Research on the Effect of Burial Depth on The Bearing Characteristics of Three Helical Piles Jacket Foundation for Offshore Wind Turbines
Abstract
:1. Introduction
2. Experimental Design
2.1. Experimental Model Design
2.2. Test Loading Devices
2.3. Test Sandy Soil
2.4. Data Type and Sensors Used
- (1)
- Displacement load data
- (2)
- Pile shaft force
- (3)
- Base displacement
- (4)
- Soil pressure around the spiral blade
2.5. Test Procedure
3. Comparison of Load-Bearing Performance of Three Helical Piles Jacket Foundation at Different Burial Depths
3.1. Bearing Capacity at Different Burial Depths
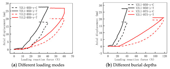
3.1.1. Compression Load on a Single Pile (d-y)
3.1.2. Single Pile Tensioned Working Condition (d-my)
3.2. Bearing Mode and Deformation Characteristics of Foundation under Different Burial Depth
3.2.1. Single Pile under Pressure Working Condition (d-y)
3.2.2. Single Pile Tensioned Working Condition (d-my)
4. Conclusions
- (1)
- The embedding depth wields a profound influence on the foundation’s load-bearing capacity. Under the circumstance where the base of the three helix pile guide frame is embedded at 6.5 times the outer diameter of the blade, the bearing capacity far surpasses that of when it is embedded at 4 times the blade diameter. Notably, in the d-my direction, the bearing capacity at 6.5 times the blade diameter approximates twice that of 4 times the blade diameter.
- (2)
- In shallow embeddings, the relative magnitude of load-bearing capacity between tension and compression piles exhibits a wider gap. This leads to an escalation in the disparity between both sides of the foundation with the augmentation of tension piles’ blade count. Consequently, it hampers the potential of compression piles’ load-bearing capacity, rendering an unfavorable scenario for bearing capacity and failure modes. In essence, in shallow embeddings, the relative compression-side load-bearing capacity diminishes compared to that of deep embeddings, accentuating the foundation’s shortcoming in this aspect. The augmentation or reduction of blades yields a considerable impact on pile load-bearing capacity and deformation characteristics. The load-bearing capacity of compression piles is restricted, while tension piles undergo greater displacement, leading to reduced soil pressure on compression piles.
- (3)
- In contrast to deep embeddings, in shallow embeddings, the displacement of compression piles grows at a swifter pace, eventually surpassing that of tension piles. Moreover, the disparity in displacement of compression piles augments with diminishing embedding depth. The impact of blade augmentation on the foundation’s load-bearing capacity and deformation characteristics is evident, yet its effectiveness hinges on whether the enhancement occurs on the tension or compression side. Furthermore, the distribution of soil pressure on compression and tension piles exhibits contrasting trends.
Author Contributions
Funding
Conflicts of Interest
References
- Bak, H.M.; Halabian, A.M.; Hashemolhosseini, H.; Rowshanzamir, M. Axial response and material efficiency of tapered helical piles. J. Rock Mech. Geotech. Eng. 2021, 13, 176–187. [Google Scholar] [CrossRef]
- Spagnoli, G.; Cavalcanti Tsuha, C.D.H. A review on the behavior of helical piles as a potential offshore foundation system. Mar. Georesources Geotechnol. 2020, 38, 1013–1036. [Google Scholar] [CrossRef]
- Byrne, B.W.; Houlsby, G.T. Helical piles: An innovative foundation design option for offshore wind turbines. Philos. Trans. R. Soc. a-Math. Phys. Eng. Sci. 2015, 373, 20140081. [Google Scholar] [CrossRef] [PubMed]
- Spagnoli, G.; Cavalcanti Tsuha, C.d.H.; Oreste, P.; Solarte, C.M.M. Estimation of Uplift Capacity and Installation Power of Helical Piles in Sand for Offshore Structures. J. Waterw. Port Coast. Ocean Eng. 2018, 144, 04018019. [Google Scholar] [CrossRef]
- Ding, H.; Wang, L.; Zhang, P.; Liang, Y.; Tian, Y.; Qi, X. The Recycling Torque of a Single-Plate Helical Pile for Offshore Wind Turbines in Dense Sand. Appl. Sci. 2019, 9, 4105. [Google Scholar] [CrossRef]
- Emirler, B.; Tolun, M.; Yildiz, A. Investigation on determining uplift capacity and failure mechanism of the pile groups in sand. Ocean. Eng. 2020, 218, 108145. [Google Scholar] [CrossRef]
- Alwalan, M.; Alnuaim, A. Axial Loading Effect on the Behavior of Large Helical Pile Groups in Sandy Soil. Arab. J. Sci. Eng. 2022, 47, 5017–5031. [Google Scholar] [CrossRef]
- Liu, Z.; Kong, G.; Wen, L.; Wang, Z.H. Model tests on uplift and lateral bearing characteristics of inclined helical pile group embedded in sand. Rock Soil Mech. 2021, 42, 1944–1950. [Google Scholar]
- Dong, T.; Zhang, Y.; Li, S.; Huang, L. Bearing capacity of screw pile group determined by inclined pull-out test. Chin. J. Geotech. Eng. 2008, 30, 429–433. [Google Scholar]
- Dong, T.; Liang, L. Solution of load-settlement function of single screw pile under axial pressure. Chin. J. Geotech. Eng. 2007, 29, 1483–1487. [Google Scholar]
- George, B.E.; Banerjee, S.; Gandhi, S.R. Numerical analysis of helical piles in cohesionless soil. Int. J. Geotech. Eng. 2020, 14, 361–375. [Google Scholar] [CrossRef]
- Vignesh, V.; Muthukumar, M. Experimental and numerical study of group effect on the behavior of helical piles in soft clays under uplift and lateral loading. Ocean. Eng. 2023, 268, 113500. [Google Scholar] [CrossRef]
- Chong, G. Optimization of offshore wind power multi pile jacket foundation jacket. Technol. Style 2017, 128–129+147. [Google Scholar] [CrossRef]
- Zhou, K.; Zhang, X.; Zeng, Q. Discussion design of multiple jacket for offshore wind turbines. Shanxi Archit. 2015, 41, 65–67. [Google Scholar]
- Livneh, B.; Naggar, M.E. Axial testing and numerical modeling of square shaft helical piles under compressive and tensile loading. Can. Geotech. J. 2008, 45, 1142–1155. [Google Scholar] [CrossRef]
- Clemence, S.P. Uplift behavior of anchor foundations in soil. In Proceedings of the Session Sponsored by the Geotechnical Engineering Division of the American Society of Civil Engineers in Conjunction with the ASCE Convention, Detroit, MI, USA, 24 October 1985. [Google Scholar]
- Mitsch, M.P.; Clemence, S.P. The uplift capacity of helix anchors in sand. In Uplift Behavior of Anchor Foundations in Soil; American Society of Civil Engineers: Reston, VA, USA, 1985. [Google Scholar]
- Mooney, J.S.; Adamczak, S.; Clemence, S.P. Uplift Capacity of Helical Anchors in Clay and Silt. In Uplift Behavior of Anchor Foundations in Soil; American Society of Civil Engineers: Reston, VA, USA, 1985. [Google Scholar]
- Mukherjee, S.; Kumar, L.; Choudhary, A.K.; Babu, G.S. Pullout resistance of inclined anchors embedded in geogrid reinforced sand. Geotext. Geomembr. 2021, 49, 1368–1379. [Google Scholar] [CrossRef]
- Rao, S.N.; Prasad, Y.V.S.N. Estimation of uplift capacity of helical anchors in clays. Geotech. Eng. 1993, 119, 352–357. [Google Scholar] [CrossRef]
- Abdrabbo, F.M.; El Wakil, A.Z. Laterally loaded helical piles in sand. Alex. Eng. J. 2016, 55, 3239–3245. [Google Scholar] [CrossRef]
- Spagnoli, G. Some considerations regarding the use of helical piles as foundation for offshore structures. Soil Mech. Found. Eng. 2013, 50, 102–110. [Google Scholar] [CrossRef]






















| Dr | k (cm/s) | φ (°) | Gs | c (kPa) | W (%) | e |
|---|---|---|---|---|---|---|
| 0.45 | 0.0039 | 31.8 | 2.67 | 2.5 | 22.41 | 0.57 |
Disclaimer/Publisher’s Note: The statements, opinions and data contained in all publications are solely those of the individual author(s) and contributor(s) and not of MDPI and/or the editor(s). MDPI and/or the editor(s) disclaim responsibility for any injury to people or property resulting from any ideas, methods, instructions or products referred to in the content. |
© 2023 by the authors. Licensee MDPI, Basel, Switzerland. This article is an open access article distributed under the terms and conditions of the Creative Commons Attribution (CC BY) license (https://creativecommons.org/licenses/by/4.0/).
Share and Cite
Ouyang, C.; Luo, J.; Wang, T.; Zhang, P. Research on the Effect of Burial Depth on The Bearing Characteristics of Three Helical Piles Jacket Foundation for Offshore Wind Turbines. J. Mar. Sci. Eng. 2023, 11, 1703. https://doi.org/10.3390/jmse11091703
Ouyang C, Luo J, Wang T, Zhang P. Research on the Effect of Burial Depth on The Bearing Characteristics of Three Helical Piles Jacket Foundation for Offshore Wind Turbines. Journal of Marine Science and Engineering. 2023; 11(9):1703. https://doi.org/10.3390/jmse11091703
Chicago/Turabian StyleOuyang, Changyang, Jianhua Luo, Tingyuan Wang, and Puyang Zhang. 2023. "Research on the Effect of Burial Depth on The Bearing Characteristics of Three Helical Piles Jacket Foundation for Offshore Wind Turbines" Journal of Marine Science and Engineering 11, no. 9: 1703. https://doi.org/10.3390/jmse11091703
APA StyleOuyang, C., Luo, J., Wang, T., & Zhang, P. (2023). Research on the Effect of Burial Depth on The Bearing Characteristics of Three Helical Piles Jacket Foundation for Offshore Wind Turbines. Journal of Marine Science and Engineering, 11(9), 1703. https://doi.org/10.3390/jmse11091703
