Next Article in Journal
Crashworthiness Optimization Method of Ship Structure under Multi-Working Conditions
Previous Article in Journal
An Experimental Study on Trajectory Tracking Control of Torpedo-like AUVs Using Coupled Error Dynamics
 
 
Font Type:
Arial Georgia Verdana
Font Size:
Aa Aa Aa
Line Spacing:
Column Width:
Background:
Article

Cross-Domain Fixed-Time Formation Control for an Air-Sea Heterogeneous Unmanned System with Disturbances

1
College of Information Science and Electronic Engineering, Zhejiang University, Hangzhou 310027, China
2
Zhejiang Provincial Key Laboratory of Information Processing, Communication and Networking, Hangzhou 310027, China
3
Zhoushan Ocean Research Center, Zhoushan 316021, China
*
Author to whom correspondence should be addressed.
J. Mar. Sci. Eng. 2023, 11(7), 1336; https://doi.org/10.3390/jmse11071336
Submission received: 25 April 2023 / Revised: 6 June 2023 / Accepted: 28 June 2023 / Published: 30 June 2023
(This article belongs to the Section Ocean Engineering)

Abstract

This paper studied the cross-domain fixed-time formation control problem of an air-sea heterogeneous unmanned system (ASHS). Taking advantage of individual characteristics of unmanned aerial vehicles (UAVs), unmanned surface vehicles (USVs), and unmanned underwater vehicles (UUVs), the ASHS was introduced to accomplish the ocean stereoscopic observation mission, which was transformed into the formation control problem. Due to the difference of dimension and the communication constraint between UAV, USV, and UUV, a cross-domain communication protocol was proposed to achieve the state information flow between heterogeneous unmanned vehicles with different dimensions rather than construct the identical low-dimensional output. The high-dimensional unmanned vehicle can receive full state information from low-dimensional neighbors, while the low-dimensional follower can only receive partial state information from high-dimensional neighbors. Moreover, by means of fixed-time control theory and the backstepping control technique, the distributed fixed-time observer and controller were designed to solve the formation control problem for the ASHS with disturbances. Simulation results show that the ASHS can achieve fixed-time formation control with the proposed coordinated control protocols. Meanwhile, the convergence time of the proposed fixed-time formation control protocols is independent of the initial state.

1. Introduction

Over the past decades, tremendous strides have been made in the coordinated control problem for the unmanned vehicles owing to the wide applications, such as the remote sensing of unmanned aerial vehicles (UAVs) [1,2], the swarm navigation of unmanned ground vehicles (UGVs) [3,4], and the ocean exploration of unmanned underwater vehicles (UUVs) [5,6,7,8]. An ocean stereoscopic observation mission is generally completed through a group of UUVs with a spatial structure based on task requirements. Consequently, the ocean stereoscopic observation mission can be formulated as a formation control problem. Formation control, as one of the most important coordinated control issues, has produced fruitful research results [9,10,11,12]. The goal of formation control is to enable relevant agents to form and maintain the expected configuration for specific tasks [13]. At present, there are several mainstream formation control strategies, namely virtual structure [14], leader-follower [15], behavior-based [16], and artificial potential function [17].
It is worth noting that the work discussed above is based on the homogeneous unmanned system consisting of multiple unmanned vehicles with the same dynamics, which often results in inefficient completion of tasks. Nevertheless, compared with the homogeneous unmanned system, the heterogeneous unmanned system, including multiple unmanned vehicles with different dynamics and functions, can complete a more complex task efficiently. Therefore, the heterogeneous unmanned system has attracted more attention [18,19,20,21,22]. For instance, the multi-USV system was introduced to research the ocean environment monitoring problem in [23]. However, to further improve the efficiency of monitoring, the UAV-USV heterogeneous unmanned system was introduced since a UAV is characterized by faster speed and wider coverage ability than the USV in [24]. For the underwater target tracking task, the UAAV-USV-AUV heterogeneous system was introduced to reduce search time and tracking error, where the UAAV refers to the unmanned aerial–aquatic vehicle in [25]. Hence, combining unmanned systems with different characteristics can improve work efficiency and meet higher task requirements.
There exist some difficulties in solving the formation control problem of heterogeneous unmanned systems since each unmanned vehicle is equipped with different state vector dimensions. The common method is to construct uniform low-dimensional output, and address the output formation control problem [26,27,28,29,30]. In [31], authors utilized a low-dimensional output strategy to solve the formation control problem of heterogeneous multi-agent system, where UAVs and USVs only maintain preset formation in the horizontal direction. In an attempt to deal with the formation-containment tracking problem of heterogeneous unmanned systems, the state vector with three dimensions was reduced to the output vector with two dimensions, and the low-dimensional agent systems can communicate with the high-dimensional agent systems in [32]. However, this method gives rise to the information exchange between high-dimensional unmanned vehicles in heterogeneous unmanned system difficultly. For instance, by means of this method, the formation control of heterogeneous unmanned systems containing UAVs and USVs can be guaranteed in the horizontal direction, but the positions and velocities of UAVs with high-dimension have difficulty maintaining formation in the vertical direction. Therefore, for a heterogeneous unmanned system, it is vital to propose an appropriate coordinated control strategy to guarantee the collaboration between high-dimensional unmanned vehicles and track the high-dimensional reference signal cooperatively.
Early results on the formation control of multiple unmanned vehicles were more concerned with whether the formation error between unmanned vehicles can converge rather than the convergence time [33,34,35]. The convergence time, one of the most important metrics in a real-time unmanned control system, can reflect the quality of the designed controller under reaching convergence. That is, multiple unmanned vehicles should design an appropriate controller to improve the convergence rate and achieve the formation control in a certain time according to specific mission requirements. Therefore, the finite-time control protocols were designed to deal with the formation control problem of unmanned control vehicles within a finite time [36,37,38,39,40]. Nevertheless, the finite convergence time related to initial conditions will be longer if the initial state of vehicle is larger, which results in the performance degradation. Aiming at this problem, fixed-time control theory is introduced to the control system to reach convergence in a fixed time independent on any initial condition [41,42,43,44,45]. Although there are substantial amounts of studies concerning the fixed-time formation control problem for heterogeneous unmanned systems composed of UAVs and UGVs, few studies consider the air-sea heterogeneous unmanned system (ASHS) including UAVs, USVs, and UUVs.
Motivated by the above discussions, this paper investigated the cross-domain fixed-time formation control problem for the ASHS. A cross-domain communication protocol was proposed to achieve valid information exchange between heterogeneous unmanned vehicles in different spatial domains. By means of fixed-time control theory and a backstepping control technique, the distributed fixed-time observer and controller were designed to address the fixed-time formation control problem for the ASHS. The main contributions of this paper are summarized as follows.
  • An air-sea heterogeneous unmanned system was introduced to accomplish the ocean stereoscopic observation mission by formation control. Specifically, UAVs and USVs are responsible for observation on the surface of the water and UUVs collect underwater environment data. The USV also acts as a relay node between UAV and UUV to forward the state information.
  • Compared with the formation control of a heterogeneous unmanned system by constructing the same low-dimensional output [26,27,28,29,30], a cross-domain communication protocol was proposed to achieve state information flow between unmanned vehicles with different dimensions and to track the high-dimensional reference signal cooperatively, which achieves the cooperation between high-dimensional unmanned vehicles. The high-dimensional unmanned vehicle can receive full information from low-dimensional neighbors, while the low-dimensional follower can only receive partial state information from high-dimensional neighbors.
  • Taking advantage of fixed-time control theory and a backstepping control technique, the distributed fixed-time observer and controller were designed to solve the formation control problem for the ASHS with disturbances, where followers only communicate with their neighbors locally. Meanwhile, the convergence time of formation control is independent of the initial condition.
The rest of this paper is organized as follows. In Section 2, preliminaries and problem formulation are given. In Section 3, the main results via a cross-domain communication protocol and the distributed formation control protocols are proposed for the ASHS. Numerical results and discussions are given in Section 4. Section 5 is the conclusion.
Notations: R n stands for a set of n-dimensional Euclidean space. ( · ) T and t r ( · ) refer to the transpose and the trace of matrix, respectively; diag ( · ) denotes a diagonal matrix. λ min ( · ) and λ max ( · ) refer to the minimum and maximum eigenvalues of a matrix, respectively. For any vector Y = y 1 , y 2 , , y n R n , s i g α Y = y 1 α s i g n ( y 1 ) , y 2 α s i g n ( y 2 ) , , y n α s i g n ( y n ) , where · and s i g n ( · ) stand for the absolute value and signum function, respectively. ⊗ denotes the Kronecker product.

2. Preliminaries and Problem Formulation

2.1. Graph Theory

The ASHS is composed of a leader and N followers with heterogeneous dynamics, as shown in Figure 1. Therefore, the undirected graph can be divided into a follower graph G and a leader-follower graph G ˜ . In addition, N followers ( N = N 1 + N 2 + N 3 ) contain N 1 UAVs i ( i N 1 and N 1 = { 1 , 2 , , N 1 } ), N 2 USVs i ( i N 2 and N 2 = { N 1 + 1 , N 1 + 2 , , N 1 + N 2 } ) and N 3 UUVs i ( i N 3 and N 3 = { N 1 + N 2 + 1 , N 1 + N 2 + 2 , , N } ).
The undirected follower graph G = ( V , E , A ) containing N nodes is established to describe the communication topology between followers. Suppose that each node stands for an unmanned vehicle, the set composed of all nodes is represented by V = { 1 , 2 , , N } . E denotes the edge set, and E V × V . N i is called the set of neighbors of node i, and N i = { j V | ( i , j ) E , i j } , where communication link ( i , j ) means that node j can send information to node i. The weighted adjacency matrix of the follower graph is mapped by A = [ a i j ] . Note that a i j = a j i > 0 if ( i , j ) E , which indicates that node i and node j can communicate with each other; otherwise, a i j = 0 , where a i j denotes the weight of the edge connecting node i and node j. The Laplacian matrix of follower graph G can be described by L = l i j , where
l i j = a i j , i j k = 1 , k i N a i k , i = j .
The communication topology between the leader and N followers can be described by leader-follower graph G ˜ . Meanwhile, b i denotes the connection weight between the leader and follower i ( i V ) and B = diag ( b 1 , b 2 , , b N ) . If follower i can communicate with the leader, b i > 0 ; otherwise, b i = 0 .
Assumption 1. 
The interconnection undirected follower graph G is connected and there exists at least one follower i that can receive information from the leader, that is, b i > 0 , i V .
Lemma 1. 
For a connected undirected graph G , if the connection matrix B of leader-follower graph G ˜ satisfies B 0 , H = L + B is positive definite.

2.2. Dynamical Models of ASHS

In this section, the dynamical models of ASHS are described in order to analyze the formation control problem. The ASHS is composed of UAV, USV, and UUV; a quadrotor is referred to as the UAV, the torpedo-type can be expressed as USV and UUV.

2.2.1. UAV

In [42], the UAV is considered as a quadrotor, whose dynamic model is modeled as rigidness and the symmetric structure of the whole body. Therefore, the dynamic model of the i-th UAV ( i N 1 ) can be described by
x ¨ i = cos ϕ i sin θ i cos ψ i + sin ϕ i sin ψ i u i 1 / m i ξ ˜ x x ˙ i / m i y ¨ i = cos ϕ i sin θ i sin ψ i + sin ϕ i cos ψ i u i 1 / m i ξ ˜ y y ˙ i / m i z ¨ i = g + cos θ i cos ϕ i u i 1 / m i ξ ˜ z z ˙ i / m i ϕ ¨ i = θ ˙ i ψ ˙ i I y I z I x I r I y θ ˙ i w ¯ i + 1 I x u i 2 ξ ˜ ϕ I x ϕ ˙ i θ ¨ i = ϕ ˙ i ψ ˙ i I z I x I y I r I y ϕ ˙ i w ¯ i + 1 I x u i 3 ξ ˜ θ I y θ ˙ i ψ ¨ i = ϕ ˙ i θ ˙ i I x I y I z + 1 I z u i 4 ξ ˜ ψ I z ψ ˙ i ,
where X a = x i , y i , z i T R 3 and Ψ a = ϕ i , θ i , ψ i T R 3 stand for the position and Euler angle of UAV i, respectively. I x , I y and I z represent the moments of inertia; ξ ˜ x , ξ ˜ y , ξ ˜ z and ξ ˜ ϕ , ξ ˜ θ , ξ ˜ ψ refer to the aerodynamic damping coefficient; g is the gravity acceleration; I r denotes the inertia of the rotor; w ¯ i is the residual rotor angular, and w ¯ i = w i 4 + w i 3 w i 2 w i 1 ; u i 1 , u i 2 , u i 3 , and u i 4 represent the control thrust and three control torques of UAV i.
A new control variable u p i is embedded to the dynamic model of UAV i so as to facilitate the controller design in [42], and u p i = u x i , u y i , u z i T R 3 . u x i , u y i and u z i denote the virtual control input of the longitudinal, lateral, and altitude channels, respectively. Meanwhile,
u x i = cos ϕ i sin θ i cos ψ i + sin ϕ i sin ψ i u i 1 u y i = cos ϕ i sin θ i sin ψ i + sin ϕ i cos ψ i u i 1 u z i = cos θ i cos ϕ i u i 1 .
Thus, the position subsystem in (1) can be rewritten as
x ¨ i y ¨ i z ¨ i = A i u x i u y i u z i + f x i f y i f z i
where A i = d i a g 1 / m i , 1 / m i , 1 / m i . f x i , f y i and f z i stand for the nonlinear term of UAV i, and
f x i = ξ ˜ x x ˙ i / m i f y i = ξ ˜ y y ˙ i / m i f z i = ξ ˜ z z ˙ i / m i g .
Based on (2), the position system of UAV i can be expressed by a second-order nonlinear one as
x ˙ i t = v i t + ϖ i ( t ) v ˙ i t = A i u p i t + F ˜ i v , t ,
where F ˜ i v , t = F ¯ i v , t + ω i ( t ) , F ¯ i v , t = f x i , f y i , f z i T . ϖ i ( t ) and ω i ( t ) denote the mismatched disturbance and external disturbance of UAV i, respectively.

2.2.2. USV and UUV

In [46], USV and UUV are considered as the Euler–Lagrange agent ( i ( N 2 N 3 ) ) and their dynamic models are described by
η ˙ i t = v i t v ˙ i t = M i 1 A ˜ i v i t + M i 1 τ i t ,
where η i t R n , v i t R n , τ i t R n denote the position, velocity, and control input of agent i ( i ( N 2 N 3 ) ) , M i R n × n is the matrix of mass and inertia of agent i; A ˜ i stands for the state matrix of agent i.
On the basis of (4), the dynamic model of USV or UUV can further be rewritten as
η ˙ i t = v i t + ϖ i ( t ) v ˙ i t = F i u i t + E i v , t ,
where E i v , t = M i 1 A ˜ i v i t + ω i ( t ) , F i = M i 1 , and u i t = τ i t . ϖ i ( t ) and ω i ( t ) denote the mismatched disturbance and external disturbance of agent i, respectively.

2.2.3. Dynamical Models of ASHS

Based on (3) and (5), the dynamical model of the ASHS can be described by the second-order nonlinear vehicle with different dimensions and dynamics as [42,46,47]
X ˙ = V + ϖ V ˙ = A ¯ U + Ω ,
where X = X a , X s , X u T and U = U a , U s , U u T denote the position and control input of the ASHS, respectively. The subscripts a, s, and u refer to UAV, USV, and UUV, respectively. A ¯ = A ¯ a , A ¯ s , A ¯ u T , and A ¯ a = d i a g 1 / m a , 1 / m a , 1 / m a , A ¯ s = A ¯ u = M i 1 , ( i ( N 2 N 3 ) ) . ϖ denotes the mismatched disturbances of the ASHS. Ω represents the nonlinear and external disturbance of the ASHS, and Ω a = F ¯ a v , t + ω a ( t ) , Ω s = Ω u = M i 1 A ˜ i v i t + ω i ( t ) , ( i ( N 2 N 3 ) ) . Meanwhile,
X a = x a , y a , z a T , U a = u a x , u a y , u a z T , X s = x s , y s T , U s = u s x , u s y T , X u = x u , y u , z u T , U u = u u x , u u y , u u z T .
On the basis of (6) and (7), it can be observed that the dynamical models of UAV and UUV are provided with the same three dimensions and different dynamics, but the USV is equipped with two dimensions. Therefore, the ASHS is characterized by different dimensions and dynamics.

2.3. Problem Formulation

In this paper, the fixed-time formation control problem for the ASHS was studied based on the leader-follower method. Therefore, the following sections, respectively, present the dynamics model for both the follower and the leader.
According to (6) and (7), the dynamic model of follower i can be described by
x ˙ i = v i + ϖ i v ˙ i = A ¯ i u i + Ω i ,
where x i R n i and v i R n i denote the position and velocity of follower i, respectively; u i R n i stands for the control input of follower i, ϖ i R n i and Ω i R n i denote, respectively, mismatched disturbances, nonlinear and external disturbances of follower i, which are the nonlinear bounded vector function. The matrix A ¯ i = d i a g { 1 / m i , 1 / m i , 1 / m i } if and only if i N 1 ; otherwise, A ¯ i = M i 1 . n i is the position or velocity vector dimension of follower i.
The dynamic model of the leader can be described by
x ˙ 0 = v 0 + ϖ 0 v ˙ 0 = Ω 0 ,
where x 0 R n 0 and v 0 R n 0 denote the position and velocity of the leader, respectively; ϖ 0 R n 0 and Ω 0 R n 0 stand for, respectively, the mismatched disturbances, nonlinear and external disturbances of the leader, which are the nonlinear vector function.
Based on (8) and (9), the state of follower i and the leader can be described by
η i = x i 1 , v i 1 T , x i 2 , v i 2 T , , x i n i , v i n i T T
η ˙ i = I n i K 1 η i + I n i K 2 u i + F i , i V ,
where η i R 2 n i , K 1 = 0 1 0 0 , K 2 = 0 t r A ¯ i n i , F i = ϖ i 1 , Ω i 1 T , ϖ i 2 , Ω i 2 T , , ϖ i n i , Ω i n i T T .
η 0 = x 01 , v 01 T , x 02 , v 02 T , , x 0 n 0 , v 0 n 0 T T
η ˙ 0 = I 3 K 1 η 0 + F 0 ,
where F 0 = ϖ 01 , Ω 01 T , ϖ 02 , Ω 02 T , , ϖ 0 n 0 , Ω 0 n 0 T T , η 0 R 2 n 0 .
In this paper, there are two problems to be solved. Firstly, a cross-domain communication protocol should be proposed to address the communication problem about heterogeneous unmanned vehicles with different dimensions. Secondly, the distributed control protocols need to be designed to deal with the fixed-time formation control problem for the ASHS with disturbances.
In order to discuss the above problem, some other Assumptions and Lemmas are given as follow.
Assumption 2. 
The disturbances of followers and the leader are bounded, and there exists a known constant F ¯ as F 0 1 F ¯ .
Assumption 3. 
There exists a positive constant α > 0 for a bounded nonlinear function f ¯ ( t , x ) R , which satisfies
f ¯ t , x 1 f ¯ t , x 2 α x 1 t x 2 t , x 1 t , x 2 t R .
Lemma 2 
([48]). For vector M = m 1 , m 2 , , m N T R N n and m i R n ( i V ) , the following inequality holds.
M T s i g M β n β N 1 β 2 M T M 1 + β 2 ,
where β > 1 .
Lemma 3 
([49]). For the following system,
x ˙ t = f ˜ t , x , x 0 = x 0 , x t R n ,
where f ˜ ( · ) : R n R n denotes a continuous vector function and f ˜ ( 0 ) = 0 .
There exist positive constants γ > 0 , δ > 0 , 0 < p < 1 , q > 1 , and a positive definite function V ( t , x ) : R n R , if V ˙ t , x γ V p t , x δ V q t , x for x ( t ) R n , the system formulated in (5) is fixed-time stable and the upper bound of the convergence time is T m a x 1 γ 1 p + 1 δ q 1 . Besides, if V ˙ t , x δ V q t , x , V ( t , x ) 1 and T m a x = 1 δ q 1 .
Lemma 4 
([41]). For any x i R ( i V ), there exists a constant q ¯ ( 0 , 1 ] such that the following inequality satisfies
i = 1 N x i q ¯ i = 1 N x i q ¯ N 1 q ¯ i = 1 N x i q ¯ .
Lemma 5 
([50]). For any x , y R , and c , d , μ > 0 , the following inequality holds.
x c y d c c + d μ x c + d + d c + d μ c d y c + d .

3. Main Results

In this section, based on the fixed-time stability theory and the backstepping control technique, the distributed fixed-time state observer and controller were designed to solve the formation control problem for the ASHS.
First, a cross-domain communication protocol was proposed to achieve state information flow between heterogeneous unmanned vehicles with different dimensions. Next, a distributed fixed-time state observer was designed for a follower so that the state estimator of the follower can converge to the leader’s state information in a fixed time. In addition, a state tracking controller was proposed for a follower to guarantee that each follower can track its estimated state within a fixed time. Finally, the cross-domain fixed-time formation control problem for the ASHS described in (3) and (4) is solved by the above controllers.

3.1. Cross-Domain Communication Protocol

In this section, a cross-domain communication protocol was proposed. First, some matrices were introduced to the dynamics of heterogeneous unmanned vehicles so that the new state vectors of the heterogeneous unmanned system were provided with the same dimension, which tackle the problem about the state information flow between unmanned vehicles with different dimensions. Hence, the matrices were constructed as
C i j = I 2 n i , n i n j d i a g ( I 2 n j , O ) 2 n i × 2 n i , n i > n j
D i j = [ I 2 n i , O ] 2 n i × 2 n j , n i < n j I 2 n i , n i = n j I 2 n j O 2 n i × 2 n j , n i > n j
E i 0 = I 2 n i , n i = n 0 [ I 2 n i , 0 ] 2 n i × 2 n 0 , n i < n 0 .
Based on (10)–(12), the following Lemma is given.
Lemma 6. 
For any i , j V , we have
C i j E i 0 = D i j E j 0 .
Proof. 
When n i < n j , we have
C i j E i 0 = I 2 n i · I 2 n i , O 2 n i × 2 n 0 = I 2 n i , O 2 n i × 2 n 0 , n i < n j n 0
D i j E j 0 = I 2 n i , O 2 n i × 2 n j · I 2 n j , O 2 n j × 2 n 0 = I 2 n i , O 2 n i × 2 n 0 , n i < n j < n 0
D i j E j 0 = I 2 n i , O 2 n i × 2 n j · I 2 n j = I 2 n i , O 2 n i × 2 n 0 , n i < n j = n 0 .
Hence, C i j E i 0 = D i j E j 0 when n i < n j .
When n i > n j , we have
C i j E i 0 = d i a g I 2 n j , O 2 n i × 2 n i · I 2 n i , O 2 n i × 2 n 0 = d i a g I 2 n j , O 2 n i × 2 n 0 , n j < n i < n 0
C i j E i 0 = d i a g I 2 n j , O 2 n i × 2 n i · I 2 n i = d i a g I 2 n j , O 2 n i × 2 n 0 , n j < n i = n 0
D i j E j 0 = I 2 n j O I 2 n i · I 2 n j , O 2 n j × 2 n 0 = d i a g I 2 n j , O 2 n i × 2 n 0 , n j < n i n 0
Hence, C i j E i 0 = D i j E j 0 when n i > n j .
Therefore, C i j E i 0 = D i j E j 0 . □
To achieve state information flow between multiple heterogeneous unmanned vehicles in different domains, a cross-domain communication protocol is proposed as
C i j η i D i j η j , η i R 2 n i , η j R 2 n j , n i n j η i E i 0 η 0 , i , j V .
Remark 1. 
To better describe the physical meanings behind the cross-domain communication protocol, C i j η i , D i j η j , and E i 0 η 0 can be considered as the output y i , y j and y 0 of the heterogeneous unmanned system, that is, y i = C i j η i , y j = D i j η j , and y 0 = E i 0 η 0 . Based on the expression of C i j , D i j , and E i 0 described in (10)–(12), it can be seen that the system output y i , y j and y 0 are provided with the same dimensions. This approach is similar to the low-dimensional output method used for heterogeneous unmanned systems in [26,27,28,29,30]. However, our constructed output is different in that it does not result from dimensionality reduction. Instead, the construct output preserves the high-dimensional state vector and achieves the state information flow between unmanned vehicles with different dimensions.
Remark 2. 
From (13), it is worth pointing out that the high-dimensional follower can receive full state information from low-dimensional neighbors, while the low-dimensional follower can only receive partial state information from high-dimensional neighbors. Different from [26,27,28,29,30], the heterogeneous unmanned vehicle can communicate with others characterized by different dimensions directly without constructing identical low-dimensional output and guarantee the cooperation between high-dimensional heterogeneous unmanned vehicles. In addition, since UAV cannot communicate with UUV directly but achieves this by a relay node USV, this can undoubtedly increase communication overhead if UAV serves as the neighbor node of UUV. Therefore, only USV is considered as the neighbor node of UAV or UUV in the cross-domain communication protocol, that is, n i n j .
Definition 1. 
For any initial state of ASHS, the cross-domain fixed-time formation control is achieved if
lim t T max η i E i 0 η 0 J i h i = 0 , i V ,
where T max denotes a predefined fixed time and T max > 0 . J i = I n i d i a g ( 1 , 0 ) , i V .
Remark 3. 
According to Definition 1 and Lemma 6, it can be observed that
lim t T max C i j η i J i h i D i j η j J j h j = lim t T max C i j η i E i 0 η 0 J i h i D i j η j E j 0 η 0 J j h j = 0 ,
where J j = I n j d i a g ( 1 , 0 ) , j V .
From (14), it can be seen that the information exchange between the heterogeneous unmanned vehicles in different dimensions can be achieved by a cross-domain communication protocol formulated in (13). In other words, the high-dimensional follower can receive full state information from low-dimensional neighbors but the low-dimensional follower can only receive partial state information of high-dimensional neighbors and the leader.

3.2. Distributed Fixed-Time State Observer

In this section, due to the influence of unknown disturbances on heterogeneous unmanned vehicles, we only know the state estimator of the follower. In order to enable the state estimator of a follower to track the trajectory of the leader within a fixed time, a distributed fixed-time state observer is designed as
η ^ ˙ i = k 1 s i g θ j N i a i j C i j η ^ i J i h i D i j η ^ j J j h j + b i C i j η ^ i E i 0 η 0 J i h i k 2 s i g n j N i a i j C i j η ^ i J i h i D i j η ^ j J j h j + b i C i j η ^ i E i 0 η 0 J i h i ,
where η ^ i and η ^ j denote the state of the observer of follower i and its neighbor j, respectively; k 1 and k 2 stand for the positive constants to be designed.
Let ε ¯ i = C i j ε i = η ^ i E i 0 η 0 J i h i and ε i R 2 n i . Then, we have
ε ¯ ˙ i = k 1 s i g θ j N i a i j C i j ε i D i j ε j + b i C i j ε i + E i 0 F ¯ · 1 2 n 0 F 0 k 2 s i g n j N i a i j C i j ε i D i j ε j + b i C i j ε i = k 1 s i g θ j N i a i j ε ¯ i ε ¯ j + b i ε ¯ i + E i 0 F ¯ · 1 2 n 0 F 0 k 2 s i g n j N i a i j ε ¯ i ε ¯ j + b i ε ¯ i .
Let e i = j N i a i j ε ¯ i ε ¯ j + b i ε ¯ i and e i R 2 n i , we have e = L + B I 4 ε ¯ = H I 4 ε ¯ and e R 2 N n i , where H = L + B .
Theorem 1. 
Suppose that positive constants k 1 > 0 , k 2 > 0 , θ > 1 . Based on the distributed fixed-time state observer formulated in (15), if the inequalities
χ 2 λ min 2 H λ max H 1 2 > 0 6 θ k 1 N 1 θ 2 2 λ min 2 H λ max H 1 + θ 2 > 0
hold, lim t T max η ^ i E i 0 η 0 J i h i = 0 , i V . That is, the state estimator of follower i can converge to the leader’s state in a fixed time.
Proof. 
The Lyapunov function can be constructed as
V t = 1 2 ε T H I 4 ε .
The derivative of (16) is given as
V ˙ t = ε ¯ T H I 4 ε ¯ ˙ = ε ¯ T H I 4 k 1 s i g θ H I 4 ε ¯ k 2 s i g n H I 4 ε ¯ + ε ¯ T H I 4 E 0 1 N F ¯ · 1 2 n 0 F 0 = k 1 e T s i g θ e k 2 e T s i g n e + e T E 0 1 N F ¯ · 1 2 n 0 F 0 ,
where E 0 = d i a g ( E 10 , E 20 , , E N 0 ) .
According to Lemma 2, we have
V ˙ t 6 θ k 1 N 1 θ 2 e T e 1 + θ 2 k 2 e T s i g n e + e T E 0 1 N F ¯ F 0 6 θ k 1 N 1 θ 2 e T e 1 + θ 2 + i = 1 N j = 1 n i k 2 e i j s i g n e i j + 4 F ¯ e i j = 6 θ k 1 N 1 θ 2 e T e 1 + θ 2 χ e 1 ,
where χ = k 2 4 F ¯ .
Based on Lemma 4, we have
e 1 = i = 1 N j = 1 n i e i j 2 1 2 i = 1 N j = 1 n i e i j 2 1 2 = e T e 1 2 = ε ¯ T H I 4 T H I 4 ε ¯ 1 2 2 λ min 2 H λ max H V t 1 2 .
Then, (17) can be rewritten as
V ˙ t 6 θ k 1 N 1 θ 2 2 λ min 2 H λ max H V t 1 + θ 2 χ 2 λ min 2 H λ max H V t 1 2 = 6 θ k 1 N 1 θ 2 2 λ min 2 H λ max H 1 + θ 2 V t 1 + θ 2 χ 2 λ min 2 H λ max H 1 2 V t 1 2 .
Based on Lemma 3, γ = χ 2 λ min 2 H λ max H 1 2 , p = 1 2 , δ = 6 θ k 1 N 1 θ 2 2 λ min 2 H λ max H 1 + θ 2 , and q = 1 + θ 2 . Then, the convergence time can be calculated as
T 1 * = 1 γ 1 1 2 + 1 δ 1 + θ 2 1 = 2 1 γ + 1 δ θ 1 .
Therefore, based on the distributed fixed-time state observer formulated in (15), the state estimator of a follower can converge to the leader’s state in a fixed time. That is, η ^ i E i 0 η 0 J i h i = 0 as t < T 1 * , i V . □

3.3. Fixed-Time State Tracking Controller

In this section, a state tracking controller is proposed using the backstepping control technique in which each follower can track its estimated state within a fixed time.
Let x ¯ i = x i x ^ i and v ¯ i = v i v ^ i , the error system between follower i and its estimator can be described by
x ¯ ˙ i = v ¯ i + ϖ i ϖ 0 v ¯ ˙ i = A ¯ i u i + Ω i Ω 0 .
A fixed-time state tracking controller is designed as
u i = A ¯ i 1 1 k 3 2 x ¯ i k 3 k 4 s i g 3 x ¯ i + φ 2 ξ i 3 k 4 2 d i a g Q x ¯ i + k 5 ξ i ξ i T ξ i ,
where k 3 , k 4 , k 5 are gain parameters to be designed, ξ i = v ¯ i + k 3 x ¯ i + k 4 s i g 3 x ¯ i , and Q x ¯ i = s i g 2 x ¯ i s i g 3 x ¯ i T .
Theorem 2. 
Suppose that positive constants k 3 , k 4 , α 2 , μ 1 , μ 2 , k 3 > α 1 > 0 . Based on the fixed-time state tracking controller formulated in (19), if the inequalities
k 3 2 3 N 1 φ 4 > 0 k 4 φ 3 > 0 ψ > 1
hold, the ASHS described in (8) and (9) achieves the cross-domain formation control in a fixed time.
Proof. 
The Lyapunov function can be constructed as
V 1 = 1 2 i = 1 N x ¯ i T x ¯ i .
The derivative of (21) is
V 1 ˙ = i = 1 N x ¯ i T v ¯ i + i = 1 N x ¯ i T ϖ i ϖ 0 i = 1 N x ¯ i T v ¯ i + α 1 i = 1 N x ¯ i 2 2 .
By means of the backstepping control technique, a virtual control v ¯ i * is constructed for agent i as v ¯ i * = k 3 s i g 3 x ¯ i . Then, (22) can be described by
V 1 . i = 1 N x ¯ i T v ¯ i v ¯ i * + v ¯ i * + α 1 i = 1 N x ¯ i 2 2 = i = 1 N x ¯ i T v ¯ i * + i = 1 N x ¯ i T v ¯ i v ¯ i * + α 1 i = 1 N x ¯ i 2 2 = i = 1 N x ¯ i T v ¯ i v ¯ i * k 3 s i g 3 x ¯ i + α 1 i = 1 N x ¯ i 2 2 .
Let ξ i = v ¯ i v ¯ i * , V 2 = V 1 + 1 2 ξ i T ξ i . Then,
V ˙ 2 = V ˙ 1 + i = 1 N ξ i T ξ ˙ i = i = 1 N x ¯ i T ξ i k 3 i = 1 N x ¯ i T s i g 3 x ¯ i + α 1 i = 1 N x ¯ i 2 2 + i = 1 N ξ i T ξ ˙ i .
For (23), we have
i = 1 N ξ i T ξ ˙ i = A ¯ i i = 1 N ξ i T u i + i = 1 N ξ i T Ω i Ω 0 + 3 k 3 i = 1 N j = 1 n i ξ i j s i g 2 x ¯ i · x ¯ ˙ i j A ¯ i i = 1 N ξ i T u i + 3 k 3 i = 1 N j = 1 n i ξ i j s i g 2 x ¯ i · x ¯ ˙ i j + α 2 i = 1 N j = 1 n i ξ i j 2 + k 3 ξ i j x ¯ i j 3 ,
where n i denotes the dimension of vectors ξ i and x ¯ i .
Meanwhile,
3 k 3 i = 1 N j = 1 n i ξ i j s i g 2 x ¯ i · x ¯ ˙ i j 3 k 3 i = 1 N j = 1 n i ξ i j s i g 2 x ¯ i j · v ¯ i j + 3 α 1 k 3 i = 1 N j = 1 n i ξ i j x ¯ i j 3 = 3 k 3 i = 1 N j = 1 n i ξ i j 2 x ¯ i j 2 3 k 3 2 i = 1 N j = 1 n i ξ i j 2 s i g 2 x ¯ i j s i g 3 x ¯ i j + 3 α 1 k 3 i = 1 N j = 1 n i ξ i j x ¯ i j 3 3 k 3 i = 1 N j = 1 n i ξ i j 2 x ¯ i j 2 3 k 3 2 i = 1 N j = 1 n i ξ i j 2 x ¯ i j 5 + 3 α 1 k 3 i = 1 N j = 1 n i ξ i j x ¯ i j 3 .
Substituting (24) and (25) into (23),
V ˙ 2 A ¯ i i = 1 N ξ i T u i k 3 i = 1 N x ¯ i T s i g 3 x ¯ i + α 1 i = 1 N x ¯ i 2 2 + i = 1 N ξ i T x ¯ i + α 2 i = 1 N ξ i 2 2 + ϕ 1 i = 1 N j = 1 n i ξ i j x ¯ i j 3 + 3 k 3 i = 1 N j = 1 n i ξ i j 2 x ¯ i j 2 3 k 3 2 i = 1 N j = 1 n i ξ i j 2 x ¯ i j 5 ,
where ϕ 1 = k 3 3 α 1 + α 2 .
According to Lemma 5, we have
ξ i j x ¯ i j 1 2 μ 1 ξ i j 2 + 1 2 μ 1 1 x ¯ i j 2 ξ i j x ¯ i j 3 1 4 μ 2 ξ i j 4 + 3 4 μ 2 1 3 x ¯ i j 4 ξ i j 2 x ¯ i j 2 1 2 μ 3 ξ i j 4 + 1 2 μ 3 1 x ¯ i j 4 .
Substituting (27) into (26),
V ˙ 2 A ¯ i i = 1 N ξ i T u i + α 1 i = 1 N j = 1 n i x ¯ i j 2 k 3 i = 1 N x ¯ i T s i g 3 x ¯ i + α 1 + 1 2 μ 1 i = 1 N j = 1 n i x ¯ i j 2 + α 2 + μ 1 2 i = 1 N j = 1 n i ξ i j 2 + ϕ 1 μ 2 4 + 3 k 3 μ 3 2 i = 1 N j = 1 n i ξ i j 2 + ϕ 1 4 μ 2 1 3 + 3 k 3 2 μ 3 i = 1 N j = 1 n i x ¯ i j 2 = A ¯ i i = 1 N ξ i T u i k 3 i = 1 N x ¯ i T s i g 3 x ¯ i + φ 1 i = 1 N j = 1 n i x ¯ i j 2 + φ 2 i = 1 N j = 1 n i ξ i j 2 + φ 3 i = 1 N j = 1 n i ξ i j 4 + φ 4 i = 1 N j = 1 n i x ¯ i j 4 ,
where φ 1 = α 1 + 1 2 μ 1 , φ 2 = α 2 + μ 1 2 , φ 3 = ϕ 1 μ 2 4 + 3 k 3 μ 3 2 , φ 4 = ϕ 1 4 μ 2 1 3 + 3 k 3 2 μ 3 .
The control protocol is designed for agent i as
u i = 2 3 N k 4 A ¯ i 1 s i g 3 ξ i .
Then, (28) can be rewritten as
V ˙ 2 k 4 φ 3 i = 1 N j = 1 n i ξ i j 4 + φ 2 i = 1 N j = 1 n i ξ i j 2 k 3 2 3 N 1 φ 4 i = 1 N j = 1 n i x ¯ i j 4 + φ 1 i = 1 N j = 1 n i x ¯ i j 2 = k 4 φ 3 i = 1 N j = 1 n i ξ i j 2 σ 1 2 + σ 1 2 k 3 2 3 N 1 φ 4 i = 1 N j = 1 n i x ¯ i j 2 σ 2 2 + σ 2 2 ,
where σ 1 = φ 2 2 k 4 φ 3 , σ 2 = φ 1 2 k 3 2 3 N 1 φ 4 .
When σ 1 and σ 2 can be small positive constants, ξ i j 2 σ 1 ξ i j 2 , x ¯ i j 2 σ 2 x ¯ i j 2 . Therefore, based on Lemma 2, (30) can be further expressed as
V ˙ 2 i = 1 N k 4 φ 3 ξ i T ξ i 2 k 3 2 3 N 1 φ 4 x ¯ i T x ¯ i 2 + σ 1 2 + σ 2 2 ψ i = 1 N x ¯ i T x ¯ i 2 + ξ i T ξ i 2 + σ = ψ 1 + 1 i = 1 N x ¯ i T x ¯ i 2 + ξ i T ξ i 2 + σ ψ 1 + 1 i = 1 N x ¯ i T x ¯ i 2 + ξ i T ξ i 2 2 i = 1 N x ¯ i T x ¯ i ξ i T ξ i + σ ψ 1 i = 1 N x ¯ i T x ¯ i + ξ i T ξ i 2 + σ ,
where ψ = min k 3 2 3 N 1 φ 4 , k 4 φ 3 , σ = σ 1 + σ 2 .
According to Lemma 4, (31) can be rewritten as
V ˙ 2 ψ 1 i = 1 N x ¯ i T x ¯ i + ξ i T ξ i 2 + σ = 4 ψ 1 V 2 2 + σ .
If V 2 2 2 σ , V ˙ 2 2 ψ 1 V 2 2 . Based on Lemma 3, δ = 2 ψ 1 , and q = 2 . Hence, the convergence time is T 2 * = 1 2 ψ 1 .
Therefore, based on the fixed-time state tracking controller formulated in (19), the error of a follower described in (18) can converge to 0 in a fixed time t < T 2 * , i V .
Finally, under the distributed fixed-time state observer formulated in (15) and the state tracking controller formulated in (19), the ASHS described in (8) and (9) achieves the cross-domain formation control in a fixed time t < T 1 * + T 2 * . □

4. Simulation Results and Discussions

In this section, two examples are provided to demonstrate the effectiveness of distributed control protocols for the fixed-time formation control problem for the ASHS. In a given three-dimensional space with the initial states of unmanned systems provided, based on the proposed control algorithm, a preset formation of the ASHS can be achieved within a finite time.
Example 1. 
In this example, the ASHS is composed of three groups including ten followers and one leader as 0, where three groups contain three UAVs as i , i { 1 , 2 , 3 } , three USVs as i , i { 4 , 5 , 6 } and four UUVs as i, i { 7 , 8 , 9 , 10 } .
Set the initial position of the leader to be x 0 0 = 0 m , y 0 0 = 10 m , and z 0 0 = 30 m . The initial positions of UAVs are randomly distributed in 20 , 40 m × 20 , 40 m under X and Y coordinates, and Z = z 1 , z 2 , z 3 = 80 m , 100 m , 120 m under the Z coordinate. m i = 2 kg , i { 1 , 2 , 3 } . The initial positions of USVs are randomly distributed in 20 , 40 m × 20 , 40 m × 0 . The initial positions of UUVs are randomly distributed in 20 , 40 m × 20 , 40 m under X and Y coordinates, and Z = z 7 , z 8 , z 9 , z 10 = 45 m , 28 m , 60 m , 5 m under the Z coordinate. M i = 25.8 0 0 0 33.8 1.1 0 1.1 2.76 , i { 4 , 5 , , 10 } .
The communication topology of the ASHS is shown in Figure 2, where the dotted line represents the cross-domain communication. B = d i a g 1 , 0 , 0 , 1 , 0 , 0 , 1 , 0 , 1.5 , 0 , the Laplacian matrix L is given asJmse 11 01336 i001where L a = 3.5 1 1.5 1 1 0 1.5 0 1.5 , a 14 = a 41 = 1 , L s = 4.5 1.5 1 1.5 2.5 1 1 1 2 , a 74 = a 47 = 1 , and L u = 3 1 0 1 1 2 1 0 0 1 1 0 1 0 0 1 . .
Based on Theorems 1 and 2, some parameters of the proposed control protocols formulated in (15) and (19) are designed as k 1 = 8 , k 2 = 6 , k 3 = 50 , k 4 = 10 3 , θ = 1.5 , α 1 = α 2 = 10 3 , μ 2 = 1 , and μ 3 = 2 5 .
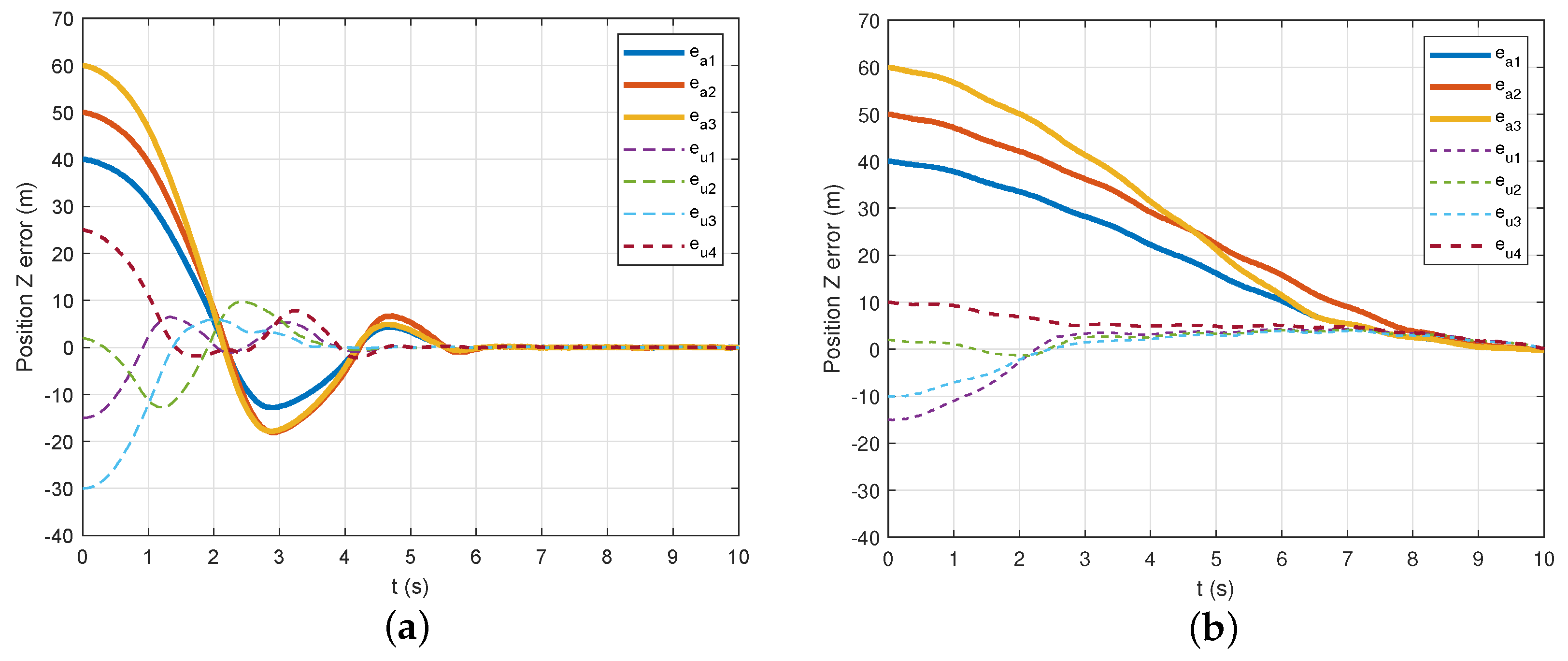
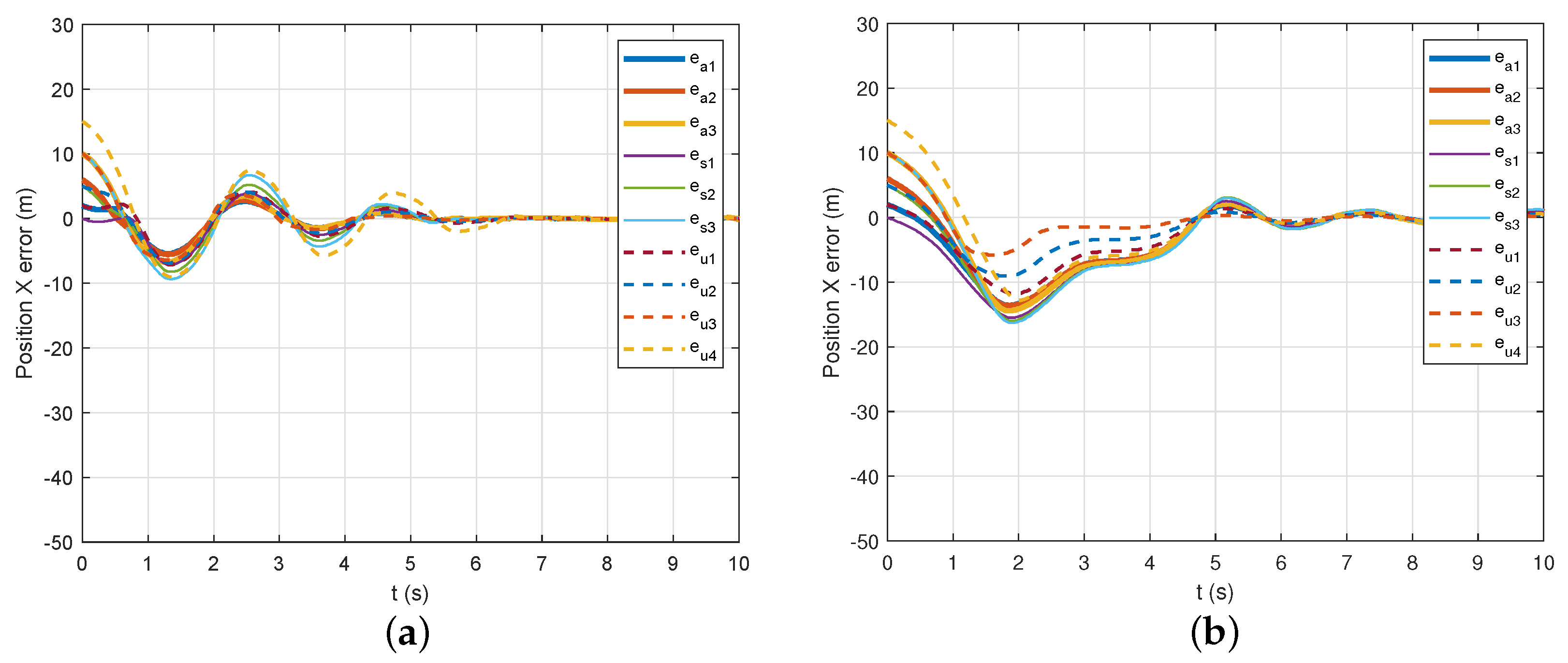
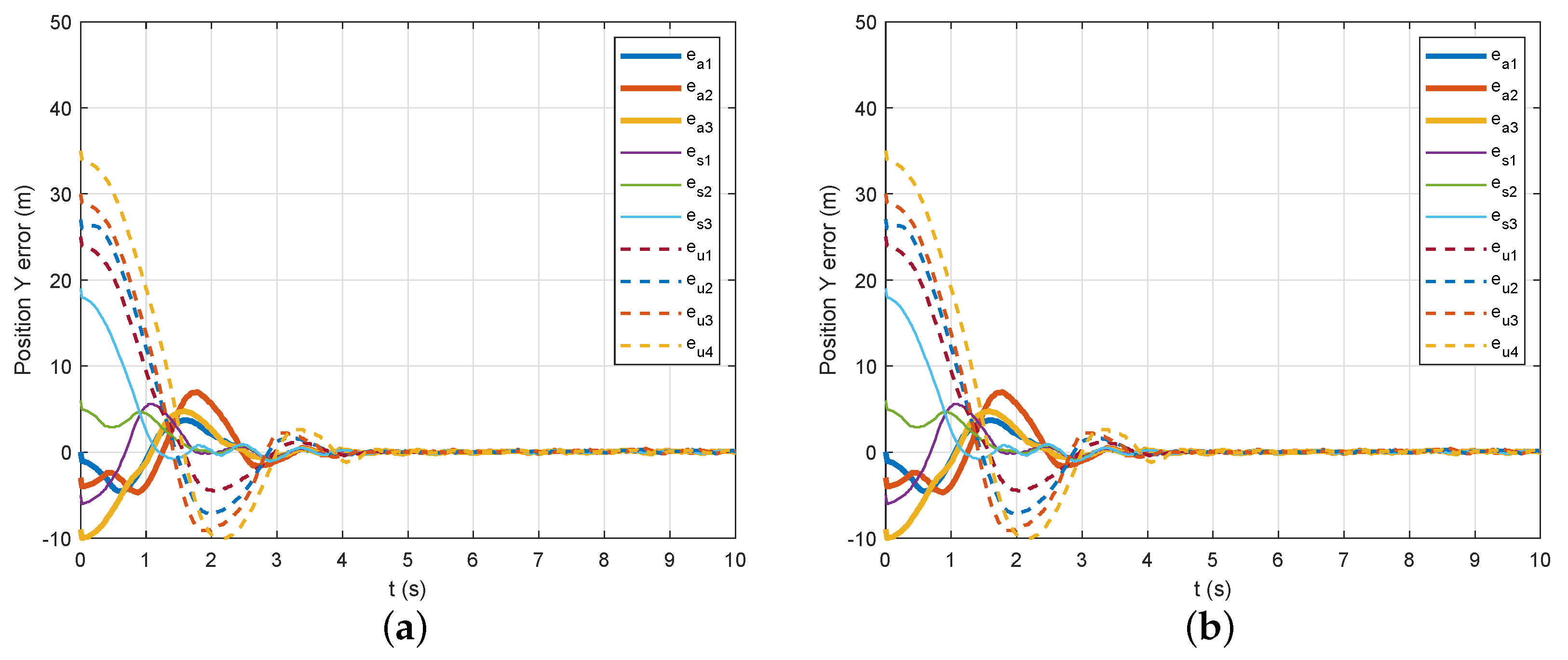
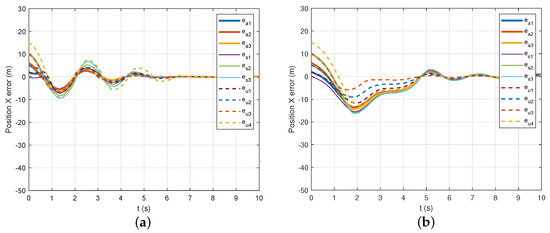
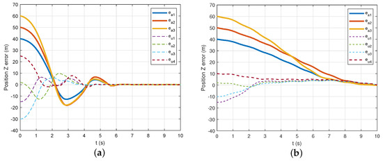
Figure 3, Figure 4, Figure 5 and Figure 6 give the simulation results of Example 1. From Figure 3a, Figure 4a and Figure 5a, based on the proposed cross-domain communication protocol, it can be observed that the spatial position errors of the leader and followers are asymptotically convergent to zero at t = 6 s < T 1 * + T 2 * , where T 1 * = 19.2 s and T 2 * = 2.5 s . Although the position X and Y errors of the method in [29,30] are the same as the proposed method in this paper from Figure 3 and Figure 4, the position Z error of the former is different to the latter from Figure 5, where the position Z error in the method in [29,30] is divergent from Figure 5b. The main reason is that the same low-dimensional output is used to deal with the problem of information exchange between heterogeneous unmanned vehicles caused by different dimensions between them in [29,30]; the method proposed in this paper can result in the inability of information exchange between high-dimensional unmanned vehicles in a heterogeneous unmanned system. For instance, the information exchange between heterogeneous unmanned vehicles with different dimensions can be achieved in the horizontal direction, and the spatial position errors are convergent to zero from Figure 3b and Figure 4b, but the position Z errors between high-dimensional UAVs or UUVs cannot achieve convergence due to the unavailability of information exchange between high-dimensional unmanned vehicles in the high-dimensional vertical direction from Figure 5b and Figure 6b.
Therefore, compared with the formation control of the heterogeneous unmanned system by constructing the same low-dimensional output in [29,30], our proposed cross-domain communication protocol can accomplish the information exchange between high-dimensional unmanned vehicles and achieve the formation control in the vertical direction as seen in Figure 5a and Figure 6a. On the other hand, although the proposed cross-domain communication protocol can achieve state information flow between unmanned vehicles with different dimensions and track the high-dimensional reference signal cooperatively, the high-dimensional unmanned systems require the information exchange among them due to the lack of dimensionality reduction methods such as those in [29,30]. Based on the times of the algorithm loops, the complexity of the proposed protocol and the methods in [29,30] are O 600 and O 300 , respectively. Therefore, the computational overhead of the proposed protocol increases.
Example 2. 
This example adjusts the disturbances constraint based on Example 1 to illustrate that the disturbances can affect the convergence time of the ASHS. In order to further highlight the anti-disturbance ability of the proposed control algorithm, a comparative experiment was also conducted with [51] in this example. Therefore, on the basis of Example 1, the mismatched disturbances can be set as
ϖ 1 = 0.01 , 0.01 cos 0.2 i 1 t , 0.02 sin 0.1 i 1 t T , i 1 ( N 1 N 3 ) ϖ 2 = 0.01 , 0.01 cos 0.2 i 2 t T , i 2 N 2 ϖ 0 = 0.1 t , cos 0.2 t , 2 sin 0.1 t T .
Meanwhile, the external disturbances are set as
Ω 1 = 0.07 sin 0.5 i 1 t , 0.05 cos 1.5 i 1 t , 0.03 sin i 1 t T , i 1 ( N 1 N 3 ) Ω 2 = 0.07 sin 0.5 i 2 t , 0.05 cos 1.5 i 2 t T , i 2 N 2 Ω 0 = 0.1 , 0.2 , 0.2 T .
Figure 7, Figure 8, Figure 9, Figure 10 and Figure 11 give the simulation results of Example 2. On the one hand, from the left sub-figure in Figure 7, Figure 8 and Figure 9, the convergence time of the ASHS is different from the left sub-figure in Figure 3, Figure 4 and Figure 5 in Example 1; the main reason is that the convergence time is related to the disturbances constraint from condition (23) of Theorem 2. In the presence of the disturbances constraint, the error convergence rate of the proposed mechanism is faster than that of the method in [51], shown in Figure 7, Figure 8, Figure 9, Figure 10 and Figure 11. This is because the impact of the disturbances factor on the ASHS was not taken into consideration in the controller design in [51]. On the other hand, based on the times of the algorithm loops, the complexity of the proposed protocol and the methods in [51] are O 900 and O 500 , respectively. Therefore, the computational overhead of the proposed protocol increases, the main reason is that a part of the controller is used for compensating for unknown disturbances.
The convergence time of the proposed fixed-time formation control protocols with the initial states are listed in Table 1. From Table 1, one finds that the convergence time is the same although the initial positions of followers and the leader are different, the convergence time of the proposed fixed-time formation control protocols is independent of the initial state.
Therefore, under the distributed control protocols formulated in (15) and (19), the cross-domain fixed-time formation control problem for the ASHS described in (8) and (9) can be solved.

5. Conclusions

In this paper, the cross-domain fixed-time formation control problem for the ASHS was investigated. First, a cross-domain communication protocol was presented to address the information exchange problem between heterogeneous unmanned vehicles with different dimensions. With the cross-domain communication protocol, the high-dimensional unmanned vehicle receives full state information from low-dimensional neighbors, while the low-dimensional follower only receives partial state information from high-dimensional neighbors. Then, according to the backstepping technique and fixed-time control theory, the distributed fixed-time observer and controller were designed to deal with the formation control problem of the ASHS with disturbances. The effectiveness of the proposed coordinated control protocols were verified by simulations. Moreover, given any initial state, the convergence time of the proposed fixed-time formation control protocols is the same.
In the future, to achieve obstacle avoidance and meet the task requirements at different stages for the ASHS, the time-varying formation control problem for the ASHS with obstacles will be studied.

Author Contributions

Conceptualization, investigation, simulation, writing—original draft, writing—review and editing, C.K.; methodology, funding acquisition, H.C.; conceptualization, supervision, methodology, L.X.; investigation, writing-review and editing, methodology, C.K. and H.C.; investigation, data curation, L.X. All authors have read and agreed to the published version of the manuscript.

Funding

This work is partly supported by Science and Technology Department of Zhejiang Province (No. 2018R52046), the National Natural Science Foundation of China (No. 42227901 and No. 62271442).

Institutional Review Board Statement

Not applicable.

Informed Consent Statement

Not applicable.

Data Availability Statement

Not applicable.

Conflicts of Interest

The authors declare no conflict of interest.

References

  1. Shakhatreh, H.; Sawalmeh, A.; Al-Fuqaha, A. Unmanned aerial vehicles (UAVs): A survey on civil applications and key research challenges. IEEE Access 2019, 7, 48572–48634. [Google Scholar] [CrossRef]
  2. Gupta, L.; Jain, R.; Vaszkun, G. Survey of important issues in UAV communication networks. IEEE Commun. Surv. Tutor. 2015, 18, 1123–1152. [Google Scholar] [CrossRef]
  3. Kumar, S.; Sharma, B.; Vanualailai, J.; Prasad, A. Stable switched controllers for a swarm of UGVs for hierarchal landmark navigation. Swarm Evol. Comput. 2021, 65, 100926. [Google Scholar] [CrossRef]
  4. Beinhofer, M.; Müller, J.; Krause, A.; Burgard, W. Robust landmark selection for mobile robot navigation. In Proceedings of the IEEE/RSJ International Conference on Intelligent Robots and Systems (IROS), Tokyo, Japan, 3–7 November 2013; pp. 3637–3643. [Google Scholar]
  5. Yan, J.; Gong, Y.; Chen, C.; Luo, X.; Guan, X. AUV-aided localization for internet of underwater things: A reinforcement-learning-based method. IEEE Internet Things J. 2020, 7, 9728–9746. [Google Scholar] [CrossRef]
  6. Manley, J. Autonomous underwater vehicles for ocean exploration. In Proceedings of the Oceans 2003, San Diego, USA, 22–26 September 2003; pp. 327–331. [Google Scholar]
  7. Lin, C.; Han, G.; Guizani, M.; Bi, Y.; Du, J.; Shu, L. An SDN architecture for AUV-based underwater wireless networks to enable cooperative underwater search. IEEE Wirel. Commun. 2020, 27, 132–139. [Google Scholar] [CrossRef]
  8. Jung, J.; Li, J.; Choi, H.; Myung, H. Localization of AUVs using visual information of underwater structures and artificial landmarks. Intell. Serv. Robot. 2017, 10, 67–76. [Google Scholar] [CrossRef]
  9. Suo, W.; Wang, M.; Zhang, D.; Qu, Z.; Yu, L. Formation control technology of fixed-wing UAV swarm based on distributed ad hoc network. Appl. Sci. 2022, 12, 535. [Google Scholar] [CrossRef]
  10. Ma, X.; Wang, Y.; Zhang, G.; Yang, S.; Li, S. Discrete-time formation control of multiple heterogeneous underwater gliders. Ocean Eng. 2022, 258, 111728. [Google Scholar] [CrossRef]
  11. Liu, Z.; Li, Y.; Wu, Y.; He, S. Formation control of nonholonomic unmanned ground vehicles via unscented Kalman filter-based sensor fusion approach. ISA Trans. 2022, 125, 60–71. [Google Scholar] [CrossRef]
  12. Yan, Z.; Zhang, C.; Zhang, M.; Yan, J.; Tian, W. Distributed event-triggered formation control for multi-AUV system via asynchronous periodic sampling control approach. Ocean Eng. 2022, 256, 111561. [Google Scholar] [CrossRef]
  13. Rekabi, F.; Shirazi, F.; Sadigh, M. Distributed nonlinear H control algorithm for multi-agent quadrotor formation flying. ISA Trans. 2022, 96, 81–94. [Google Scholar] [CrossRef]
  14. Sadowska, A.; den Broek, T.; Huijberts, H.; van de Wouw, N.; Kostić, D.; Nijmeijer, H. A virtual structure approach to formation control of unicycle mobile robots using mutual coupling. Int. J. Control 2011, 84, 1886–1902. [Google Scholar] [CrossRef]
  15. Zhao, W.; Yu, W.; Zhang, H. Observer-based formation tracking control for leader-follower multi-agent systems. IET Control Theory Appl. 2019, 13, 239–247. [Google Scholar] [CrossRef]
  16. Balch, T.; Arkin, R. Behavior-based formation control for multirobot teams. IEEE Trans. Robot. Autom. 1998, 14, 926–939. [Google Scholar] [CrossRef]
  17. Liu, Y.; Huang, P.; Zhang, F.; Zhao, Y. Distributed formation control using artificial potentials and neural network for constrained multiagent systems. IEEE Trans. Control Syst. Technol. 2020, 28, 697–704. [Google Scholar] [CrossRef]
  18. Qian, Y.; Liu, L.; Feng, G. Distributed event-triggered adaptive control for consensus of linear multi-agent systems with external disturbances. IEEE Trans. Cybern. 2020, 50, 2197–2208. [Google Scholar] [CrossRef]
  19. Lu, M.; Wu, J.; Zhan, X.; Han, T.; Yan, H. Consensus of second-order heterogeneous multi-agent systems with and without input saturation. ISA Trans. 2022, 126, 14–20. [Google Scholar] [CrossRef]
  20. Zhan, X.; Hao, L.; Han, T.; Yan, H. Adaptive bipartite output consensus for heterogeneous multi-agent systems with quantized information: A fixed-time approach. J. Frankl. Inst. 2021, 358, 7221–7236. [Google Scholar] [CrossRef]
  21. Mattioni, M.; Monaco, S. Cluster partitioning of heterogeneous multi-agent systems. Automatica 2022, 138, 110136. [Google Scholar] [CrossRef]
  22. Liu, Y.; Wang, Z. Optimal output synchronization of heterogeneous multi-agent systems using measured input-output data. Inf. Sci. 2022, 582, 462–479. [Google Scholar] [CrossRef]
  23. Agarwala, N. Monitoring the ocean environment using robotic systems: Advancements, trends, and challenges. J. Frankl. Inst. 2020, 54, 42–60. [Google Scholar] [CrossRef]
  24. Liu, J.; Su, Z.; Xu, Q. UAV-USV cooperative task allocation for smart ocean networks. In Proceedings of the 23th IEEE International Conference on High Performance Computing and Communications (HPCC), Haikou, China, 20–22 December 2021; pp. 1815–1820. [Google Scholar]
  25. Ke, C.; Chen, H. Cooperative path planning for air–sea heterogeneous unmanned vehicles using search-and-tracking mission. Ocean Eng. 2022, 262, 112020. [Google Scholar] [CrossRef]
  26. Wang, G.; Wang, X.; Li, S. Signal generator based finite-time formation control for disturbed heterogeneous multi-agent systems. J. Frankl. Inst. 2022, 359, 1041–1061. [Google Scholar] [CrossRef]
  27. Zuo, S.; Song, Y.; Lewis, F.L.; Davoudi, A. Adaptive output formation-tracking of heterogeneous multi-agent systems using time-varying L2-gain design. IEEE Control Syst. Lett. 2018, 2, 236–241. [Google Scholar] [CrossRef]
  28. Yan, B.; Shi, P.; Lim, C.; Shi, Z. Optimal robust formation control for heterogeneous multi-agent systems based on reinforcement learning. Int. J. Robust Nonlinear Control 2022, 32, 2683–2704. [Google Scholar] [CrossRef]
  29. Jiang, W.; Wen, G.; Peng, Z.; Huang, T.; Rahmani, A. Fully distributed formation-containment control of heterogeneous linear multiagent systems. IEEE Trans. Autom. Control 2019, 64, 3889–3896. [Google Scholar] [CrossRef]
  30. Hua, Y.; Dong, X.; Hu, G.; Li, Q.; Ren, Z. Distributed time-varying output formation tracking for heterogeneous linear multiagent systems with a nonautonomous leader of unknown input. IEEE Trans. Autom. Control 2019, 64, 4292–4299. [Google Scholar] [CrossRef]
  31. Huang, D.; Li, H.; Li, X. Formation of generic UAVs-USVs system under distributed model predictive control scheme. IEEE Trans. Circuits Syst. II Express Briefs 2020, 67, 3123–3127. [Google Scholar] [CrossRef]
  32. Cai, Y.; Zhang, H.; Wang, Y.; Gao, Z.; He, Q. Adaptive bipartite fixed-time time-varying output formation-containment tracking of heterogeneous linear multiagent systems. IEEE Trans. Neural Netw. Learn. Syst. 2021, 33, 4688–4698. [Google Scholar] [CrossRef]
  33. He, S.; Wang, M.; Dai, S.; Luo, F. Leader-follower formation control of USVs with prescribed performance and collision avoidance. IEEE Trans. Ind. Inform. 2019, 15, 572–581. [Google Scholar] [CrossRef]
  34. Li, D.; Ge, S.; He, W.; Ma, G.; Xie, L. Multilayer formation control of multi-agent systems. Automatica 2019, 109, 108558. [Google Scholar] [CrossRef]
  35. Meng, C.; Zhang, X. Distributed leaderless formation control for multiple autonomous underwater vehicles based on adaptive nonsingular terminal sliding mode. Appl. Ocean Res. 2021, 115, 102781. [Google Scholar] [CrossRef]
  36. Xiao, F.; Wang, L.; Chen, J.; Gao, Y. Finite-time formation control for multi-agent systems. Automatica 2009, 45, 2605–2611. [Google Scholar] [CrossRef]
  37. Li, T.; Zhao, R.; Chen, C.; Fang, L.; Liu, C. Finite-time formation control of under-actuated ships using nonlinear sliding mode control. IEEE Trans. Cybern. 2022, 48, 3243–3253. [Google Scholar] [CrossRef]
  38. Huang, C.; Zhang, X.; Zhang, G. Adaptive neural finite-time formation control for multiple underactuated vessels with actuator faults. Ocean Eng. 2021, 222, 108556. [Google Scholar] [CrossRef]
  39. Lin, J.; Liu, H.; Tian, X. Neural network-based prescribed performance adaptive finite-time formation control of multiple underactuated surface vessels with collision avoidance. J. Frankl. Inst. 2022, 359, 5174–5205. [Google Scholar] [CrossRef]
  40. Shou, Y.; Xu, B.; Lu, H.; Zhang, A.; Mei, T. Finite-time formation control and obstacle avoidance of multi-agent system with application. Int. J. Robust Nonlinear Control 2022, 32, 2883–2901. [Google Scholar] [CrossRef]
  41. Du, H.; Wen, G.; Wu, D.; Cheng, Y.; Lü, J. Distributed fixed-time consensus for nonlinear heterogeneous multi-agent systems. Automatica 2020, 113, 108797. [Google Scholar] [CrossRef]
  42. Cheng, W.; Zhang, K.; Jiang, B.; Ding, S. Fixed-time fault-tolerant formation control for heterogeneous multi-agent systems with parameter uncertainties and disturbances. IEEE Trans. Circuits Syst. I Regul. Pap. 2021, 68, 2121–2133. [Google Scholar] [CrossRef]
  43. Li, Q.; Wei, J.; Gou, Q.; Niu, Z. Distributed adaptive fixed-time formation control for second-order multi-agent systems with collision avoidance. Inf. Sci. 2021, 564, 27–44. [Google Scholar] [CrossRef]
  44. Wang, Y.; Shen, Z.; Wang, Q.; Yu, H. Predictor-based practical fixed-time adaptive sliding mode formation control of a time-varying delayed uncertain fully-actuated surface vessel using RBFNN. IEEE Trans. Control Syst. Technol. 2021, 125, 166–178. [Google Scholar] [CrossRef] [PubMed]
  45. Chang, S.; Wang, Y.; Zuo, Z.; Yang, H. Fixed-time formation control for wheeled mobile robots with prescribed performance. IEEE Trans. Control Syst. Technol. 2022, 30, 844–851. [Google Scholar] [CrossRef]
  46. Li, H.; Li, X. Distributed consensus of heterogeneous linear time-varying systems on UAVs-USVs coordination. IEEE Trans. Circuits Syst. II Express Briefs 2019, 7, 1264–1268. [Google Scholar] [CrossRef]
  47. Yang, X.; Wang, W.; Huang, P. Distributed optimal consensus with obstacle avoidance algorithm of mixed-order UAVs-USVs-UUVs systems. ISA Trans. 2020, 107, 270–286. [Google Scholar] [CrossRef]
  48. Semsar-Kazerooni, E.; Khorasani, K. Team consensus for a network of unmanned vehicles in presence of actuator faults. IEEE Trans. Control Syst. Technol. 2010, 18, 1155–1161. [Google Scholar] [CrossRef]
  49. Polyakov, A. Nonlinear feedback design for fixed-time stabilization of linear control systems. IEEE Trans. Autom. Control 2012, 57, 2106–2110. [Google Scholar] [CrossRef]
  50. Qian, C.; Lin, W. A continuous feedback approach to global strong stabilization of nonlinear systems. IEEE Trans. Autom. Control 2001, 46, 1061–1079. [Google Scholar] [CrossRef]
  51. Yan, Z.; Pan, X.; Yang, Z.; Yue, L. Formation control of leader-following multi-UUVs with uncertain factors and time-varying delays. IEEE Access 2019, 7, 118792–118805. [Google Scholar] [CrossRef]
Figure 1. Air-sea heterogeneous unmanned system.
Figure 1. Air-sea heterogeneous unmanned system.
Jmse 11 01336 g001
Figure 2. The network topology.
Figure 2. The network topology.
Jmse 11 01336 g002
Figure 3. The position X error in Example 1: (a) The proposed cross-domain communication protocol. (b) Identical low-dimensional output construction method proposed in [29,30].
Figure 3. The position X error in Example 1: (a) The proposed cross-domain communication protocol. (b) Identical low-dimensional output construction method proposed in [29,30].
Jmse 11 01336 g003
Figure 4. The position Y error in Example 1: (a) The proposed cross-domain communication protocol. (b) Identical low-dimensional output construction method proposed in [29,30].
Figure 4. The position Y error in Example 1: (a) The proposed cross-domain communication protocol. (b) Identical low-dimensional output construction method proposed in [29,30].
Jmse 11 01336 g004
Figure 5. The position Z error in Example 1: (a) The proposed cross-domain communication protocol. (b) Identical low-dimensional output construction method proposed in [29,30].
Figure 5. The position Z error in Example 1: (a) The proposed cross-domain communication protocol. (b) Identical low-dimensional output construction method proposed in [29,30].
Jmse 11 01336 g005
Figure 6. Two-dimensional trajectories in Example 1: (a) The proposed cross-domain communication protocol. (b) Identical low-dimensional output construction method proposed in [29,30].
Figure 6. Two-dimensional trajectories in Example 1: (a) The proposed cross-domain communication protocol. (b) Identical low-dimensional output construction method proposed in [29,30].
Jmse 11 01336 g006
Figure 7. The position X error in Example 2: (a) The proposed control protocol with disturbances. (b) The control protocol without disturbances proposed in [51].
Figure 7. The position X error in Example 2: (a) The proposed control protocol with disturbances. (b) The control protocol without disturbances proposed in [51].
Jmse 11 01336 g007
Figure 8. The position Y error in Example 2: (a) The proposed control protocol with disturbances. (b) The control protocol without disturbances proposed in [51].
Figure 8. The position Y error in Example 2: (a) The proposed control protocol with disturbances. (b) The control protocol without disturbances proposed in [51].
Jmse 11 01336 g008
Figure 9. The position Z error in Example 2: (a) The proposed control protocol with disturbances. (b) The control protocol without disturbances proposed in [51].
Figure 9. The position Z error in Example 2: (a) The proposed control protocol with disturbances. (b) The control protocol without disturbances proposed in [51].
Jmse 11 01336 g009
Figure 10. Position trajectory with X-Y axis in Example 2: (a) The proposed control protocol with disturbances. (b) The control protocol without disturbances proposed in [51].
Figure 10. Position trajectory with X-Y axis in Example 2: (a) The proposed control protocol with disturbances. (b) The control protocol without disturbances proposed in [51].
Jmse 11 01336 g010
Figure 11. Three-dimensional trajectories in Example 2: (a) The proposed control protocol with disturbances. (b) The control protocol without disturbances proposed in [51].
Figure 11. Three-dimensional trajectories in Example 2: (a) The proposed control protocol with disturbances. (b) The control protocol without disturbances proposed in [51].
Jmse 11 01336 g011
Table 1. The convergence time of the proposed distributed control protocols with different initial positions of followers and the leader in the ASHS.
Table 1. The convergence time of the proposed distributed control protocols with different initial positions of followers and the leader in the ASHS.
AgentInitial Positions of the ASHS: / m
Test 1Test 2Test 3
0[50,40,−30][50,40,−30][50,40,−30]
1[11.7,9.5,6.4][3.6,26.7,9.3][24.9,1.6,7.9]
2[19.7,28.5,7.1][14.9,28.7,3.5][17.5,15.9,3.1]
3[5.1,1,7.5][28.8,16.4,2.2][16.5,23.3,5.5]
4[39.1,13.2,0][31.8,4.1,0][43.3,28.1,0]
5[25.6,11.4,0][36.7,4.5,0][30.7,3.8,0]
6[30.5,22.9,0][29.4,7.7,0][40.1,17.1,0]
7[35.5,42.9,−32.2][42.5,43.4,−32.5][42.5,39.6,−33.3]
8[36.1,36.8,−28][37.5,37.5,−28.8][38.8,35.1,−28.9]
9[43.2,39.9,−28.4][40.1,43.1,−30.2][40.6,38.3,−32.3]
10[41.9,39.4,−33.3][41.9,37.4,−31.5][35.7,36.6,−28.4]
Convergence time: /s444
Disclaimer/Publisher’s Note: The statements, opinions and data contained in all publications are solely those of the individual author(s) and contributor(s) and not of MDPI and/or the editor(s). MDPI and/or the editor(s) disclaim responsibility for any injury to people or property resulting from any ideas, methods, instructions or products referred to in the content.

Share and Cite

MDPI and ACS Style

Ke, C.; Chen, H.; Xie, L. Cross-Domain Fixed-Time Formation Control for an Air-Sea Heterogeneous Unmanned System with Disturbances. J. Mar. Sci. Eng. 2023, 11, 1336. https://doi.org/10.3390/jmse11071336

AMA Style

Ke C, Chen H, Xie L. Cross-Domain Fixed-Time Formation Control for an Air-Sea Heterogeneous Unmanned System with Disturbances. Journal of Marine Science and Engineering. 2023; 11(7):1336. https://doi.org/10.3390/jmse11071336

Chicago/Turabian Style

Ke, Can, Huifang Chen, and Lei Xie. 2023. "Cross-Domain Fixed-Time Formation Control for an Air-Sea Heterogeneous Unmanned System with Disturbances" Journal of Marine Science and Engineering 11, no. 7: 1336. https://doi.org/10.3390/jmse11071336

APA Style

Ke, C., Chen, H., & Xie, L. (2023). Cross-Domain Fixed-Time Formation Control for an Air-Sea Heterogeneous Unmanned System with Disturbances. Journal of Marine Science and Engineering, 11(7), 1336. https://doi.org/10.3390/jmse11071336

Note that from the first issue of 2016, this journal uses article numbers instead of page numbers. See further details here.

Article Metrics

Back to TopTop