microscale molecular dynamic models and macroscale continuum models of fluids. It is designed to simulate intricate non-linear phenomena. The employed algorithm in this study is a particle-based, meshless dynamic approach. Unlike traditional CFD algorithms, it eliminates the need for complex grid division processes. Additionally, it effectively captures transient two-phase interfaces without incurring additional computational expenses. The analysis of flow characteristics conducted will thus be more realistic. The LBM uses a probability distribution function to numerically solve the Boltzmann transport equation [30]. This equation is commonly used to describe the mesoscale flow behavior of fluids. The LBM utilizes a single-relaxation-time (SRT) operator, incorporating a volume force term. The control equation is expressed in the following form:
f i ( r + e i Δ t , t + Δ t ) f i ( r , t ) = 1 τ [ f i ( r , t ) f i e q ( r , t ) ] + Δ t . F i
The equation presented above corresponds to the LB equation. In the equation, the function f i ( r , t ) denotes the particle distribution in the direction of velocity at a specific time t and location r ; the variable Δ t represents the time step; τ represents the dimensionless relaxation time; the function f i e q represents the distribution of the local equilibrium state; and F i represents the term for volume force. e i is a discrete set of velocities. The equilibrium distribution function used by the SRT-LBM method is
f i e q = ω i ρ 1 + e i u c s 2 + ( e i u ) 2 2 c s 4 u 2 2 c s 2 , i = 0 , 1 , 2 , , b 1
In the given equation, c s represents the sound velocity of the lattice. Additionally, ω i represents the weight coefficient corresponding to the discrete velocity, and b signifies the total number of discrete velocities. ρ is the density. The numerical solution of the SRT-LBM method demonstrates evident non-physical oscillation phenomena, which significantly impact the stability and convergence of the computation. The incorporation of multiple-relaxation-time (MRT) during the collision process proves to be an effective approach in mitigating these non-physical oscillations. The evolution equation associated with this method can be expressed as follows:
f i ( x + c Δ t , t + Δ t ) = f ( x , t ) M 1 S [ m ( x , t ) m e q ( x , t ) ]
where f = ( f 1 , f 2 , f 3 , , f b 1 , ) T ; M denotes the transformation matrix; S represents the relaxation factor; and m ( x , t ) and m e q ( x , t ) represent the momentum and equilibrium momentum, respectively. In the LBM, forces in the governing equations necessitate the utilization of a dedicated force model. This model is typically represented as DnQm, where n and m represent the dimension of the flow and the directions of discrete velocity, respectively. In this study, the LBM based on the D3Q27 lattice model with a central-moment collision operator was employed (see Figure 3) [31,32]. This choice of solver offers improved numerical stability when compared to the standard LBM approach. An octree structure was utilized to accommodate non-uniform lattice structures, allowing for the incorporation of varying spatial scales at different locations within the calculation domain [33]. A volume-based approach was employed, wherein it is assumed that the distribution functions are positioned at the gravity centre of the lattice. The initial octree lattice structure was generated by considering the lattice resolution specified by the input geometry and the far-field resolution. Any region can be refined at the designated lattice resolution (see Figure 4). The ratio of the size of the grid element and the time step can be consistently maintained across the entirety of the calculation domain, enabling each lattice within the calculation domain to always employ adaptive time steps [34].
Under conditions of low Mach number, it has been established through the application of the Chapman–Enskog multi-scale expansion analysis that the governing equation can be transformed into the corresponding N–S equation by incorporating volumetric force terms [35], as follows:
. u = 0
u t + u . u = p ρ + v 2 u + f
In the formula, ρ is the fluid density; u is the velocity vector of the fluid at time t ; p is the pressure; f is the external force; and the constant v is the kinematic viscosity.
To accurately replicate the flow field and wake of the propeller, this study employed a large eddy simulation (LES) turbulence model. LES is a computational technique that lies between the approaches of direct numerical simulation (DNS) and RANS. LES primarily employs unsteady N–S equations to directly simulate large-scale eddies, but it does not directly compute small-scale eddies. The calculation and processing of the influence of small eddies on large eddies is primarily carried out using an approximate sub-grid scale model. LES incorporates the inclusion of an extra flow viscosity, referred to as turbulence eddy viscosity, which varies in both space and time. This addition is utilized to represent the sub-grid turbulence that is not directly resolved. The viscosity model employed in this study is the wall-adapting local eddy (WALE) viscosity model, which offers a coherent representation of local eddy viscosity and near-wall characteristics [36]. The implementation is expressed in the following form:
v t = Δ f 2 ( G α β d G α β d ) 3 / 2 ( S α β S α β ) 5 / 2 + ( G α β d G α β d ) 5 / 4
S α β = g α β + g β α 2
G α β d = 1 2 ( g α β 2 + g β α 2 ) 1 2 δ α β g γ γ 2
g α β = u α x β
In the given mathematical equations, Δ f = C w Δ x is the filter scale; the constant C w is commonly assigned a value of 0.325; Δ x represents the size of the unit lattice; G α β d refers to the trace symmetric component of the square of the velocity gradient tensor; S α β represents the strain rate tensor for the decomposition scale; δ α β denotes the Kronecker δ function; and the subscripts α , β , and γ are used to indicate tensor components.

2.3. Simulation Setting

This paper presents the results of numerical simulations conducted under two different conditions: an unobstructed environment and hovering above the water surface. The propeller speed was set at 11,400 r/min. The non-dimensional heights, h/D, for the water-hovering condition were set as 0.67, 1.33, 2.0, 2.67, and 3.33, where h is the distance between the propeller and the water surface and D is the diameter of the propeller. The discussion about the experimental and simulation results is provided in the subsequent sections. In Figure 5, the numerical domain of the ducted propeller in hover is depicted. The boundary conditions of the outlets (with uniform pressure) are imposed on all side faces, while the inlet velocity condition is applied to the top face. The wall is situated at the bottom face. Except for the wall, all boundary conditions were simulated using a damping layer with a thickness of D/4. This layer gradually increases in viscosity to prevent the reflection and damping of pressure waves prior to reaching the boundary, as outlined in reference [37]. The distance between the ducted propeller and the water surface was determined by setting the initial position of the gas–liquid interface.
In the study of the discretization, uncertainty estimates using numerical solutions and grid nodes were generated at varying resolutions of 0.005 m, 0.0025 m, 0.00125 m, and 0.000625 m, respectively. The simulation duration was defined as 10 s, with a time interval of 7.5 × 10 5 s. The calculation results satisfy the monotonic convergence condition, as demonstrated in Table 2. This makes it possible to conduct grid convergence research based on the grid convergence index (GCI) proposed by Roache [38] and provides an error band for the numerical solutions. The changes in the numerical solutions of the thrust coefficients for the four sets of grids are shown in Figure 6. The discrete uncertainty was calculated and is presented as an error band. An estimated value of the coefficient was obtained by using the result of the 4th resolution based on Richardson extrapolation, which corresponds to the value at the abscissa of 0 in Figure 6. The thrust coefficient was estimated to be 0.0379, with an error band of 4.04%. These results indicate that the solutions are well within the range of convergence. Considering the need for precise and efficient computation, the resolution of the near-wall grid was set to 0.00125 m. The calculation results were recorded at regular intervals of 100 steps per second, guaranteeing an ample amount of data for subsequent analysis.

2.4. Test Setting

The experimental configuration for the ducted propeller in an unobstructed environment is illustrated in Figure 7a. In this setup, the propeller is driven by a brushless DC motor, which is positioned inside the hub fairing. The ducted propeller is fixed to the bench with a force and a torque sensor, and the direction of the thrust is horizontal. The sensor is responsible for measuring the thrust produced by the entire ducted propeller system. The force and torque sensor were designed by ATI company, with a resolution of 1/20 N and 1/800 Nm, respectively. The sensing range is 130 N for the X- and Y-direction forces, 400 N for the Z-direction force, and 10 Nm for torque. The maximum frequency of the sensor is 7 kHz. The experimental setup utilized in this study is characterized by its simplicity, and setting the propeller axis horizontally effectively mitigates the impact of ground effect on lift production, resulting in more accurate results. The experimental configuration employed to test the propeller hovering near a water surface resembles the setup utilized for unobstructed environment testing, with the sole modification being the substitution of the bracket to orient the axis of the propeller in a vertical position (see Figure 7b). The test bench was placed in water to test in conditions where the propeller was hovering above a water surface.
The collection of speed data from the ducted propeller was conducted through a data acquisition card that captures information pertaining to speed, voltage, and current. The speed of the propeller is directly determined by the speed of the motor, as they are directly connected to each other. The principle of acquiring speed data involves obtaining the phase-switching frequency of the electronic speed controller and using the relationship between the number of motor poles and the frequency to calculate the motor speed. In this setup, power is provided by a regulated DC power supply with adjustable voltage. The principle of propeller testing is illustrated in Figure 8.
The aerodynamic characteristics of rotary-wing vehicles in hover are commonly described using non-dimensional parameters, such as the thrust coefficient, power coefficient, torque coefficient, and pressure coefficient. The first three parameters represent the relationship of rotation speed between the thrust, reverse torque, and power, respectively. The pressure coefficient is a fundamental parameter that describes the variation in static pressure of the surface with respect to the dynamic pressure. The definitions of these terms are as follows:
C T = T ρ A Ω 2 R 2
C Q = Q ρ A Ω 2 R 3
C P = P ρ A Ω 3 R 3
C p = p p 1 / 2 ρ Ω 2 R 2
In the above formulas, T represents the thrust, P represents the power, and ρ denotes the air density. A is used to represent the area of the propeller disc, while Ω denotes the rotation speed. The diffuser expansion ratio of the duct in this experiment is represented by σ = 1, while p denotes the standard atmospheric pressure. It is noteworthy to mention that the relationship between mechanical power and torque is given by P = Ω Q , where, numerically, C P = C Q . All units utilized in the formulas adhere to the international standard units.
In each iteration of the experiment, a series of three distinct measurements were conducted to determine the average value, which was subsequently utilized as the result. When carrying out the experiments on thrust in free space, the data collection process for each trial required a period of 80 s. Initially, the motor was set to the minimum speed for a duration of 10 s, followed by a 10-s interval during which the propeller maintained a constant rotational speed. Subsequently, the motor’s velocity was reduced to zero for a period of 60 s to prevent any increase in motor temperature before commencing a new trial. For the thrust experiments conducted above the water surface, the testing procedure was similar, with the only difference being that the height of the thruster from the water surface served as the controlled variable.
The uncertainty of the experimental value, denoted as µ, was determined using Equation (14), in which μ _sensor represents the error associated with the sensor. In a given set of experiments, μ _max represents the maximum value observed, μ _min represents the minimum value observed, and μ _mean denotes the arithmetic mean of all three values.
The comparison between the numerical simulation results and the test values is depicted in Figure 9. The discrepancies between the calculated thrust and power values in an unobstructed environment were found to be within a margin of 5%, while the experimental uncertainty was estimated to be approximately 3%. Similarly, the maximum error in torque calculation, when hovering over the water surface, was observed to be less than 10%, with an associated uncertainty of around 7%. Taking into account the calculation error and experimental uncertainty, the consistency between the numerical simulation results and measurement results can be considered good.
μ = V a l u e _ m a x V a l u e _ m i n V a l u e _ m e a n × 100 % + μ _ s e n s o r

3. Aerodynamic Characteristic Analysis

3.1. Aerodynamic Theory Analysis

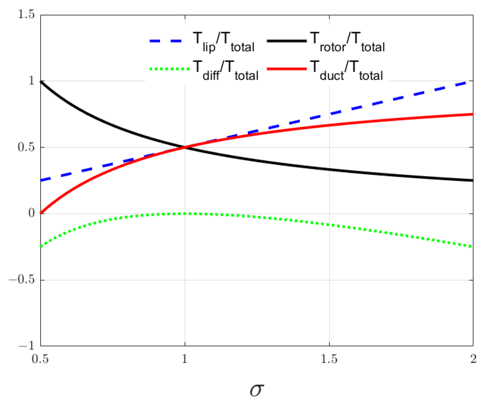
First, the analysis of the thrust generated by the different components of the ducted propeller was conducted based on the principles of the momentum theory. When considering air as an ideal incompressible fluid without the influence of viscosity, it is also assumed that the air passing through the propeller does not exhibit rotational motion and instead moves uniformly in the axial direction. The thrust generated by the ducted propeller can be divided into two components: the rotor thrust ( T rotor ) and the duct thrust ( T duct ). The lip of the duct responsible for generating thrust is referred to as T lip . The diffuser of the duct responsible for generating thrust is referred to as T diff . According to the momentum theory for propellers and the Bernoulli equation, the thrust produced by different sections of the ducted propeller can be determined using Formulas (15)–(17). In this study, the diffuser expansion ratio ( σ ) is equal to one, which represents the ratio of the outlet area of the duct to the rotor area.
T rotor T total = 1 2 σ
T lip T total = σ 2
T diff T total = ( σ 1 ) 2 2 σ
The correlation between the thrust composition of the ducted propeller and the diffusion coefficient, as determined by Equations (15)–(17), is visually represented in Figure 10.
For an isolated propeller, the total thrust ( T total ) is equal to the thrust provided by the rotor ( T rotor ), as indicated by Equation (15). In this equation, the value of σ is equal to 0.5, which aligns with the slipstream theory’s prediction of the ratio between the cross-sectional area of the slipstream and the area of the rotor disc. When the value of σ is 0.5, it signifies the flow state of the isolated propeller under hovering conditions. As the value of σ increases, the propeller experiences a reduction in load, resulting in a decrease in the thrust it generates. Conversely, the thrust generated by the duct increases. When the value of σ exceeds 0.5, the overall thrust generated is greater than that produced by the isolated propeller. This phenomenon arises due to the propeller drawing in air from the inlet of the duct, thereby generating a region of low pressure at the lip. This behavior can be described by Equation (16). Based on Equation (17), it is evident that, akin to the pressure recovery area generated on the posterior surface of the wing, the internal surface of the diffuser also experiences a low pressure, resulting in the generation of a negative thrust. The magnitude of the positive thrust provided by the lip is consistently sufficient to maintain a positive total thrust of the entire duct.
In this study, an investigation of the propeller at various rotation speeds in an unobstructed environment was conducted. As depicted in Figure 11, the thrust and torque generated by the duct and the propeller exhibit a proportional relationship to the dimensionless rotation speed as ω 2 / ω 0 2 . Here, the reference rotation speed ω 0 is defined as 5718 rpm. This implies that the force exerted by the duct and the propeller, as well as the opposing torque, is roughly proportional to the square of the propeller speed. According to the established definitions of thrust coefficient and power coefficient, it can be observed that the coefficients of the ducted propeller remain relatively constant irrespective of the rotation speed. This characteristic is evident in the coefficient curve depicted in Figure 9, which exhibits a linear trend with a slope approaching zero. At the peak rotation speed of 12,772 rpm, the total thrust generated by the propeller amounts to 31.74 N, with the propeller and the duct contributing approximately 16 N and 14 N, respectively. Under conditions of unobstructed hovering, it was observed that the propeller and the duct contribute approximately 53% and 47% of the total thrust, respectively. The diffusion coefficient, σ , of the ducted propeller examined in this study equals one. As discussed in Section 3.1, the thrust produced by the duct and the propeller should be approximately equal, providing additional evidence for the accuracy of the calculation method employed in this study.

3.2. The Influence of Water Surface

Figure 12 presents the variation curves of thrust and power for the ducted propeller in hover at a required rotation speed of 11,400 r/min at various heights above the water surface (abbreviated as heights). As depicted in the figure, the simulation results exhibit a general conformity with the experimental results. The curves exhibit the most significant variations when height is below one, with the water surface exerting the most substantial influence on the wake generated by the propeller. As the distance from the ground increases, the thrust coefficient of the propeller begins to increase, while the power coefficient of the propeller and the thrust coefficient of the duct decrease.
When height exceeds three, the differences in thrust and power are insignificant, suggesting that the presence of the water surface has a minimal impact on the propeller. When comparing the hovering conditions at the same revolution in an unobstructed environment with those near the water surface, it was observed that the duct thrust decreases, while the propeller thrust increases. However, due to the excessive loss of duct thrust, the overall thrust still exhibits a decreasing trend. Meanwhile, the rate at which the thrust of the duct is recovered is slower compared to that of the propeller.
When height is set to two, the propeller thrust remains relatively consistent with that observed in unobstructed environmental conditions. However, there is still a notable disparity in the duct thrust. As height increases, the impact of the water surface on the thrust and power of the ducted propeller diminishes, and the effect on thrust decreases at a slower rate compared to that on power. This phenomenon can be attributed to the fact that the primary source of power in the system is the propeller and its influence on the water surface should align with the propeller thrust, resulting in a quicker recovery speed. On the other hand, the duct is more susceptible to external factors, causing a delay in performance recovery. Consequently, the thrust and power of the ducted propeller exhibit inconsistent responses to variations in water-surface height during near-water hovering.
In conditions where there are no obstructions and the vehicle is hovering, the relationship between thrust, counter torque, and the square of speed is approximately linear. This means that the thrust coefficient and the counter torque coefficient remain relatively constant, as depicted in Figure 9a. However, in conditions where the vehicle is close to the water surface, the thrust coefficient and the counter torque coefficient vary depending on the height of the water surface. Additionally, at different ground heights, the relationship between thrust, counter torque, and the square of speed becomes non-linear. According to the discourse on the generation of duct thrust in Section 3.1, it can be attributed to alterations in pressure at the edge of the duct. However, it is important to acknowledge that the theoretical analysis presented in the preceding section is limited to one-dimensional steady-flow scenarios, specifically those involving unobstructed environment hovering conditions. It is also worth noting that this analysis does not consider any factors associated with pressure. The concept of thrust can be defined as the rate of change of momentum over a given period. If the outlet pressure deviates from the inlet pressure, the resulting pressure difference will impact the generated thrust.

4. Flow Field Characteristic Analysis

As described in the preceding section, a quantitative analysis was performed on the ducted propeller under near-surface hovering conditions using both experimental and simulation data. To investigate the mechanism of thrust loss, a numerical simulation was conducted to analyze the flow field of the propeller under identical conditions to the experimental setup. Specifically, the focus was on examining the flow conditions surrounding the propeller when hovering near the water surface.
When the propeller is in a hovering state above the water surface, the presence of the wake at the diffuser is obstructed by the water. This obstruction leads to an increase in the pressure difference between the regions before and after the propeller plate, thereby influencing the aerodynamic characteristics of both the duct and the propeller. Figure 13 illustrates the pressure coefficient curve of the propeller profile under two hovering conditions: an unobstructed environment and hovering at a height of 0.67 from the water surface. The chosen section corresponds to a position located at three-quarters of the radius of the propeller blade. In this context, X denotes the coordinates spanning from the leading edge to the trailing edge of the propeller blade section. It is evident from the figure that the lift generated by this section is primarily attributed to the disparity in pressure between the upper and lower sections. The curve obtained when hovering in an unobstructed environment is basically wrapped by the curve obtained when hovering near the water surface, indicating that the propeller plate lift of the former is less than that of the latter. This is consistent with the results shown in Figure 12.
As a result of the wake emanating from the outlet of the duct and its impact on the water surface, a concave deformation of the water surface occurs below (see Figure 14). This concave deformation leads to oblique jetting of the wake, resulting in the generation of a rebound airflow upon contact with the concave region of the water surface. Figure 15 illustrates the spatial distribution of velocity vectors surrounding the propeller on the y–z plane. Upon careful observation, it becomes evident that following the impact of the propeller’s wake with the water, it undergoes a rebound toward the lateral sides of the propeller. Subsequently, the jet flow is intermittently drawn in by the propeller, resulting in the formation of a closed, ring-shaped airflow. When comparing Figure 15 [39] to the vortex ring state typically observed in PIV experimentation in the literature (Figure 16), a distinct similarity can be observed in the distribution of the velocity vector around the propeller tip. Thus, it can be inferred that the propeller is currently in a state of a vortex ring. The phenomenon known as the vortex ring state occurs when a helicopter is in a vertical descent and the induced speed of the rotor is in the opposite direction to the relative airflow. At this juncture, when the rate of descent surpasses a specific threshold, a ring-shaped vortex configuration manifests around the rotor. The vortex state of the helicopter’s rotor induces an irregular and unstable airflow in its surroundings. This condition results in the rotor consuming engine power without efficiently generating lift, which is also known as ‘settling with power’.
In this study, the ducted propeller hovers vertically above the water surface, leading to the formation of a rebounding jet–water mixture. This mixture formed by the jet flow impacting the water surface is sucked into the duct through the lip, causing the propeller to enter a vortex ring state. The vortex can be described as a secondary low-energy fluid, consuming the overall energy of the system. The thrust produced by the duct itself diminishes because of the vortex’s influence, as depicted in Figure 12. The increase in the thrust of the propeller is due to the increase in pressure difference between the upper and lower wing surfaces caused by the obstruction of the jet flow by the water surface. However, power expenditure is incurred because the intake of rebound airflow into the duct necessitates the propeller to overcome its rebound speed. Consequently, in the presence of water-surface interference, the power required by the ducted propeller is typically greater than that in the absence of such interference. This observation indicates that the existence of a water surface negatively affects the performance of the ducted propeller, leading to a notable decrease in the overall thrust force and an increase in the power needed for propulsion.

5. Thrust Model

The near-surface thrust demonstrates significant nonlinearity because of the intense interaction between the propeller wake and the water surface. As discussed in Section 3, there is a significant correlation between the thrust and the height, h, measured from the water surface. The impact of the water surface on thrust cannot be adequately captured by solely considering the rotation speed of the propeller. Therefore, this study employed multivariate nonlinear regression analysis to build a model for estimating thrust near the water surface. Multivariate nonlinear regression analysis is a statistical technique utilized to establish nonlinear correlation models between dependent variables and a set of independent variables. Accurate regression processes can be conducted using datasets with known values. Based on previous research, it can be inferred that the near-surface thrust is influenced by the rotation speed and height of the thruster relative to the water surface. Therefore, the dependent variable can be defined as thrust, while the independent variables are propeller speed and height from the water surface. Among the sources utilized for regression analysis, the data comprise both simulated and experimental data.
In this study, the empirical model of thrust near water was established using polynomial fitting due to its reasonable flexibility and simple fitting process. It is noted that polynomials can provide good fits within the data range but can diverge wildly outside that range. Therefore, establishing regression fitting models using data covering the task space is acceptable in engineering applications, and generalization performance is not necessary. The fitting method chosen for this study is the least-squares method, known for its strong versatility. The loss function used in fitting is the least absolute residual method. After establishing the initial value and the expected function, the thrust of the propeller hovering above the water surface was subjected to multivariate nonlinear regression. The resulting multivariate linear regression equation is as follows:
F w a t e r s u r f = 0.461 0.04338 h 3.421 e 06 Ω + 0.0866 h 2 + 5.062 e 06 h Ω + 3.464 e 10 Ω 2 0.06034 h 3 5.084 e 06 h 2 Ω 7.002 e 12 h Ω 2 1.408 e 14 Ω 3
where F watersurf refers to the thrust generated by the propeller near the water surface. The variable h represents the height measured from the water surface, while Ω denotes the speed of the propeller. The division of the residual sum of squares by the total sum of squares equals 0.915, suggesting a good fit.
The thrust prediction results obtained from the model are depicted in Figure 17 for heights ranging from 0.1 to 0.5 m and revolutions ranging from 3000 to 13,000 rpm. Based on the empirical findings, the region beyond the capability boundary of the thruster motor was eliminated to ensure that the model accurately represents the thrust under actual operating conditions. Based on the work described in this section, the near-surface thrust of the thruster could be estimated, laying the foundation for subsequent work, such as building a dynamic model of the entire CDV.

6. Results

This study presented the results of aerodynamic characteristic experiments conducted on a ducted propeller of a water–air CDV. The objective of the study was to investigate the impact of the height of the propeller from the water surface on the thrust. Furthermore, numerical simulations of the propeller hovering above the water surface were conducted to analyze the underlying mechanism. Additionally, a multivariate nonlinear regression fitting technique was employed to build a thrust model for the propeller when hovering above the water surface. The specific conclusions are as follows:
(1) The numerical calculation methods based on the LBM demonstrated the ability to accurately calculate and determine the aerodynamic characteristics of the ducted propeller under the influence of the water surface. The calculated thrust and power values closely align with the experimental data, thus indicating the efficacy of this computational approach.
(2) The thrust and power of the ducted propeller are approximately proportional to the square of the propeller’s rotation speed. Under hovering conditions in an unobstructed environment, the duct and the propeller contribute approximately 47% and 53% of the total thrust, respectively.
(3) The influence of the water surface on the thrust generated by the ducted propeller diminishes with an increase in the height between the water surface and the propeller. When the height increases from 0.67 D to 2 D, there is a significant decrease in thrust loss. When the height increases from 2 D to 3 D, the gradual reduction in thrust loss tends toward zero, indicating that the propeller’s thrust has become comparable to the surrounding air conditions.
(4) The presence of the water surface hinders the diffusion of the jet flow from the ducted propeller, and the aerodynamic stability of the propeller is greatly affected by the water surface. The airflow generated by the rebound of the wake upon contact with the water surface is entrained into the propeller, resulting in the development of an unstable vortex state in the surrounding airflow.
(5) A relatively precise multi-variable nonlinear fitting model of the near-water-surface thrust of the propeller was established, enabling the evaluation of thrust.
The aerodynamic stability of CDVs is influenced by the unsteady flow caused by the water surface. Consequently, the design of a CDV’s propulsion system must consider the significant variations in the thrust at different heights above the water surface. In subsequent research, the proposed thrust model for hovering near a water surface will be incorporated into the CDV’s dynamic modeling to enhance the safety and performance of navigation.

Author Contributions

Conceptualization, Y.Z. and Z.H.; methodology, Y.Z. and L.G.; software, Y.Z.; validation, Z.H.; formal analysis, Y.Z.; investigation, Y.Z. and L.G.; resources, Z.H. and Y.Y.; writing—original draft preparation, Y.Z.; writing—review and editing, Y.Z., L.G., Z.H. and Y.Y.; visualization, Y.Z.; supervision, L.G. and Y.Y.; project administration, Z.H. and Y.Y.; funding acquisition, L.G. and Z.H. All authors have read and agreed to the published version of the manuscript.

Funding

This work is supported by the National Natural Science Foundation of China (NSFC) under Grant No. 42006169.

Institutional Review Board Statement

Not applicable.

Informed Consent Statement

Not applicable.

Data Availability Statement

Not applicable.

Conflicts of Interest

The authors declare no conflict of interest.

References

  1. Yao, G.; Li, Y.; Zhang, H.; Jiang, Y.; Wang, T.; Sun, F.; Yang, X. Review of hybrid aquatic-aerial vehicle (HAAV): Classifications, current status, applications, challenges and technology perspectives. Prog. Aerosp. Sci. 2023, 139, 100902. [Google Scholar] [CrossRef]
  2. Zeng, Z.; Lyu, C.; Bi, Y.; Jin, Y.; Lu, D.; Lian, L. Review of hybrid aerial underwater vehicle: Cross-domain mobility and transitions control. Ocean Eng. 2022, 248, 110840. [Google Scholar] [CrossRef]
  3. Zufferey, R.; Ancel, A.O.; Farinha, A.; Siddall, R.; Armanini, S.F.; Nasr, M.; Brahmal, R.V.; Kennedy, G.; Kovac, M. Consecutive aquatic jump-gliding with water-reactive fuel. Sci. Rob. 2019, 4, eaax7330. [Google Scholar] [CrossRef] [PubMed]
  4. Weisler, W.; Stewart, W.; Anderson, M.B.; Peters, K.J.; Gopalarathnam, A.; Bryant, M. Testing and Characterization of a Fixed Wing Cross-Domain Unmanned Vehicle Operating in Aerial and Underwater Environments. IEEE J. Oceanic Eng. 2018, 43, 969–982. [Google Scholar] [CrossRef]
  5. Yao, G.; Liang, J.; Wang, T.; Yang, X.; Liu, M.; Zhang, Y. Submersible unmanned flying boat: Design and experiment. In Proceedings of the International Conference on IEEE International Conference on Robotics and Biomimetics, Bali, Indonesia, 5–10 December 2014; pp. 1308–1313. [Google Scholar]
  6. Zou, Y.; You, C.; Tan, X.; Wang, Y.; Wang, J.; Li, C.; He, M.; Lv, K.; Zou, Y.; Song, H.; et al. Design and implementation of a gliding cross-domain vehicle. Ocean Eng. 2023, 280, 114549. [Google Scholar] [CrossRef]
  7. Wei, T.; Lu, D.; Zeng, Z.; Lian, L. Trans-Media Kinematic Stability Analysis for Hybrid Unmanned Aerial Underwater Vehicle. J. Mar. Sci. Eng. 2022, 10, 275. [Google Scholar] [CrossRef]
  8. Alzu’Bi, H.; Mansour, L.; Rawashdeh, O. Loon Copter: Implementation of a hybrid unmanned aquatic-aerial quadcopter with active buoyancy control. J. Robot. Syst. 2018, 35, 764–778. [Google Scholar] [CrossRef]
  9. Lyu, C.; Lu, D.; Xiong, C.; Hu, R.; Jin, Y.; Wang, J.; Zeng, Z.; Lian, L. Toward a gliding hybrid aerial underwater vehicle: Design, fabrication, and experiments. J. Field Rob. 2022, 39, 543–556. [Google Scholar] [CrossRef]
  10. Drews, P.L.J.; Neto, A.A.; Campos, M.F.M. Hybrid Unmanned Aerial Underwater Vehicle: Modeling and simulation. In Proceedings of the 2014 IEEE/RSJ International Conference on Intelligent Robots and Systems, Chicago, IL, USA, 14–18 September 2014; pp. 4637–4642. [Google Scholar]
  11. Leishman, J.G. Principles of Helicopter Aerodynamics, 2nd ed.; Cambridge University Press: New York, NY, USA, 2006; pp. 738–745. [Google Scholar]
  12. Goodson, K.W.; Grunwald, K.J.; NASA Langley Research Center is located in Hampton, VA, United States. Aerodynamic Characteristics of a Powered Semispan Tilting-Shrouded-Propeller VTOL Model in Hovering and Transition Flight; TN D-981; National Aeronautics and Space Administration: Washington, DC, USA, 1962.
  13. Yaggy, P.F.; Mort, K.W.; NASA Ames Research Center Moffett Field, CA, United States. A Wind-Tunnel Investigation of a 4-Foot-Diameter Ducted Fan Mounted on the Tip of a Semispan Wing; TN D-785; National Aeronautics and Space Administration: Washington, DC, USA, 1961.
  14. Mort, K.W.; NASA Ames Research Center Moffett Field, CA, United States. Performance Characteristics of a 4-Foot-Diameter Ducted Fan at Zero Angle of Attack for Several Fan Blade Angles; TN D-3122; National Aeronautics and Space Administration: Washington, DC, USA, 1965.
  15. Fleming, J.; Jones, T.; Ng, W.; Gelhausen, P.; Enns, D. Improving Control System Effectiveness for Ducted Fan VTOL UAVs Operating in Crosswinds. In Proceedings of the 2nd AIAA “Unmanned Unlimited” Conference and Workshop & Exhibit, San Diego, CA, USA, 15–18 September 2003. [Google Scholar]
  16. Martin, P.; Tung, C. Performance and Flowfield Measurements on a 10-inch Ducted Rotor VTOL UAV. In Proceedings of the 60th Annual Forum of the American Helicopter Society, Baltimore, MD, USA, 7–10 June 2004. [Google Scholar]
  17. Akturk, A.; Camci, C. Experimental and Computational Assessment of a Ducted-Fan Rotor Flow Model. J. Aircr. 2012, 49, 885–897. [Google Scholar] [CrossRef]
  18. Akturk, A.; Camci, C. Tip Clearance Investigation of a Ducted Fan Used in VTOL Unmanned Aerial Vehicles—Part I: Baseline Experiments and Computational Validation. J. Turbomach. 2013, 136, 021004. [Google Scholar] [CrossRef]
  19. Heyong, X.; Zhengyin, Y. Numerical Simulation and Comparison of Aerodynamic Characteristics between Ducted and IsolatedPropellers. J. Aerosp. Power 2011, 26, 2820–2825. (In Chinese) [Google Scholar]
  20. Heyong, X.; Zhengyin, Y. Numerical Simulation of Ducted-Propeller System Using Unstructured Overset Grids. Acta Aerodyn. Sin. 2013, 31, 306–309. (In Chinese) [Google Scholar]
  21. Xiaohua, L.; Zheng, G.; Qingyang, C. Numerical Simulation of Ducted Rotor’s Aerodynamic Characteristics. J. Natl. Univ. Def. Technol. 2015, 37, 31–36. (In Chinese) [Google Scholar] [CrossRef]
  22. Yangping, D.; Baigang, M.; Yan, Z. Research on Numerical Calculation for Aerodynamic Characteristics Analysis of Ducted Fan. J. Northwest. Polytech. Univ. 2018, 36, 26–32. (In Chinese) [Google Scholar] [CrossRef]
  23. Han, H.; Xiang, C.; Xu, B.; Yu, Y. Aerodynamic performance and analysis of a hovering micro-scale shrouded rotor in confined environment. Adv. Mech. Eng. 2019, 11, 1687814018823327. [Google Scholar] [CrossRef]
  24. Gourdain, N.; Singh, D.; Jardin, T.; Prothin, S. Analysis of the Turbulent Wake Generated by a Micro Air Vehicle Hovering near the Ground with a Lattice Boltzmann Method. J. Am. Helicopter Soc. 2017, 62, 1–12. [Google Scholar] [CrossRef]
  25. Ghosh, S.; Das, A.K.; Vaidya, A.A.; Mishra, S.C.; Das, P.K. Numerical Study of Dynamics of Bubbles Using Lattice Boltzmann Method. Ind. Eng. Chem. Res. 2012, 51, 6364–6376. [Google Scholar] [CrossRef]
  26. Watanabe, S.; Kawahara, J.; Aoki, T.; Sugihara, K.; Takase, S.; Moriguchi, S.; Hashimoto, H. Free-surface flow simulations with floating objects using lattice Boltzmann method. Eng. Appl. Comput. Fluid Mech. 2023, 17, 2211143. [Google Scholar] [CrossRef]
  27. Romani, G.; Grande, E.; Avallone, F.; Ragni, D.; Casalino, D. Performance and noise prediction of low-Reynolds number propellers using the Lattice-Boltzmann method. Aerosp. Sci. Technol. 2022, 125, 107086. [Google Scholar] [CrossRef]
  28. Thibault, S.; Holman, D.; Garcia, S.; Trapani, G. CFD Simulation of a Quad-Rotor UAV with Rotors in Motion Explicitly Modeled Using an LBM Approach with Adaptive Refinement. In Proceedings of the 55th AIAA Aerospace Sciences Meeting, Aerospace Sciences Meeting, Grapevine, TX, USA, 9–13 January 2017; p. 0583. [Google Scholar]
  29. Wang, C.; Hu, Z.; Yang, Y.; Xu, D.; Zhou, Z. Electric Water-Air Dual-Purpose Propeller. China Patent CN112406434B, 18 January 2022. (In Chinese). [Google Scholar]
  30. Boltzmann, L. Weitere Studien über das Wärmegleichgewicht unter Gasmolekülen. In Kinetische Theorie II: Irreversible Prozesse Einführung und Originaltexte; Brush, S.G., Ed.; Vieweg+Teubner Verlag: Wiesbaden, Germany, 1970; pp. 115–225. [Google Scholar]
  31. Premnath, K.N.; Banerjee, S. Incorporating forcing terms in cascaded lattice Boltzmann approach by method of central moments. Phys. Rev. E 2009, 80, 036702. [Google Scholar] [CrossRef]
  32. Suga, K.; Kuwata, Y.; Takashima, K.; Chikasue, R. A D3Q27 multiple-relaxation-time lattice Boltzmann method for turbulent flows. Comput. Math. Appl. 2015, 69, 518–529. [Google Scholar] [CrossRef]
  33. Chávez-Modena, M.; Martínez, J.L.; Cabello, J.A.; Ferrer, E. Simulations of Aerodynamic Separated Flows Using the Lattice Boltzmann Solver XFlow. Energies 2020, 13, 5146. [Google Scholar] [CrossRef]
  34. Imamura, T.; Suzuki, K.; Nakamura, T.; Yoshida, M. Acceleration of steady-state lattice Boltzmann simulations on non-uniform mesh using local time step method. J. Comput. Phys. 2005, 202, 645–663. [Google Scholar] [CrossRef]
  35. Peng, G.; Xi, H.; Duncan, C.; Chou, S.-H. Lattice Boltzmann method on irregular meshes. Phys. Rev. E 1998, 58, R4124–R4127. [Google Scholar] [CrossRef]
  36. Ducros, F.; Nicoud, F.; Poinsot, T. Wall-Adapting Local Eddy-Viscosity Models for Simulations in Complex Geometries. 1998. Available online: https://www.researchgate.net/publication/248366844_Wall-Adapting_Local_Eddy-Viscosity_Models_for_Simulations_in_Complex_Geometries (accessed on 21 July 2023).
  37. Bodony, D.J. Analysis of sponge zones for computational fluid mechanics. J. Comput. Phys. 2006, 212, 681–702. [Google Scholar] [CrossRef]
  38. Roache, P.J. Quantification of Uncertainty in Computational Fluid Dynamics. Annu. Rev. Fluid Mech. 1997, 29, 123–160. [Google Scholar] [CrossRef]
  39. Green, R.B.; Gillies, E.A.; Brown, R.E. The flow field around a rotor in axial descent. J. Fluid Mech. 2005, 534, 237–261. [Google Scholar] [CrossRef]
Figure 1. Schematic diagram of the structure of the CDV, HAIKUN.
Figure 1. Schematic diagram of the structure of the CDV, HAIKUN.
Jmse 11 01708 g001
Figure 2. (a) Schematic diagram of the ducted propeller structure. (b) Three-dimensional model for numerical calculations.
Figure 2. (a) Schematic diagram of the ducted propeller structure. (b) Three-dimensional model for numerical calculations.
Jmse 11 01708 g002
Figure 3. D3Q27 lattice model.
Figure 3. D3Q27 lattice model.
Jmse 11 01708 g003
Figure 4. Lattice structure with different lattice resolutions.
Figure 4. Lattice structure with different lattice resolutions.
Jmse 11 01708 g004
Figure 5. Schematic diagram of computing domain division.
Figure 5. Schematic diagram of computing domain division.
Jmse 11 01708 g005
Figure 6. Estimation of discrete uncertainty.
Figure 6. Estimation of discrete uncertainty.
Jmse 11 01708 g006
Figure 7. (a) Experimental device for testing hovering in an unobstructed environment. (b) Experimental device for testing hovering near a water surface.
Figure 7. (a) Experimental device for testing hovering in an unobstructed environment. (b) Experimental device for testing hovering near a water surface.
Jmse 11 01708 g007
Figure 8. Diagram of test principle.
Figure 8. Diagram of test principle.
Jmse 11 01708 g008
Figure 9. (a) Thrust and power versus rotation speed at various RPMs in an unobstructed environment. (b) Thrust and power versus speed at various distances from the water surface at a constant RPM.
Figure 9. (a) Thrust and power versus rotation speed at various RPMs in an unobstructed environment. (b) Thrust and power versus speed at various distances from the water surface at a constant RPM.
Jmse 11 01708 g009
Figure 10. Thrust components of the ducted propeller.
Figure 10. Thrust components of the ducted propeller.
Jmse 11 01708 g010
Figure 11. Effect of rotational speed.
Figure 11. Effect of rotational speed.
Jmse 11 01708 g011
Figure 12. (a) Thrust versus speed at various distances from the water surface at a constant RPM. (b) Thrust versus speed at various distances from the water surface at a constant RPM.
Figure 12. (a) Thrust versus speed at various distances from the water surface at a constant RPM. (b) Thrust versus speed at various distances from the water surface at a constant RPM.
Jmse 11 01708 g012
Figure 13. Pressure coefficient of a propeller blade section.
Figure 13. Pressure coefficient of a propeller blade section.
Jmse 11 01708 g013
Figure 14. Cloud map of water/air volume fraction.
Figure 14. Cloud map of water/air volume fraction.
Jmse 11 01708 g014
Figure 15. Diagram of velocity vector.
Figure 15. Diagram of velocity vector.
Jmse 11 01708 g015
Figure 16. Velocity field around rotor tip in [39].
Figure 16. Velocity field around rotor tip in [39].
Jmse 11 01708 g016
Figure 17. Three-dimensional map representation of the results obtained after applying the proposed model.
Figure 17. Three-dimensional map representation of the results obtained after applying the proposed model.
Jmse 11 01708 g017
Table 1. Main parameters of the ducted propeller.
Table 1. Main parameters of the ducted propeller.
ParametersValues
number of blades12
rotor diameter, mm150
twist angle, θnarctan(1/ 3 r)
skew angle, θs10 sin(2 π r 2 )/r
rotation speed, r/min11,400
Table 2. The impact of resolution on calculation results.
Table 2. The impact of resolution on calculation results.
NumberResolution (m)ThrustGCI (%)
40.0050.041713.99
30.00250.040210.26
20.001250.03917.53
10.0006250.03845.51
Disclaimer/Publisher’s Note: The statements, opinions and data contained in all publications are solely those of the individual author(s) and contributor(s) and not of MDPI and/or the editor(s). MDPI and/or the editor(s) disclaim responsibility for any injury to people or property resulting from any ideas, methods, instructions or products referred to in the content.

Share and Cite

MDPI and ACS Style

Zhao, Y.; Geng, L.; Yang, Y.; Hu, Z. Research on Aerodynamic Characteristics of a Ducted Propeller Hovering near the Water Surface Based on a Lattice Boltzmann Method. J. Mar. Sci. Eng. 2023, 11, 1708. https://doi.org/10.3390/jmse11091708

AMA Style

Zhao Y, Geng L, Yang Y, Hu Z. Research on Aerodynamic Characteristics of a Ducted Propeller Hovering near the Water Surface Based on a Lattice Boltzmann Method. Journal of Marine Science and Engineering. 2023; 11(9):1708. https://doi.org/10.3390/jmse11091708

Chicago/Turabian Style

Zhao, Yifeng, Lingbo Geng, Yi Yang, and Zhiqiang Hu. 2023. "Research on Aerodynamic Characteristics of a Ducted Propeller Hovering near the Water Surface Based on a Lattice Boltzmann Method" Journal of Marine Science and Engineering 11, no. 9: 1708. https://doi.org/10.3390/jmse11091708

APA Style

Zhao, Y., Geng, L., Yang, Y., & Hu, Z. (2023). Research on Aerodynamic Characteristics of a Ducted Propeller Hovering near the Water Surface Based on a Lattice Boltzmann Method. Journal of Marine Science and Engineering, 11(9), 1708. https://doi.org/10.3390/jmse11091708

Note that from the first issue of 2016, this journal uses article numbers instead of page numbers. See further details here.

Article Metrics

Back to TopTop