Geochemical Characterization of Sediments from the Bibione Coastal Area (Northeast Italy): Details on Bulk Composition and Particle Size Distribution
Abstract
:1. Introduction
2. Study Area
3. Materials and Methods
- -
- Sorting (σ): σ < 0.35 Φ—very well sorted; 0.35 Φ ≤ σ < 0.50 Φ—well sorted; 0.50 Φ ≤ σ < 1.00 Φ—moderately sorted; 1.00 Φ ≤ σ < 2.00 Φ—poorly sorted; 2.00 Φ ≤ σ < 4.00 Φ—very poorly sorted; and σ ≥ 4.00 Φ—extremely poorly sorted.
- -
- Skewness (Sk): −1.00 ≤ Sk < −0.30—very negative skewed; −0.30 ≤ Sk < 0.10—negative skewed; −0.10 ≤ Sk < 0.10—nearly symmetrical; 0.10 ≤ Sk < 0.30—positive skewed; and 0.30 ≤ Sk ≤ 1.00—very positive skewed.
- -
- Kurtosis (K): K < 0.67—very platykurtic; 0.67 ≤ K < 0.90 platykurtic; 0.90 ≤ K < 1.11—mesokurtic; 1.11 ≤ K < 1.50—leptokurtic; 1.50 ≤ K < 3.00—very leptokurtic; and K ≥ 3.00—extremely leptokurtic.
- -
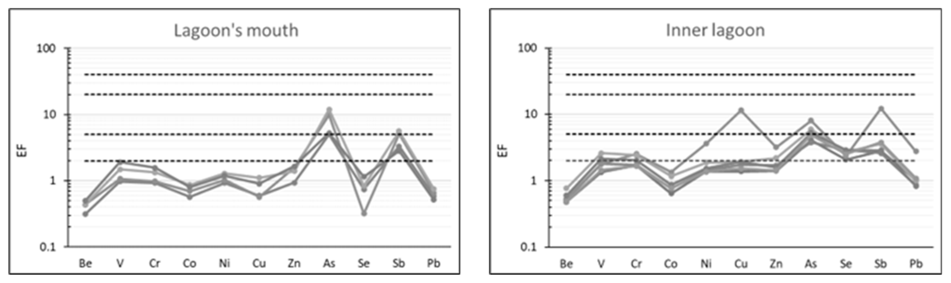
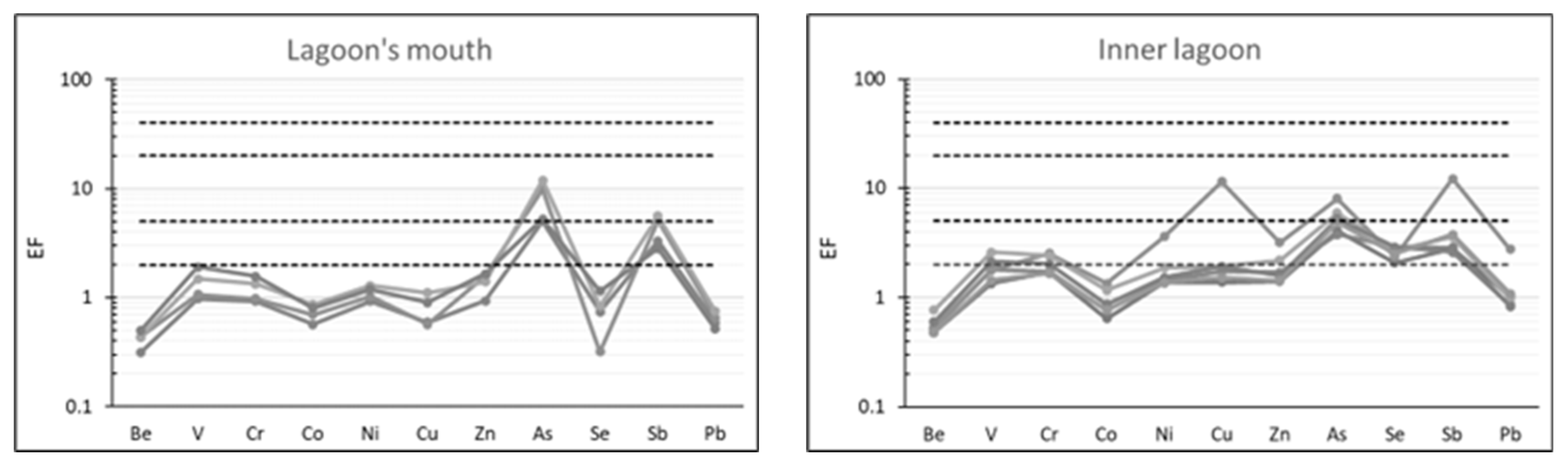
- Enrichment Factor (EF): This index is commonly used to speculate on the origin of elements in soils, lake sediments, peat, tailings, and other environmental materials [31]. EF is calculated using the following formula:where Ci represents the concentration of element i in the sample of interest and Cie is the concentration of the immobile element in the sample of interest or in the reference sample. Thus, (Ci/Cie)s is the ratio of the heavy metal to the immobile element in the sample of interest, while the ratio (Ci/Cie)rs is relative to the reference sample [32]. Typically, immobile elements such as Al, Li, Sc, Zr, Ti, Fe, or Mn are considered as reference elements [31]. In this study, Al was used as it is suitable for grain size in most sediment/soil types [31]. As reference values, the upper continental values proposed by Wedepohl (1995) [33,34] were used. Generally, five contamination categories are recognized based on EF: EF < 2—depletion to mineral enrichment; 2 ≤ EF < 5—moderate enrichment; 5 ≤ EF < 20—significant enrichment; 20 ≤ EF < 40—very high enrichment; and EF > 40—extremely high enrichment [35].EF = (Ci/Cie)s/(Ci/Cie)rs
- -
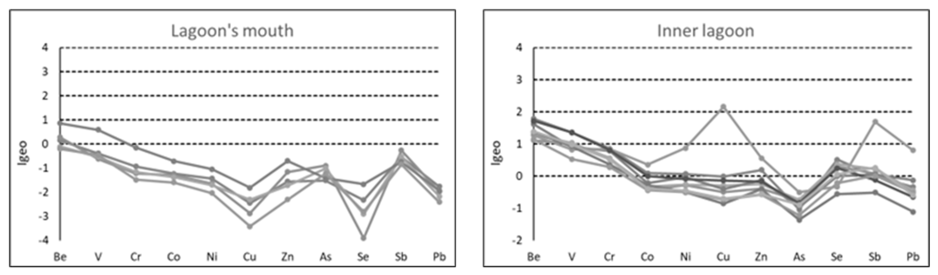
- Geoaccumulation Index (Igeo): This index is used to determine and quantify metal contamination in sediments by comparing current concentrations with pre-industrial levels [36]. Igeo is calculated using the following formula:where Ci is the concentration of metal i in the sediment, Cri is the background concentration or reference value of metal i, and 1.5 is a correction factor. For this study, the background values used were those of Be, V, Cr, Co, Ni, Cu, Zn, As, Se, Sb, and Pb in deep soils of the northeastern coastal depositional unit in the Veneto region, as defined by the Regional Agency for Environmental Prevention of the Veneto Region [30]. Igeo is generally classified into seven classes: Igeo ≤ 0—unpolluted; 0 < Igeo ≤ 1—unpolluted to moderately polluted; 1 < Igeo ≤ 2—moderately polluted; 2 < Igeo ≤ 3—moderately polluted to strongly polluted; 3 < Igeo ≤ 4—strongly polluted; 4 < Igeo ≤ 5—strongly polluted to extremely polluted; Igeo > 5—extremely polluted [37].Igeo = log2[Ci/(1.5Cri)]
- -
- Contamination Factor (CF): This index is quantified by the ratio between the concentration of the chemical element under investigation and its pre-industrial concentration in the region under study [38]. This index is calculated by the following equation:where Ci is the concentration of the examined element, and Cri is the pre-industrial concentration of the element. Ideally, Ci should be an average value from at least five sampling sites [39]. For this study, the background values used were those of Be, V, Cr, Co, Ni, Cu, Zn, As, Se, Sb, and Pb in deep soils of the northeastern coastal depositional unit in the Veneto region, as defined by the Regional Agency for Environmental Prevention of the Veneto Region [30]. The CF is generally classified into the following classes: CF < 1—low contamination; 1 ≤ CF ≤ 3—moderate contamination; 3 ≤ CF ≤ 6—considerable contamination; and CF > 6—very high contamination [38,39].CF = Ci/Cri
- -
- Pollution Load Index (PLI): This index is a tool used to evaluate the quality of sediments [40]. This index is calculated by the following equation:where CF1, CF2, and CFn are the Contamination Factors of elements 1, 2, and n, respectively. This index is divided into three categories: PLI > 1—polluted; PLI = 1—baseline levels of pollution; and PLI < 1—not polluted [41,42].PLI = (CF1 × CF2 × CFn)1/n
4. Results
4.1. Coastal Samples
4.1.1. Texture Analysis
4.1.2. Geochemical Analysis
4.1.3. Pollution Indexes
4.2. Lagoon Samples
4.2.1. Texture Analysis
4.2.2. Geochemical Analysis
4.2.3. Pollution Indexes
5. Discussion
5.1. Coastal Samples
- The coastal area of Bibione is heavily urbanized and used for tourism purposes, resulting in the presence of several beach resorts and motorized beach cleaning activities, among others. Sampling was carried out in July during the peak of the tourist summer season, and the results of a single campaign do not allow for a qualitative and quantitative assessment of the impact of anthropogenic activities;
- Over the years, the beaches of Bibione have undergone beach nourishment interventions, especially in the northeastern area;
- Friedman (1961) [44] demonstrated that river sands generally exhibit positive skewness, and Bibione is located on one of the lobes of the bicuspidate delta formed at the mouth of the Tagliamento River. However, it is difficult to consider the sands of the beaches of Bibione as river sands, as they are exposed to wind and waves, and there is no hydrodynamic influence from the Tagliamento River;
- Storm events can lead to sediment redistribution, which is also reflected in the skewness parameter. Generally, storm events result in an increase in grain size on the beach due to higher wave energy. However, in extreme cases, the water level can reach the dune system, causing erosion and redistribution of fine sediments that constitute the dunes onto the beach. This leads to a reduction in grain size, which is associated with a shift towards positive skewness values [47]. The Bibione area was impacted approximately nine months before the sampling date, between 27 and 30 October 2018, by an intense extreme storm event. This event, named “Vaia,” brought winds reaching 200 km/h in the Veneto, Friuli, and Trentino inland regions [48], and it caused significant damage along the Venetian coast as well. Weather data from stations in the city of Lignano Sabbiadoro (northeast wing of the Tagliamento River delta) indicated gusts of wind reaching 93 km/h [49]. According to authorities, the effects of the storm resulted in the removal of approximately 100 thousand cubic meters of sand from the beach. However, it remains challenging to attribute the high skewness values observed in all samples from Bibione beaches solely to the effects of the Vaia storm, even though it did impact the dune system. Indeed, dunes are only present in the areas near the mouth of the Baseleghe lagoon and close to the mouth of the Tagliamento River. In the rest of the coast, they were largely depleted during the intensive urbanization period of the 1960s.
5.2. Lagoon Samples
6. Conclusions
Author Contributions
Funding
Data Availability Statement
Acknowledgments
Conflicts of Interest
References
- Neumann, B.; Vafeidis, A.T.; Zimmermann, J.; Nicholls, R.J. Future Coastal Population Growth and Exposure to Sea-Level Rise and Coastal Flooding—A Global Assessment. PLoS ONE 2015, 10, e0131375. [Google Scholar] [CrossRef]
- Lotze, H.K.; Lenihan, H.S.; Bourque, B.J.; Bradbury, R.H.; Cooke, R.G.; Kay, M.C.; Kidwell, S.M.; Kirby, M.X.; Peterson, C.H.; Jackson, J.B.C.; et al. Depletion, Degradation, and Recovery Potential of Estuaries and Coastal Seas. Science 2006, 312, 1806–1809. [Google Scholar] [CrossRef] [PubMed]
- He, Q.; Silliman, B.R. Climate Change, Human Impacts, and Coastal Ecosystems in the Anthropocene. Curr. Biol. 2019, 29, R1021–R1035. [Google Scholar] [CrossRef]
- He, Q.; Bertness, M.D.; Bruno, J.F.; Li, B.; Chen, G.; Coverdale, T.C.; Altieri, A.H.; Bai, J.; Sun, T.; Pennings, S.C.; et al. Economic Development and Coastal Ecosystem Change in China. Sci. Rep. 2014, 4, 5995. [Google Scholar] [CrossRef] [PubMed]
- Pérez-Ruzafa, A.; Marcos, C.; Pérez-Ruzafa, I.M. Mediterranean Coastal Lagoons in an Ecosystem and Aquatic Resources Management Context. Phys. Chem. Earth Parts A/B/C 2011, 36, 160–166. [Google Scholar] [CrossRef]
- Tagliapietra, D.; Sigovini, M.; Ghirardini, A.V. A Review of Terms and Definitions to Categorise Estuaries, Lagoons and Associated Environments. Mar. Freshw. Res. 2009, 60, 497. [Google Scholar] [CrossRef]
- Bosa, S.; Petti, M.; Pascolo, S. Improvement in the Sediment Management of a Lagoon Harbor: The Case of Marano Lagunare, Italy. Water 2021, 13, 3074. [Google Scholar] [CrossRef]
- El Ouaty, O.; El M’rini, A.; Nachite, D.; Marrocchino, E.; Marin, E.; Rodella, I. Assessment of the Heavy Metal Sources and Concentrations in the Nador Lagoon Sediment, Northeast-Morocco. Ocean Coast. Manag. 2022, 216, 105900. [Google Scholar] [CrossRef]
- Glasby, G.; Szefer, P.; Geldon, J.; Warzocha, J. Heavy-Metal Pollution of Sediments from Szczecin Lagoon and the Gdansk Basin, Poland. Sci. Total Environ. 2004, 330, 249–269. [Google Scholar] [CrossRef]
- Youssef, M.; El-Sorogy, A. Environmental Assessment of Heavy Metal Contamination in Bottom Sediments of Al-Kharrar Lagoon, Rabigh, Red Sea, Saudi Arabia. Arab. J. Geosci. 2016, 9, 474. [Google Scholar] [CrossRef]
- Shetaia, S.A.; Abu Khatita, A.M.; Abdelhafez, N.A.; Shaker, I.M.; El Kafrawy, S.B. Human-Induced Sediment Degradation of Burullus Lagoon, Nile Delta, Egypt: Heavy Metals Pollution Status and Potential Ecological Risk. Mar. Pollut. Bull. 2022, 178, 113566. [Google Scholar] [CrossRef]
- European Parliament. Directive 2008/56/EC of the European Parliament and of the Council—Establishing a Framework for Community Action in the Field of Marine Environmental Policy (Marine Strategy Framework Directive). Off. J. Eur. Parliament. 2008, 26, 136–157. [Google Scholar]
- European Commission. Report from the Commission to the European Parliament and to the Council on the Implementation of the Marine Strategy Framework Directive (Directive 2008/56/EC); COM(2020) 259 Final; European Commission: Brussels, Belgium, 2020; p. 34. [Google Scholar]
- European Commission. Communication from the Commission—The European Green Deal; COM(2019) 640 final; European Commission: Brussels, Belgium, 2019; p. 24. [Google Scholar]
- Castellarin, A.; Nicolich, R.; Fantoni, R.; Cantelli, L.; Sella, M.; Selli, L. Structure of the Lithosphere beneath the Eastern Alps (Southern Sector of the TRANSALP Transect). Tectonophysics 2006, 414, 259–282. [Google Scholar] [CrossRef]
- Fontana, A. L’evoluzione Geomorfologica Della Bassa Pianura Friulana e Le Sue Relazioni Con Le Dinamiche Insediative Antiche. In Monografie del Museo Friulano di Storia Naturale; Museo Friulano di Storia Naturale: Udine, Italy, 2006; Volume 46. [Google Scholar]
- Fontana, A.; Mozzi, P.; Bondesan, A. Late Pleistocene Evolution of the Venetian–Friulian Plain. Rend. Fis. Acc. Lincei 2010, 21, 181–196. [Google Scholar] [CrossRef]
- Bondesan, A.; Meneghel, M. Geomorfologia Della Provincia Di Venezia; Bondesan, A., Meneghel, M., Eds.; ESEDRA: Padova, Italy, 2004; p. 195.217. [Google Scholar]
- Marocco, R. Evoluzione Quaternaria Della Laguna Di Marano (Friuli Venezia Giulia). Il Quat. 1989, 2, 125–137. [Google Scholar]
- Marocco, R. Evoluzione Tardopleistocenica-Olocenica Del Delta Del F. Tagliamento E Delle Lagune Di Marano E Grado (Golf. Di Trieste). Il Quat. 1989, 4, 223–232. [Google Scholar]
- Rosato, P.; Stellin, G. A Multi-Criteria Approach to Territorial Management: The Case of the Caorle and Bibione Lagoon Nature Park. Agric. Syst. 1993, 41, 399–417. [Google Scholar] [CrossRef]
- Poulain, P.M. Tidal Currents in the Adriatic as Measured by Surface Drifters: ADRIATIC TIDAL CURRENTS. J. Geophys. Res. Ocean. 2013, 118, 1434–1444. [Google Scholar] [CrossRef]
- Fontolan, G.; Bezzi, A.; Pillon, S. Rischio Di Mareggiata. In Atlante Geologico della Provincia di Venezia. Cartografie e Note illustrative; Vitturi, A., Ed.; Provincia di Venezia: Venice, Italy, 2011; pp. 581–600. [Google Scholar]
- Regione del Veneto—Ufficio di Statistica Regione del Veneto. Tourist Movement in the Veneto Region (Consultation by Resort-Annual and Monthly Data). Available online: https://statistica.regione.veneto.it/banche_dati_economia_turismo_turismo1.jsp (accessed on 7 July 2023).
- Krumbein, W.C. Size Frequency Distributions of Sediments. SEPM JSR 1934, 4, 65–77. [Google Scholar] [CrossRef]
- Folk, R.L.; Ward, W.C. Brazos River Bar [Texas]; a Study in the Significance of Grain Size Parameters. J. Sediment. Res. 1957, 27, 3–26. [Google Scholar] [CrossRef]
- Wentworth, C.K. A Scale of Grade and Class Terms for Clastic Sediments. J. Geol. 1922, 30, 377–392. [Google Scholar] [CrossRef]
- Legislative Decree 152/06 Annex 5, Part VI, Table 1. Soil and Subsoil Contamination Thresholds. In Sites for Public, Private and Residential Green Use; Government of the Italian Republic: Rome, Italy, 2006.
- AA.VV. Technical Directorate—Veneto Soil and Reclamation Center Service. In Metals and Metalloids in the Veneto Soils—Definition of Background Values, 2019th ed.; Regional Agency for Environmental Prevention of the Veneto Region (ARPAV): Veneto, Italy, 2019; p. 190. [Google Scholar]
- Reimann, C.; De Caritat, P. Distinguishing between Natural and Anthropogenic Sources for Elements in the Environment: Regional Geochemical Surveys versus Enrichment Factors. Sci. Total Environ. 2005, 337, 91–107. [Google Scholar] [CrossRef] [PubMed]
- Zhang, L.; Ye, X.; Feng, H.; Jing, Y.; Ouyang, T.; Yu, X.; Liang, R.; Gao, C.; Chen, W. Heavy Metal Contamination in Western Xiamen Bay Sediments and Its Vicinity, China. Mar. Pollut. Bull. 2007, 54, 974–982. [Google Scholar] [CrossRef] [PubMed]
- Dung, T.T.T.; Cappuyns, V.; Swennen, R.; Phung, N.K. From Geochemical Background Determination to Pollution Assessment of Heavy Metals in Sediments and Soils. Rev. Environ. Sci. Biotechnol. 2013, 12, 335–353. [Google Scholar] [CrossRef]
- Hans Wedepohl, K. The Composition of the Continental Crust. Geochim. Cosmochim. Acta 1995, 59, 1217–1232. [Google Scholar] [CrossRef]
- Sutherland, R.A. Bed Sediment-Associated Trace Metals in an Urban Stream, Oahu, Hawaii. Environ. Geol. 2000, 39, 611–627. [Google Scholar] [CrossRef]
- Banat, K.M.; Howari, F.M.; Al-Hamad, A.A. Heavy Metals in Urban Soils of Central Jordan: Should We Worry about Their Environmental Risks? Environ. Res. 2005, 97, 258–273. [Google Scholar] [CrossRef]
- Buccolieri, A.; Buccolieri, G.; Cardellicchio, N.; Dell’Atti, A.; Di Leo, A.; Maci, A. Heavy Metals in Marine Sediments of Taranto Gulf (Ionian Sea, Southern Italy). Mar. Chem. 2006, 99, 227–235. [Google Scholar] [CrossRef]
- Hakanson, L. An Ecological Risk Index for Aquatic Pollution Control. A Sedimentol. Approach. Water Res. 1980, 14, 975–1001. [Google Scholar] [CrossRef]
- Loska, K.; Wiechuła, D.; Korus, I. Metal Contamination of Farming Soils Affected by Industry. Environ. Int. 2004, 30, 159–165. [Google Scholar] [CrossRef]
- Tomlinson, D.L.; Wilson, J.G.; Harris, C.R.; Jeffrey, D.W. Problems in the Assessment of Heavy-Metal Levels in Estuaries and the Formation of a Pollution Index. Helgol. Meeresunters 1980, 33, 566–575. [Google Scholar] [CrossRef]
- Ferreira, S.L.C.; Da Silva, J.B.; Dos Santos, I.F.; De Oliveira, O.M.C.; Cerda, V.; Queiroz, A.F.S. Use of Pollution Indices and Ecological Risk in the Assessment of Contamination from Chemical Elements in Soils and Sediments—Practical Aspects. Trends Environ. Anal. Chem. 2022, 35, e00169. [Google Scholar] [CrossRef]
- Friedman, G.M. Distinction Between Dune, Beach, and River Sands from Their Textural Characteristics. SEPM JSR 1961, 31, 514–529. [Google Scholar] [CrossRef]
- Duane, D.B. Significance of Skewness in Recent Sediments, Ester Pamlico Sound, North Carolina. J. Sediment. Petrol. 1964, 34, 864–874. [Google Scholar] [CrossRef]
- Friedman, G.M. Dynamic Processes and Statistical Parameters Compared for Size Frequency Distribution of Beach and River Sands. SEPM JSR 1967, 37, 327–354. [Google Scholar] [CrossRef]
- Friedman, G.M. Address of the Retiring President of the International Association of Sedimentologists: Differences in Size Distributions of Populations of Particles among Sands of Various Origins. Sedimentology 1979, 26, 3–32. [Google Scholar] [CrossRef]
- Chappel, J. Recognizing Fossil Strand Lines From Grain-Size Analysis. SEPM JSR 1967, 37. [Google Scholar] [CrossRef]
- Siegle, E.; Calliari, L.J. High-Energy Events and Short-Terms Changes in Superficial Beach Sediments. Braz. J. Ocanography 2009, 56, 149–152. [Google Scholar] [CrossRef]
- Rizzolo, R.; Giudice, L.D.; Jahdi, R.; Salis, M. Assessing the Potential Impacts of the Vaia Storm on Wildfire Spread and Behavior in the Veneto Region. In ICFBR 2022; MDPI: Basel, Switzerland, 2022; p. 1. [Google Scholar] [CrossRef]
- Regional Agency for Environmental Prevention of Friuli Venezia-Giulia Region. Archivio-dati. meteo.fvg. Available online: https://www.meteo.fvg.it/archivio.php?ln=&p=dati (accessed on 21 July 2023).
- Hough, J.L. Sediments of Cape Cod Bay, Massachusetts. SEPM JSR 1942, 12. [Google Scholar] [CrossRef]
- Inman, D.L. Sorting of Sediments in the Light of Fluid Mechanics. SEPM JSR 1949, 19. [Google Scholar] [CrossRef]
- Griffiths, J.C. Size versus Sorting in Some Caribbean Sediments. J. Geol. 1951, 59, 211–243. [Google Scholar] [CrossRef]
- Inman, D.L.; Chamberlain, T.K. Particle-Size Distribution in Nearshore Sediments. In Finding Ancient Shorelines; SEPM Society for Sedimentary Geology: Claremore, OK, USA, 1955. [Google Scholar] [CrossRef]
- Angusamy, N.; Rajamanickam, G.V. Depositional Environment of Sediments along the Southern Coast of Tamil Nadu, India. Oceanologia 2006, 48, 87–102. [Google Scholar]
- Ramanathan, A.L.; Rajkunar, K.; Majumdar, J.; Singh, G.; Behera, P.N.; Santra, S.C.; Chidambaran, S. Textural Characteristics of the Surface Sediments of a Tropical Mangrove Sunbardan Ecosystem India. Indian J. Mar. Sci. 2009, 38, 297–403. [Google Scholar]
- Gazzi, P.; Zuffa, G.G.; Paganelli, L.; Gandolfi, G. Provenienza e Dispersione Litoranea Delle Sabbie Delle Spiagge Adriatiche Fra Le Foci Dell’Isonzo e Del Foglia: Inquadramento Regionale. In Memorie della Società Geologica Italiana; Springer: Berlin/Heidelberg, Germany, 1973; No. 12; pp. 1–37. [Google Scholar]
- López, I.; López, M.; Aragonés, L.; García-Barba, J.; López, M.P.; Sánchez, I. The Erosion of the Beaches on the Coast of Alicante: Study of the Mechanisms of Weathering by Accelerated Laboratory Tests. Sci. Total Environ. 2016, 566–567, 191–204. [Google Scholar] [CrossRef]
- Doney, S.C.; Fabry, V.J.; Feely, R.A.; Kleypas, J.A. Ocean Acidification: The Other CO2 Problem. Annu. Rev. Mar. Sci. 2009, 1, 169–192. [Google Scholar] [CrossRef] [PubMed]
- Turley, C.; Findlay, H.S. Ocean Acidification. In Climate Change; Elsevier: Amsterdam, The Netherlands, 2016; pp. 271–293. [Google Scholar] [CrossRef]
- Naviaux, J.D.; Subhas, A.V.; Rollins, N.E.; Dong, S.; Berelson, W.M.; Adkins, J.F. Temperature Dependence of Calcite Dissolution Kinetics in Seawater. Geochim. Cosmochim. Acta 2019, 246, 363–384. [Google Scholar] [CrossRef]
- Luchetta, A.; Cantoni, C.; Catalano, G. New Observations of CO2-Induced Acidification in the Northern Adriatic Sea over the Last Quarter Century. Chem. Ecol. 2010, 26, 1–17. [Google Scholar] [CrossRef]
- Thorne, L.T.; Nickless, G. The Relation between Heavy Metals and Particle Size Fractions within the Severn Estuary (U.K.) Inter-tidal Sediments. Sci. Total Environ. 1981, 19, 207–213. [Google Scholar] [CrossRef]
- Sakai, H.; Kojima, Y.; Saito, K. Distribution of Heavy Metals in Water and Sieved Sediments in the Toyohira River. Water Res. 1986, 20, 559–567. [Google Scholar] [CrossRef]
- Davies, C.A.L.; Tomlinson, K.; Stephenson, T. Heavy Metals in River Tees Estuary Sediments. Environ. Technol. 1991, 12, 961–972. [Google Scholar] [CrossRef]
- Wakida, F.T.; Lara-Ruiz, D.; Temores-Peña, J.; Rodriguez-Ventura, J.G.; Diaz, C.; Garcia-Flores, E. Heavy Metals in Sediments of the Tecate River, Mexico. Environ. Geol 2008, 54, 637–642. [Google Scholar] [CrossRef]
- Musso, T.B.; Parolo, M.E.; Pettinari, G.; Francisca, F.M. Cu (II) and Zn (II) Adsorption Capacity of Three Different Clay Liner Materials. J. Environ. Manag. 2014, 146, 50–58. [Google Scholar] [CrossRef] [PubMed]
- Sdiri, A.T.; Higashi, T.; Jamoussi, F. Adsorption of Copper and Zinc onto Natural Clay in Single and Binary Systems. Int. J. Environ. Sci. Technol. 2014, 11, 1081–1092. [Google Scholar] [CrossRef]
- Zhuang, Q.; Li, G.; Liu, Z. Distribution, Source and Pollution Level of Heavy Metals in River Sediments from South China. CATENA 2018, 170, 386–396. [Google Scholar] [CrossRef]
- Imtiaz, M.; Rizwan, M.S.; Xiong, S.; Li, H.; Ashraf, M.; Shahzad, S.M.; Shahzad, M.; Rizwan, M.; Tu, S. Vanadium, Recent Advancements and Research Prospects: A Review. Environ. Int. 2015, 80, 79–88. [Google Scholar] [CrossRef]
- Matschullat, J. Arsenic in the Geosphere—A Review. Sci. Total Environ. 2000, 249, 297–312. [Google Scholar] [CrossRef]
- Cheng, Q.; Zhou, W.; Zhang, J.; Shi, L.; Xie, Y.; Li, X. Spatial Variations of Arsenic and Heavy Metal Pollutants before and after the Water-Sediment Regulation in the Wetland Sediments of the Yellow River Estuary, China. Mar. Pollut. Bull. 2019, 145, 138–147. [Google Scholar] [CrossRef]
- Liaghati, T.; Preda, M.; Cox, M. Heavy Metal Distribution and Controlling Factors within Coastal Plain Sediments, Bells Creek Catchment, Southeast Queensland, Australia. Environ. Int. 2004, 29, 935–948. [Google Scholar] [CrossRef]
- Wang, Y.; Gao, S.; Hebbeln, D.; Winter, C. Modeling Grain Size Distribution Patterns in the Backbarrier Tidal Basins, East Frisian Wadden Sea (Southern North Sea). J. Coast. Res. 2011, 64, 850–854. [Google Scholar]
- Rouse, H. Engineering Hydraulics Proceedeings of Fourth Hydraulics Conference, Iowa Institute of Hydraulic Research, 12–15 June 1949; Wiley: New York, NY, USA, 1950. [Google Scholar]
- Carniello, L.; Defina, A.; D’Alpaos, L. Modeling Sand-Mud Transport Induced by Tidal Currents and Wind Waves in Shallow Microtidal Basins: Application to the Venice Lagoon (Italy). Estuar. Coast. Shelf Sci. 2012, 102, 105–115. [Google Scholar] [CrossRef]
- Nair, V.; Achyuthan, H. Geochemistry of Vellayani Lake Sediments: Indicators of Weathering and Provenance. J. Geol. Soc. India 2017, 89, 21–26. [Google Scholar] [CrossRef]
- Sinha, S.; Ghosh, S.K.; Kumar, R.; Sangode, S.J. Geochemistry of Neogene Siwalik Mudstones along Punjab Re-Entrant, India: Implications for Source-Area Weathering, Provenance and Tectonic Setting. Curr. Sci. 2007, 92, 1103–1113. [Google Scholar]
- Araújo, D.F.; Ponzevera, E.; Briant, N.; Knoery, J.; Bruzac, S.; Sireau, T.; Brach-Papa, C. Copper, Zinc and Lead Isotope Signatures of Sediments from a Mediterranean Coastal Bay Impacted by Naval Activities and Urban Sources. Appl. Geochem. 2019, 111, 104440. [Google Scholar] [CrossRef]
- Filella, M.; Belzile, N.; Chen, Y.-W. Antimony in the Environment: A Review Focused on Natural Waters. Earth-Sci. Rev. 2002, 57, 125–176. [Google Scholar] [CrossRef]











| Measure Depth (m) | Dissolved Oxygen (mg/L) | pH | Temperature (°C) | Pressure (mbar) | Specific Conductivity (mS/cm) | Absolute Conductivity (mS/cmA) | Salinity (ppt) | |
|---|---|---|---|---|---|---|---|---|
| Seabed | 3 | 7.6 ± 1.2 | 8.4 ± 0.0 | 24.4 ± 0.5 | 1023 ± 1 | 38.9 ± 1.3 | 38.5 ± 1.6 | 24.7 ± 0.9 | 
| Max | 8.6 | 8.4 | 24.9 | 1024 | 41.7 | 41.6 | 26.7 | |
| Min | 4.8 | 8.3 | 23.2 | 1021 | 37.2 | 36.6 | 23.6 | |
| Lagoon’s mouth | 2 | 3.1 ± 1.7 | 8.2 ± 0.0 | 24.5 ± 0.2 | 1005 ± 1 | 37.8 ± 8.4 | 36.4 ± 7.2 | 21.3 ± 4.7 | 
| Max | 4.5 | 8.2 | 24.7 | 1006 | 47.8 | 42.8 | 27.5 | |
| Min | 0.8 | 8.2 | 24.1 | 1004 | 25.4 | 25.0 | 15.5 | |
| Inner Lagoon | 2 | 4.7 ± 3.8 | 8.4 ± 0.1 | 24.3 ± 0.7 | 1015 ±12 | 35.3 ± 5.2 | 34.8 ± 4.6 | 22.3 ± 3.6 | 
| Max | 7.4 | 8.4 | 24.8 | 1024 | 39.0 | 38.1 | 24.8 | |
| Min | 2.0 | 8.3 | 23.8 | 1006 | 31.7 | 31.5 | 19.7 | 
| Statistics Parameter | Backshore | Shoreline | Seabed | 
|---|---|---|---|
| Mz (Φ) | 2.26 ± 0.12 | 2.14 ± 0.11 | 3.65 ± 1.05 | 
| Max | 2.43 | 2.34 | 7.25 | 
| Min | 2.03 | 1.92 | 2.51 | 
| σ (Φ) | 0.34 ± 0.08 | 0.34 ± 0.03 | 0.90 ± 0.74 | 
| Max | 0.58 | 0.38 | 2.57 | 
| Min | 0.28 | 0.30 | 0.34 | 
| Sk | 0.20 ± 0.07 | 0.13 ± 0.03 | 0.30 ± 0.25 | 
| Max | 0.41 | 0.17 | 0.78 | 
| Min | 0.13 | 0.06 | 0.00 | 
| K | 1.12 ± 0.33 | 0.98 ± 0.05 | 1.43 ± 0.72 | 
| Max | 2.15 | 1.09 | 3.32 | 
| Min | 0.93 | 0.91 | 0.84 | 
| Carbonate Content (%) | Backshore | Shoreline | Seabed | 
|---|---|---|---|
| Total Carbonate | 89 ± 5 | 83 ± 4 | 74 ± 7 | 
| Max | 97 | 90 | 90 | 
| Min | 81 | 72 | 66 | 
| Calcite | 40 ± 5 | 42 ± 3 | 36 ± 5 | 
| Max | 48 | 47 | 47 | 
| Min | 32 | 37 | 28 | 
| Dolomite | 49 ± 6 | 40 ± 6 | 37 ± 4 | 
| Max | 65 | 47 | 46 | 
| Min | 40 | 25 | 31 | 
| Oxide Composition (wt. %) | Backshore | Shoreline | Seabed | 
|---|---|---|---|
| SiO2 | 9.66 ± 3.56 | 12.07 ± 2.70 | 18.61 ± 1.77 | 
| TiO2 | 0.11 ± 0.06 | 0.07 ± 0.01 | 0.22 ± 0.03 | 
| Al2O | 1.27 ± 0.43 | 1.48 ± 0.33 | 3.44 ± 0.54 | 
| Fe2O3 | 0.83 ± 0.10 | 0.84 ± 0.09 | 1.30 ± 0.14 | 
| MnO | 0.02 ± 0.00 | 0.02 ± 0.00 | 0.03 ± 0.00 | 
| MgO | 14.58 ± 1.68 | 13.19 ± 1.02 | 12.44 ± 0.93 | 
| CaO | 33.35 ± 0.59 | 34.01 ± 0.61 | 28.34 ± 1.50 | 
| Na2O | 0.18 ± 0.07 | 0.23 ± 0.06 | 0.45 ± 0.04 | 
| K2O | 0.17 ± 0.08 | 0.21 ± 0.07 | 0.60 ± 0.10 | 
| P2O5 | 0.04 ± 0.01 | 0.04 ± 0.00 | 0.06 ± 0.01 | 
| L.O.I. | 39.80 ± 2.28 | 37.83 ± 2.01 | 34.52 ± 0.72 | 
| Heavy Metal Concentration (ppm) | Backshore | Shoreline | Seabed | 
|---|---|---|---|
| Be | 0.25 ± 0.08 | 0.25 ± 0.07 | 0.50 ± 0.04 | 
| Max Min | 0.38 0.17 | 0.40 0.17 | 0.55 0.43 | 
| V | 22 ± 11 | 20 ± 4 | 28 ± 4 | 
| Max Min | 45 12 | 27 14 | 32 22 | 
| Cr | 10.7 ± 5.2 | 9.3 ± 2.1 | 19.5 ± 3.3 | 
| Max Min | 21.6 5.6 | 13.1 7.3 | 25.6 15.1 | 
| Co | 2.1 ± 0.3 | 2.3 ± 0.8 | 3.1 ± 0.1 | 
| Max Min | 2.45 1.57 | 4.3 1.7 | 3.4 2.9 | 
| Ni | 4.1 ± 0.8 | 4.7 ± 1.7 | 8.3 ± 1.2 | 
| Max Min | 5.25 3.14 | 8.9 3.2 | 10.8 7.4 | 
| Cu | 2.3 ± 1.2 | 2.2 ± 1.4 | 3.9 ± 0.7 | 
| Max Min | 4.86 1.47 | 5.8 1.4 | 4.9 3.0 | 
| Zn | 16.9 ± 3.9 | 14.9 ± 5.4 | 23 ± 3 | 
| Max Min | 22.7 9.9 | 25.6 9.3 | 26 19 | 
| As | 5.2 ± 0.6 | 6.2 ± 1.7 | 5.5 ± 1.0 | 
| Max Min | 5.97 4.32 | 10.0 4.5 | 6.9 4.1 | 
| Se | 0.01 ± 0.01 | 0.02 ± 0.01 | 0.03 ± 0.01 | 
| Max Min | 0.03 0.01 | 0.03 0.01 | 0.05 0.03 | 
| Sb | 0.33 ± 0.09 | 0.37 ± 0.17 | 0.56 ± 0.07 | 
| Max Min | 0.45 0.22 | 0.77 0.19 | 0.64 0.45 | 
| Pb | 2.7 ± 0.3 | 2.6 ± 0.9 | 5.2 ± 0.4 | 
| Max Min | 3.1 2.3 | 4.7 1.8 | 6.3 4.6 | 
| Statistics Parameters | Lagoon’s Mouth | Inner Lagoon | 
|---|---|---|
| Mz (Φ) | 3.41 ± 1.37 | 7.13 ± 0.68 | 
| Max | 6.07 | 8.06 | 
| Min | 2.21 | 5.87 | 
| σ (Φ) | 1.52 ± 0.96 | 2.53 ± 0.23 | 
| Max | 3.07 | 3.07 | 
| Min | 0.39 | 2.25 | 
| Sk | 0.39 ± 0.32 | 0.23 ± 0.10 | 
| Max | 0.74 | 0.36 | 
| Min | −0.10 | −0.04 | 
| K | 1.61 ± 0.79 | 0.91 ± 0.05 | 
| Max | 2.61 | 1.03 | 
| Min | 0.71 | 0.85 | 
| Mean Carbonate Content (%) | Lagoon’s Mouth | Inner Lagoon | 
|---|---|---|
| Total Carbonate | 69 ± 9 | 63 ± 9 | 
| Max | 84 | 80 | 
| Min | 60 | 55 | 
| Calcite | 38 ± 4 | 31 ± 5 | 
| Max | 44 | 41 | 
| Min | 32 | 23 | 
| Dolomite | 31 ± 6 | 32 ± 5 | 
| Max | 40 | 39 | 
| Min | 23 | 24 | 
| Oxide Composition (wt. %) | Lagoon’s Mouth | Inner Lagoon | 
|---|---|---|
| SiO2 | 23.09 ± 3.85 | 23.51 ± 2.68 | 
| TiO2 | 0.15 ± 0.03 | 0.27 ± 0.03 | 
| Al2O | 3.20 ± 0.66 | 5.44 ± 1.11 | 
| Fe2O3 | 1.25 ± 0.13 | 2.13 ± 0.54 | 
| MnO | 0.02 ± 0.00 | 0.03 ± 0.00 | 
| MgO | 10.00 ± 0.82 | 10.50 ± 1.02 | 
| CaO | 29.86 ± 2.04 | 24.56 ± 2.98 | 
| Na2O | 0.49 ± 0.08 | 0.53 ± 0.12 | 
| K2O | 0.56 ± 0.12 | 1.00 ± 0.23 | 
| P2O5 | 0.07 ± 0.01 | 0.12 ± 0.03 | 
| L.O.I. | 31.33 ± 2.40 | 31.92 ± 0.81 | 
| Heavy Metal Concentration (ppm) | Lagoon’s Mouth | Inner Lagoon | 
|---|---|---|
| Be | 0.50 ± 0.14 | 1.13 ± 0.18 | 
| Max Min | 0.77 0.37 | 1.45 0.91 | 
| V | 29 ± 11 | 67 ± 11 | 
| Max Min | 50 22 | 85 47 | 
| Cr | 16.0 ± 6 | 47 ± 6 | 
| Max Min | 27.1 10.7 | 55 37 | 
| Co | 3.3 ± 0.7 | 6.7 ± 1.3 | 
| Max Min | 4.6 2.5 | 9.6 5.5 | 
| Ni | 7.8 ± 2 | 21.6 ± 7.4 | 
| Max Min | 11.0 5.5 | 41.2 15.9 | 
| Cu | 4.0 ± 1 | 26 ± 27 | 
| Max Min | 6.4 2.1 | 101 16 | 
| Zn | 26 ± 10 | 63 ± 17 | 
| Max Min | 42 14 | 101 46 | 
| As | 6.1 ± 1.2 | 7.5 ± 1.0 | 
| Max Min | 7.5 4.98 | 9.9 5.4 | 
| Se | 0.03 ± 0.01 | 0.16 ± 0.04 | 
| Max Min | 0.05 0.01 | 0.22 0.10 | 
| Sb | 0.49 ± 0.07 | 0.91 ± 0.51 | 
| Max Min | 0.60 0.4 | 2.33 0.51 | 
| Pb | 4.0 ± 0.6 | 13.5 ± 5.8 | 
| Max Min | 4.9 3.1 | 28.9 7.7 | 
| Total Carbonate | SiO2 | Al2O3 | |
|---|---|---|---|
| SiO2 | −0.96 | ||
| Al2O3 | −0.92 | 0.93 | |
| Medium Sand | 0.32 | −0.35 | −0.53 | 
| Fine Sand | 0.68 | −0.80 | −0.85 | 
| Very Fine Sand | −0.77 | 0.76 | 0.89 | 
| Mud | −0.04 | 0.67 | 0.79 | 
| Be | V | Cr | Co | Ni | Cu | Zn | As | Se | Sb | |
|---|---|---|---|---|---|---|---|---|---|---|
| Be | ||||||||||
| V | 0.24 | |||||||||
| Cr | 0.61 | 0.70 | ||||||||
| Co | 0.72 | 0.46 | 0.55 | |||||||
| Ni | 0.83 | 0.23 | 0.69 | 0.84 | ||||||
| Cu | 0.55 | 0.21 | 0.45 | 0.83 | 0.83 | |||||
| Zn | 0.58 | 0.41 | 0.42 | 0.74 | 0.62 | 0.67 | ||||
| As | 0.17 | 0.26 | −0.01 | 0.65 | 0.28 | 0.39 | 0.33 | |||
| Se | 0.68 | 0.21 | 0.60 | 0.65 | 0.84 | 0.57 | 0.28 | 0.16 | ||
| Sb | 0.75 | 0.49 | 0.56 | 0.94 | 0.80 | 0.80 | 0.75 | 0.52 | 0.54 | |
| Pb | 0.85 | 0.39 | 0.79 | 0.79 | 0.95 | 0.73 | 0.61 | 0.17 | 0.84 | 0.77 | 
| Medium Sand | Fine Sand | Very Fine Sand | Silt | Clay | SiO2 | Al2O3 | |
|---|---|---|---|---|---|---|---|
| SiO2 | −0.30 | −0.40 | −0.47 | 0.44 | 0.58 | ||
| Al2O3 | −0.68 | −0.71 | −0.36 | 0.79 | 0.89 | 0.85 | |
| K2O | −0.64 | −0.71 | −0.39 | 0.78 | 0.89 | 0.86 | 1.00 | 
| Be | V | Cr | Co | Ni | Cu | Zn | As | Se | Sb | |
|---|---|---|---|---|---|---|---|---|---|---|
| Be | ||||||||||
| V | 0.97 | |||||||||
| Cr | 0.95 | 0.92 | ||||||||
| Co | 0.84 | 0.84 | 0.95 | |||||||
| Ni | 0.65 | 0.63 | 0.85 | 0.95 | ||||||
| Cu | 0.30 | 0.32 | 0.58 | 0.77 | 0.92 | |||||
| Zn | 0.76 | 0.75 | 0.90 | 0.98 | 0.97 | 0.83 | ||||
| As | 0.27 | 0.24 | 0.47 | 0.59 | 0.72 | 0.78 | 0.66 | |||
| Se | 0.96 | 0.93 | 0.93 | 0.83 | 0.66 | 0.33 | 0.75 | 0.29 | ||
| Sb | 0.20 | 0.20 | 0.49 | 0.69 | 0.87 | 0.99 | 0.77 | 0.80 | 0.24 | |
| Pb | 0.52 | 0.48 | 0.76 | 0.86 | 0.98 | 0.94 | 0.91 | 0.75 | 0.55 | 0.92 | 
| Disclaimer/Publisher’s Note: The statements, opinions and data contained in all publications are solely those of the individual author(s) and contributor(s) and not of MDPI and/or the editor(s). MDPI and/or the editor(s) disclaim responsibility for any injury to people or property resulting from any ideas, methods, instructions or products referred to in the content. | 
© 2023 by the authors. Licensee MDPI, Basel, Switzerland. This article is an open access article distributed under the terms and conditions of the Creative Commons Attribution (CC BY) license (https://creativecommons.org/licenses/by/4.0/).
Share and Cite
Aquilano, A.; Marrocchino, E.; Paletta, M.G.; Tessari, U.; Vaccaro, C. Geochemical Characterization of Sediments from the Bibione Coastal Area (Northeast Italy): Details on Bulk Composition and Particle Size Distribution. J. Mar. Sci. Eng. 2023, 11, 1650. https://doi.org/10.3390/jmse11091650
Aquilano A, Marrocchino E, Paletta MG, Tessari U, Vaccaro C. Geochemical Characterization of Sediments from the Bibione Coastal Area (Northeast Italy): Details on Bulk Composition and Particle Size Distribution. Journal of Marine Science and Engineering. 2023; 11(9):1650. https://doi.org/10.3390/jmse11091650
Chicago/Turabian StyleAquilano, Antonello, Elena Marrocchino, Maria Grazia Paletta, Umberto Tessari, and Carmela Vaccaro. 2023. "Geochemical Characterization of Sediments from the Bibione Coastal Area (Northeast Italy): Details on Bulk Composition and Particle Size Distribution" Journal of Marine Science and Engineering 11, no. 9: 1650. https://doi.org/10.3390/jmse11091650
APA StyleAquilano, A., Marrocchino, E., Paletta, M. G., Tessari, U., & Vaccaro, C. (2023). Geochemical Characterization of Sediments from the Bibione Coastal Area (Northeast Italy): Details on Bulk Composition and Particle Size Distribution. Journal of Marine Science and Engineering, 11(9), 1650. https://doi.org/10.3390/jmse11091650
 
        







 
       